Sign in to use this feature.

Years

Between: -

Subjects

remove_circle_outline
remove_circle_outline
remove_circle_outline
remove_circle_outline
remove_circle_outline
remove_circle_outline
remove_circle_outline
remove_circle_outline
remove_circle_outline

Journals

Article Types

Countries / Regions

Search Results (143)

Search Parameters:
Keywords = autonomous approach and landing

Order results
Result details
Results per page
Select all
Export citation of selected articles as:
19 pages, 9466 KB  
Article
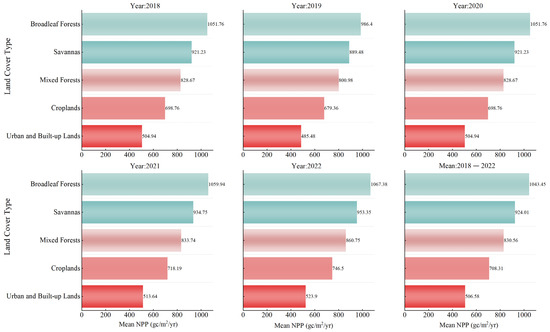
Spatiotemporal Patterns of NPP and Hydrothermal Sensitivity Under Land-Use Change: A Case Study of Guangxi, China
by Changbin Sun, Xiaolong Wang, Junting Guo, Qiulin Dong and Fei Yang
Land 2025, 14(12), 2361; https://doi.org/10.3390/land14122361 - 3 Dec 2025
Viewed by 344
Abstract
Amidst the intensifying challenges of global climate change and the increasing demand for regional sustainable development, accurately assessing the contributions and dynamic characteristics of different land-use types to regional carbon sink patterns is essential for understanding ecosystem carbon cycling mechanisms and optimizing carbon [...] Read more.
Amidst the intensifying challenges of global climate change and the increasing demand for regional sustainable development, accurately assessing the contributions and dynamic characteristics of different land-use types to regional carbon sink patterns is essential for understanding ecosystem carbon cycling mechanisms and optimizing carbon management strategies. Based on land-use and Net Primary Productivity (NPP) remote sensing data from 2018 to 2022, this study employs a land-use change coding method and a hydrothermal (temperature and precipitation) sensitivity coefficient approach to analyze the spatiotemporal variation in NPP in Guangxi Zhuang Autonomous Region and its differential responses to hydrothermal conditions. On this basis, sensitivity coefficients were calculated to assess the spatial patterns of NPP sensitivity to temperature and precipitation, revealing spatial sensitivity characteristics and potential ecological risks. The results indicate significant differences in NPP variations among different land-use types, with broadleaf forests, mixed forests, savannas, and croplands identified as the primary contributors to NPP flows. Additionally, the response of NPP to hydrothermal factors exhibits clear spatial heterogeneity: precipitation sensitivity hotspots are mainly concentrated in the northern and southern ecosystems, while temperature sensitivity hotspots are predominantly located in the northern region. Further analysis reveals that the ecosystems in the central and northern regions are more sensitive to temperature changes, whereas coastal areas exhibit higher stability. Full article
(This article belongs to the Special Issue Carbon-Focused Land Use Strategies: Pathways to Climate Resilience)
Show Figures

Figure 1

19 pages, 3750 KB  
Article
Autonomous UAV-Based Volcanic Gas Monitoring: A Simulation-Validated Case Study in Santorini
by Theodoros Karachalios and Theofanis Orphanoudakis
Drones 2025, 9(12), 829; https://doi.org/10.3390/drones9120829 - 29 Nov 2025
Viewed by 462
Abstract
Unmanned Aerial Vehicles (UAVs) can deliver rapid, spatially resolved measurements of volcanic gases that often precede eruptions, yet most deployments remain manual or preplanned and are slow to react to seismic unrest. In the present work, we present a simulation-validated design of an [...] Read more.
Unmanned Aerial Vehicles (UAVs) can deliver rapid, spatially resolved measurements of volcanic gases that often precede eruptions, yet most deployments remain manual or preplanned and are slow to react to seismic unrest. In the present work, we present a simulation-validated design of an earthquake-triggered, autonomous workflow for early detection of CO2 anomalies, demonstrated through a conceptual case study focused on the Santorini caldera. The system ingests real-time seismic alerts, generates missions automatically, and executes a two-stage sensing strategy: a fast scan to build a coarse CO2 heatmap followed by targeted high-precision sampling at emerging hotspots. Mission planning includes wind-and terrain-aware flight profiles, geofenced safety envelopes and a facility-location approach to landing-site placement; in a Santorini case study, we provide a ring of candidate launch/landing zones with wind-contingent usage, illustrate adaptive replanning driven by heatmap uncertainty and outline calibration and quality-control steps for robust CO2 mapping. The proposed methodology offers an operational blueprint that links seismic triggers to actionable, georeferenced gas information and can be transferred to other island or caldera volcanoes. Full article
(This article belongs to the Special Issue Unmanned Aerial Vehicles for Enhanced Emergency Response)
Show Figures

Figure 1

23 pages, 4433 KB  
Review
Autonomous Multirotor UAV Docking and Charging: A Comprehensive Review of Systems, Mechanisms, and Emerging Technologies
by Alen Šćuric, Nino Krznar, Antonia Penđer, Ivan Štedul and Denis Kotarski
Symmetry 2025, 17(11), 1988; https://doi.org/10.3390/sym17111988 - 17 Nov 2025
Viewed by 2366
Abstract
Multirotor Unmanned Aerial Vehicles (UAVs), characterized by their inherently symmetrical propulsion configurations, are increasingly applied across diverse domains, yet their endurance remains fundamentally constrained by the high energy demand of flight. Autonomous docking and charging systems have emerged as practical solutions, enabling UAVs [...] Read more.
Multirotor Unmanned Aerial Vehicles (UAVs), characterized by their inherently symmetrical propulsion configurations, are increasingly applied across diverse domains, yet their endurance remains fundamentally constrained by the high energy demand of flight. Autonomous docking and charging systems have emerged as practical solutions, enabling UAVs to recharge or replace batteries without human intervention. This paper provides a structured review of current approaches, offering a systematic categorization of UAV docking platforms into fixed and mobile systems, followed by an analysis of positioning and landing strategies, charging mechanisms, and modular docking concepts. Advances in vision-based guidance and sensor fusion are highlighted as key enablers of precise and reliable autonomous recovery. Contact-based charging and wireless power transfer are compared, with their benefits and limitations outlined. In addition to charging solutions, the paper presents a dedicated review of mechanisms that enable automated battery swapping, increasingly recognized as a complementary pathway to extend mission duration. By synthesizing state-of-the-art research and implementations, this study identifies key technological trends, persisting challenges, and future directions toward scalable, fully autonomous ecosystems capable of long-duration operations. Full article
(This article belongs to the Special Issue Applications Based on Symmetry in Control Systems and Robotics)
Show Figures

Figure 1

23 pages, 2205 KB  
Article
Evidence of Agroecological Performance in Production Systems Integrating Agroecology and Bioeconomy Actions Using TAPE in the Colombian Andean–Amazon Transition Zone
by Yerson D. Suárez-Córdoba, Jaime A. Barrera-García, Armando Sterling, Carlos H. Rodríguez-León and Pablo A. Tittonell
Sustainability 2025, 17(20), 9024; https://doi.org/10.3390/su17209024 - 12 Oct 2025
Cited by 1 | Viewed by 1355
Abstract
The expansion of conventional agricultural models in the Colombian Amazon has caused deforestation, biodiversity loss, and socio-environmental degradation. In response, agroecology and bioeconomy are emerging as key strategies to regenerate landscapes and foster sustainable production systems. We evaluated the agroecological performance of 25 [...] Read more.
The expansion of conventional agricultural models in the Colombian Amazon has caused deforestation, biodiversity loss, and socio-environmental degradation. In response, agroecology and bioeconomy are emerging as key strategies to regenerate landscapes and foster sustainable production systems. We evaluated the agroecological performance of 25 farms in the Andean–Amazon transition zone of Colombia using FAO’s Tool for Agroecology Performance Evaluation (TAPE). The analysis included land cover dynamics (2002–2024), characterization of the agroecological transition based on the 10 Elements of Agroecology, and 23 economic, environmental, and social indicators. Four farm typologies were identified; among them, Mixed Family Farms (MFF) achieved the highest transition score (CAET = 60.5%) and excelled in crop diversity (64%), soil health (SHI = 4.24), productive autonomy (VA/GVP = 0.69), and household empowerment (FMEF= 85%). Correlation analyses showed strong links between agroecological practices, economic efficiency, and social cohesion. Land cover dynamics revealed a continuous decline in forest cover (12.9% in 2002 to 7.1% in 2024) and an increase in secondary vegetation, underscoring the urgent need for restorative approaches. Overall, farms further along the agroecological transition were more productive, autonomous, and socially cohesive, strengthening territorial resilience. The application of TAPE proved robust multidimensional evidence to support agroecological monitoring and decision-making, with direct implications for land use planning, rural development strategies, and sustainability policies in the Amazon. At the same time, its sensitivity to high baseline biodiversity and to the complex socio-ecological dynamics of the Colombian Amazon underscores the need to refine the methodology in future applications. By addressing these challenges, the study contributes to the broader international debate on agroecological transitions, offering insights relevant for other tropical frontiers and biodiversity-rich regions facing similar pressures. Full article
Show Figures

Figure 1

22 pages, 1953 KB  
Article
Methodology to Develop a Discrete-Event Supervisory Controller for an Autonomous Helicopter Flight
by James Horner, Tanner Trautrim, Cristina Ruiz Martin, Iryna Borshchova and Gabriel Wainer
Aerospace 2025, 12(10), 912; https://doi.org/10.3390/aerospace12100912 - 10 Oct 2025
Viewed by 501
Abstract
The National Research Council Canada (NRC) is actively engaged in the development of an advanced autonomy system for the Bell 412 helicopter. This system’s capabilities extend to the execution of complex missions, such as arctic resupply missions. In an arctic resupply mission, the [...] Read more.
The National Research Council Canada (NRC) is actively engaged in the development of an advanced autonomy system for the Bell 412 helicopter. This system’s capabilities extend to the execution of complex missions, such as arctic resupply missions. In an arctic resupply mission, the helicopter autonomously delivers supplies to a remote arctic base. During the mission it performs tasks such as takeoff, navigation, obstacle avoidance, and precise landing at its destination, all while minimizing the need for pilot intervention. The complexity of this autonomy system necessitates the inclusion of a high-level supervisory controller. This controller plays a critical role in monitoring mission progress, interacting with system components, and efficiently allocating resources. Conventionally, supervisory controllers are embedded within monolithic programs, lacking transparent state flows. This causes system modification and testing to be a significant challenge. In our research, we present an innovative approach and methodology to develop supervisory controllers for autonomous aircraft on the example of the NRC Bell 412. Using the Discrete Event System Specification (DEVS) formalism and the Cadmium simulation engine, we effectively address the challenges above. We discuss the entire development process for a state-based, event-driven supervisory controller for autonomous rotorcraft using the NRC’s Bell-412 autonomy system as a comprehensive case study. This process includes modeling, implementation, verification, validation, testing, and deployment. It incorporates a simulation phase, in which the supervisor integrates with components within a Digital Twin of the Bell 412, and a real-time operations phase, where the supervisor becomes an integral part of the actual Bell 412 helicopter. Our method outlines the smooth transition between these phases, ensuring a seamless and efficient process. Full article
(This article belongs to the Section Aeronautics)
Show Figures

Figure 1

36 pages, 20759 KB  
Article
Autonomous UAV Landing and Collision Avoidance System for Unknown Terrain Utilizing Depth Camera with Actively Actuated Gimbal
by Piotr Łuczak and Grzegorz Granosik
Sensors 2025, 25(19), 6165; https://doi.org/10.3390/s25196165 - 5 Oct 2025
Viewed by 1908
Abstract
Autonomous landing capability is crucial for fully autonomous UAV flight. Currently, most solutions use either color imaging from a camera pointed down, lidar sensors, dedicated landing spots, beacons, or a combination of these approaches. Classical strategies can be limited by either no color [...] Read more.
Autonomous landing capability is crucial for fully autonomous UAV flight. Currently, most solutions use either color imaging from a camera pointed down, lidar sensors, dedicated landing spots, beacons, or a combination of these approaches. Classical strategies can be limited by either no color data when lidar is used, limited obstacle perception when only color imaging is used, a low field of view from a single RGB-D sensor, or the requirement for the landing spot to be prepared in advance. In this paper, a new approach is proposed where an RGB-D camera mounted on a gimbal is used. The gimbal is actively actuated to counteract the limited field of view while color images and depth information are provided by the RGB-D camera. Furthermore, a combined UAV-and-gimbal-motion strategy is proposed to counteract the low maximum range of depth perception to provide static obstacle detection and avoidance, while preserving safe operating conditions for low-altitude flight, near potential obstacles. The system is developed using a PX4 flight stack, CubeOrange flight controller, and Jetson nano onboard computer. The system was flight-tested in simulation conditions and statically tested on a real vehicle. Results show the correctness of the system architecture and possibility of deployment in real conditions. Full article
(This article belongs to the Special Issue UAV-Based Sensing and Autonomous Technologies)
Show Figures

Figure 1

41 pages, 7601 KB  
Article
Hybrid Deep Neural Architectures with Evolutionary Optimization and Explainable AI for Drought Susceptibility Assessment
by Jinping Liu, Jie Li and Yanqun Ren
Remote Sens. 2025, 17(17), 3122; https://doi.org/10.3390/rs17173122 - 8 Sep 2025
Viewed by 1158
Abstract
This study presents a novel ensemble deep-learning framework integrating Convolutional Neural Networks (CNN), self-attention mechanisms, and Long Short-Term Memory (LSTM) networks, designed to generate high-resolution drought susceptibility maps for the Oroqen Autonomous Banner of Inner Mongolia. The model was further enhanced through two [...] Read more.
This study presents a novel ensemble deep-learning framework integrating Convolutional Neural Networks (CNN), self-attention mechanisms, and Long Short-Term Memory (LSTM) networks, designed to generate high-resolution drought susceptibility maps for the Oroqen Autonomous Banner of Inner Mongolia. The model was further enhanced through two metaheuristic optimization techniques—Differential Evolution (DE) and Biogeography-Based Optimization (BBO)—which tuned hyperparameters including CNN filters, LSTM units, and learning rate. Model evaluation—quantified via predictive accuracy (RMSE = 0.22 and MAE = 0.12), goodness-of-fit (R2 = 0.79), and classification discrimination [Area Under the Receiver Operating Characteristic curve (AUROC) = 0.91]—revealed that the BBO-optimized ensemble achieved the best overall performance on the test set, outperforming the DE-enhanced (AUROC = 0.86) and baseline models (AUROC = 0.80). Pairwise z-statistics confirmed the statistical superiority of the BBO-enhanced ensemble with a p-value < 0.001. The final susceptibility map—classified into five levels using the Jenks natural breaks method—identified western rangelands and transitional ecotones as high-susceptibility zones, while eastern areas were marked by lower susceptibility. The resulting outputs offer decision-makers and land managers an interpretable, high-precision tool to guide drought preparedness, implement resource allocation strategies, and design early-warning systems. This research establishes a scalable, interpretable, and statistically robust approach for drought susceptibility assessment in vulnerable landscapes. Full article
(This article belongs to the Special Issue Remote Sensing and Geoinformatics in Sustainable Development)
Show Figures

Figure 1

20 pages, 10433 KB  
Article
Identification and Assessment of Geological Hazards in Highly Vegetated Areas Based on Multi-Source Radar Remote Sensing Data: Supporting Sustainable Disaster Risk Management
by Mengmeng Liu, Wendong Li, Yu Ye, Xia Li, Wei Wei and Cunlin Xin
Sustainability 2025, 17(17), 8070; https://doi.org/10.3390/su17178070 - 8 Sep 2025
Cited by 1 | Viewed by 1040
Abstract
Xiahe County, in the northwestern Gannan Tibetan Autonomous Prefecture of Gansu Province, faces recurrent geological hazards—including landslides and debris flows. Geological hazards in highly vegetated regions pose severe threats to ecological balance, human settlements, and socio-economic sustainability, hindering the achievement of sustainable development [...] Read more.
Xiahe County, in the northwestern Gannan Tibetan Autonomous Prefecture of Gansu Province, faces recurrent geological hazards—including landslides and debris flows. Geological hazards in highly vegetated regions pose severe threats to ecological balance, human settlements, and socio-economic sustainability, hindering the achievement of sustainable development goals (SDGs). Due to the significant topographic relief and high vegetation coverage in this region, traditional manual ground-based surveys face substantial challenges in the investigation and identification of geological hazards, necessitating the adoption of advanced monitoring and identification techniques. This study employs a comprehensive approach integrating optical remote sensing, interferometric synthetic aperture radar (InSAR), and unmanned aerial vehicle (UAV) photogrammetry to investigate and identify geological hazards in the eastern part of Xiahe County, exploring the application capabilities and effectiveness of multisource remote sensing techniques in hazard identification. The results indicate that this study has shortened the time required for on-site investigations by improving the efficiency of disaster identification while also providing comprehensive, multi-angle, and high-precision remote sensing outcomes. These achievements offer robust support for sustainable disaster management and land use planning in ecologically fragile regions. Optical remote sensing, InSAR, and UAV photogrammetry each possess unique advantages and application scopes, but single-technique approaches are insufficient to fully address potential hazard identification. Developing a comprehensive investigation and identification framework that integrates and complements the strengths of multisource technologies has proven to be an effective pathway for the rapid investigation, identification, and evaluation of geological hazards. These results contribute to regional sustainability by enabling targeted risk mitigation, minimizing disaster-induced ecological and economic losses, and enhancing the resilience of vulnerable communities. Full article
Show Figures

Figure 1

37 pages, 4865 KB  
Article
Coupling Deep Abstract Networks and Metaheuristic Optimization Algorithms for a Multi-Hazard Assessment of Wildfire and Drought
by Jinping Liu, Qingfeng Hu, Panxing He, Lei Huang and Yanqun Ren
Remote Sens. 2025, 17(17), 3090; https://doi.org/10.3390/rs17173090 - 4 Sep 2025
Cited by 2 | Viewed by 1191
Abstract
This study employed Deep Abstract Networks (DANets), independently and in combination with the Whale Optimization Algorithm (WOA), to generate high-resolution susceptibility maps for drought and wildfire hazards in the Oroqen Autonomous Banner in Inner Mongolia. Presence samples included 309 wildfire points from MODIS [...] Read more.
This study employed Deep Abstract Networks (DANets), independently and in combination with the Whale Optimization Algorithm (WOA), to generate high-resolution susceptibility maps for drought and wildfire hazards in the Oroqen Autonomous Banner in Inner Mongolia. Presence samples included 309 wildfire points from MODIS active fire data and 200 drought points derived from a custom Standardized Drought Condition Index. DANets-WOA models showed clear performance improvements over their solitary counterparts. For drought susceptibility, RMSE was reduced from 0.28 to 0.21, MAE from 0.17 to 0.11, and AUC improved from 85.7% to 88.9%. Wildfire susceptibility mapping also improved, with RMSE decreasing from 0.39 to 0.36, MAE from 0.32 to 0.28, and AUC increasing from 78.9% to 85.1%. Loss function plots indicated improved convergence and reduced overfitting following optimization. A pairwise z-statistic analysis revealed significant differences (p < 0.05) in susceptibility classifications between the two modeling approaches. Notably, the overlap of drought and wildfire susceptibilities within the forest–steppe transitional zone reflects a climatically and ecologically tense corridor, where moisture stress, vegetation gradients, and human land-use converge to amplify multi-hazard risk beyond the sum of individual threats. The integration of DANets with the WOA demonstrates a robust and scalable framework for dual hazard modeling. Full article
Show Figures

Graphical abstract

24 pages, 2854 KB  
Article
Autonomous Trajectory Control for Quadrotor eVTOL in Hover and Low-Speed Flight via the Integration of Model Predictive and Following Control
by Yeping Wang, Honglei Ji, Qingyu Kang, Haotian Qi and Jinghan Wen
Drones 2025, 9(8), 537; https://doi.org/10.3390/drones9080537 - 30 Jul 2025
Viewed by 1543
Abstract
This paper proposes a novel hierarchical control architecture that combines Model Predictive Control (MPC) with Explicit Model-Following Control (EMFC) to enable accurate and efficient trajectory tracking for quadrotor electric Vertical Takeoff and Landing (eVTOL) aircraft operating in urban environments. The approach addresses the [...] Read more.
This paper proposes a novel hierarchical control architecture that combines Model Predictive Control (MPC) with Explicit Model-Following Control (EMFC) to enable accurate and efficient trajectory tracking for quadrotor electric Vertical Takeoff and Landing (eVTOL) aircraft operating in urban environments. The approach addresses the challenges of strong nonlinear dynamics, multi-axis coupling, and stringent safety constraints by separating the planning task from the fast-response control task. The MPC layer generates constrained velocity and yaw rate commands based on a simplified inertial prediction model, effectively reducing computational complexity while accounting for physical and operational limits. The EMFC layer then compensates for dynamic couplings and ensures the rapid execution of commands. A high-fidelity simulation model, incorporating rotor flapping dynamics, differential collective pitch control, and enhanced aerodynamic interference effects, is developed to validate the controller. Four representative ADS-33E-PRF tasks—Hover, Hovering Turn, Pirouette, and Vertical Maneuver—are simulated. Results demonstrate that the proposed controller achieves accurate trajectory tracking, stable flight performance, and full compliance with ADS-33E-PRF criteria, highlighting its potential for autonomous urban air mobility applications. Full article
Show Figures

Figure 1

22 pages, 4629 KB  
Article
Wind-Resistant UAV Landing Control Based on Drift Angle Control Strategy
by Haonan Chen, Zhengyou Wen, Yu Zhang, Guoqiang Su, Liaoni Wu and Kun Xie
Aerospace 2025, 12(8), 678; https://doi.org/10.3390/aerospace12080678 - 29 Jul 2025
Cited by 1 | Viewed by 1001
Abstract
Addressing lateral-directional control challenges during unmanned aerial vehicle (UAV) landing in complex wind fields, this study proposes a drift angle control strategy that integrates coordinated heading and trajectory regulation. An adaptive radius optimization method for the Dubins approach path is designed using wind [...] Read more.
Addressing lateral-directional control challenges during unmanned aerial vehicle (UAV) landing in complex wind fields, this study proposes a drift angle control strategy that integrates coordinated heading and trajectory regulation. An adaptive radius optimization method for the Dubins approach path is designed using wind speed estimation. By developing a wind-coupled flight dynamics model, we establish a roll angle control loop combining the L1 nonlinear guidance law with Linear Active Disturbance Rejection Control (LADRC). Simulation tests against conventional sideslip approach and crab approach, along with flight tests, confirm that the proposed autonomous landing system achieves smoother attitude transitions during landing while meeting all touchdown performance requirements. This solution provides a theoretically rigorous and practically viable approach for safe UAV landings in challenging wind conditions. Full article
(This article belongs to the Section Aeronautics)
Show Figures

Figure 1

35 pages, 6030 KB  
Review
Common Ragweed—Ambrosia artemisiifolia L.: A Review with Special Regards to the Latest Results in Protection Methods, Herbicide Resistance, New Tools and Methods
by Bence Knolmajer, Ildikó Jócsák, János Taller, Sándor Keszthelyi and Gabriella Kazinczi
Agronomy 2025, 15(8), 1765; https://doi.org/10.3390/agronomy15081765 - 23 Jul 2025
Viewed by 2567
Abstract
Common ragweed (Ambrosia artemisiifolia L.) has been identified as one of the most harmful invasive weed species in Europe due to its allergenic pollen and competitive growth in diverse habitats. In the first part of this review [Common Ragweed—Ambrosia artemisiifolia L.: [...] Read more.
Common ragweed (Ambrosia artemisiifolia L.) has been identified as one of the most harmful invasive weed species in Europe due to its allergenic pollen and competitive growth in diverse habitats. In the first part of this review [Common Ragweed—Ambrosia artemisiifolia L.: A Review with Special Regards to the Latest Results in Biology and Ecology], its biological characteristics and ecological behavior were described in detail. In the current paper, control strategies are summarized, focusing on integrated weed management adapted to the specific habitat where the species causes damage—arable land, semi-natural vegetation, urban areas, or along linear infrastructures. A range of management methods is reviewed, including agrotechnical, mechanical, physical, thermal, biological, and chemical approaches. Particular attention is given to the spread of herbicide resistance and the need for diversified, habitat-specific interventions. Among biological control options, the potential of Ophraella communa LeSage, a leaf beetle native to North America, is highlighted. Furthermore, innovative technologies such as UAV-assisted weed mapping, site-specific herbicide application, and autonomous weeding robots are discussed as environmentally sustainable tools. The role of legal regulations and pollen monitoring networks—particularly those implemented in Hungary—is also emphasized. By combining traditional and advanced methods within a coordinated framework, effective and ecologically sound ragweed control can be achieved. Full article
(This article belongs to the Section Weed Science and Weed Management)
Show Figures

Figure 1

31 pages, 7121 KB  
Article
Bidirectional Adaptation of Shared Autonomous Vehicles and Old Towns’ Urban Spaces: The Views of Residents on the Present
by Sucheng Yao, Kanjanee Budthimedhee, Sakol Teeravarunyou, Xinhao Chen and Ziqiang Zhang
World Electr. Veh. J. 2025, 16(7), 395; https://doi.org/10.3390/wevj16070395 - 14 Jul 2025
Cited by 1 | Viewed by 912
Abstract
The integration of shared autonomous vehicles into historic urban areas presents both opportunities and challenges. In heritage-rich environments like very old Asian (such as Suzhou old town, which serves as a use case example) or European (especially Mediterranean coastal cities) areas—characterized by narrow [...] Read more.
The integration of shared autonomous vehicles into historic urban areas presents both opportunities and challenges. In heritage-rich environments like very old Asian (such as Suzhou old town, which serves as a use case example) or European (especially Mediterranean coastal cities) areas—characterized by narrow alleys, dense development, and sensitive cultural landscapes—shared autonomous vehicle adoption raises critical spatial and social questions. This study employs a qualitative, user-centered approach based on the ripple model to examine residents’ perceptions across four dimensions: residential patterns, parking land use, regional accessibility, and street-level infrastructure. Semi-structured interviews with 27 participants reveal five key findings: (1) public trust depends on transparent decision-making and safety guarantees; (2) shared autonomous vehicles may reshape generational residential clustering; (3) the short-term parking demand remains stable, but the long-term reuse of space is feasible; (4) shared autonomous vehicles could enhance accessibility in historic cores; (5) transport systems may evolve toward intelligent, human-centered designs. Based on these insights, the study proposes three strategies: (1) transparent risk assessment using explainable artificial intelligence and digital twins; (2) polycentric development to diversify land use; (3) hierarchical street retrofitting to balance mobility and preservation. While this study is limited by its qualitative scope and absence of simulation, it offers a framework for culturally sensitive, small-scale interventions supporting sustainable mobility transitions in historic urban contexts. Full article
Show Figures

Figure 1

23 pages, 4420 KB  
Article
A Control Strategy for Autonomous Approaching and Coordinated Landing of UAV and USV
by Yongguo Li, Ruiqing Lv and Jiangdong Wang
Drones 2025, 9(7), 480; https://doi.org/10.3390/drones9070480 - 7 Jul 2025
Cited by 2 | Viewed by 1610
Abstract
Unmanned aerial vehicles (UAVs) autonomous landing plays a key role in cooperative work with other heterogeneous agents. A neglected aspect of UAV autonomous landing on a moving platform is addressed in this study. The landing process is divided into three stages: positioning, tracking, [...] Read more.
Unmanned aerial vehicles (UAVs) autonomous landing plays a key role in cooperative work with other heterogeneous agents. A neglected aspect of UAV autonomous landing on a moving platform is addressed in this study. The landing process is divided into three stages: positioning, tracking, and landing. In the tracking phase, MPCs are designed to implement tracking of the target landing platform. In the landing phase, we adopt a nested Apriltags collaboration identifier combined with the Aprilatags algorithm to design a PID speed controller, thereby improving the dynamic tracking accuracy of UAVs and completing the landing. The experimental data suggested that the method enables the UAV to perform dynamic tracking and autonomous landing on a moving platform. The experimental results show that the success rate of UAV autonomous landing is as high as 90%, providing a highly feasible solution for UAV autonomous landing. Full article
Show Figures

Figure 1

18 pages, 3941 KB  
Article
Method of Collaborative UAV Deployment: Carrier-Assisted Localization with Low-Resource Precision Touchdown
by Krzysztof Kaliszuk, Artur Kierzkowski and Bartłomiej Dziewoński
Electronics 2025, 14(13), 2726; https://doi.org/10.3390/electronics14132726 - 7 Jul 2025
Viewed by 1008
Abstract
This study presents a cooperative unmanned aerial system (UAS) designed to enable precise autonomous landings in unstructured environments using low-cost onboard vision technology. This approach involves a carrier UAV with a stabilized RGB camera and a neural inference system, as well as a [...] Read more.
This study presents a cooperative unmanned aerial system (UAS) designed to enable precise autonomous landings in unstructured environments using low-cost onboard vision technology. This approach involves a carrier UAV with a stabilized RGB camera and a neural inference system, as well as a lightweight tailsitter payload UAV with an embedded grayscale vision module. The system relies on visually recognizable landing markers and does not require additional sensors. Field trials comprising full deployments achieved an 80% success rate in autonomous landings, with vertical touchdown occurring within a 1.5 m radius of the target. These results confirm that vision-based marker detection using compact neural models can effectively support autonomous UAV operations in constrained conditions. This architecture offers a scalable alternative to the high complexity of SLAM or terrain-mapping systems. Full article
(This article belongs to the Special Issue Unmanned Aircraft Systems with Autonomous Navigation, 2nd Edition)
Show Figures

Figure 1

Back to TopTop