Sign in to use this feature.

Years

Between: -

Subjects

remove_circle_outline
remove_circle_outline
remove_circle_outline
remove_circle_outline
remove_circle_outline

Journals

Article Types

Countries / Regions

Search Results (8)

Search Parameters:
Keywords = attracting ellipsoid method

Order results
Result details
Results per page
Select all
Export citation of selected articles as:
21 pages, 1585 KB  
Article
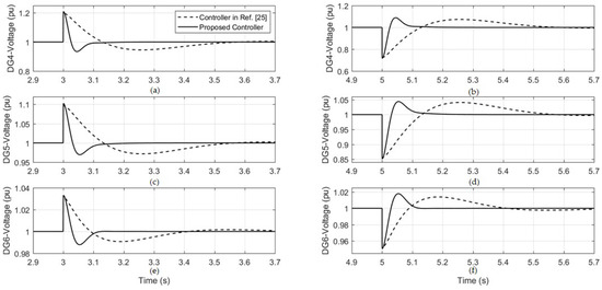
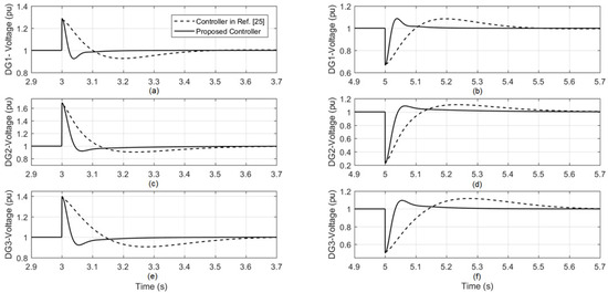
Attractive Ellipsoid Technique for a Decentralized Passivity-Based Voltage Tracker for Islanded DC Microgrids
by Alexander S. Poznyak, Hisham M. Soliman, Hussain Alazki, Ehab H. E. Bayoumi and Michele De Santis
Energies 2024, 17(7), 1529; https://doi.org/10.3390/en17071529 - 22 Mar 2024
Cited by 2 | Viewed by 1580
Abstract
A new passivity-based voltage tracker for islanded Direct Current (DC) microgrids is presented in this paper. The proposed design develops a new sufficient condition for passivity-based state feedback with proportional and integral control using the attracting ellipsoid method. In this paper, we consider [...] Read more.
A new passivity-based voltage tracker for islanded Direct Current (DC) microgrids is presented in this paper. The proposed design develops a new sufficient condition for passivity-based state feedback with proportional and integral control using the attracting ellipsoid method. In this paper, we consider the time behavior of the extended vector, which completely describes the principle properties of the closed-loop system such as the boundedness of the trajectories within some ellipsoid and the dependence of its “size” on the feedback gains. The next step, which we are realizing in this paper, is the minimization of the attractive ellipsoid by selecting the “best” admissible feedback parameters. Here, it is important to note that the applied feedback is of PD-type (proportional differential) on the system state and I-type (integral) on the output. This is a new construction of the suggested feedback which gives several advantages for a designer. The suggested control is decentralized and uses only the local states; it is cost-effective and avoids the time delays in the communication networks which are needed if centralized control is used. The suggested control is carried out in the bilinear matrix inequality (BMI) framework. Extensive simulation is performed on a test system composed of renewable energy sources, under plug and play (PnP) operations, and uncertainties in distribution lines and loads. The performance of the proposed decentralized voltage controller is compared with that of a voltage tracker present in the literature. The comparison shows the improvements introduced by the proposed control ensure the stability of the dc bus voltage and a quick response under different scenarios of operating conditions. Full article
(This article belongs to the Section A1: Smart Grids and Microgrids)
Show Figures

Figure 1

17 pages, 2673 KB  
Article
Decentralized Sensor Fault-Tolerant Control of DC Microgrids Using the Attracting Ellipsoid Method
by Hisham M. Soliman, Ehab H. E. Bayoumi, Farag A. El-Sheikhi and Michele De Santis
Sensors 2023, 23(16), 7160; https://doi.org/10.3390/s23167160 - 14 Aug 2023
Cited by 7 | Viewed by 1864
Abstract
System stability deterioration in microgrids commonly occurs due to unpredictable faults and equipment malfunctions. Recently, robust control techniques have been used in microgrid systems to address these difficulties. In this paper, for DC-islanded microgrids that have sensors faults, a new passive fault-tolerant control [...] Read more.
System stability deterioration in microgrids commonly occurs due to unpredictable faults and equipment malfunctions. Recently, robust control techniques have been used in microgrid systems to address these difficulties. In this paper, for DC-islanded microgrids that have sensors faults, a new passive fault-tolerant control strategy is developed. The suggested approach can be used to maintain system stability in the presence of flaws, such as faulty actuators and sensors, as well as component failures. The suggested control is effective when the fault is never recognized (or when the fault is not being precisely known, and some ambiguity in the fault may be interpreted as uncertainty in the system’s dynamics following the fault). The design is built around a derived sufficient condition in the context of linear matrix inequalities (LMIs) and the attractive ellipsoid technique. The ellipsoidal stabilization idea is to bring the state trajectories into a small region including the origin (an ellipsoid with minimum volume) and the trajectories will not leave the ellipsoid for the future time. Finally, computational studies on a DC microgrid system are carried out to assess the effectiveness of the proposed fault-tolerant control approach. When compared with previous studies, the simulation results demonstrate that the proposed control technique can significantly enhance the reliability and efficiency of DC microgrid systems. Full article
(This article belongs to the Special Issue Sensors and Fault Diagnostics in Power System)
Show Figures

Figure 1

19 pages, 11913 KB  
Article
Modeling of Quantum Dots with the Finite Element Method
by G.A. Mantashian, P.A. Mantashyan and D.B. Hayrapetyan
Computation 2023, 11(1), 5; https://doi.org/10.3390/computation11010005 - 2 Jan 2023
Cited by 30 | Viewed by 7131
Abstract
Considering the increasing number of experimental results in the manufacturing process of quantum dots (QDs) with different geometries, and the fact that most numerical methods that can be used to investigate quantum dots with nontrivial geometries require large computational capacities, the finite element [...] Read more.
Considering the increasing number of experimental results in the manufacturing process of quantum dots (QDs) with different geometries, and the fact that most numerical methods that can be used to investigate quantum dots with nontrivial geometries require large computational capacities, the finite element method (FEM) becomes an incredibly attractive tool for modeling semiconductor QDs. In the current article, we used FEM to obtain the first twenty-six probability densities and energy values for the following GaAs structures: rectangular, spherical, cylindrical, ellipsoidal, spheroidal, and conical QDs, as well as quantum rings, nanotadpoles, and nanostars. The results of the numerical calculations were compared with the exact analytical solutions and a good deviation was obtained. The ground-state energy dependence on the element size was obtained to find the optimal parameter for the investigated structures. The abovementioned calculation results were used to obtain valuable insight into the effects of the size quantization’s dependence on the shape of the QDs. Additionally, the wavefunctions and energies of spherical CdSe/CdS quantum dots were obtained while taking into account the diffusion effects on the potential depth with the use of a piecewise Woods–Saxon potential. The diffusion of the effective mass and the dielectric permittivity was obtained with the use of a normal Woods–Saxon potential. A structure with a quasi-type-II band alignment was obtained at the core size of ≈2.2 nm This result is consistent with the experimental data. Full article
(This article belongs to the Special Issue Application of Finite Element Methods)
Show Figures

Figure 1

16 pages, 1434 KB  
Article
Ellipsoidal Design of Robust Stabilization of Power Systems Exposed to a Cycle of Lightning Surges Modeled by Continuous-Time Markov Jumps
by Alexander Poznyak, Hussain Alazki, Hisham M. Soliman and Razzaqul Ahshan
Energies 2023, 16(1), 414; https://doi.org/10.3390/en16010414 - 29 Dec 2022
Cited by 2 | Viewed by 2120
Abstract
Power system stability is greatly affected by two types of stochastic or random disturbances: (1) topological and (2) parametric. The topological stochastic disturbances due to line faults caused by a series of lightning strikes (associated with circuit breaker, C.B., opening, and auto-reclosing) are [...] Read more.
Power system stability is greatly affected by two types of stochastic or random disturbances: (1) topological and (2) parametric. The topological stochastic disturbances due to line faults caused by a series of lightning strikes (associated with circuit breaker, C.B., opening, and auto-reclosing) are modeled in this paper as continuous-time Markov jumps. Additionally, the stochastic parameter changes e.g., the line reactance, are influenced by the phase separation, which in turn depends on the stochastic wind speed. This is modeled as a stochastic disturbance. In this manuscript, the impact of the above stochastic disturbance on power system small-disturbance stability is studied based on stochastic differential equations (SDEs). The mean-square stabilization of such a system is conducted through a novel excitation control. The invariant ellipsoid and linear matrix inequality (LMI) optimization are used to construct the control system. The numerical simulations are presented on a multi-machine test system. Full article
(This article belongs to the Section F1: Electrical Power System)
Show Figures

Figure 1

13 pages, 21182 KB  
Article
An Investigation of Instability on Constant Shear Drained (CSD) Path under the CSSM Framework: A DEM Study
by Hoang Bao Khoi Nguyen, Md Mizanur Rahman and Md Rajibul Karim
Geosciences 2022, 12(12), 449; https://doi.org/10.3390/geosciences12120449 - 6 Dec 2022
Cited by 6 | Viewed by 3111
Abstract
Soil liquefaction or instability, one of the most catastrophic phenomena, has attracted significant research attention in recent years. The main cause of soil liquefaction or instability is the reduction in the effective stress in the soil due to the build-up of pore water [...] Read more.
Soil liquefaction or instability, one of the most catastrophic phenomena, has attracted significant research attention in recent years. The main cause of soil liquefaction or instability is the reduction in the effective stress in the soil due to the build-up of pore water pressure. Such a phenomenon has often been thought to be related to the undrained shearing of saturated or nearly saturated sandy soils. Notwithstanding, many researchers also reported soil instability under a drained condition due to the reduction in lateral stress. This condition is often referred to as the constant shear drained (CSD) condition, and it is not uncommon in nature, especially in a soil slope. Even though several catastrophic dam failures have been attributed to CSD failure, the failure mechanisms in CSD conditions are not well understood, e.g., how the volumetric strain or effective stress changes at the triggering of flow deformation. Researchers often consider the soil fabric to be one of the contributors to soil behaviour and use this parameter to explain the failure mechanism of soil. However, the soil fabric is difficult to measure in conventional laboratory tests. Due to that reason, a numerical approach capable of capturing the soil fabric, the discrete element method (DEM), is used to investigate the CSD shearing mechanism. A series of simulations on 3D assemblies of ellipsoid particles was conducted. The DEM specimens exhibited instability behaviour when the effective stress paths nearly reached the critical state line. It can be clearly observed that the axial and volumetric strains changed suddenly when the stress states were close to the critical state line. Alongside these micromechanical observations, the study also presents deeper insights into soil behaviour by relating the macro-observations to the micromechanical aspect of the soil. Full article
(This article belongs to the Special Issue Assessment of Earthquake-Induced Soil Liquefaction Hazard)
Show Figures

Figure 1

16 pages, 4715 KB  
Article
Ellipsoidal Design of Robust Stabilization for Markov Jump Power Systems under Normal and Contingency Conditions
by Hisham M. Soliman, Farag A. El-Sheikhi, Ehab H. E. Bayoumi and Michele De Santis
Energies 2022, 15(19), 7249; https://doi.org/10.3390/en15197249 - 2 Oct 2022
Cited by 4 | Viewed by 2067
Abstract
The essential prerequisites for secure customer service are power system stability and reliability. This work shows how to construct a robust switching control for studying power system load changes using an invariant ellipsoid method. Furthermore, the suggested control ensures stability when the system [...] Read more.
The essential prerequisites for secure customer service are power system stability and reliability. This work shows how to construct a robust switching control for studying power system load changes using an invariant ellipsoid method. Furthermore, the suggested control ensures stability when the system is subjected to random stochastic external disturbances, and functions randomly in two conditions: normal and contingency. The extreme (least) reliability state is chosen as the most severe scenario (corresponding to a transmission line outage). As a two-state Markov random chain, the transition probabilities are utilized to simulate the switching between normal and contingency modes (or processes). To characterize the dynamics of the studied system, a stochastic mathematical model is developed. The effect of stochastic disturbances and random normal/contingency operations is taken into account during the design stage. For a stochastic power system, a novel excitation control is designed. The attractive ellipsoid approach and linear matrix inequalities (LMIs) optimization are used to build the best two-controller gains. Therefore, the proposed modeling/design technique can be employed for the power system under load changes, stochastic topological changes, and random disturbances. Finally, the system’s random dynamics simulation indicates the effectiveness of the designed control law. Full article
(This article belongs to the Topic Power System Modeling and Control, 2nd Edition)
Show Figures

Figure 1

26 pages, 4653 KB  
Article
Mathematical Modeling and Robust Control of a Restricted State Suspended Biped Robot Implementing Linear Actuators for Articulation Mobilization
by Karla Rincon-Martinez, Isaac Chairez and Wen-Yu Liu
Appl. Sci. 2022, 12(17), 8831; https://doi.org/10.3390/app12178831 - 2 Sep 2022
Cited by 2 | Viewed by 2208
Abstract
The aim of this study is to develop an adaptive automatic control method for solving the trajectory tracking problem for a biped robotic device (BRD) and taking into account that each articulation is mobilized by a linear actuator. Each extremity of the BRD [...] Read more.
The aim of this study is to develop an adaptive automatic control method for solving the trajectory tracking problem for a biped robotic device (BRD) and taking into account that each articulation is mobilized by a linear actuator. Each extremity of the BRD has three articulations with a linear actuator enforcing the controlled motion for each articulation. The control problem considers the task of tracking reference trajectories that define a regular gait cycle. The suggested adaptive control form has state-dependent gains that drive the tracking error into an invariant and attractive ellipsoidal with a center at the origin; meanwhile, the articulation restrictions are satisfied permanently. The stability analysis based on a controlled Lyapunov function depending on the tracking error leads to the explicit design of the state-dependent adaptive gains. Taking into account the forward complete setting of the proposed BRD, an output feedback formulation of the given adaptive controller is also developed using a finite-time and robust convergent differentiator based on the super-twisting algorithm. A virtual dynamic representation of the BRD is used to test the proposed controller using a distributed implementation of the adaptive controller. Numerical simulations corroborate the convergence of the tracking error, while all the articulation restrictions are satisfied using the adaptive gains. With the purpose of characterizing the proposed controller, a sub-optimal tuned regular state feedback controller is used as a comparative approach for validating the suggested design. Among the compared controllers, the analysis of the convergence of the mean square error of the tracking error motivates the application of the designed adaptive variant. Full article
(This article belongs to the Section Robotics and Automation)
Show Figures

Figure 1

16 pages, 962 KB  
Article
Current Sensorless MPPT Control for PV Systems Based on Robust Observer
by David Cortes-Vega, Hussain Alazki and Jose Luis Rullan-Lara
Appl. Sci. 2022, 12(9), 4360; https://doi.org/10.3390/app12094360 - 26 Apr 2022
Cited by 9 | Viewed by 3491
Abstract
Photovoltaic (PV) systems are among the most used alternatives for electrical power generation from renewable sources. To ensure that PV systems make the most of the available solar energy, maximum power point tracking (MPPT) schemes must be implemented, which usually require voltage and [...] Read more.
Photovoltaic (PV) systems are among the most used alternatives for electrical power generation from renewable sources. To ensure that PV systems make the most of the available solar energy, maximum power point tracking (MPPT) schemes must be implemented, which usually require voltage and current sensors to track the PV power. This paper presents the design of a robust observer using the Attractive Ellipsoid Method to achieve a precise estimation of PV current under parametric uncertainty and output perturbations. The application of such an observer enables the PV generation system to operate in a current sensorless mode, which reduces the overall cost of the system and enhances its reliability. The convergence of the observer is guaranteed by solving an optimization problem which generates the optimal gains using Linear Matrix Inequalities (LMI). To prove the effectiveness of the proposed sensorless scheme, simulations are performed in Matlab under test profiles based on the EN50530 standard and parameter uncertainty conditions, obtaining an accurate estimation which is used for MPPT operation. Full article
Show Figures

Figure 1

Back to TopTop