Due to scheduled maintenance work on our servers, there may be short service disruptions on this website between 11:00 and 12:00 CEST on March 28th.
Sign in to use this feature.

Years

Between: -

Subjects

remove_circle_outline
remove_circle_outline
remove_circle_outline
remove_circle_outline

Journals

Article Types

Countries / Regions

Search Results (23)

Search Parameters:
Keywords = axillary block

Order results
Result details
Results per page
Select all
Export citation of selected articles as:
24 pages, 1989 KB  
Review
Anatomical Mechanisms Underlying Clinically Reported Complications of the Infraclavicular Brachial Plexus Block: A Narrative Review
by Petar-Preslav Petrov, Delyan Dimitrov, Darina Barbutska and Rumyana Etova
J. Clin. Med. 2026, 15(5), 1931; https://doi.org/10.3390/jcm15051931 - 3 Mar 2026
Viewed by 506
Abstract
Background: The infraclavicular brachial plexus block is a widely used regional anesthesia technique for surgery of the distal upper limb. Although generally considered safe—particularly with ultrasound guidance—a range of vascular, neurological, respiratory, and anesthetic-related complications continues to be reported. Understanding how anatomic [...] Read more.
Background: The infraclavicular brachial plexus block is a widely used regional anesthesia technique for surgery of the distal upper limb. Although generally considered safe—particularly with ultrasound guidance—a range of vascular, neurological, respiratory, and anesthetic-related complications continues to be reported. Understanding how anatomic factors can influence the occurrence of these events is essential for improving procedural safety. Objective: This narrative review aims to correlate clinically reported complications of the infraclavicular block with underlying anatomical mechanisms that may predispose to their development. Methods: A narrative review of the literature was conducted using PubMed, Scopus and Web of Science to identify clinical studies, observational series, and case reports published between 1995 and 2025 that documented complications associated with infraclavicular brachial plexus block in adults. Publications were selected based on relevance to vascular, neurological, respiratory, infectious, and local anesthetic systemic complications. Findings were synthesized descriptively, with emphasis on anatomical-clinical correlations rather than quantitative meta-analysis. Results: Reported complications include vascular puncture and hematoma formation, transient or persistent neurological deficits, Horner’s syndrome, hemidiaphragmatic paralysis, pneumothorax, local anesthetic systemic toxicity, and infectious complications. The incidence of these events varies widely across studies, reflecting differences in block technique, use of ultrasound guidance, injected anesthetic volume, and operator experience. Anatomical factors—such as the close relationship of the cords of the brachial plexus to the axillary vessels and the continuity of fascial planes—provide plausible explanations for these variations. Conclusions: Most complications of the infraclavicular block can be understood and anticipated through careful consideration of regional anatomy. Integrating anatomical knowledge with ultrasound guidance and optimized injection strategies may substantially reduce the risk of adverse events. This review highlights key anatomical mechanisms underlying reported complications and outlines practical implications for clinical practice. Full article
(This article belongs to the Section Clinical Neurology)
Show Figures

Figure 1

11 pages, 604 KB  
Perspective
WALANT vs. Axillary Block for Dual Mobility Trapeziometacarpal Prosthesis: A Prospective Comparative Study
by Edoardo Biondi, Guido Koverech, Attilio Romano, Giulia Frittella and Matteo Guzzini
Surgeries 2026, 7(1), 31; https://doi.org/10.3390/surgeries7010031 - 26 Feb 2026
Viewed by 272
Abstract
Background/Objectives: Thumb basal joint arthritis is a common degenerative condition often requiring surgery when conservative treatment fails. Dual mobility trapeziometacarpal prostheses are increasingly used, but the optimal anesthetic strategy remains debatable. This study aimed to explore whether WALANT provides intraoperative analgesia and [...] Read more.
Background/Objectives: Thumb basal joint arthritis is a common degenerative condition often requiring surgery when conservative treatment fails. Dual mobility trapeziometacarpal prostheses are increasingly used, but the optimal anesthetic strategy remains debatable. This study aimed to explore whether WALANT provides intraoperative analgesia and short-term safety comparable to axillary block in dual mobility trapeziometacarpal arthroplasty. Methods: A prospective observational comparative study was carried out on 21 patients (11 WALANT, 10 axillary block) undergoing dual mobility trapeziometacarpal prosthesis for stage II–III in thumb basal joint arthritis according to Eaton–Littler classification at two hospital facilities of ASL Roma 5, from February–December 2025. Patients treated with the WALANT technique were assigned to Group A, whereas those undergoing an axillary block were assigned to Group B. Pain intensity was recorded on a 0–10 visual analogue scale at three stages: during anesthetic administration, during surgery, and 3 h after the procedure. Group A received a field infiltration with 1% mepivacaine combined with epinephrine 1:100,000 and sodium bicarbonate, while Group B underwent an ultrasound-guided brachial plexus block using 0.5–0.7% ropivacaine and a pneumatic tourniquet inflated to 250 mmHg. Results: Pain during anesthesia induction was similar between groups (Group A 3.18 ± 2.89 vs. Group B 2.20 ± 2.37, p = 0.393). Intraoperative pain did not differ significantly (Group A 2.27 ± 1.79 vs. Group B 2.00 ± 2.71, p = 0.898). At 3 h postoperative, Group B showed a trend toward lower pain levels (Group A 4.36 ± 2.54 vs. Group B 3.00 ± 3.08, p = 0.244). No anesthetic failures, no conversion to general anesthesia, and no neurological or ischemic complications occurred in either group. Conclusions: In this prospective observational comparative cohort, WALANT and axillary block provide comparable intraoperative analgesia for dual mobility trapeziometacarpal prosthesis, with comparable safety profiles. WALANT offers advantages in ease of administration, absence of tourniquet-related risks, and potential for intraoperative functional testing. Axillary block provides more prolonged postoperative analgesia in the first 3 h. The choice between techniques should be individualized based on patient-specific factors, anxiety profile, and local expertise. These results should be interpreted as preliminary and hypothesis-generating, given the exploratory design, the small sample size, and the limited statistical power of the study. Full article
(This article belongs to the Special Issue Feature Papers in Hand Surgery and Research)
Show Figures

Figure A1

16 pages, 2037 KB  
Review
Analgesia for Upper Abdominal Surgery, a Scoping Review of the Current Fascial Plane Block Techniques
by Maria T. Fernandez Martin, Edward R. Mariano, Luis F. Valdes-Vilches, Servando Lopez Alvarez and Nabil Elkassabany
J. Clin. Med. 2025, 14(24), 8632; https://doi.org/10.3390/jcm14248632 - 5 Dec 2025
Viewed by 1650
Abstract
Effective pain management following upper abdominal surgery, particularly in the area between the lower costal margin and the umbilicus, remains a clinical challenge. The sixth to eleventh intercostal nerves provide sensory innervation not only to this area but also to the area directly [...] Read more.
Effective pain management following upper abdominal surgery, particularly in the area between the lower costal margin and the umbilicus, remains a clinical challenge. The sixth to eleventh intercostal nerves provide sensory innervation not only to this area but also to the area directly below the umbilicus, and various regional anaesthesia techniques have been described to block these nerves and reduce postoperative pain. Over the past decade, several approaches have emerged that target these nerves within the relatively confined anatomical space between the anterior axillary line and the midline. This review explores the various techniques employed to block the lower intercostal nerves, focusing on the anatomical, sonographic, and technical considerations of each technique. Traditional and contemporary approaches to providing analgesia to the upper abdominal wall will be discussed. An understanding of the differences and/or similarities of the sono-anatomy of the target fascial planes is crucial for success when performing these blocks. Further research to identify the most effective and reliable regional techniques for upper abdominal surgery is still needed. Full article
(This article belongs to the Special Issue Regional Anesthesia in Pain Management)
Show Figures

Figure 1

18 pages, 1352 KB  
Study Protocol
Effects of Hydrodilatation at Different Volumes on Adhesive Capsulitis in Phases 1 and 2: Clinical Trial Protocol HYCAFVOL
by Javier Muñoz-Paz, Ana Belén Jiménez-Jiménez, Francisco Espinosa-Rueda, Amin Wahab-Albañil, María Nieves Muñoz-Alcaraz, José Peña-Amaro and Fernando Jesús Mayordomo-Riera
Clin. Pract. 2025, 15(8), 141; https://doi.org/10.3390/clinpract15080141 - 26 Jul 2025
Cited by 1 | Viewed by 4340
Abstract
Background: Adhesive capsulitis (AC) causes a global limitation of both active and passive range of motion (ROM) in the shoulder, with or without pain, and no specific radiographic findings. Its course is self-limiting and progresses through three or four stages. The diagnosis [...] Read more.
Background: Adhesive capsulitis (AC) causes a global limitation of both active and passive range of motion (ROM) in the shoulder, with or without pain, and no specific radiographic findings. Its course is self-limiting and progresses through three or four stages. The diagnosis is primarily clinical, since imaging tests are nonspecific. Treatment options include physical therapy (PT), intra-articular corticosteroid injections, suprascapular nerve block (SSNB), and hydrodilatation (HD). The latter is useful for expanding and reducing inflammation of the joint capsule through the insufflation of saline solution, anesthetics, and corticosteroids. Objectives: To compare whether patients with AC, stratified by phase 1 and 2, who receive high-volume HD as treatment achieve better outcomes in terms of shoulder pain and function compared to patients who receive low-volume HD. To compare whether there are differences in PT times and to determine mean axillary recess (AR) values. Methods: A randomized, parallel-block, triple-blind clinical trial will be conducted in 64 patients with AC in phases 1 and 2, aged 30 to 70 years, with limited active and passive ROM in two planes, and shoulder pain lasting more than 3 months. HD will be administered with volumes of 20 mL or 40 mL, followed by a conventional rehabilitation program. Outcomes will be reviewed at the 1st, 3rd, and 6th months of HD. Variables collected will include Shoulder Pain and Disability Index (SPADI), Visual Analog Scale (VAS), Range of motion (ROM), Lattinen index (LI), AR size, and time to completion of PT. Results: HD has been gaining clinical relevance in interventional rehabilitation as a treatment for AC, although its medium- and long-term efficacy remains a matter of debate. The variability in the volumes used for capsular expansion, with studies ranging from 18 mL to 47 mL, is compounded by the fact that most of these studies do not differentiate between AC stages. This could influence treatment effectiveness. Furthermore, diagnosis remains a challenge since valid and specific diagnostic parameters are lacking. Conclusions: Understanding the differences between HD techniques, considering the influence of certain factors such as the volume used or the stages of AC, as well as improving diagnosis and the coordination of scientific work. This could facilitate the development of protocols for the use of HD in AC. Full article
Show Figures

Figure 1

9 pages, 1563 KB  
Case Report
High Profile Transvalvular Pump Assisted Recovery for Takotsubo Cardiomyopathy: A Case Series
by Jordan Young, Patrick McGrade, Jaime Hernandez-Montfort and Jerry Fan
J. Clin. Med. 2025, 14(9), 3225; https://doi.org/10.3390/jcm14093225 - 6 May 2025
Viewed by 1208
Abstract
Background: Stress-induced cardiomyopathy (SI-CM) is a transient left ventricular dysfunction triggered by emotional or physical stress, often resolving with supportive care. However, severe cases may progress to cardiogenic shock (CS), requiring mechanical circulatory support (MCS). High-profile transvalvular pumps (HPTP), a form of percutaneous [...] Read more.
Background: Stress-induced cardiomyopathy (SI-CM) is a transient left ventricular dysfunction triggered by emotional or physical stress, often resolving with supportive care. However, severe cases may progress to cardiogenic shock (CS), requiring mechanical circulatory support (MCS). High-profile transvalvular pumps (HPTP), a form of percutaneous ventricular assist device, offer promising hemodynamic support in acute heart failure. This report explores HPTP use in SI-CM-related CS through two complex clinical cases. Case Summary: Two elderly female patients presented with severe CS secondary to apical-variant SI-CM. Case 1 involved a 67-year-old woman with sepsis, colonic perforation, and recurrent SI-CM, leading to profound low-output shock despite multiple vasopressors and inotropes. HPTP was implanted via the axillary artery, allowing for surgical management of intra-abdominal pathology and eventual cardiac recovery. Case 2 featured a 77-year-old woman with multifocal pneumonia, severe mitral regurgitation, and complete heart block. HPTP implantation stabilized her hemodynamics, facilitated extubation, and led to full recovery of ventricular function. Results: Both patients showed marked improvement in cardiac output and systemic perfusion following HPTP insertion. Echocardiograms post-device removal revealed normalization of left ventricular ejection fraction (55–64%). Hemodynamic data confirmed reduced pulmonary capillary wedge pressure and systemic vascular resistance. Conclusion: These cases highlight the potential of HPTP in managing SI-CM-related CS, especially when traditional therapies are inadequate or contraindicated. HPTP can rapidly restore hemodynamic stability and support myocardial recovery. While current data are limited, these observations underscore the need for broader investigation into the role of HPTP in this setting. Full article
Show Figures

Figure 1

10 pages, 382 KB  
Article
Pain Management in Burned Patients Treated with Bromelain-Based Enzymatic Debridement
by Michelle Laurens Acevedo, Gemma M. Usua and Juan P. Barret
J. Clin. Med. 2025, 14(5), 1571; https://doi.org/10.3390/jcm14051571 - 26 Feb 2025
Viewed by 3480
Abstract
Background/Objectives: Enzymatic debridement with bromelain is a treatment option for deep partial thickness and full thickness burns. This procedure is associated with significant pain, necessitating the use of anesthesia techniques. However, there is limited evidence on the optimal strategy to achieve effective pain [...] Read more.
Background/Objectives: Enzymatic debridement with bromelain is a treatment option for deep partial thickness and full thickness burns. This procedure is associated with significant pain, necessitating the use of anesthesia techniques. However, there is limited evidence on the optimal strategy to achieve effective pain control. To detail the anesthetic approach in patients undergoing bromelain-based enzymatic debridement for burn injuries. Methods: A retrospective observational study was conducted by analysing the medical records of burn patients treated with enzymatic debridement using bromelain. The study included patients admitted to the Burn Unit of Vall d’Hebron University Hospital between January 2015 and December 2019. Results: A total of 112 patients met the inclusion criteria. The average burned total body surface area (TBSA) was 10.7% ± 11.4, and the median Abbreviated Burn Severity Index (ABSI) was 5 (range: 2–12). The most commonly burned and treated regions were the upper limbs (73%), followed by the lower limbs (30%) and the abdomen (8%). Regional anesthesia was the predominant technique, utilised in 96% of cases. Among these, axillary nerve block was performed in 47% of patients, with continuous catheter placement in 31%. Pain control was achieved in 61% of patients during the first 48 h following enzymatic debridement. Opioids were required for post-procedure pain relief in 12.5% of cases, and repeat anesthesia was necessary in 2.7%. There was no significant difference in pain management outcomes between single nerve blocks and catheter-based approaches (p = 0.809). Complications were reported in nine patients and included hypotension, nausea, and urinary retention. Conclusions: Bromelain-based enzymatic debridement is a painful intervention requiring specialised anesthetic management. Regional anesthesia techniques offer a safe and effective strategy for pain control, though achieving optimal analgesia during the initial 48 h remains a clinical challenge. Full article
(This article belongs to the Special Issue Advances in Burn Management)
Show Figures

Figure 1

13 pages, 1807 KB  
Article
Ultrasound-Guided Proximal Radial, Ulnar, Median and Musculocutaneous (RUMM) Nerve Block Technique in Rabbit (Oryctolagus cuniculus) Cadavers: Medial vs. Lateral Approach
by Giulia Teotino, Ricardo Felisberto, Derek Flaherty and Hamaseh Tayari
Animals 2025, 15(3), 294; https://doi.org/10.3390/ani15030294 - 21 Jan 2025
Cited by 3 | Viewed by 1793
Abstract
This prospective, experimental, randomised, assessor-blinded cadaveric study was undertaken to describe the sono-anatomical features of the radial, ulnar, median and musculocutaneous (RUMM) nerves in rabbits and to develop and evaluate an ultrasound (US)-guided proximal RUMM block technique comparing a medial versus a lateral [...] Read more.
This prospective, experimental, randomised, assessor-blinded cadaveric study was undertaken to describe the sono-anatomical features of the radial, ulnar, median and musculocutaneous (RUMM) nerves in rabbits and to develop and evaluate an ultrasound (US)-guided proximal RUMM block technique comparing a medial versus a lateral approach. A total of 13 adult rabbit cadavers were used. In Phase I of the study, four cadavers were used for anatomical dissection and to design and test a lateral and medial single injection point US-guided proximal RUMM block technique, while in Phase II, the medial and lateral approaches were randomly performed on nine cadavers administering 0.1 mL kg−1 injectate. After dissection, nerve staining was categorised as adequate (all nerves stained ≥4 mm) or inadequate (at least one nerve not stained or stained <4 mm). Staining spread was compared with Fisher’s exact test, with p < 0.05 considered statistically significant. From Phase I, the axillary fascia containing all RUMM nerves was identified. The radial nerve exited the fascia right after the humeral head. In the lateral approach, the transducer was angled at 80° to the humerus longitudinal axis. In the medial approach, the transducer was placed perpendicularly to the humerus longitudinal axis. In both approaches, the brachial artery appeared as a rounded and anechoic structure, the musculocutaneous nerve as hypoechoic and oval and the radial nerve as a honeycomb, and the ulnar and median nerves were identified adjacent to each other. The radial nerve was selected as the injection point for both approaches using an in-plane technique. In Phase II, the injectate was found outside the axillary fascia in zero out of nine and five out of nine thoracic limbs, with an adequate staining in nine of nine and two of nine injections (p < 0.01) using the medial and lateral approach, respectively. Thus, a US-guided proximal RUMM block technique is feasible in rabbits, and the medial approach demonstrated evidence of a more consistent stain of the RUMM nerves. Full article
(This article belongs to the Section Veterinary Clinical Studies)
Show Figures

Figure 1

13 pages, 1332 KB  
Article
Regional Anesthesia with Spontaneous Breathing for Trans-Axillary Surgery in Thoracic Outlet Syndrome: A Retrospective Comparative Study
by Francesco Stilo, Alessandro Strumia, Vincenzo Catanese, Nunzio Montelione, Eleonora Tomaselli, Giuseppe Pascarella, Fabio Costa, Alessandro Ciolli, Ferdinando Longo, Alessia Mattei, Lorenzo Schiavoni, Alessandro Ruggiero, Francesco Alberto Codispoti, Julia Paolini, Felice Eugenio Agrò, Francesco Spinelli, Massimiliano Carassiti and Rita Cataldo
J. Clin. Med. 2025, 14(2), 601; https://doi.org/10.3390/jcm14020601 - 18 Jan 2025
Viewed by 2068
Abstract
Background: Thoracic outlet syndrome (TOS) is an uncommon condition defined by the compression of neurovascular structures within the thoracic outlet. When conservative management strategies fail to alleviate symptoms, surgical decompression becomes necessary. The purpose of this study is to evaluate and compare the [...] Read more.
Background: Thoracic outlet syndrome (TOS) is an uncommon condition defined by the compression of neurovascular structures within the thoracic outlet. When conservative management strategies fail to alleviate symptoms, surgical decompression becomes necessary. The purpose of this study is to evaluate and compare the efficacy and safety of regional anesthesia (RA) using spontaneous breathing in contrast to general anesthesia (GA) for patients undergoing surgical intervention for TOS. Methods: We conducted a retrospective comparative study involving 68 patients who underwent trans-axillary first rib resection for TOS. The patient cohort was divided into two groups: 29 patients in the GA group and 39 patients in the RA group. The RA technique employed consisted of supraclavicular brachial plexus (SBP) and pectoral nerve (PECS II) blocks, accompanied by deep sedation. Key outcome measures such as pain scores, opioid consumption, and various perioperative parameters were systematically analyzed. Results: Postoperative pain levels recorded in the recovery room were significantly lower in the RA group, with a median numerical rating scale (NRS) score of zero compared to two in the GA group (p = 0.0443). Additionally, both intraoperative and postoperative opioid consumption showed a marked reduction in the RA group, with p-values of less than 0.001 and 0.0418, respectively. The RA approach was associated with shorter surgical durations (p = 0.0008), a decrease in the incidence of postoperative nausea and vomiting (PONV) (p = 0.0312), and a lower occurrence of intraoperative lung injuries (p < 0.0001). Furthermore, the length of hospital stay was significantly reduced for patients in the RA group. Conclusions: Although both groups reported low postoperative pain scores, the regional anesthesia approach exhibited distinct advantages in terms of opioid consumption, surgical duration, and overall perioperative outcomes. The utilization of SBP and PECS II blocks facilitated surgical procedures and mitigated complications, thereby positively influencing the postoperative recovery trajectory. Future prospective studies are essential to validate these findings further and to investigate long-term outcomes associated with the use of regional anesthesia in TOS surgery. Full article
(This article belongs to the Section Anesthesiology)
Show Figures

Figure 1

10 pages, 471 KB  
Review
The Evidence for Perioperative Anesthetic Techniques in the Prevention of New-Onset or Recurrent Complex Regional Pain Syndrome in Hand Surgery
by Marcel Chua, Avinassh Ratnagandhi, Ishith Seth, Bryan Lim, Jevan Cevik and Warren M. Rozen
J. Pers. Med. 2024, 14(8), 825; https://doi.org/10.3390/jpm14080825 - 4 Aug 2024
Cited by 2 | Viewed by 2883
Abstract
Complex regional pain syndrome (CRPS) is a multifaceted condition characterized by chronic neuropathic pain, allodynia, and hyperalgesia. The incidence of CRPS postoperatively is alarmingly high, particularly following carpal tunnel surgeries, Dupuytren’s fasciectomy, and repairs of wrist and hand fractures, with recurrence rates soaring [...] Read more.
Complex regional pain syndrome (CRPS) is a multifaceted condition characterized by chronic neuropathic pain, allodynia, and hyperalgesia. The incidence of CRPS postoperatively is alarmingly high, particularly following carpal tunnel surgeries, Dupuytren’s fasciectomy, and repairs of wrist and hand fractures, with recurrence rates soaring in individuals with a history of CRPS. Despite extensive research, the management of CRPS remains complicated, highlighting the urgent need for effective prevention strategies. This scoping review aimed to consolidate current evidence surrounding the efficacy of perioperative anesthetic techniques in preventing new-onset or recurrent CRPS, focusing on the application of various anesthetic interventions. Through a comprehensive literature search, eight articles were identified, discussing a spectrum of techniques, including wide awake local anesthesia no tourniquet (WALANT) and various regional blockade methods. This review revealed that the WALANT technique, with its simplicity and lower costs, exhibited promising results in preventing CRPS. Conversely, techniques involving intravenous regional and axillary plexus blocks showed variable efficacy, necessitating further investigation. The scarcity of high-quality evidence underscores the critical need for meticulously designed, large-scale randomized controlled trials to validate these findings and explore the potential of stellate ganglion block in the prevention of recurrent CRPS. Full article
(This article belongs to the Section Personalized Therapy in Clinical Medicine)
Show Figures

Figure 1

14 pages, 1721 KB  
Systematic Review
Axillary Brachial Plexus Block Compared with Other Regional Anesthesia Techniques in Distal Upper Limb Surgery: A Systematic Review and Meta-Analysis
by Kristof Nijs, Pieter ‘s Hertogen, Simon Buelens, Marc Coppens, An Teunkens, Hassanin Jalil, Marc Van de Velde, Layth Al Tmimi and Björn Stessel
J. Clin. Med. 2024, 13(11), 3185; https://doi.org/10.3390/jcm13113185 - 29 May 2024
Cited by 10 | Viewed by 5323
Abstract
Background: Several regional anesthesia (RA) techniques have been described for distal upper limb surgery. However, the best approach in terms of RA block success rate and safety is not well recognized. Objective: To assess and compare the surgical anesthesia and efficacy of axillary [...] Read more.
Background: Several regional anesthesia (RA) techniques have been described for distal upper limb surgery. However, the best approach in terms of RA block success rate and safety is not well recognized. Objective: To assess and compare the surgical anesthesia and efficacy of axillary brachial plexus block with other RA techniques for hand and wrist surgery. The attainment of adequate surgical anesthesia 30 min after block placement was considered a primary outcome measure. Additionally, successful block outcomes were required without the use of supplemental local anesthetic injection, systemic opioid analgesia, or the need to convert to general anesthesia. Methods: We performed a systematic search in the following databases: MEDLINE, EMBASE, Cochrane Database of Systematic Reviews, and CENTRAL. RCTs comparing axillary blocks with other brachial plexus block techniques, distal peripheral forearm nerve block, intravenous RA, and the wide-awake local anesthesia no tourniquet (WALANT) technique were included. Results: In total, 3070 records were reviewed, of which 28 met the inclusion criteria. The meta-analysis of adequate surgical anesthesia showed no significant difference between ultrasound-guided axillary block and supraclavicular block (RR: 0.94 [0.89, 1.00]; p = 0.06; I2 = 60.00%), but a statistically significant difference between ultrasound-guided axillary block and infraclavicular block (RR: 0.92 [0.88, 0.97]; p < 0.01; I2 = 53.00%). Ultrasound-guided infraclavicular blocks were performed faster than ultrasound-guided axillary blocks (SMD: 0.74 [0.30, 1.17]; p < 0.001; I2 = 85.00%). No differences in performance time between ultrasound-guided axillary and supraclavicular blocks were demonstrated. Additionally, adequate surgical anesthesia onset time was not significantly different between ultrasound-guided block approaches: ultrasound-guided axillary blocks versus ultrasound-guided supraclavicular blocks (SMD: 0.52 [−0.14, 1.17]; p = 0.12; I2 = 86.00%); ultrasound-guided axillary blocks versus ultrasound-guided infraclavicular blocks (SMD: 0.21 [−0.49, 0.91]; p = 0.55; I2 = 92.00%). Conclusions: The RA choice should be individualized depending on the patient, procedure, and operator-specific parameters. Compared to ultrasound-guided supraclavicular and infraclavicular block, ultrasound-guided axillary block may be preferred for patients with significant concerns of block-related side effects/complications. High heterogeneity between studies shows the need for more robust RCTs. Full article
(This article belongs to the Section Anesthesiology)
Show Figures

Figure 1

9 pages, 918 KB  
Brief Report
Diabetic Neuropathy and Minimum Effective Anesthetic Concentration of Mepivacaine for Axillary Brachial Plexus Block: A Prospective Observational Study
by Na-Eun Kim, Woo-Joo Lee, Jong-Kwon Jung, Jang-Ho Song, Kyung-Lim Joa, Chun-Woo Yang, Eui-Chan Jung, Soo-Man Jo and Yeong-Seung Ko
J. Pers. Med. 2024, 14(4), 353; https://doi.org/10.3390/jpm14040353 - 27 Mar 2024
Cited by 2 | Viewed by 2627
Abstract
Nerves in patients with diabetic neuropathy (DN) show increased susceptibility to local anesthetics, potentially requiring a decreased dose. We investigated whether the minimum effective anesthetic concentration (MEAC) of mepivacaine for successful axillary block is lower in patients with DN than in those without. [...] Read more.
Nerves in patients with diabetic neuropathy (DN) show increased susceptibility to local anesthetics, potentially requiring a decreased dose. We investigated whether the minimum effective anesthetic concentration (MEAC) of mepivacaine for successful axillary block is lower in patients with DN than in those without. This prospective observational study included patients with DN (n = 22) and without diabetes (n = 22) at a tertiary care center. Patients received an ultrasound-guided axillary block with 30 mL of mepivacaine for anesthesia. The mepivacaine concentration used in each patient was calculated using Dixon’s up-and-down method. A block was considered successful if all four sensory nerves had a score of 1 or 2 within 30 min with no pain during surgery. The primary outcome was the MEAC of mepivacaine, and the secondary outcomes included the minimal nerve stimulation intensity for the musculocutaneous nerve and the occurrence of adverse events. The MEAC50 was 0.55% (95% CI 0.33–0.77%) in patients without diabetes and 0.58% (95% CI 0.39–0.77%) in patients with DN (p = 0.837). The MEAC90 was 0.98% (95% CI 0.54–1.42%) in patients without diabetes and 0.96% (95% CI 0.57–1.35%) in patients with DN (p = 0.949). The stimulation threshold for the musculocutaneous nerve was significantly different between groups (0.49 mA vs. 0.19 mA for patients with vs. without diabetes; p = 0.002). In conclusion, the MEAC of mepivacaine for a successful axillary block is not lower in patients with DN. Full article
(This article belongs to the Section Personalized Therapy in Clinical Medicine)
Show Figures

Figure 1

10 pages, 476 KB  
Article
Effect of Interpectoral-Pectoserratus Plane (PECS II) Block on Recovery Room Discharge Time in Breast Cancer Surgery
by Laima Malachauskiené, Rajesh Prabhakar Bhavsar, Jacob Waldemar and Thomas Strøm
Medicina 2024, 60(1), 41; https://doi.org/10.3390/medicina60010041 - 25 Dec 2023
Cited by 2 | Viewed by 2484
Abstract
Background and Objectives: The increase in the incidence and diagnosis rate of breast cancer demands the optimization of resources. The aim of this study was to assess whether the supplementation of the interpectoral-pectoserratus plane block (PECS II) reduces surgery and post-anesthesia care [...] Read more.
Background and Objectives: The increase in the incidence and diagnosis rate of breast cancer demands the optimization of resources. The aim of this study was to assess whether the supplementation of the interpectoral-pectoserratus plane block (PECS II) reduces surgery and post-anesthesia care unit (PACU) time in patients undergoing breast cancer surgery. Materials and methods: This was a retrospective data-analysis study. In 2016, PECS II block was introduced as a supplement to general anesthesia for all mastectomies with or without axillary resections in South Jutland regional hospital, Denmark. The perioperative data of patients operated 3 years before and 3 years after 2016 was retrieved through the Danish anesthesia database and patient journals and systematically analyzed. Female patients aged over 18 years, with no use of muscle relaxant, intubation, and inhalation agents, were included. The eligible data was organized into two groups, i.e., Block and Control, where the Block group received PECS II Block, while the Control group received only general anesthesia. Parameters such as surgery time, anesthesia time, PACU time, opioid consumption, and the incidence of postoperative nausea and vomiting (PONV) in PACU were retrieved and statistically analyzed. Results: A total of 172 patients out of 358 patients met eligibility criteria. After applying exclusion criteria, 65 patients were filtered out. A total of 107 patients, 51 from the Block and 56 from the Control group, were eligible for the final analysis. The patients were comparable in demographic parameters. The median surgery time was significantly less in the Block group (78 min (60–99)) in comparison to the Control group (98.5 min (77.5–139.5) p < 0.0045). Consequently, the median anesthesia time was also shorter in the Block group (140 min (115–166)) vs. the Control group (160 min (131.5 to 188), p < 0.0026). Patients from the Block group had significantly lower intraoperative fentanyl consumption (60 µg (30–100)) as compared with the Control group (132.5 µg (80–232.5), p < 0.0001). The total opioid consumption during the entire procedure (converted to morphine) was significantly lower in the Block group (16.37 mg (8–23.6)) as compared with the Control group (31.17 mg (16–46.5), p < 0.0001). No statistically significant difference was found in the PACU time, incidences of PONV, and postoperative pain. Conclusions: The interpectoral-pectoserratus plane (PECS II) block supplementation reduces surgery time, anesthesia time, and opioid consumption but not PACU time during breast cancer surgery. Full article
(This article belongs to the Section Surgery)
Show Figures

Figure 1

10 pages, 534 KB  
Article
Effect of Intravenous Dexamethasone Dose on the Occurrence of Rebound Pain after Axillary Plexus Block in Ambulatory Surgery
by Nassim Touil, Athanassia Pavlopoulou, Simon Delande, Pierre Geradon, Olivier Barbier, Xavier Libouton and Patricia Lavand’homme
J. Clin. Med. 2023, 12(13), 4310; https://doi.org/10.3390/jcm12134310 - 27 Jun 2023
Cited by 9 | Viewed by 2933
Abstract
Rebound pain (RP) remains a challenge in ambulatory surgery, characterized by severe pain upon resolution of a peripheral nerve block (PNB). Intravenous (IV) administration of Dexamethasone (DEXA) potentiates PNB analgesic effect and reduces RP incidence although preventive effective dose remains undetermined. This retrospective [...] Read more.
Rebound pain (RP) remains a challenge in ambulatory surgery, characterized by severe pain upon resolution of a peripheral nerve block (PNB). Intravenous (IV) administration of Dexamethasone (DEXA) potentiates PNB analgesic effect and reduces RP incidence although preventive effective dose remains undetermined. This retrospective analysis evaluates the preventive effect of IV DEXA on RP in outpatients undergoing upper limb surgery under axillary block. DEXA was divided into high (HD > 0.1 mg/kg) or low (LD < 0.1 mg/kg) doses. RP was defined as severe pain (NRS ≥ 7/10) within 24 h of PNB resolution. DEXA HD and LD patients were matched with control patients without DEXA (n = 55) from a previous randomized controlled study. Records of 118 DEXA patients were analyzed (DEXA dose ranged from 0.05 to 0.12 mg/kg). Intraoperative IV DEXA was associated with a significant reduction of the pain felt when PNB wore off as well as to a significant reduction of RP incidence (n = 27/118, 23% vs. 47% in controls, p = 0.002) with no effect related to the dose administered (p = 0.053). Our results support the administration of intraoperative DEXA as a preventive measure to reduce the occurrence of RP. Full article
(This article belongs to the Special Issue Anesthetic Management in Perioperative Period)
Show Figures

Figure 1

16 pages, 2906 KB  
Article
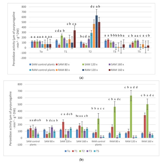
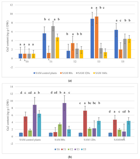
Mechanical Stimulation Decreases Auxin and Gibberellic Acid Synthesis but Does Not Affect Auxin Transport in Axillary Buds; It Also Stimulates Peroxidase Activity in Petunia × atkinsiana
by Agata Jędrzejuk, Natalia Kuźma, Arkadiusz Orłowski, Robert Budzyński, Christian Gehl and Margrethe Serek
Molecules 2023, 28(6), 2714; https://doi.org/10.3390/molecules28062714 - 17 Mar 2023
Cited by 5 | Viewed by 3095
Abstract
Thigmomorphogenesis (or mechanical stimulation-MS) is a term created by Jaffe and means plant response to natural stimuli such as the blow of the wind, strong rain, or touch, resulting in a decrease in length and an increase of branching as well as an [...] Read more.
Thigmomorphogenesis (or mechanical stimulation-MS) is a term created by Jaffe and means plant response to natural stimuli such as the blow of the wind, strong rain, or touch, resulting in a decrease in length and an increase of branching as well as an increase in the activity of axillary buds. MS is very well known in plant morphology, but physiological processes controlling plant growth are not well discovered yet. In the current study, we tried to find an answer to the question if MS truly may affect auxin synthesis or transport in the early stage of plant growth, and which physiological factors may be responsible for growth arrest in petunia. According to the results of current research, we noticed that MS affects plant growth but does not block auxin transport from the apical bud. MS arrests IAA and GA3 synthesis in MS-treated plants over the longer term. The main factor responsible for the thickening of cell walls and the same strengthening of vascular tissues and growth arrestment, in this case, is peroxidase (POX) activity, but special attention should be also paid to AGPs as signaling molecules which also are directly involved in growth regulation as well as in cell wall modifications. Full article
(This article belongs to the Section Chemical Biology)
Show Figures

Figure 1

9 pages, 1175 KB  
Article
Anatomical Variations of the Median Nerve: A Cadaveric Study
by Manuel Encarnacion, Renat Nurmukhametov, Rossi Evelyn Barrientos, Dmitry Melchenko, Evgeniy Goncharov, Edwin Bernard, Jose Mogorron Huerta, Jean Francois Uhl, Ibrahim E. Efe, Nicola Montemurro and Issael Ramirez
Neurol. Int. 2022, 14(3), 664-672; https://doi.org/10.3390/neurolint14030054 - 23 Aug 2022
Cited by 13 | Viewed by 5656
Abstract
Objectives: Variations in the morphological anatomy of the median nerve such as formation, distribution, and communication have been well documented. All these variations should be taken into account when practicing any surgical approach for the treatment of injuries affecting the median nerve. Furthermore, [...] Read more.
Objectives: Variations in the morphological anatomy of the median nerve such as formation, distribution, and communication have been well documented. All these variations should be taken into account when practicing any surgical approach for the treatment of injuries affecting the median nerve. Furthermore, they are of the utmost importance for interpretation of the clinical presentation. Methods: The objective of this investigation was to determine the anatomical variations in the formation of the median nerve in cadavers at the Forensic Pathology department in Central Clinical Hospital of the Academy of Sciences of the Russian Federation between January 2022 and April 2022. A descriptive, cross-sectional, and prospective information source study was conducted on 42 anatomical bodies (corpses) and 84 brachial plexuses. Results: After analyzing the results obtained in this investigation, we concluded that the median nerve presented variation in its formation in 22.6% of the investigated cases. These variations were more common in males (81.8%) than females (18.2%). The anatomical variation was unilateral in 7.1% and bilateral in 19% of all anatomical bodies examined. Conclusions: The median nerve presented a great number of variations in its formation in roughly 23% of the anatomical bodies, with male being the predominant gender. Furthermore, the most frequent region of formation was the axillary region (92.9%). For clinicians, it is important to remember these variations during surgical procedures in this area and during brachial plexus block. Full article
Show Figures

Figure 1

Back to TopTop