Sign in to use this feature.

Years

Between: -

Subjects

remove_circle_outline
remove_circle_outline
remove_circle_outline
remove_circle_outline
remove_circle_outline
remove_circle_outline
remove_circle_outline
remove_circle_outline
remove_circle_outline

Journals

Article Types

Countries / Regions

Search Results (90)

Search Parameters:
Keywords = bacterial eye infections

Order results
Result details
Results per page
Select all
Export citation of selected articles as:
12 pages, 1045 KB  
Article
Evaluation of Octenidine Dihydrochloride-Induced Cytotoxicity, Apoptosis, and Inflammatory Responses in Human Ocular Epithelial and Retinal Cells
by Ihsan Hakki Ciftci, Asuman Deveci Ozkan, Gulay Erman, Imdat Kilbas and Ozlem Aydemir
Biomedicines 2026, 14(1), 50; https://doi.org/10.3390/biomedicines14010050 (registering DOI) - 25 Dec 2025
Abstract
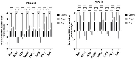
Background/Objectives: Octenidine dihydrochloride (OCT-D) is a broad-spectrum antiseptic with high chemical stability, low toxicity, and no reported microbial resistance, making it a strong candidate for use on mucosal surfaces. Despite increasing interest in its potential ophthalmic applications, limited data exist regarding its cellular [...] Read more.
Background/Objectives: Octenidine dihydrochloride (OCT-D) is a broad-spectrum antiseptic with high chemical stability, low toxicity, and no reported microbial resistance, making it a strong candidate for use on mucosal surfaces. Despite increasing interest in its potential ophthalmic applications, limited data exist regarding its cellular effects on ocular tissues. This study aimed to investigate the cytotoxic, apoptotic, inflammatory, and transcriptional responses induced by OCT-D in human conjunctival (IOBA-NHC) and retinal pigment epithelial (ARPE-19) cells. Methods: Cells were exposed to varying concentrations of OCT-D, and viability was assessed using the WST-1 assay to determine IC50 and IC50/2 values. These concentrations were subsequently used in molecular assays. Pro-inflammatory cytokines (IL-6, IL-1β, TNF-α, IFN-γ) were quantified by ELISA. Apoptotic activation was evaluated through caspase-3/7 activity assays. Gene expression analysis of apoptotic (Bax, Bcl-2), DNA damage-related (ATM, Rad51), and inflammatory markers was performed using RT-qPCR. Results: OCT-D induced a marked, dose-dependent reduction in cell viability in both cell lines, with ARPE-19 showing greater sensitivity. Caspase-3/7 activity increased significantly at IC50 and IC50/2, confirming intrinsic apoptotic activation. OCT-D markedly suppressed the release of key inflammatory cytokines and downregulated transcription of inflammatory genes. RT-qPCR revealed upregulation of pro-apoptotic and DNA damage-associated genes, demonstrating coordinated activation of apoptotic and genomic stress pathways. Conclusion: OCT-D triggers integrated cytotoxic, apoptotic, and immunomodulatory responses in conjunctival and retinal epithelial cells. While these findings provide important mechanistic insights into OCT-D’s cellular effects, further studies using primary cells, advanced 3D ocular models, and disease-relevant systems are required to support its potential translational use in ophthalmology. Full article
(This article belongs to the Section Cell Biology and Pathology)
Show Figures

Figure 1

21 pages, 835 KB  
Review
Emerging Ocular Pathogen Resistance and Clinically Used Solutions: A Problem That Is More than Meets the Eye
by Marusha Ather and Christopher D. Conrady
Pharmaceuticals 2026, 19(1), 31; https://doi.org/10.3390/ph19010031 - 23 Dec 2025
Viewed by 31
Abstract
Background/Objectives: Antimicrobial resistance (AMR) in ocular infections has become a serious concern with major implications for vision preservation. Bacterial AMR contributed to 4.71 million deaths worldwide in 2021, and ophthalmology mirrors these trends with multidrug resistance rates as high as 66% documented in [...] Read more.
Background/Objectives: Antimicrobial resistance (AMR) in ocular infections has become a serious concern with major implications for vision preservation. Bacterial AMR contributed to 4.71 million deaths worldwide in 2021, and ophthalmology mirrors these trends with multidrug resistance rates as high as 66% documented in some regions and persistently high methicillin resistance among common ocular pathogens. Across regions and care settings, traditional empiric therapies are losing effectiveness against an expanding range of pathogens, resulting in slower recovery, more complications, and, in many cases, permanent vision loss. This review aims to synthesize recent clinical, microbiologic, and pharmacologic evidence on ocular AMR, focusing on recent studies to capture current resistance patterns, therapeutic challenges, and evolving management strategies. Methods: Most included papers were published between 2020 and 2025, with additional foundational studies referenced where appropriate. Reports and systematic reviews addressing bacterial, viral, fungal, and parasitic ocular pathogens were evaluated to characterize current resistance mechanisms and management strategies across ocular pathogens. Results: The eye’s anatomic and physiologic barriers limit drug penetration, often promoting resistance and reducing therapeutic efficacy. Resistance mechanisms vary by pathogens; Pseudomonas keratitis is driven mainly by efflux pumps and biofilm formation, while CMV retinitis’ mutations in UL97 and UL54 are linked with clinical failure, and in MRSA associated Staphylococcus keratitis, the presence of mecA necessitates vancomycin-based therapy across bacterial, viral, fungal, and parasitic infections, with mechanisms such as β-lactamase production, efflux pump overexpression, target-site mutation, and biofilm formation contributing to poor response to standard therapy. MDR Pseudomonas keratitis remains the leading cause of rapidly progressive corneal infection with high risk of perforation and vision loss, while resistant CMV retinitis continues to threaten sight in immunocompromised patients despite antiviral advances. MDR organisms are recalcitrant to treatment and may lead to longer treatment courses and potentially worse outcomes and are discussed in detail within the manuscript. Conclusions: Ocular AMR represents an urgent and expanding clinical challenge. This review centers on the two most encountered multidrug-resistant organisms and their corresponding ocular sites, Pseudomonas aeruginosa (anterior segment) and CMV (posterior segment), while contextualizing them within the broader spectrum of resistant bacterial, viral, fungal, and parasitic pathogens. Despite growing awareness of AMR in ophthalmology, comprehensive surveillance data and longitudinal epidemiologic studies remain limited, making it difficult to track evolving resistance trends or guide region-specific therapy. Preserving vision in the AMR era will require faster diagnostics, improved ocular drug-delivery systems, and pathogen-specific therapies. Full article
(This article belongs to the Section Medicinal Chemistry)
Show Figures

Figure 1

9 pages, 761 KB  
Article
Comparison of Conjunctival Flora Before and 12 Months After Dacryoendoscopic Recanalization for Lacrimal Passage Obstruction
by Takahiro Hiraoka, Sujin Hoshi, Kuniharu Tasaki and Tetsuro Oshika
J. Clin. Med. 2025, 14(21), 7778; https://doi.org/10.3390/jcm14217778 - 2 Nov 2025
Viewed by 262
Abstract
Background/Objectives: To investigate the long-term changes in conjunctival bacterial flora before and after dacryoendoscopic recanalization for lacrimal passage obstruction using silicone tube intubation. Methods: This prospective study included 135 eyes with lacrimal passage obstruction that underwent lacrimal passage recanalization and were [...] Read more.
Background/Objectives: To investigate the long-term changes in conjunctival bacterial flora before and after dacryoendoscopic recanalization for lacrimal passage obstruction using silicone tube intubation. Methods: This prospective study included 135 eyes with lacrimal passage obstruction that underwent lacrimal passage recanalization and were followed for at least one year. The silicone tubes inserted during surgery were removed three months postoperatively in all cases. The study period was from November 2018 to January 2025. Conjunctival samples were obtained before surgery and at 12 months postoperatively. Aerobic cultures were performed to detect bacterial flora. The culture positivity rate, number of bacterial species identified, and proportion of commensal bacteria were compared before and after surgery. Results: The bacterial culture positivity rate significantly decreased from 36.3% preoperatively to 20.0% postoperatively (p = 0.003). The number of bacterial species detected decreased from 15 to 6, with Gram-negative bacilli decreasing from 6 species to 1. In contrast, the proportion of commensal bacteria such as coagulase-negative staphylococci and Corynebacterium spp. relatively increased from 49.1% to 80.7%. No drug-resistant bacteria were detected postoperatively. Conclusions: Dacryoendoscopic recanalization for lacrimal passage obstruction was shown to achieve long-term normalization of the conjunctival bacterial flora by reducing pathogenic and drug-resistant bacteria and increasing commensal bacteria. These findings suggest that the procedure prior to intraocular surgery in patients with lacrimal obstruction may reduce the risk of postoperative infection. Full article
(This article belongs to the Special Issue New Insights in Ophthalmic Surgery)
Show Figures

Figure 1

16 pages, 3894 KB  
Article
Trends in Antibiotic Resistance of Escherichia coli Strains Isolated from Clinical Samples (2019–2023): A Hospital-Based Retrospective Analysis
by Claudia Daniela Goleanu (Vasiloiu), Corneliu Ovidiu Vrancianu, Daria Adelina Goleanu, Monica Marilena Tantu and Ortansa Csutak
Pathogens 2025, 14(9), 927; https://doi.org/10.3390/pathogens14090927 - 13 Sep 2025
Cited by 2 | Viewed by 3587
Abstract
Background: Antimicrobial resistance (AMR) is a major public health concern. Urinary tract infections (UTIs) account for up to 85–90% of community-acquired cases. The COVID-19 pandemic disrupted healthcare access and may have influenced resistance patterns. In this context, we retrospectively evaluated the antibiotic resistance [...] Read more.
Background: Antimicrobial resistance (AMR) is a major public health concern. Urinary tract infections (UTIs) account for up to 85–90% of community-acquired cases. The COVID-19 pandemic disrupted healthcare access and may have influenced resistance patterns. In this context, we retrospectively evaluated the antibiotic resistance dynamics of various bacterial strains isolated between 2019 and 2023 in a hospital unit; Methods: A total of 8217 clinical specimens (urine, wound secretions, sputum, pharyngeal exudate, nasal exudate, tracheal secretions, vaginal and cervical secretions, puncture fluids, purulent secretions, blood, ear secretions, eye secretions) were processed using standard microbiological techniques. Pathogen identification and susceptibility testing were performed with the VITEK 2 Compact system, following CLSI guidelines. Results: Following the analysis of 8217 clinical samples collected over a five-year period (2019–2023), a total of 2900 microorganisms were isolated and identified. Among these, the most frequently encountered were E. coli strains, with 1204 isolates. Urine cultures represented 71.3% of all processed samples. Out of these 5860 urine cultures, 1530 (26%) were positive. The resistance of E. coli strains to ampicillin (48–55.2%), trimethoprim/sulfamethoxazole (22.9–34%), and ciprofloxacin (21.4–31.5%) remained high throughout the period. ESBL-producing strains peaked at 17.6% in 2020, with multidrug resistance rates ranging from 14% to 22.4%. Conclusions: E. coli strains displayed persistently high resistance to ampicillin, trimethoprim/sulfamethoxazole, and ciprofloxacin, with peaks in ESBL production and multidrug resistance during the COVID-19 pandemic. These trends underscore the importance of continuous surveillance and antibiotic stewardship, with direct implications for empirical UTI therapy and broader strategies to mitigate the public health impact of antimicrobial resistance. Full article
Show Figures

Figure 1

21 pages, 3539 KB  
Article
Sustained-Release Biodegradable Intracameral Implants Containing Dexamethasone and Moxifloxacin: Development and In Vivo Primary Assessment
by Pablo Miranda, Luis Ignacio Tártara, Analía Castro, Patricia Zimet, Ricardo Faccio, Santiago Daniel Palma, Álvaro W. Mombrú and Helena Pardo
Pharmaceutics 2025, 17(9), 1191; https://doi.org/10.3390/pharmaceutics17091191 - 13 Sep 2025
Viewed by 919
Abstract
Background/Objectives: We report the development of a novel intraocular sustained-release implantable pharmaceutical formulation, designed to be placed in the anterior chamber of the eye after cataract surgery. The device is intended to reduce postoperative inflammation, and to prevent opportunistic bacterial infections that [...] Read more.
Background/Objectives: We report the development of a novel intraocular sustained-release implantable pharmaceutical formulation, designed to be placed in the anterior chamber of the eye after cataract surgery. The device is intended to reduce postoperative inflammation, and to prevent opportunistic bacterial infections that may lead to endophthalmitis. Methods: The implants were produced via hot-melt extrusion, using a twin-screw extruder to process a homogeneous mixture of polylactide-co-glycolic acid, moxifloxacin hydrochloride (MOX HCl) and dexamethasone (DEX). Quality control tests included drug content determination, release rate profile evaluation, and several instrumental characterization techniques (scanning electron microscopy (SEM), confocal Raman microscopy, differential scanning calorimetry, and X-ray diffraction). Long-term and accelerated stability tests were also performed, following ICH guidelines. Sterilization was achieved by exposing samples to gamma radiation. In vivo exploratory studies were carried out in healthy rabbits to evaluate the safety and overall performance of the implantable formulation. Results: In terms of quality control, drug content was found to be homogeneously distributed throughout the implants, and it also met the label claim. In vitro release rate was constant for MOX HCl, but non-linear for DEX, increasing over time. In vivo preliminary tests showed that the inserts completely biodegraded within approximately 20 days. No clinical signs of anterior segment toxic syndrome or statistically significant intraocular pressure differences were found between treatment and control groups. Conclusions: The implants developed in this study can act as sustained-release depots for the delivery of both DEX and MOX HCl, and are biocompatible with ocular structures. Full article
(This article belongs to the Section Drug Delivery and Controlled Release)
Show Figures

Graphical abstract

13 pages, 2091 KB  
Case Report
Immune Checkpoint Inhibitor-Induced Ocular Toxicity: A Case of Pembrolizumab-Associated Corneal Ulceration and Evisceration
by Mario Caldarelli, Donatella Brisinda, Giuseppe De Matteis, Francesco De Vito, Gloria Gambini, Rossella Cianci and Giovanni Gambassi
Reports 2025, 8(3), 154; https://doi.org/10.3390/reports8030154 - 21 Aug 2025
Cited by 2 | Viewed by 1474
Abstract
Background and Clinical Significance: Immune checkpoint inhibitors (ICIs) ushered in a new era in cancer treatment, but alongside their efficacy is an adverse event profile that involves the immune system as a whole and may impact several organs. Case Presentation: We present the [...] Read more.
Background and Clinical Significance: Immune checkpoint inhibitors (ICIs) ushered in a new era in cancer treatment, but alongside their efficacy is an adverse event profile that involves the immune system as a whole and may impact several organs. Case Presentation: We present the case of a 68-year-old woman with a diagnosis of cervical cancer treated with pembrolizumab who developed progressively steroid-refractory chronic diarrhea and ensuing visual problems. Topical antibiotics failed to heal a corneal ulcer in the left eye, necessitating evisceration. Imaging showed intestinal pneumatosis without ischemia, and there was immediate clinical improvement after initiation of corticosteroid therapy. This clinical picture—steroid-dependent colitis and immune-mediated uveitis associated with secondary bacterial infection—was coded as an immune-related adverse event (irAE) resulting from ICI treatment. Because of the prompt and complete regression of the symptoms upon corticosteroid therapy, this was considered as a criterion for the final diagnosis. Conclusions: The case highlights the complexity and potential severity of irAEs that need to be appropriately identified and promptly managed by multidisciplinary teams. Full article
Show Figures

Figure 1

15 pages, 2129 KB  
Article
Recurrent vs. Nonrecurrent Superficial Non-Healing Corneal Ulcers in Cats: A Multifactorial Retrospective Analysis
by Nuanwan Rujirekasuwan, Panpicha Sattasathuchana, Natthanet Sritrakoon and Naris Thengchaisri
Animals 2025, 15(14), 2104; https://doi.org/10.3390/ani15142104 - 16 Jul 2025
Viewed by 2852
Abstract
Feline superficial non-healing corneal ulcers are persistent lesions requiring individualized treatment to reduce recurrence. This retrospective study evaluated 136 affected eyes (113 nonrecurrent; 23 recurrent) to identify clinical and treatment-related factors associated with recurrence. Recurrent ulcers were more common in older cats (7.2 [...] Read more.
Feline superficial non-healing corneal ulcers are persistent lesions requiring individualized treatment to reduce recurrence. This retrospective study evaluated 136 affected eyes (113 nonrecurrent; 23 recurrent) to identify clinical and treatment-related factors associated with recurrence. Recurrent ulcers were more common in older cats (7.2 ± 4.3 vs. 5.1 ± 4.6 years; p = 0.026). Domestic Shorthairs were the most frequently affected breed (50%), and central ulcer location predominated in both groups. Recurrent cases required more intensive management, with 16.9% needing ≥ 2 treatment courses, compared to 83% of nonrecurrent cases resolving after a single course. Healing time following corneal debridement was longer in recurrent cases (32.3 ± 34.4 vs. 25.5 ± 23.1 days; p = 0.272), and corneal sequestrum occurred more frequently (13.0% vs. 10.6%; p = 0.735). Corneal debridement was the primary treatment modality. Systemic medications were more often used in recurrent cases, notably oral lysine (47.8% vs. 26.5%; p = 0.049) and famciclovir (17.4% vs. 2.6%; p = 0.016). Recurrent cases also showed significantly higher rates of concurrent viral (p < 0.001) and bacterial/fungal infections (p = 0.027). In conclusion, recurrent superficial non-healing corneal ulcers were associated with age and systemic illness, emphasizing the need for early diagnosis and management of underlying conditions. Full article
(This article belongs to the Special Issue Advances in Veterinary Ocular Pathology)
Show Figures

Figure 1

10 pages, 205 KB  
Article
Paediatric Utilisation of Ophthalmic Antibiotics in the Ear in Aotearoa/New Zealand
by Isabella Mei Yan Cheung, Tary Yin and Akilesh Gokul
Children 2025, 12(5), 557; https://doi.org/10.3390/children12050557 - 25 Apr 2025
Viewed by 955
Abstract
Background/Objectives: Some ophthalmic antibiotics are publicly subsidised in New Zealand (NZ) for off-label use in the ear, however, this utilisation has not previously been described. This study compared the utilisation of ophthalmic chloramphenicol and ciprofloxacin in the eye and ear, among NZ children. [...] Read more.
Background/Objectives: Some ophthalmic antibiotics are publicly subsidised in New Zealand (NZ) for off-label use in the ear, however, this utilisation has not previously been described. This study compared the utilisation of ophthalmic chloramphenicol and ciprofloxacin in the eye and ear, among NZ children. Methods: This study involved clinical record review, and included 11,617 prescriptions of ophthalmic chloramphenicol and ciprofloxacin in 2022, for children aged five years or under in Auckland, NZ. Prescriptions of chloramphenicol and ciprofloxacin for eye and ear use were compared by: patient age, gender, ethnicity and socioeconomic deprivation, indication, community or hospital prescribing and number of repeat prescriptions. Statistical analysis was performed using Chi-squared test and multinomial regression. Results: Most ophthalmic ciprofloxacin was used in the ear (84%). In contrast, almost all chloramphenicol was used in the eye (96%). Post-operative use following tympanostomy tube insertion accounted for half of all hospital-prescribed ophthalmic ciprofloxacin used in the ear. Utilisation of chloramphenicol and ciprofloxacin in the eye and ear was similar, with more prescriptions for children aged one year and males, and most children received only one prescription. Māori and Pacific children generally received fewer prescriptions. Pacific children were more likely than Māori children to receive hospital-prescribed ophthalmic ciprofloxacin for use in the ear (adjusted OR 6.7, p = 0.025). Conclusions: These findings highlight the utilisation of ophthalmic ciprofloxacin in the ear in NZ children. These findings will inform decision-making in the public funding of medications, policy development in equitable medication access, and more collaborative efforts to improve antimicrobial use. Full article
(This article belongs to the Special Issue Diagnosis and Management of Pediatric Ear and Vestibular Disorders)
9 pages, 1740 KB  
Article
The Temporal Distribution and Microbial Spectrum in Infectious Keratitis: A Comprehensive Single-Center Study
by Naoyuki Yamada, Nanako Iwamoto, Ayano Sakuma, Junki Sunada, Ren Aoki, Masanori Mikuni, Fumiaki Higashijima, Takuya Yoshimoto, Yukiko Morita and Kazuhiro Kimura
J. Clin. Med. 2025, 14(5), 1613; https://doi.org/10.3390/jcm14051613 - 27 Feb 2025
Cited by 1 | Viewed by 930
Abstract
Purpose: To elucidate pathogen-specific seasonal patterns in infectious keratitis through a comprehensive long-term analysis of microbiologically proven cases in a Japanese tertiary care center. Methods: This retrospective study analyzed 500 consecutive cases of culture-proven infectious keratitis diagnosed and treated by corneal specialists at [...] Read more.
Purpose: To elucidate pathogen-specific seasonal patterns in infectious keratitis through a comprehensive long-term analysis of microbiologically proven cases in a Japanese tertiary care center. Methods: This retrospective study analyzed 500 consecutive cases of culture-proven infectious keratitis diagnosed and treated by corneal specialists at Yamaguchi University Hospital between 2009 and 2021. Seasonal distribution patterns were analyzed for each pathogen category and specific microorganisms. Results: Among the 500 cases, bacteria were identified in 249 eyes (49.8%), viruses in 173 eyes (34.6%), fungi in 51 eyes (10.2%), and Acanthamoeba in 27 eyes (5.4%). The top 10 causative microorganisms constituted 80.4% of all cases. Distinct seasonal patterns emerged: bacterial keratitis peaked during winter months (October–March), Pseudomonas aeruginosa infections clustered in late summer (August–September), Acanthamoeba keratitis showed summer predominance (June–August), and HSV keratitis was most frequent in winter to spring (January–May). Overall incidence peaked from January to March and reached its nadir in June. Conclusions: This long-term study revealed distinct seasonal patterns for specific pathogens causing infectious keratitis in Japan. The findings suggest that geographical location and climate may influence the temporal distribution of corneal infections. These pathogen-specific seasonal trends could aid in the preliminary diagnosis and empirical treatment of infectious keratitis. Full article
(This article belongs to the Section Ophthalmology)
Show Figures

Figure 1

13 pages, 1352 KB  
Article
Risk Factors, Clinical Characteristics, and Antibiotic Susceptibility Patterns of Streptococcal Keratitis: An 18-Year Retrospective Study from a Tertiary Hospital in China
by Zhen Cheng, Qingquan Shi, Bo Peng, Zijun Zhang, Zhenyu Wei, Zhiqun Wang, Yang Zhang, Kexin Chen, Xizhan Xu, Xinxin Lu and Qingfeng Liang
Antibiotics 2024, 13(12), 1190; https://doi.org/10.3390/antibiotics13121190 - 6 Dec 2024
Cited by 1 | Viewed by 2105
Abstract
Purpose: Our aim was to investigate risk factors, clinical characteristics, and antibiotic susceptibility patterns of cornea-isolated Streptococcus species collected at a tertiary hospital in China over 18 years. Methods: This retrospective study reviewed data from 350 patients diagnosed with Streptococcal keratitis at Beijing [...] Read more.
Purpose: Our aim was to investigate risk factors, clinical characteristics, and antibiotic susceptibility patterns of cornea-isolated Streptococcus species collected at a tertiary hospital in China over 18 years. Methods: This retrospective study reviewed data from 350 patients diagnosed with Streptococcal keratitis at Beijing Tongren Hospital between January 2006 and December 2023, including demographics, risk factors, clinical signs, in vivo confocal microscopy (IVCM) imaging, and antibiotic susceptibility testing. Results: The predominant type was Streptococcus pneumoniae (n = 108, 29.8%), followed by Streptococcus mitis (n = 90, 24.9%) and Streptococcus oralis (n = 85, 23.5%). Main risk factors included previous ocular surface disease (24.6%), ocular surgery (21.4%), and trauma (16.3%). Significant differences in clinical characteristics were observed among S. pneumoniae, S. oralis, and S. mitis regarding infiltration location (p = 0.038) and size (p = 0.037), as well as hypopyon presence (p = 0.006). IVCM revealed deeper inflammatory cell distribution and structural disruption as the disease progressed. Resistance rates of aminoglycosides, β-lactams, and fluoroquinolones have increased, with significant differences among species for amikacin (p = 0.010), gentamicin (p = 0.007), and others. Poor outcomes correlated with disease duration over one month, central corneal ulcers, dense infiltrations, hypopyon, and scar tissue presence on IVCM. Conclusions:Streptococcal keratitis is a complex ocular infection with multiple risk factors. S. pneumoniae, S. mitis, and S. oralis are the primary causative agents, exhibiting varying clinical features and antibiotic resistance patterns. Key factors associated with poor outcomes include long disease duration, central corneal ulcers, and severe infiltration. Full article
(This article belongs to the Collection Antibiotics in Ophthalmology Practice)
Show Figures

Figure 1

11 pages, 1024 KB  
Article
Oxford Nanopore Technology-Based Identification of an Acanthamoeba castellanii Endosymbiosis in Microbial Keratitis
by Sebastian Alexander Scharf, Lennart Friedrichs, Robert Bock, Maria Borrelli, Colin MacKenzie, Klaus Pfeffer and Birgit Henrich
Microorganisms 2024, 12(11), 2292; https://doi.org/10.3390/microorganisms12112292 - 12 Nov 2024
Cited by 4 | Viewed by 1743 | Correction
Abstract
(1) Background: Microbial keratitis is a serious eye infection that carries a significant risk of vision loss. Acanthamoeba spp. are known to cause keratitis and their bacterial endosymbionts can increase virulence and/or treatment resistance and thus significantly worsen the course of the disease. [...] Read more.
(1) Background: Microbial keratitis is a serious eye infection that carries a significant risk of vision loss. Acanthamoeba spp. are known to cause keratitis and their bacterial endosymbionts can increase virulence and/or treatment resistance and thus significantly worsen the course of the disease. (2) Methods and Results: In a suspected case of Acanthamoeba keratitis, in addition to Acanthamoeba spp., an endosymbiont of acanthamoebae belonging to the taxonomic order of Holosporales was detected by chance in a bacterial 16S rDNA-based pan-PCR and subsequently classified as Candidatus Paracaedibacter symbiosus through an analysis of an enlarged 16S rDNA region. We used Oxford Nanopore Technology to evaluate the usefulness of whole-genome sequencing (WGS) as a one-step diagnostics method. Here, Acanthamoeba castellanii and the endosymbiont Candidatus Paracaedibacter symbiosus could be directly detected at the species level. No other microbes were identified in the specimen. (3) Conclusions: We recommend the introduction of WGS as a diagnostic approach for keratitis to replace the need for multiple species-specific qPCRs in future routine diagnostics and to enable an all-encompassing characterisation of the polymicrobial community in one step. Full article
(This article belongs to the Special Issue Feature Papers in Microbiomes)
Show Figures

Figure 1

20 pages, 2734 KB  
Article
Formulation of Thermo-Sensitive In Situ Gels Loaded with Dual Spectrum Antibiotics of Azithromycin and Ofloxacin
by Raghad Alsheikh, Ádám Haimhoffer, Dániel Nemes, Zoltán Ujhelyi, Pálma Fehér, Liza Józsa, Gábor Vasvári, Ágota Pető, Dóra Kósa, Lajos Nagy, László Horváth, Bence Balázs and Ildikó Bácskay
Polymers 2024, 16(21), 2954; https://doi.org/10.3390/polym16212954 - 22 Oct 2024
Cited by 10 | Viewed by 4753
Abstract
In situ gels have been developed as an innovative strategy to prolong corneal residence time and enhance drug absorption compared to traditional eye drops. Our study aimed to formulate an ophthalmic in situ gel with a combination of two thermosensitive poloxamers, P407 and [...] Read more.
In situ gels have been developed as an innovative strategy to prolong corneal residence time and enhance drug absorption compared to traditional eye drops. Our study aimed to formulate an ophthalmic in situ gel with a combination of two thermosensitive poloxamers, P407 and P188, in an optimal ratio not only to increase the time of action but also to increase the solubility of selected antibiotics for the treatment of ophthalmic infections. Two BSC II class substances, Azithromycin and Ofloxacin, with different mechanisms of action, have been incorporated into the in situ gel system after determining their solubility. The antibiotics-loaded in situ gel formulation was evaluated for its clarity, pH, rheological properties, and gel characteristics of gelling time, temperature, and capacity. The formulation demonstrated satisfactory clarity, appropriate pH, effective gelation properties in simulated tear fluid, and suitable rheological characteristics. In addition, APIs release insight has been studied through a dissolution test, and the effectivity against sensitive and resistant bacterial strains has been proved through the antimicrobial study. Therefore, our in situ gel system based on thermosensitive poloxamers, with two hydrophobic antibiotics, AZM and OFX, can be considered a valuable approach for ophthalmic drug delivery with an enhancement of the antibiotics bioavailability through increasing the contact time with the ocular surface and enhancing patient compliance. Full article
(This article belongs to the Special Issue Biopolymer-Based Materials in Medical Applications)
Show Figures

Figure 1

10 pages, 222 KB  
Article
Evaluation of 16S-Based Metagenomic NGS as Diagnostic Tool in Different Types of Culture-Negative Infections
by Sara Giordana Rimoldi, Alessandro Tamoni, Alberto Rizzo, Concetta Longobardi, Cristina Pagani, Federica Salari, Caterina Matinato, Chiara Vismara, Gloria Gagliardi, Miriam Cutrera and Maria Rita Gismondo
Pathogens 2024, 13(9), 743; https://doi.org/10.3390/pathogens13090743 - 30 Aug 2024
Cited by 6 | Viewed by 2575
Abstract
Bacterial infections pose significant global health challenges, often underestimated due to difficulties in accurate diagnosis, especially when culture-based diagnostics fail. This study assesses the effectiveness of 16S-based metagenomic next generation sequencing (NGS) for identifying pathogens in culture-negative clinical samples across various medical settings. [...] Read more.
Bacterial infections pose significant global health challenges, often underestimated due to difficulties in accurate diagnosis, especially when culture-based diagnostics fail. This study assesses the effectiveness of 16S-based metagenomic next generation sequencing (NGS) for identifying pathogens in culture-negative clinical samples across various medical settings. Overall, 48% of samples were collected from orthopedics, 15% from neurosurgery, and 12% in cardiac surgery, among others. The detection rate of monomicrobial infections was 68.6%, and 5.7% for polymicrobial infections. In addition, NGS detected bacteria in all samples from the lungs, head and neck, and eye specimens. Cutibacterium acnes (11%, 12/105) was the most frequent microorganism, followed by Staphylococcus epidermidis (10.4%, 11/105), and Staphylococcus aureus (9.5%, 10/105). In conclusion, 16S-targeted metagenomic sequencing enhances pathogen detection capabilities, particularly in instances where traditional cultures fail. By the combination of NGS and bacterial cultures, microbiologists might provide a more accurate diagnosis, guiding more effective treatments and potentially reducing healthcare costs associated with empirical treatments. Full article
21 pages, 5375 KB  
Article
Formulation and Development of Nanofiber-Based Ophthalmic Insert for the Treatment of Bacterial Conjunctivitis
by Eszter Farkas, Houssam Abboud, Nándor Nagy, Bálint Hofmeister, Eszter Ostorházi, Bence Tóth, Balázs Pinke, László Mészáros, Romána Zelkó and Adrienn Kazsoki
Int. J. Mol. Sci. 2024, 25(17), 9228; https://doi.org/10.3390/ijms25179228 - 25 Aug 2024
Cited by 6 | Viewed by 2819
Abstract
A novel ophthalmic delivery system utilizing levofloxacin-loaded, preservative-free, nanofiber-based inserts was investigated. Polyvinyl alcohol (PVA) and Poloxamer 407 (Polox)were employed as matrix materials, while hydroxypropyl-beta-cyclodextrin (HP-β-CD) was a solubilizer. The formulations were prepared via electrospinning and characterized for fiber morphology, drug dissolution, cytotoxicity, [...] Read more.
A novel ophthalmic delivery system utilizing levofloxacin-loaded, preservative-free, nanofiber-based inserts was investigated. Polyvinyl alcohol (PVA) and Poloxamer 407 (Polox)were employed as matrix materials, while hydroxypropyl-beta-cyclodextrin (HP-β-CD) was a solubilizer. The formulations were prepared via electrospinning and characterized for fiber morphology, drug dissolution, cytotoxicity, and antimicrobial activity. Scanning electron microscopy confirmed uniform fibrous structures. Fourier Transform Infrared spectroscopy and X-ray diffraction analyses demonstrated the amorphous state of levofloxacin within the fibers. In vitro dissolution studies revealed a rapid (within 2 min) and complete drug release, with higher HP-β-CD levels slightly delaying the release. Cytotoxicity tests showed increased HP-β-CD concentrations induced irritation, that was mitigated by sodium hyaluronate. The antimicrobial efficacy of the nanofibers was comparable to conventional eye drops, with lower minimum inhibitory concentrations for most tested strains. The nanofibrous formulation prepared from a PVA–Polox-based viscous solution of the drug:CD 1:1 mol ratio, containing 0.4% (w/w) sodium hyaluronate) was identified as a particularly promising alternative formulation due to its rapid and complete dissolution, good biocompatibility, and effective antimicrobial properties. Its gelling properties indicate that the residence time on the eye surface can be increased, potentially reducing discomfort and enhancing therapeutic outcomes. The nanofibrous formulations enhanced antimicrobial efficacy, providing a preservative-free alternative that minimizes the potential eye irritation that might occur because of the preservative agent and reduces the administrated dose frequency by extending the drug’s retention time on the eye’s surface. Subsequently, it improves patients’ adherence, which would reflect positively on the bioavailability. The levofloxacin-HP-β-CD nanofibers demonstrate promise as an alternative to traditional eye drops, offering advantages in solubility, stability, and patient compliance for ocular infection treatment. Full article
Show Figures

Figure 1

6 pages, 2085 KB  
Interesting Images
The Role of OCT in Follow-Up of Fungal Keratitis Caused by Beauveria bassiana in Contact Lens Wearer
by Cristina Martínez-Gil, María José Roig-Revert, Ester Fernández-López, Rosa María González-Pellicer, Juan José Camarena-Miñana and Cristina Peris-Martínez
Diagnostics 2024, 14(13), 1382; https://doi.org/10.3390/diagnostics14131382 - 28 Jun 2024
Cited by 1 | Viewed by 1955
Abstract
A 25-year-old Caucasic female was referred to our clinic after suffering from infectious keratitis in the right eye for a month. The patient was a contact lens user and had no history of ocular trauma. Furthermore, the patient did not report any relevant [...] Read more.
A 25-year-old Caucasic female was referred to our clinic after suffering from infectious keratitis in the right eye for a month. The patient was a contact lens user and had no history of ocular trauma. Furthermore, the patient did not report any relevant antecedent. The main complaint was intense photophobia and pain. Infectious keratitis remains one of the main complications of contact lens wear and can become a therapeutic challenge in some patients. Although the most frequent causal agent is bacterial, other causes such as herpes virus, Acanthamoeba or fungi should be considered when antimicrobial therapy does not work as expected clinically. Fungal keratitis normally appears on previously damaged corneas, but it can also develop in contact lens wearers. Beauveria bassiana is an unusual pathogen which has been diagnosed more frequently lately per the clinical reports in the last 30 years, so it can be included in the diagnostic scheme when a fungal keratitis is suspected. In clinical management, AS-OCT may be a functional tool to assess the evolution and monitor the response to microbial agents and surgery. Although more studies are needed, some characteristic features have been described and can help to diagnose a fungal keratitis against other infections. AS-OCT can also play an important role in monitoring the corneal scarring after the keratitis episode, and it may be useful to plan post-infection therapy for visual rehabilitation. Full article
(This article belongs to the Special Issue Optical Coherence Tomography in Diagnosis of Ophthalmology Disease)
Show Figures

Figure 1

Back to TopTop