The Chemical Composition and Baking Quality of Rye Flour from Grain with Organic Production
Abstract
1. Introduction
2. Materials and Methods
2.1. Materials
2.2. Methods
2.2.1. Milling Procedure
2.2.2. Major Chemical Constituents
2.2.3. Viscosity of Water Extract
2.2.4. Technological Parameters
Falling Number
Water Absorption
2.2.5. Statistical Analysis
3. Results and Discussion
3.1. Major Chemical Constituents of the Flour Samples
3.1.1. Moisture, Protein, Ash, Fat, and Carbohydrate Content
3.1.2. Dietary Fiber Content and Its Components
3.2. The Water Extract Viscosity of Tested Low-Extract Rye Flour
3.3. Technological Parameters of Tested Low-Extract Rye Flour
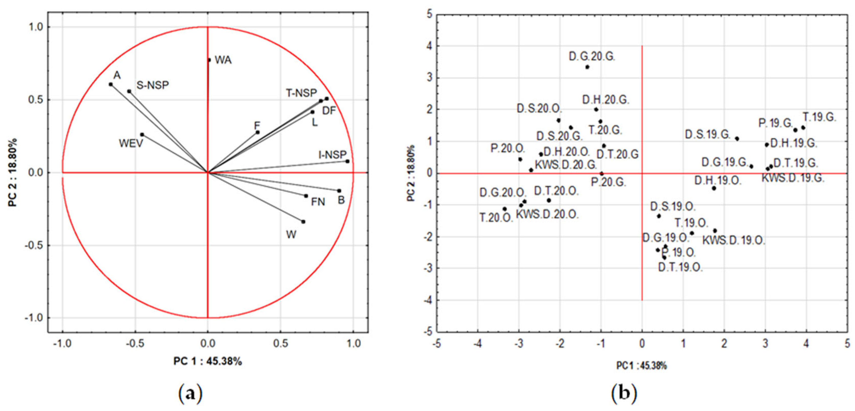
3.4. Comprehensive Assessment of Flour Samples Using Principal Components Analysis (PCA)
4. Conclusions
Supplementary Materials
Author Contributions
Funding
Institutional Review Board Statement
Informed Consent Statement
Data Availability Statement
Conflicts of Interest
References
- Berbeć, A.K.; Wyzińska, M. From Nutrition to Energy: Evaluating the Role of Rye (Secale cereale L.) Grain in Sustainable Food Systems and Biofuel Applications. Foods 2025, 14, 1971. [Google Scholar] [CrossRef]
- Yang, W.Y.; Ma, C.X. Evolutionary biology of rye (Secale cereale): Domestication and adaptation. Triticeae Genom. Genet. 2024, 15, 221–233. [Google Scholar] [CrossRef]
- United States Department of Agriculture. World Agricultural Production. Circular Series WAP. 2025. Available online: https://www.fas.usda.gov/sites/default/files/2025-08/Grain.pdf (accessed on 13 November 2025).
- Wrzaszcz, W.; Prandecki, K. Agriculture and the european green deal. Zagadnienia Ekon. Rolnej Probl. Agric. Econ. 2020, 365, 156–179. [Google Scholar] [CrossRef]
- Carrasco-Chilón, W.L.; Alvarez-García, W.Y.; Cervantes Peralta, M.E.; Quilcate, C.; Vásquez, H.V. Rye Production under Acid Soils and Drought Conditions: An Alternative for the Sustainability of High Andean Livestock Farming in Peru. Sustainability 2023, 15, 11431. [Google Scholar] [CrossRef]
- Bahrani, H.; Båga, M.; Larsen, J.; Graf, R.J.; Laroche, A.; Chibbar, R.N. The Relationships between Plant Developmental Traits and Winter Field Survival in Rye (Secale cereale L.). Plants 2021, 10, 2455. [Google Scholar] [CrossRef]
- Pinnamaneni, S.R.; Mubvumba, P.; Anapalli, S.S.; Reddy, K.N. Cereal rye (Secale cereale L.) cover crop improves soil physico-chemical properties with no influence on soybean (Glycine max L.) root growth parameters. Front. Soil Sci. 2022, 2, 970380. [Google Scholar] [CrossRef]
- Dziki, D. Rye Flour and Rye Bran: New Perspectives for Use. Processes 2022, 10, 293. [Google Scholar] [CrossRef]
- Jaksics, E.; Németh, R.; Farkas, A.; Horváth, R.; Dúzs, D.; Drozdik, Á.A.; Csányi, B.; Bidló, G.; Simon, K.; Tömösközi, S. Comparative compositional and functional characterisation of rye cultivars and novel industrial milling fractions. Int. J. Food Sci. Technol. 2022, 57, 4463–4472. [Google Scholar] [CrossRef]
- Stępniewska, S.; Cacak-Pietrzak, G.; Szafrańska, A.; Ostrowska-Ligęza, E.; Salamon, A.; Kowalska, H. Assessment of the Baking Properties of Rye Flour Based on the Polysaccharide Content and Properties. Appl. Sci. 2024, 14, 2772. [Google Scholar] [CrossRef]
- Kulichová, K.; Sokol, J.; Nemeček, P.; Maliarová, M.; Maliar, T.; Havrlentová, M.; Kraic, J. Phenolic compounds and biological activities of rye (Secale cereale L.) grains. Open Chem. 2019, 17, 988–999. [Google Scholar] [CrossRef]
- Grabiński, J.; Sułek, A.; Wyzińska, M.; Stuper-Szablewska, K.; Cacak-Pietrzak, G.; Nieróbca, A.; Dziki, D. Impact of genotype, weather conditions and production technology on the quantitative profile of anti-nutritive compounds in rye grains. Agronomy 2021, 11, 151. [Google Scholar] [CrossRef]
- Khan, J.; Gul, P.; Rashid, M.T.; Li, Q.; Liu, K. Composition of Whole Grain Dietary Fiber and Phenolics and Their Impact on Markers of Inflammation. Nutrients 2024, 16, 1047. [Google Scholar] [CrossRef] [PubMed]
- Stępniewska, S.; Słowik, E.; Cacak-Pietrzak, G.; Romankiewicz, D.; Szafrańska, A.; Dziki, D. Prediction of rye flour baking quality based on parameters of swelling curve. Eur. Food Res. Technol. 2018, 244, 989–997. [Google Scholar] [CrossRef]
- Stępniewska, S.; Cacak-Pietrzak, G.; Fraś, A.; Jończyk, K.; Studnicki, M.; Wiśniewska, M.; Gzowska, M.; Salamon, A. Effect of Genotype and Environment on Yield and Technological and Nutrition Traits on Winter Rye Grain from Organic Production. Agriculture 2024, 14, 2249. [Google Scholar] [CrossRef]
- ISO 712; Cereals and Cereal Products—Determination of Moisture Content—Reference Method. International Organization for Standardization: Geneva, Switzerland, 2009.
- ISO 2171; Cereals, Pulses and By-Products—Determination of Ash Yield by Incineration. International Organization for Standardization: Geneva, Switzerland, 2023.
- ISO 11085; Cereals, Cereals-Based Products and Animal Feeding Stuff—Determination of Crude Fat and Total Fat Content by the Randall Extraction Method. International Organization for Standardization: Geneva, Switzerland, 2008.
- ISO 20483; Cereals and Pulses—Determination of the Nitrogen Content and Calculation of the Crude Protein Content—Kjeldahl Method. International Organization for Standardization: Geneva, Switzerland, 2013.
- American Association of Cereal Chemists. Approved Methods of the AACC; American Association of Cereal Chemists: St. Paul, MN, USA, 2003. [Google Scholar]
- American Association of Cereal Chemists. Official Methods of Analysis of AOAC; Association of Official Analytical Chemists: Arlington, VA, USA, 1995. [Google Scholar]
- Englyst, H.N.; Cummings, J.H. Simplified method for the measurement of total non-starch polysaccharides in plant foods by gas-liquid chromatography of constituent sugars as alditol acetates. Analyst 1984, 109, 937–942. [Google Scholar] [CrossRef]
- Theander, O.; Westerlund, E.A. Studies on dietary fibre. 3. Improved procedures for analysis of dietary fibre. J. Agric. Food Chem. 1986, 34, 330–336. [Google Scholar] [CrossRef]
- Boros, D.; Marquardt, R.R.; Słominski, B.A.; Guenter, W. Extract viscosity an indirect assay for water-soluble pentosans content in rye. Cereal Chem. 1993, 70, 575–580. [Google Scholar]
- ISO 3093; Wheat, Rye and Their Flours, Durum Wheat and Durum Wheat Semolina—Determination of the Falling Number According to Hagberg-Perten. International Organization for Standardization: Geneva, Switzerland, 2009.
- Stępniewska, S.; Cacak-Pietrzak, G.; Szafrańska, A.; Ostrowska-Ligęza, E.; Dziki, D. Assessment of the starch-amylolytic complex of rye flours by traditional methods and modern one. Materials 2021, 14, 7603. [Google Scholar] [CrossRef]
- ISO 17718; Wholemeal and Flour from Wheat (Triticum aestivum L.)—Determination of Rheological Behavior as a Function of Mixing and Temperature Increase. International Organization for Standardization: Geneva, Switzerland, 2013.
- Hădărugă, D.I.; Costescu, C.I.; Corpaş, L.; Hădărugă, N.G.; Isengard, H.-D. Differentiation of rye and wheat flour as well as mixtures by using the kinetics of Karl Fischer water titration. Food Chem. 2016, 195, 49–55. [Google Scholar] [CrossRef]
- Carter, B.P.; Galloway, M.T.; Morris, C.F.; Weaver, G.L. The case for water activity as a specification for wheat tempering and flour production. Cereal Foods World 2015, 60, 166–170. [Google Scholar] [CrossRef]
- Warechowska, M.; Markowska, A.; Warechowski, J.; Miś, A.; Nawrocka, A. Effect of tempering moisture of wheat on grinding energy, middlings and flour size distribution, and gluten and dough mixing properties. J. Cereal Sci. 2016, 69, 306–312. [Google Scholar] [CrossRef]
- Warechowska, M.; Warechowski, J.; Tyburski, J.; Siemianowska, E.; Nawrocka, A.; Miś, A.; Skrajda-Brdak, M. Evaluation of physicochemical properties, antioxidant potential and baking quality of grain and flour of primitive rye (Secale cereale var. Multicaule). J. Food Sci. Technol. 2019, 56, 3422–3430. [Google Scholar] [CrossRef] [PubMed]
- Kučerová, J. Effects of location and year on technological quality and pentosan content in rye. Czech J. Food Sci. 2009, 27, 418–424. [Google Scholar] [CrossRef]
- Deleu, L.J.; Lemmens, E.; Redant, L.; Delcour, J.A. The major constituents of rye (Secale cereale L.) flour and their role in the production of rye bread, a food product to which a multitude of health aspects are ascribed. Cereal Chem. 2020, 97, 739–754. [Google Scholar] [CrossRef]
- Hansen, H.B.; Møller, B.; Andersen, S.B.; Jørgensen, J.R.; Hansen, A. Grain characteristics, chemical composition, and functional properties of rye (Secale cereale L.) as influenced by genotype and harvest year. J. Agric. Food Chem. 2004, 52, 2282–2291. [Google Scholar] [CrossRef]
- Laidig, F.; Piepho, H.P.; Rentel, D.; Drobek, T.; Meyer, U.; Huesken, A. Breeding progress, variation, and correlation of grain and quality traits in winter rye hybrid and population varieties and national on-farm progress in Germany over 26 years. Theor. Appl. Genet. 2017, 130, 981–998. [Google Scholar] [CrossRef]
- Ismagilov, K.; Nurlygayanov, R.; Kayumova, R. Productivity and nutritional qualities of grain of new F1 winter rye hybridies in the southern Ural. Agriculture (Poľnohospodárstvo) 2022, 68, 34–44. [Google Scholar] [CrossRef]
- Oest, M.; Bindrich, U.; Voß, A.; Kaiser, H.; Rohn, S. Rye bread defects: Analysis of composition and further influence factors as determinants of dry-baking. Foods 2020, 9, 1900. [Google Scholar] [CrossRef]
- Schefer, S.; Oest, M.; Rohn, S. Interactions between Phenolic Acids, Proteins, and Carbohydrates-Influence on Dough and Bread Properties. Foods 2021, 10, 2798. [Google Scholar] [CrossRef]
- Gharib, A.G.; Mohseni, S.G.; Mohajer, M.; Gharib, M. Bioavailability of essential trace elements in the presence of phytate, fiber and calcium. J. Radioanal. Nucl. Chem. 2006, 270, 209–215. [Google Scholar] [CrossRef]
- Bucsella, B.; Molnár, D.; Harasztos, A.; Tömösközi, S. Comparison of the rheological and end-product properties of an industrial aleurone-rich wheat flour, whole grain wheat and rye flour. J. Cereal Sci. 2016, 69, 40–48. [Google Scholar] [CrossRef]
- Makran, M.; Cilla, A.; Haros, C.M.; Garcia-Llatas, G. Enrichment of Wholemeal Rye Bread with Plant Sterols: Rheological Analysis, Optimization of the Production, Nutritional Profile and Starch Digestibility. Foods 2023, 12, 93. [Google Scholar] [CrossRef] [PubMed]
- Ikram, A.; Saeed, F.; Noor, R.A.; Imran, A.; Afzaal, M.; Rasheed, A.; Islam, F.; Iqbal, A.; Zahoor, T.; Naz, S.; et al. A comprehensive review on biochemical and technological properties of rye (Secale cereale L.). Int. J. Food Prop. 2023, 26, 2212–2228. [Google Scholar] [CrossRef]
- Sluková, M.; Jurkaninová, L.; Švec, I.; Skřivan, P. Rye—The nutritional and technological evaluation in Czech cereal technology—A review: Grain and flours. Czech J. Food Sci. 2021, 39, 3–8. [Google Scholar] [CrossRef]
- Koj, K.; Pejcz, E. Rye Dietary Fiber Components upon the Influence of Fermentation Inoculated with Probiotic Microorganisms. Molecules 2023, 28, 1910. [Google Scholar] [CrossRef]
- Veronese, N.; Solmi, M.; Caruso, M.G.; Giannelli, G.; Osella, A.R.; Evangelou, E.; Maggi, S.; Fontana, L.; Stubbs, B.; Tzoulaki, I. Dietary fiber and health outcomes: An umbrella review of systematic reviews and meta-analyses. Am. J. Clin. Nutr. 2018, 107, 436–444. [Google Scholar] [CrossRef]
- Alahmari, L. Dietary fiber influence on overall health, with an emphasis on CVD, diabetes, obesity, colon cancer, and inflammation. Front. Nutr. 2024, 11, 1510564. [Google Scholar] [CrossRef]
- Szentmiklóssy, M.K.J.; Jaksics, E.; Farkas, A.; Pusztai, Ê.; Kemény, S.; Németh, R.; Tömösközi, S. Fibre and short-chain carbohydrate composition in rye varieties, novel industrial milling fractions and breads. Acta Aliment. 2023, 52, 177–189. [Google Scholar] [CrossRef]
- Andersson, R.; Fransson, G.; Tietjen, M.; Åman, P. Content and molecular-weight distribution of dietary fiber components in whole-grain rye flour and bread. J. Agric. Food Chem. 2009, 57, 2004–2008. [Google Scholar] [CrossRef]
- Fraś, A.; Wiśniewska, M.; Mańkowski, D.R.; Gzowska, M. Characteristics of the Content and Variability of Dietary Fiber Components and Alkylresorcinols of Rye Grain (Secale cereale L.). Molecules 2025, 30, 2994. [Google Scholar] [CrossRef]
- Bieniek, A.; Buksa, K. Properties and Functionality of Cereal Non-Starch Polysaccharides in breadmaking. Appl. Sci. 2023, 13, 2282. [Google Scholar] [CrossRef]
- Cyran, M.R.; Dynkowska, W.M. Mode of endosperm and wholemeal arabinoxylans solubilisation during rye breadmaking: Genotypic diversity in level, substitution degree and macromolecular characteristics. Food Chem. 2014, 145, 356–364. [Google Scholar] [CrossRef]
- Bederska-Łojewska, D.; Świątkiewicz, S.; Arczewska-Włosek, A.; Schwarz, T. Rye non-starch polysaccharides: Their impact on poultry intestinal physiology, nutrients digestibility and performance indices—A review. Ann. Anim. Sci. 2017, 17, 351–369. [Google Scholar] [CrossRef]
- Cyran, M.; Cygankiewicz, A. Variability in the content of water-extractable and water-unextractable non-starch polysaccharides in rye flour and their relationship to baking quality parameters. Cereal Res. Commun. 2004, 32, 143–150. [Google Scholar] [CrossRef]
- Glitsø, L.V.; Bach Knudsen, K.E. Milling of whole-grain rye to obtain fractions with different dietary fibre characteristics. J. Cereal Sci. 1999, 29, 89–97. [Google Scholar] [CrossRef]
- Soliman, G.A. Dietary Fiber, Atherosclerosis, and Cardiovascular Disease. Nutrients 2019, 11, 1155. [Google Scholar] [CrossRef]
- Ioniță-Mîndrican, C.B.; Mititelu, M.; Pleșea Condratovici, C.; Oprea, E.; Drăgănescu, D.; Neamțu, S.; Udeanu, D.I.; Stanciu, G. Therapeutic Benefits and Dietary Restrictions of Fiber Intake. Nutrients 2022, 14, 2641. [Google Scholar] [CrossRef]
- Fraś, A.; Mańkowski, D.R.; Gołębiewski, D.; Gołębiewska, K. The influence of genotype, environment and G×E interactions on chemical composition and alpha-amylase activity of winter triticale grain. Pol. J. Agron. 2018, 35, 3–14. (In Polish) [Google Scholar]
- Stępniewska, S.; Waleed, H.H.; Szafrańska, A.; Cacak-Pietrzak, G.; Dziki, D. Procedures for breadmaking quality assessment of rye wholemeal flour. Foods 2019, 8, 331. [Google Scholar] [CrossRef]
- Michalska, A.; Ceglińska, A.; Zieliński, H. Bioactive compounds in rye flours with different extraction rates. Eur. Food Res. Technol. 2007, 225, 545–551. [Google Scholar] [CrossRef]
- Németh, R.; Tömösközi, S. Rye: Current state and future trends in research and applications. Acta Aliment. 2021, 50, 620–640. [Google Scholar] [CrossRef]
- Wysocka, K.; Cacak-Pietrzak, G.; Feledyn-Szewczyk, B.; Studnicki, M. The Baking Quality of Wheat Flour (Triticum aestivum L.) Obtained from Wheat Grains Cultivated in Various Farming Systems (Organic vs. Integrated vs. Conventional). Appl. Sci. 2024, 14, 1886. [Google Scholar] [CrossRef]
- Rezette, L.; Kansou, K.; Della Valle, G.; Le Gall, S.; Saulnier, L. The role of wheat flour minor components in predicting water absorption. Food Chem. 2025, 463, 141232. [Google Scholar] [CrossRef] [PubMed]
- Courtin, C.M.; Delcour, J.A. Arabinoxylans and Endoxylanases in Wheat Flour Bread-Making. J. Cereal Sci. 2002, 35, 225–243. [Google Scholar] [CrossRef]
- Kim, M.Y.; Freund, W.; Chun, S.S. Determining the Water Absorption and Rheological Properties of Rye Dough made using the Planetary Mixer P 600. Food Sci. Biotechnol. 2009, 18, 456–462. [Google Scholar]
- Buksa, K.; Łakomy, A.; Nowotna, A.; Krystyjan, M. Arabinoxylan-starch-protein interactions in specially modified rye dough during a simulated fermentation process. Food Chem. 2018, 253, 156–163. [Google Scholar] [CrossRef]
- Bieniek, A.; Buksa, K. The Influence of Arabinoxylan of Different Molar Masses on the Properties of Rye Bread Baked by the Postponed Baking Method. Foods 2024, 13, 2482. [Google Scholar] [CrossRef]
- Ragaee, S.M.; Campbell, G.L.; Scoles, G.J.; McLeod, J.G.; Tyler, R.T. Studies on rye (Secale cereale L.) lines exhibiting a range of extract viscosities. 1. Composition, molecular weight distribution of water extracts, and biochemical characteristics of purified water-extractable arabinoxylan. J. Agric. Food Chem. 2001, 49, 2437–2445. [Google Scholar] [CrossRef]
- Zannini, E.; Jeske, S.; Lynch, K.M.; Arendt, E.K. Arabinoxylans as functional food ingredients: A review. Foods 2022, 11, 1026. [Google Scholar] [CrossRef]
- Buksa, K.; Ziobro, R.; Nowotna, A.; Adamczyk, A.; Sikora, M.; Żylewski, M. Water binding capacity of rye flours with the addition of native and modified arabinoxylan preparations. J. Agr. Sci. Tech. 2014, 16, 1083–1095. [Google Scholar]

| Parameter | Major Chemical Composition | ||||
|---|---|---|---|---|---|
| Moisture Content (%) | Protein Content (% d.m.) | Ash Content (% d.m.) | Fat Content (% d.m.) | Carbohydrate Content (% d.m.) | |
| Range | 12.4–14.9 | 5.3–6.1 | 0.55–1.01 | 0.59–0.85 | 82.4–86.2 |
| Grain crop year | |||||
| 2019 | 14.3 ± 0.6 b | 7.9 ± 0.3 a | 0.62 ± 0.05 b | 0.74 ± 0.06 a | 83.8 ± 0.1 b |
| 2020 | 13.5 ± 0.4 a | 6.2 ± 0.5 b | 0.85 ± 0.07 a | 0.71 ± 0.06 b | 84.7 ± 0.7 a |
| Grain growing location | |||||
| Osiny | 14.0 ± 0.6 a | 6.8 ± 1.1 b | 0.70 ± 0.16 b | 0.71 ± 0.07 b | 84.9 ± 0.9 a |
| Grabów | 13.8 ± 0.7 b | 7.4 ± 0.8 a | 0.78 ± 0.15 a | 0.75 ± 0.05 a | 83.5 ± 0.6 b |
| Grain cultivar | |||||
| Tur | 14.0 ± 1.0 b | 6.8 ± 0.3 d | 0.77 ± 0.16 a | 0.70 ± 0.06 d | 84.4 ± 1.1 b |
| KWS Dolaro | 13.8 ± 1.1 d | 6.6 ± 0.5 e | 0.76 ± 0.15 b | 0.65 ± 0.06 f | 84.9 ± 0.6 a |
| Dańkowskie Granat | 13.9 ± 0.9 c | 7.1 ± 0.3 c | 0.71 ± 0.12 f | 0.74 ± 0.06 c | 84.3 ± 1.2 bc |
| Dańkowskie Hadron | 13.8 ± 0.8 d | 7.3 ± 0.5 a | 0.75 ± 0.15 c | 0.78 ± 0.06 b | 83.7 ± 0.6 d |
| Dańkowskie Skand | 13.6 ± 1.0 e | 7.3 ± 0.3 a | 0.74 ± 0.12 d | 0.80 ± 0.06 a | 83.9 ± 1.1 cd |
| Dańkowskie Turkus | 14.4 ± 0.9 a | 7.2 ± 0.5 b | 0.71 ± 0.14 f | 0.68 ± 0.06 e | 84.2 ± 1.0 bc |
| Piastowskie | 13.8 ± 1.1 d | 7.3 ± 0.3 a | 0.73 ± 0.13 e | 0.77 ± 0.06 b | 84.1 ± 1.3 bc |
| ANOVA | |||||
| Factor | Fst. | ||||
| Crop year (A) | 6024 ** | 16,615 ** | 35,614 ** | 149.1 ** | 349 ** |
| Location (B) | 81 ** | 1708 ** | 4872 ** | 140.8 ** | 837 ** |
| Cultivar (C) | 238 ** | 273 ** | 193 ** | 223.9 ** | 35 ** |
| A × B | 81 ** | 295 ** | 5 * | 0.0 NS | 114 ** |
| A × C | 267 ** | 23 ** | 75 ** | 0.3 NS | 11 ** |
| B × C | 269 ** | 49 ** | 183 ** | 55.1 ** | 16 ** |
| A × B × C | 266 ** | 30 ** | 173 ** | 5.0 ** | 16 ** |
| Content (% d.m.) | WEV (mPa·s) | |||||
|---|---|---|---|---|---|---|
| Parameter | DF | T-NSP | I-NSP | S-NSP | Lignin | |
| Range | 6.24–8.63 | 5.57–7.51 | 2.10–4.22 | 2.89–4.40 | 0.45–1.12 | 3.37–6.35 |
| Grain crop year | ||||||
| 2019 | 7.52 ± 0.63 a | 6.66 ± 0.49 a | 3.53 ± 0.46 a | 3.13 ± 0.12 b | 0.87 ± 0.17 a | 4.40 ± 0.61 b |
| 2020 | 6.91 ± 0.44 b | 6.20 ± 0.41 b | 2.61 ± 0.25 b | 3.59 ± 0.36 a | 0.71 ± 0.12 b | 5.13 ± 0.67 a |
| Grain growing location | ||||||
| Osiny | 6.86 ± 0.39 b | 6.16 ± 0.34 b | 2.80 ± 0.46 b | 3.36 ± 0.29 | 0.70 ± 0.13 b | 4.74 ± 0.61 b |
| Grabów | 7.58 ± 0.60 a | 6.70 ± 0.50 a | 3.34 ± 0.60 a | 3.36 ± 0.41 | 0.88 ± 0.15 a | 4.80 ± 0.67 a |
| Grain cultivar | ||||||
| Tur | 7.39 ± 0.85 ab | 6.57 ± 0.65 ab | 3.09 ± 0.78 ab | 3.48 ± 0.23 ab | 0.82 ± 0.23 ab | 4.44 ± 0.46 d |
| KWS Dolaro | 7.03 ± 0.63 c | 6.28 ± 0.56 c | 3.12 ± 0.62 ab | 3.16 ± 0.22 c | 0.75 ± 0.09 c | 3.93 ± 0.42 e |
| Dańkowskie Granat | 7.20 ± 0.56 abc | 6.47 ± 0.39 abc | 2.92 ± 0.44 c | 3.55 ± 0.50 a | 0.72 ± 0.23 d | 4.96 ± 1.00 b |
| Dańkowskie Hadron | 7.47 ± 0.45 a | 6.63 ± 0.38 a | 3.18 ± 0.54 a | 3.45 ± 0.31 ab | 0.83 ± 0.15 a | 4.91 ± 0.11 b |
| Dańkowskie Skand | 7.15 ± 0.49 bc | 6.35 ± 0.38 bc | 2.96 ± 0.48 bc | 3.39 ± 0.34 ab | 0.80 ± 0.15 b | 5.21 ± 0.81 a |
| Dańkowskie Turkus | 7.23 ± 0.64 abc | 6.46 ± 0.49 abc | 3.15 ± 0.65 a | 3.31 ± 0.45 bc | 0.77 ± 0.15 c | 5.21 ± 0.31 a |
| Piastowskie | 7.08 ± 0.75 c | 6.24 ± 0.64 c | 3.06 ± 0.76 abc | 3.18 ± 0.27 c | 0.84 ± 0.15 a | 4.68 ± 0.79 c |
| ANOVA | ||||||
| Factor | Fst. | |||||
| Crop year (A) | 175.07 ** | 96.55 ** | 1262.22 ** | 261.81 ** | 1561.7 ** | 1292.1 ** |
| Location (B) | 243.99 ** | 139.48 ** | 434.55 ** | 0.02 NS | 1978.7 ** | 6.6 * |
| Cultivar (C) | 6.64 ** | 5.72 ** | 7.94 ** | 15.42 ** | 70.0 ** | 290.8 ** |
| A × B | 38.41 ** | 17.79 ** | 48.81 ** | 0.22 NS | 531.3 ** | 704.3 ** |
| A × C | 10.58 ** | 12.81 ** | 15.30 ** | 10.04 ** | 84.8 ** | 114.1 ** |
| B × C | 11.43 ** | 6.45 ** | 18.16 ** | 9.98 ** | 247.1 ** | 39.6 ** |
| A × B × C | 7.61 ** | 5.17 ** | 5.76 ** | 14.71 ** | 48.9 ** | 68.2 ** |
| Parameter | Falling Number (s) | Water Absorption (%) |
|---|---|---|
| Range | 215–343 | 59.0–68.6 |
| Grain crop year | ||
| 2019 | 297 ± 20 a | 63.3 ± 2.1 b |
| 2020 | 264 ± 21 b | 64.6 ± 2.5 a |
| Grain growing location | ||
| Osiny | 271 ± 29 b | 62.4 ± 1.8 b |
| Grabów | 290 ± 20 a | 65.5 ± 1.8 a |
| Grain cultivar | ||
| Tur | 294 ± 25 a | 62.4 ± 2.4 d |
| KWS Dolaro | 294 ± 33 a | 64.6 ± 2.8 b |
| Dańkowskie Granat | 290 ± 21 b | 63.8 ± 3.5 c |
| Dańkowskie Hadron | 268 ± 26 d | 63.9 ± 1.8 c |
| Dańkowskie Skand | 271 ± 14 d | 65.5 ± 2.2 a |
| Dańkowskie Turkus | 280 ± 14 c | 63.2 ± 1.0 d |
| Piastowskie | 268 ± 35 d | 64.0 ± 1.8 c |
| ANOVA | ||
| Factor | Fst. | |
| Crop year (A) | 1415.7 ** | 203 ** |
| Location (B) | 479.4 ** | 1508 ** |
| Cultivar (C) | 107.8 ** | 72 ** |
| A × B | 223.2 ** | 35 ** |
| A × C | 27.7 ** | 46 ** |
| B × C | 29.4 ** | 96 ** |
| A × B × C | 76.5 ** | 80 ** |
Disclaimer/Publisher’s Note: The statements, opinions and data contained in all publications are solely those of the individual author(s) and contributor(s) and not of MDPI and/or the editor(s). MDPI and/or the editor(s) disclaim responsibility for any injury to people or property resulting from any ideas, methods, instructions or products referred to in the content. |
© 2025 by the authors. Licensee MDPI, Basel, Switzerland. This article is an open access article distributed under the terms and conditions of the Creative Commons Attribution (CC BY) license.
Share and Cite
Stępniewska, S.; Cacak-Pietrzak, G.; Fraś, A.; Wiśniewska, M.; Sujka, K.; Grabarczyk, J.; Dziki, D. The Chemical Composition and Baking Quality of Rye Flour from Grain with Organic Production. Foods 2026, 15, 3. https://doi.org/10.3390/foods15010003
Stępniewska S, Cacak-Pietrzak G, Fraś A, Wiśniewska M, Sujka K, Grabarczyk J, Dziki D. The Chemical Composition and Baking Quality of Rye Flour from Grain with Organic Production. Foods. 2026; 15(1):3. https://doi.org/10.3390/foods15010003
Chicago/Turabian StyleStępniewska, Sylwia, Grażyna Cacak-Pietrzak, Anna Fraś, Magdalena Wiśniewska, Katarzyna Sujka, Justyna Grabarczyk, and Dariusz Dziki. 2026. "The Chemical Composition and Baking Quality of Rye Flour from Grain with Organic Production" Foods 15, no. 1: 3. https://doi.org/10.3390/foods15010003
APA StyleStępniewska, S., Cacak-Pietrzak, G., Fraś, A., Wiśniewska, M., Sujka, K., Grabarczyk, J., & Dziki, D. (2026). The Chemical Composition and Baking Quality of Rye Flour from Grain with Organic Production. Foods, 15(1), 3. https://doi.org/10.3390/foods15010003

