Sign in to use this feature.

Years

Between: -

Subjects

remove_circle_outline
remove_circle_outline
remove_circle_outline
remove_circle_outline
remove_circle_outline
remove_circle_outline
remove_circle_outline
remove_circle_outline
remove_circle_outline

Journals

remove_circle_outline
remove_circle_outline
remove_circle_outline
remove_circle_outline
remove_circle_outline
remove_circle_outline
remove_circle_outline
remove_circle_outline
remove_circle_outline
remove_circle_outline

Article Types

Countries / Regions

remove_circle_outline
remove_circle_outline
remove_circle_outline
remove_circle_outline
remove_circle_outline

Search Results (779)

Search Parameters:
Keywords = back muscle

Order results
Result details
Results per page
Select all
Export citation of selected articles as:
15 pages, 6812 KB  
Article
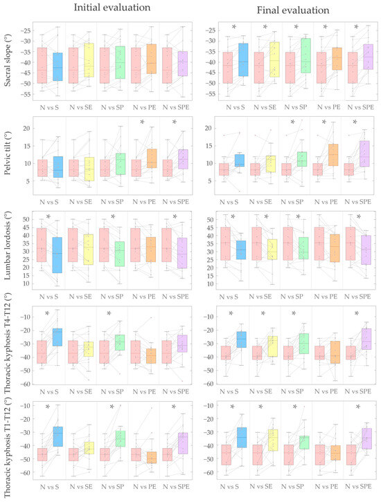
Effect of Specific Postural and Breathing Instructions on the Sagittal Alignment of the Spinopelvic Complex Before and After a Dedicated Muscle Strengthening Program: A Pilot Study in a Gymnast Population
by Camille Eyssartier, Pierre Billard, Patricia Thoreux and Christophe Sauret
J. Funct. Morphol. Kinesiol. 2026, 11(2), 171; https://doi.org/10.3390/jfmk11020171 - 24 Apr 2026
Abstract
Background: Gymnasts are reported as a population at high risk of low back pain. The prevention and treatment of low back pain often rely on improving the effectiveness of deep stabilizer muscles efficiency through exercises that aim to reach spinal alignment and [...] Read more.
Background: Gymnasts are reported as a population at high risk of low back pain. The prevention and treatment of low back pain often rely on improving the effectiveness of deep stabilizer muscles efficiency through exercises that aim to reach spinal alignment and axial lengthening. However, the scientific evidence regarding the effect of the specific instructions used during exercises on the spinopelvic complex is still lacking. To address this gap of knowledge, the aim of this pilot study was to examine the effect of specific postural and breathing instructions (spine straightening, forced expiration and perineal contraction) on the sagittal alignment of the spine before and after fifteen weeks of a specific muscle strengthening program. Methods: Sixteen gymnasts consented to participate in this study. Low-dose biplanar radiographic images were taken in neutral position and in the five specific postures before and after the program and associated skeletal 3D reconstructions were performed allowing calculation of sacral slope, pelvic tilt, lumbar lordosis and thoracic kyphosis. Results: At the end of the program, most of the postures tested led to a decrease in sacral slope, an increase in pelvic tilt, a reduction in lumbar lordosis, and a decrease in thoracic kyphosis, but with varying efficiency; the condition combining spine straightening, perineal contraction and forced expiration appeared to be the most effective in influencing all parameters simultaneously. Conclusions: The results strongly encourage combining an instruction of spine straightening with instructions of both expiration and perineal contraction, which is information of interest for coaches, physiotherapists and medical professionals. Full article
(This article belongs to the Section Kinesiology and Biomechanics)
Show Figures

Figure 1

15 pages, 2290 KB  
Article
External Load, More than Surface Instability, Drives Post-Activation Performance Enhancement in Split Squat Conditioning Activity: Phase-Specific EMG Responses
by Jinyong Sim, Hanbee Jang, Yujin Jeong and Sanghee Park
J. Clin. Med. 2026, 15(8), 2927; https://doi.org/10.3390/jcm15082927 - 12 Apr 2026
Viewed by 286
Abstract
Background: Conditioning activity (CA) is used to elicit post-activation performance enhancement (PAPE), but it is unclear whether load response principles from back squat models generalize to unilateral split squat conditioning when external load and surface instability are manipulated together. Thus, the current study [...] Read more.
Background: Conditioning activity (CA) is used to elicit post-activation performance enhancement (PAPE), but it is unclear whether load response principles from back squat models generalize to unilateral split squat conditioning when external load and surface instability are manipulated together. Thus, the current study examined acute effects of stable vs. unstable split squat CA with or without external load on jump performance and phase-specific electromyography (EMG). Methods: Twenty men completed a randomized crossover of three CAs (2 × 3 reps): unloaded stable split squat (SS), unloaded BOSU SS, and BOSU loaded at 50% split squat one-repetition maximum. Single leg jump (SLJ) and countermovement jump (CMJ) were assessed pre-CA and at 3 min (SLJ) and 4 min (CMJ) post-CA. EMG was recorded from the biceps femoris (BF), semitendinosus (ST), vastus lateralis (VL), vastus medialis (VM) gluteus medius (Gmed), peroneus longus (PL), gastrocnemius lateralis (GL) and gastrocnemius medialis (GM). Signals were time-normalized across the split squat cycle and quantified using phase-specific area under the curve (AUC) (descending/ascending). Results: SLJ and CMJ increased after all conditions compared with the pre-test (p < 0.05). SS and unloaded BOSU SS produced comparable jump outcomes, whereas BOSU loaded yielded the greatest CMJ increase (p < 0.04). Unloaded BOSU SS selectively increased hamstring activation (BF, ST) without changes in Gmed or PL. BOSU loaded increased EMG amplitude across all measured muscles. Conclusions: External load primarily drives acute CMJ potentiation, whereas instability mainly redistributes recruitment toward the hamstrings without improving jump performance beyond the stable condition. These findings indicated that when the goal is acute jump enhancement, external load should be prioritized, whereas unstable surfaces may be used to selectively target posterior chain activation. Full article
(This article belongs to the Special Issue Advances in Musculoskeletal Rehabilitation and Functional Movement)
Show Figures

Figure 1

17 pages, 5304 KB  
Article
Design and Experimental Evaluation of a Shoulder Assistive Exoskeleton for Insulator Replacement
by Haoyuan Chen, Jia Yao, Ming Li, Hongwei Hu, Zhan Yang, Siyu Tu, Yalun Liu, Zimeng Wang and Zhao Guo
Sensors 2026, 26(8), 2313; https://doi.org/10.3390/s26082313 - 9 Apr 2026
Viewed by 327
Abstract
Aiming to reduce muscle fatigue and prevent occupational injuries caused by prolonged lifting in insulator replacement operations, this study presents the design of an upper-limb exoskeleton. Firstly, this study performs kinematic analysis and phase segmentation of the lifting motion in the insulator replacement [...] Read more.
Aiming to reduce muscle fatigue and prevent occupational injuries caused by prolonged lifting in insulator replacement operations, this study presents the design of an upper-limb exoskeleton. Firstly, this study performs kinematic analysis and phase segmentation of the lifting motion in the insulator replacement operation. Based on the analysis, in terms of mechanical structure, the proposed upper-limb exoskeleton adopts a unilateral three-degree-of-freedom shoulder mechanism that biomimics the human glenohumeral joint, which reduces the misalignment between the exoskeleton and the human body. Meanwhile, a waist–back support structure is integrated into the exoskeleton to realize a more reasonable torque transmission path. In terms of the control strategy, based on the operation’s phase segmentation and dynamic modeling of the human upper limb, this study develops a neural network-based assistive control algorithm for insulator replacement operations, enabling the exoskeleton to provide phase-specific torque output. Experimental results demonstrate that, under a simulated insulator replacement operation with a 20 kg load, the exoskeleton significantly reduces the subject’s sEMG activity of the biceps brachii and triceps brachii, effectively alleviating muscle fatigue. Full article
(This article belongs to the Section Sensors and Robotics)
Show Figures

Figure 1

14 pages, 1653 KB  
Article
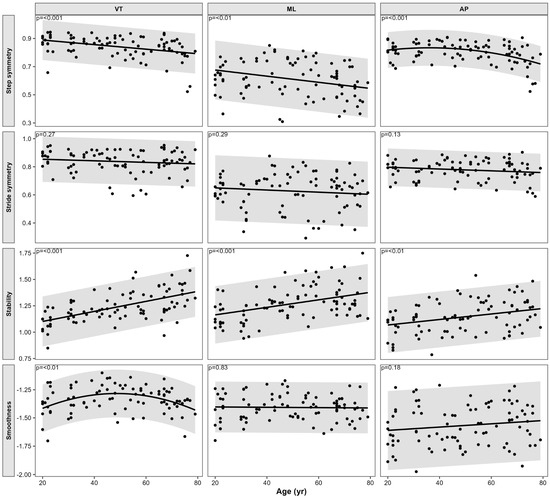
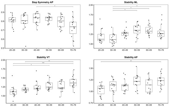
Age-Related Differences Across Adulthood in IMU-Derived Gait Quality During Habitual Walking
by Jiahui Wang, Abner Sergooris, Annick A. A. Timmermans and Benedicte Vanwanseele
Sensors 2026, 26(7), 2194; https://doi.org/10.3390/s26072194 - 2 Apr 2026
Viewed by 313
Abstract
Age-related changes in walking are often evaluated using performance-based measures, but little is known about how trunk-derived gait quality changes across healthy adulthood during habitual walking. This study examined gait quality using a single inertial measurement unit positioned at the lower back to [...] Read more.
Age-related changes in walking are often evaluated using performance-based measures, but little is known about how trunk-derived gait quality changes across healthy adulthood during habitual walking. This study examined gait quality using a single inertial measurement unit positioned at the lower back to record acceleration and angular velocity signals during approximately 5 min of continuous self-selected overground habitual walking in healthy adults across multiple age groups spanning adulthood. Step and stride symmetry were derived from trunk acceleration autocorrelation, local dynamic stability was quantified using the maximum Lyapunov exponent, and smoothness was derived from trunk angular velocity. Associations with age were evaluated, and additional analyses examined whether hip muscle strength and physical activity contributed to inter-individual variation in these gait measures. Age was associated with lower step symmetry and reduced local dynamic stability, whereas smoothness showed more limited age-related changes. Hip extensor and internal rotator strength explained additional variance in specific gait quality measures, while physical activity showed limited associations. These findings indicate that a single lower-back IMU can detect subtle age-related differences in interpretable gait quality during habitual walking across adulthood. Full article
(This article belongs to the Section Wearables)
Show Figures

Figure 1

11 pages, 1490 KB  
Communication
Analyzing Complex Non-Linear Fascia-Muscle Interactions Using Cross-Recurrence Quantification Analysis
by Andreas Brandl, Marcus Müller and Robert Schleip
Stats 2026, 9(2), 35; https://doi.org/10.3390/stats9020035 - 25 Mar 2026
Viewed by 354
Abstract
Biophysical, neurophysiological, psychological and social processes along with their interactions are complex, often non-linear and inherently time-dependent. However, time series analysis of such measurements usually requires extensive data processing and is therefore potentially associated with structural biases. This exploratory secondary analysis introduces cross-recurrence [...] Read more.
Biophysical, neurophysiological, psychological and social processes along with their interactions are complex, often non-linear and inherently time-dependent. However, time series analysis of such measurements usually requires extensive data processing and is therefore potentially associated with structural biases. This exploratory secondary analysis introduces cross-recurrence quantification analysis (CRQA), which is explicitly suited to time series with complicated non-stationary properties. We illustrate and validate CRQA using a previous study that investigated the dynamic relationship between thoracolumbar fascia deformation and back extensor muscle activity in patients with low back pain. CRQA revealed significant differences in the relationships between fascia and muscles in low back pain patients compared to healthy individuals. The analysis revealed more specific aspects of fascia-muscle coupling than traditional analytical approaches, suggesting that CRQA is a useful additional tool for investigating time-dependent interactions with dynamic complex nonlinear patterns. Full article
Show Figures

Figure 1

13 pages, 775 KB  
Article
Effects of Stabilization Exercises and Pelvic Floor Muscle Training on Urinary Parameters in Individuals with Chronic Low Back Pain and Urinary Incontinence: A Randomized Controlled Trial
by İbrahim Küçükcan and Yavuz Yakut
J. Clin. Med. 2026, 15(6), 2333; https://doi.org/10.3390/jcm15062333 - 18 Mar 2026
Viewed by 475
Abstract
Background/Objectives: This randomized controlled trial aimed to investigate the effects of stabilization exercises combined with pelvic floor muscle training (PFMT) on urinary parameters in individuals with chronic low back pain (CLBP) and urinary incontinence. Methods: A total of 44 women aged [...] Read more.
Background/Objectives: This randomized controlled trial aimed to investigate the effects of stabilization exercises combined with pelvic floor muscle training (PFMT) on urinary parameters in individuals with chronic low back pain (CLBP) and urinary incontinence. Methods: A total of 44 women aged 18–65 years were randomized into three groups: PFMT combined with stabilization exercises, standard PFMT group, and a control group. The intervention groups participated in an 8-week exercise program. Urinary symptoms, anxiety, and quality of life were assessed using validated questionnaires. Results: The primary outcome (UDI) demonstrated significantly greater improvement in the PFMT combined with stabilization group compared with both the standard PFMT and control groups (p < 0.01). Post-treatment comparisons indicated that both intervention groups showed significant improvements in urinary symptoms and quality of life compared with the control group (p < 0.05). Conclusions: PFMT combined with stabilization exercises may be an effective approach for improving urinary parameters. Further studies are warranted to better elucidate the efficacy of PFMT combined with stabilization exercises. Trial Registration: ClinicalTrials.gov Identifier: NCT05666427. Full article
Show Figures

Figure 1

29 pages, 2065 KB  
Article
Effects of Caffeine Ingestion on Morning Cognitive and Muscle Strength Measures in Males: A Standardized Approach
by João P. S. Agulhari, Neil Chester, Magali Giacomoni, Karl C. Gibbons, Dani Hajdukiewicz, Haydyn L. O’Brien, Thomas D. O’Brien, Jack Jensen, Briony Lucas, Samantha L. Moss, Samuel A. Pullinger and Ben J. Edwards
Nutrients 2026, 18(6), 954; https://doi.org/10.3390/nu18060954 - 18 Mar 2026
Viewed by 2188
Abstract
Background/Objectives: We investigated whether ingestion of caffeine (~1 h before) was beneficial to subsequent morning (07:30 h), mood, strength and cognitive measures. Methods: Fourteen recreationally active males were recruited and completed six sessions: (i) one repetition maximum (1RM) for bench press [...] Read more.
Background/Objectives: We investigated whether ingestion of caffeine (~1 h before) was beneficial to subsequent morning (07:30 h), mood, strength and cognitive measures. Methods: Fourteen recreationally active males were recruited and completed six sessions: (i) one repetition maximum (1RM) for bench press and back squat; (ii) two familiarization sessions of strength measures; (iv) three experimental conditions administered in a double-blinded, randomized counterbalanced design order, either caffeine (Caffeine [CAFF], 300 mg or 2.8–4.3 mg/kg body weight), placebo (Placebo [PLAC]) ingested at 06:30 h, or no-pill control (No Pill [NoPill]). For each experimental session, on arrival at the laboratory, rectal and skin temperature were measured as well as a battery of cognitive performance through a battery of tests (trail-making test, Rey’s auditory verbal learning test, and Stroop word–colour interference test). Thereafter, maximum voluntary contraction on an isometric chair (MVC) without and with stimulation was conducted, and three repetitions were performed at 40, 60 and 80% of 1RM for bench press and back squat. Average power (AP), average velocity (AV), peak velocity (PV), mean propulsive velocity (MPV), average acceleration (RDV), displacement (D) and time-to-peak velocity (tPV) were recorded using MuscleLab linear encoders. Rating of perceived exertion and effort was asked after each set (RPE). The data was analysed using a general linear model with repeated measures. Results: MVC peak-force values with and without stimulation showed a significant increase in the CAFF condition compared to values for NoPill and with stimulation PLAC conditions (stim: Δ9.0 and 8.7%; no stim: 8.3%; p < 0.05; η2p = 0.33 and 0.42). Greater muscle % activation was achieved for the CAFF than the other conditions (~6%, p ≤ 0.042; η2p = 0.33). In the non-stimulated MVC, RPE was perceived as easier (4.8%, p = 0.04). AV and MPV values were higher in both bench press (Δ3.3 and 4.6%) and back squat (Δ7.7 and 9.2%) in CAFF than the PLAC condition (p = 0.031; η2p = 0.24 and 0.23 and 0.24 and 0.32). CAFF improved auditory total recall compared to NoPill (9.5%, p = 0.040; η2p = 0.22). Conclusions: Early morning ingestion of caffeine improved MVC to levels observed by others in the evening, as well as some aspects of bench press, back squat and recall performance. Caffeine ingestion had no effect on core temperature, mood, tiredness, alertness or other measures of cognitive performance. Full article
(This article belongs to the Section Sports Nutrition)
Show Figures

Figure 1

18 pages, 1362 KB  
Article
Back Muscle Strength Is Associated with Self-Reported Morning-Erection Frequency in Apparently Healthy Japanese Male University Students: A Cross-Sectional Study
by Yoshiaki Endo, Takazo Tanaka, Kosuke Kojo, Chiaki Matsumoto, Masahiro Kurobe, Hiroyuki Nishiyama, Tatsuya Takayama and Jun Miyazaki
Healthcare 2026, 14(6), 759; https://doi.org/10.3390/healthcare14060759 - 18 Mar 2026
Cited by 1 | Viewed by 572
Abstract
Background/Objectives: Morning erections provide an intercourse-independent indicator of nocturnal erectile physiology. We aimed to examine whether body mass index (BMI) and muscle strength are associated with morning-erection frequency in apparently healthy Japanese male university students. Methods: This cross-sectional study analyzed 125 [...] Read more.
Background/Objectives: Morning erections provide an intercourse-independent indicator of nocturnal erectile physiology. We aimed to examine whether body mass index (BMI) and muscle strength are associated with morning-erection frequency in apparently healthy Japanese male university students. Methods: This cross-sectional study analyzed 125 men with complete data (170 assessed; 45 excluded). Handgrip and back muscle strength were measured using dynamometry; BMI was calculated from height and weight. Morning-erection frequency was assessed using a single 6-category item and was dichotomized as low vs. high. Univariable and multivariable logistic regression models were fitted. Exploratory principal component analysis (PCA) and k-means clustering (k = 2, silhouette-supported) were performed. Results: Seventy-four participants (59.2%) were classified as low frequency. Back muscle strength was associated with high frequency (univariable odds ratio [OR] 1.61; 95% confidence interval [CI] 1.07–2.42; and p = 0.021) and remained significant after adjustment for BMI and handgrip strength (OR 1.88; 95% CI 1.02–3.47; and p = 0.045), whereas BMI and handgrip strength were not significant. Clustering identified two clusters (n = 41 and n = 84); Cluster 2 (higher BMI/strength) had a higher proportion of high morning-erection frequency (48% vs. 27%). Conclusions: In apparently healthy young men, greater back muscle strength was independently associated with higher self-reported morning-erection frequency. In this cohort, 59.2% reported infrequent morning erections, suggesting potential relevance even in early adulthood. Given the exploratory clustering, the single-item outcome, and likely residual confounding, these findings are hypothesis-generating and warrant longitudinal validation. Full article
Show Figures

Figure 1

19 pages, 3652 KB  
Article
Musculoskeletal and Ergonomic Demands of the Pumping Maneuver in Laser-Class Sailing: An Integrated Biomechanical Analysis
by Carlotta Fontana, Nicola Laiola, Alessandro Naddeo and Rosaria Califano
Sports 2026, 14(3), 113; https://doi.org/10.3390/sports14030113 - 13 Mar 2026
Viewed by 411
Abstract
Background: Pumping in Laser-class sailing is a dynamic propulsion technique used in marginal wind conditions and characterized by repetitive, coordinated oscillations of the sailor–sail system. Despite its practical relevance, its biomechanical and ergonomic demands remain insufficiently characterized. Methods: A mixed-methods framework was applied [...] Read more.
Background: Pumping in Laser-class sailing is a dynamic propulsion technique used in marginal wind conditions and characterized by repetitive, coordinated oscillations of the sailor–sail system. Despite its practical relevance, its biomechanical and ergonomic demands remain insufficiently characterized. Methods: A mixed-methods framework was applied combining questionnaire data, kinematic analysis, ergonomic assessment, and musculoskeletal modelling. Thirty-six competitive Laser sailors completed a Borg CR-10-based questionnaire on perceived discomfort/fatigue across body regions at predefined time points (during pumping, immediately after training, and the following day). A controlled land-based multi-angle video acquisition was used to reconstruct a standardized pumping posture and parameterize a digital human model in DELMIA® for postural/kinematic analysis. Ergonomic risk was assessed using REBA, and muscle activity was estimated using the AnyBody® Modeling System (simulation-derived normalized muscle activity across 129 muscles). Results: the simulation identified high neuromuscular demand in the trunk and shoulder complex, with several deep trunk stabilizers and the left latissimus dorsi reaching 100% modeled normalized muscle activity. Marked lateral asymmetry was observed, with right-sided trunk dominance and left-sided shoulder dominance. Kinematic analysis showed substantial joint excursions, with large lumbar motion amplitudes, while REBA yielded a score of 11 (Very-High Risk). Questionnaire data indicated a high prevalence of pumping-related musculoskeletal discomfort (72.2%), most frequently involving the lower back, shoulders, and knees. A dissociation was observed between modeled muscle activity and perceived fatigue, with the lower limbs rated as most fatigued despite lower modeled activation than the trunk. Conclusions: Findings identify the deep trunk stabilizers, latissimus dorsi, and lower extremities as key regions involved in pumping, with marked lateral asymmetry and high ergonomic risk. They support targeted training, injury-prevention, and ergonomic strategies to improve performance and reduce injury risk in competitive sailing. Full article
Show Figures

Figure 1

14 pages, 2624 KB  
Article
From Physiology to Practice: Validation of Eccentric Velocity Monitoring Using an Optoelectronic System
by Fernando Martin-Rivera, Darío Rodrigo-Mallorca, Jose Vidal-Vidal, Luis M. Franco-Grau, Angel Saez-Berlanga and Iván Chulvi-Medrano
Sensors 2026, 26(6), 1797; https://doi.org/10.3390/s26061797 - 12 Mar 2026
Viewed by 353
Abstract
Background: Accurate monitoring of eccentric phase velocity is needed to support velocity-based training (VBT), yet field-valid tools for multi-joint exercises are scarce. This study evaluated the concurrent validity and reliability of an optoelectronic device to quantify eccentric phase velocity during the Smith machine [...] Read more.
Background: Accurate monitoring of eccentric phase velocity is needed to support velocity-based training (VBT), yet field-valid tools for multi-joint exercises are scarce. This study evaluated the concurrent validity and reliability of an optoelectronic device to quantify eccentric phase velocity during the Smith machine back squat. Methods: A total of 20 resistance-trained men completed two sessions and performed three repetitions at three submaximal loads (20, 50, and 70 kg). Eccentric mean velocity and peak velocity (Vmax) were recorded simultaneously using PowerTrackTM and a criterion system (MuscleLabTM). Validity was assessed using ordinary least products regression, Lin’s concordance correlation coefficient (CCC), and Bland–Altam analysis. Reliability was examined via intraclass correlation coefficients (ICC), standard error of measurement (SEM), coefficient of variation, and minimum detectable change. Results: Agreement between devices was very high for Vmax (slope ≈ 1.00; CCC = 0.95), with a small constant bias. Eccentric mean velocity showed proportional bias under higher velocity conditions, whereas overall concordance remained high (CCC = 0.95). Inter-session reliability was excellent (ICC = 0.87–0.96), with low SEM values for eccentric velocity metrics. Conclusions: PowerTrackTM can be a valid and reliable tool for monitoring eccentric phase velocity during the Smith machine back squat, with Vmax representing the most robust metric for applied eccentric VBT. Full article
(This article belongs to the Collection Sensor Technology for Sports Science)
Show Figures

Figure 1

19 pages, 1655 KB  
Article
Neurofunctional Assessments in Lumbar Spondylosis: Outcomes After Rehabilitation Treatment
by Andreea Ancuta Talinga, Roxana Ramona Onofrei, Ada-Maria Codreanu, Alexandra Laura Mederle, Veronica Aurelia Romanescu, Marius-Zoltan Rezumes, Oana Suciu, Dan-Andrei Korodi and Claudia Borza
J. Funct. Morphol. Kinesiol. 2026, 11(1), 114; https://doi.org/10.3390/jfmk11010114 - 9 Mar 2026
Viewed by 480
Abstract
Background: Lumbar spondylosis is a frequent cause of chronic low back pain, often associated with radiculopathy. Although imaging evaluation is widely used, it does not always reflect the degree of functional impairment of the nerve roots. Electrophysiological assessments, such as nerve conduction [...] Read more.
Background: Lumbar spondylosis is a frequent cause of chronic low back pain, often associated with radiculopathy. Although imaging evaluation is widely used, it does not always reflect the degree of functional impairment of the nerve roots. Electrophysiological assessments, such as nerve conduction studies (NCS) and surface electromyography (sEMG), can provide additional information on neuromuscular function under conservative treatment. Methods: This quasi-experimental study included 60 patients with lumbar spondylosis and 25 healthy subjects, who underwent clinical, imaging, and electrophysiological assessments. NCS and sEMG parameters were assessed in the patient group before and six months after rehabilitation treatment. The control group was assessed only once, at baseline. We analyzed the nerve conduction velocity of the tibial and peroneal nerves and the sEMG activity of the tibialis anterior muscle bilaterally. Statistical analysis used nonparametric tests, Spearman’s coefficient, and Hodges–Lehmann estimates. Results: Compared to the control group, patients presented increased residual latencies and reduced CMAP amplitude and motor conduction velocity values (p < 0.001). After rehabilitation treatment, significant improvements in NCS parameters were observed, with decreased latencies and increased CMAP amplitude and motor conduction velocity bilaterally (p < 0.001). Also, sEMG amplitude and recruitment pattern scores increased significantly at the 6-month follow-up (p ≤ 0.004). Correlations between electrophysiological parameters and the severity of imaging changes were limited, with modest associations for left tibial latencies (ρ = 0.401–0.467; p < 0.050). Conclusions: In patients with lumbar spondylosis, rehabilitation treatment was associated with functional improvements in nerve conduction velocity parameters and muscle activity. Full article
Show Figures

Figure 1

14 pages, 1440 KB  
Article
Optimizing High-Intensity Functional Training Performance: Individualized Load Prescription vs. Standardized Weights
by Alejandro Oliver-López, Rafael Sabido, Tom Brandt and Annette Schmidt
Sports 2026, 14(3), 108; https://doi.org/10.3390/sports14030108 - 9 Mar 2026
Viewed by 561
Abstract
Background: This study compares the effects of relativized barbell loads (% of one-repetition maximum or 1RM) versus standardized prescribed loads on High-Intensity Functional Training (HIFT) performance, strength adaptations, physiological response, and perceived effort. Methods: In total, 22 experienced HIFT athletes (12 males, 10 [...] Read more.
Background: This study compares the effects of relativized barbell loads (% of one-repetition maximum or 1RM) versus standardized prescribed loads on High-Intensity Functional Training (HIFT) performance, strength adaptations, physiological response, and perceived effort. Methods: In total, 22 experienced HIFT athletes (12 males, 10 females) were randomly assigned to either a standardized load (SL) or relativized load (RL) group. Both groups completed an 8-week HIFT program with benchmark workouts. Performance was assessed using a local muscle endurance test, maximal strength through 1RM testing (back squat, clean, and clean and jerk), and neuromuscular performance via countermovement jump (CMJ). Cardiopulmonary response (VO2peak, VO2mean, heart rate, and blood lactate levels) and perceived effort (Borg CR-10) were also evaluated. Results: RL participants did not show a difference in the interaction between group and time in TT performance but differences were founded for strength gains in back squat (p = 0.005, 95% CI [3.1, 8.6]) and clean (p = 0.027, 95% CI [1.2, 5.7]) compared to the SL group. No significant differences were found in clean and jerk performance or CMJ height. Cardiopulmonary responses were similar between groups, indicating comparable physiological stress. RL participants reported significantly lower perceived exertion (p < 0.001, 95% CI [6.3, 9.8]), suggesting more efficient load management and recovery. Conclusions: Use of individualized loads based on 1RM enhanced HIFT performance and strength adaptations, without increasing physiological stress, enabling more efficient training with reduced fatigue. Full article
Show Figures

Figure 1

19 pages, 746 KB  
Article
Position-Specific Kinanthropometric Traits of Professional American Football Players: A Study of Mexican LFA Players
by Luis Gerardo Vázquez-Villarreal, Wiliam Carvajal-Veitía, Gustavo Guevara-Balcázar, Claudia Maceroni, Pedro López-Sánchez and María del Carmen Castillo-Hernández
J. Funct. Morphol. Kinesiol. 2026, 11(1), 109; https://doi.org/10.3390/jfmk11010109 - 5 Mar 2026
Viewed by 990
Abstract
Background: This cross-sectional observational study aimed to describe the position-specific kinanthropometric characteristics of Mexican professional American football players competing in the 2019–2020 seasons of the Liga de Fútbol Americano. Methods: A total of 189 athletes were assessed following International Society for [...] Read more.
Background: This cross-sectional observational study aimed to describe the position-specific kinanthropometric characteristics of Mexican professional American football players competing in the 2019–2020 seasons of the Liga de Fútbol Americano. Methods: A total of 189 athletes were assessed following International Society for the Advancement of Kinanthropometry standards. Twenty-six anthropometric variables were measured to estimate body composition (five-way fractionation), somatotype, proportionality indices, and tissue-specific masses. Positional differences were examined using ANOVA or Kruskal–Wallis tests with corresponding effect sizes (η2 or ε2). An exploratory stepwise discriminant analysis identified the anthropometric dimensions contributing most to positional differentiation, and classification accuracy was calculated. Results: Offensive and defensive linemen showed the greatest absolute size and higher adipose, muscle, and bone mass compared with other positions. The overall somatotype corresponded to a balanced endomorphic mesomorph (3.8–7.0–0.8), with wide receivers and defensive backs presenting lower endomorphy. The discriminant model identified arm relaxed girth, biiliocristal breadth, and sitting height as the variables contributing most to positional differentiation, achieving a classification accuracy of 57.7%. Given its exploratory nature and the absence of cross-validation, the discriminatory capacity of the model should be interpreted with caution. Somatotype Attitudinal Mean indicated greater interpositional heterogeneity among linemen. Conclusions: This study provides population-specific reference data for Mexican professional American football players, highlighting clear positional morphological characteristics. These findings may support talent identification and positional profiling; however, the exploratory discriminant model and league-specific sample limit generalization to other populations. Full article
Show Figures

Figure 1

18 pages, 1954 KB  
Article
Volatile Odor Compounds by HS-SPME-GC-MS and Nutritional Composition of Hybrid Sturgeon (Acipenser baerii ♀ × Acipenser schrenckii ♂) Back Muscle: Freshwater vs. Seawater Cultivation
by Yali Yu, Li Chen, Zhen Li, Jie Peng, Li Zhu, Yan Wu, Xuelian Ren, Tong Li and Li He
Foods 2026, 15(5), 844; https://doi.org/10.3390/foods15050844 - 3 Mar 2026
Viewed by 454
Abstract
While the sturgeon farming industry is renowned for its valuable caviar, sturgeon muscle tissue remains an underutilized byproduct. The present investigation evaluated the physiological profiles and meat quality attributes of hybrid sturgeon (Acipenser baerii ♀ × Acipenser schrenckii ♂) cultivated in freshwater [...] Read more.
While the sturgeon farming industry is renowned for its valuable caviar, sturgeon muscle tissue remains an underutilized byproduct. The present investigation evaluated the physiological profiles and meat quality attributes of hybrid sturgeon (Acipenser baerii ♀ × Acipenser schrenckii ♂) cultivated in freshwater (FW) and seawater (SW) in terms of conventional nutritional components, color, amino acid, texture, fatty acid, as well as volatile flavor substances. Results revealed that the SW group demonstrated significantly higher muscle whiteness and hardness. The SW group showed significantly higher contents of crude protein, eicosapentaenoic acid (EPA), and docosahexaenoic acid (DHA), n-3 polyunsaturated fatty acids (p < 0.01). Although there was no significant difference in the total hydrolyzed amino acids between the SW and FW groups (p > 0.05), the SW group exhibited significantly higher levels of umami free amino acids, such as glutamic acid and aspartic acid (p < 0.01). Flavor profiling indicated that the SW group exhibited lower levels of several off-flavor compounds, including 1-octen-3-ol, (E,E)-2,4-decadienal, and 3,5-octadien-2-one. Notably, the contents of geosmin (GSM) and 2-methylisoborneol (2-MIB), responsible for earthy off-flavors, were significantly lower in the SW group (p < 0.05). Overall, seawater-cultured hybrid sturgeons offer superior nutritional value and sensory characteristics compared to their freshwater counterparts. These findings provide important scientific insights for enhancing the value-added processing of sturgeon products and the sustainable development of the aquaculture industry. Full article
Show Figures

Figure 1

17 pages, 7435 KB  
Hypothesis
The Hidden Anatomy of Low Back Pain: Uncovering the Impact of Mamillo-Accessory Ligament Ossification
by Jordan Allan Piper, Koko Faen, Andy Cai, Ali Ghahreman, Samuel Rajadurai, Giuseppe Musumeci and Alessandro Castorina
J. Funct. Morphol. Kinesiol. 2026, 11(1), 100; https://doi.org/10.3390/jfmk11010100 - 27 Feb 2026
Viewed by 750
Abstract
Low back pain (LBP) remains a leading cause of disability worldwide, imposing substantial socioeconomic burdens. Among its many causes, facetogenic pain accounts for a significant proportion of cases and is generally attributed to irritation of the richly innervated facet joint capsule, mediated by [...] Read more.
Low back pain (LBP) remains a leading cause of disability worldwide, imposing substantial socioeconomic burdens. Among its many causes, facetogenic pain accounts for a significant proportion of cases and is generally attributed to irritation of the richly innervated facet joint capsule, mediated by the medial branches of the dorsal rami. This narrative, hypothesis-driven review synthesises the current anatomical, biomechanical, neurophysiological, and clinical literature and advances a conceptual framework proposing a novel anatomical mechanism that may contribute to LBP. We hypothesise that ossification of the mamillo-accessory ligament (MAL) may be a plausible but under-recognised anatomical variant that may influence lumbar biomechanics and neural interfaces. The MAL connects the mammillary and accessory processes of lumbar vertebrae, serving as a stabilising anchor for deep paraspinal muscles and forming a conduit for the medial branch of the dorsal ramus (MBDR). Ossification of the MAL, resulting in a mamillo-accessory foramen, may theoretically impair spinal biomechanics via three principal mechanistic domains: (1) disruption of muscle attachment and segmental stabilisation, (2) potential compression of the MBDR causing denervation and muscle atrophy, and (3) chronic nerve entrapment leading to asymmetrical postural adaptations and persistent pain. Collectively, these pathways may contribute to spinal instability, facet degeneration, and variable response to standard interventional treatments such as radiofrequency ablation. Recognition of MAL ossification may have potential implications for clinical assessment, targeted imaging strategies, and treatment stratification in patients with chronic, non-specific LBP. Full article
Show Figures

Figure 1

Back to TopTop