Modeling of Quantum Dots with the Finite Element Method
Abstract
1. Introduction
2. Materials and Methods
3. Results and Discussion
3.1. Acuracy and Computational Time
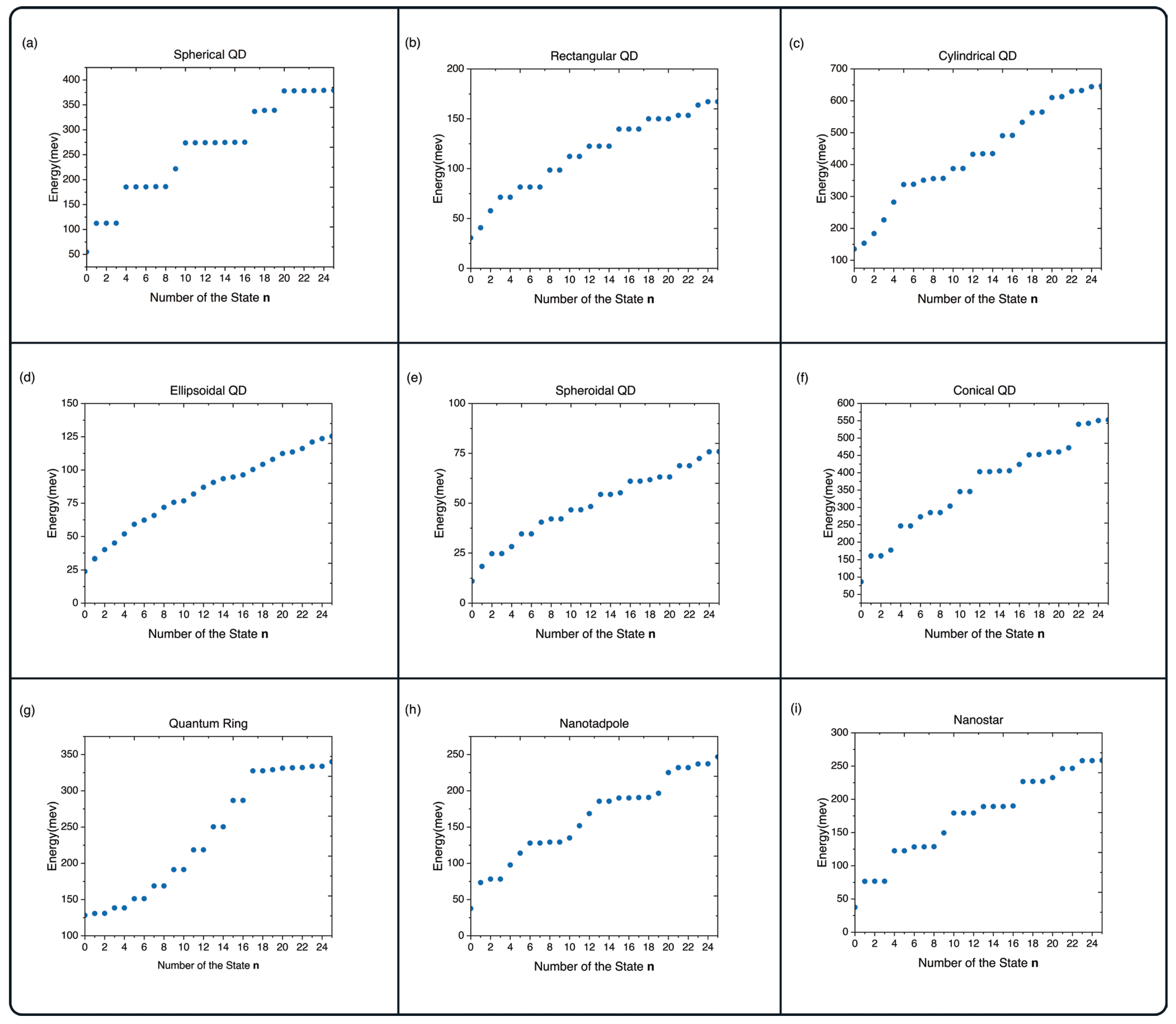
3.2. Electronic Energy and Wavefunctions of Semiconductor QDs
3.3. Properties of Semiconductor Core/Shell QDs
4. Conclusions
Author Contributions
Funding
Data Availability Statement
Conflicts of Interest
References
- Yuan, J.; Hazarika, A.; Zhao, Q.; Ling, X.; Moot, T.; Ma, W.; Luther, J.M. Metal halide perovskites in quantum dot solar cells: Progress and prospects. Joule 2020, 4, 1160–1185. [Google Scholar] [CrossRef]
- Selopal, G.S.; Zhao, H.; Wang, Z.M.; Rosei, F. Core/shell quantum dots solar cells. Adv. Funct. Mater. 2020, 30, 1908762. [Google Scholar] [CrossRef]
- Ding, C.; Wang, D.; Liu, D.; Li, H.; Li, Y.; Hayase, S.; Sogabe, T.; Masuda, T.; Zhou, Y.; Yao, Y.; et al. Over 15% Efficiency PbS Quantum-Dot Solar Cells by Synergistic Effects of Three Interface Engineering: Reducing Nonradiative Recombination and Balancing Charge Carrier Extraction. Adv. Energy Mater. 2022, 12, 2201676. [Google Scholar] [CrossRef]
- Zhao, Q.; Han, R.; Marshall, A.R.; Wang, S.; Wieliczka, B.M.; Ni, J.; Zhang, J.; Yuan, J.; Luther, J.M.; Hazarika, A.; et al. Colloidal Quantum Dot Solar Cells: Progressive Deposition Techniques and Future Prospects on Large-Area Fabrication. Adv. Mater. 2022, 34, 2107888. [Google Scholar] [CrossRef] [PubMed]
- Li, M.; Chen, S.; Zhao, X.; Xiong, K.; Wang, B.; Shah, U.A.; Gao, L.; Lan, X.; Zhang, J.; Hsu, H.Y.; et al. Matching Charge Extraction Contact for Infrared PbS Colloidal Quantum Dot Solar Cells. Small 2022, 18, 2105495. [Google Scholar] [CrossRef]
- Ogundele, A.K.; Mola, G.T. Ternary atoms alloy quantum dot assisted hole transport in thin film polymer solar cells. J. Phys. Chem. Solids 2022, 171, 110999. [Google Scholar] [CrossRef]
- Prasath, A.; Athika, M.; Duraisamy, E.; Selva Sharma, A.; Sankar Devi, V.; Elumalai, P. Carbon quantum dot-anchored bismuth oxide composites as potential electrode for lithium-ion battery and supercapacitor applications. ACS Omega 2019, 4, 4943–4954. [Google Scholar] [CrossRef]
- Xu, Z.; Tang, X.; Liu, Y.; Zhang, Z.; Chen, W.; Liu, K.; Yuan, Z. CsPbBr3 quantum dot films with high luminescence efficiency and irradiation stability for radioluminescent nuclear battery application. ACS Appl. Mater. Interfaces 2019, 11, 14191–14199. [Google Scholar] [CrossRef]
- Sun, B.; Chen, Y.; Tao, L.; Zhao, H.; Zhou, G.; Xia, Y.; Wang, H.; Zhao, Y. Nanorod array of SnO2 quantum dot interspersed multiphase TiO2 heterojunctions with highly photocatalytic water splitting and self-rechargeable battery-like applications. ACS Appl. Mater. Interfaces 2018, 11, 2071–2081. [Google Scholar] [CrossRef]
- Liu, J.; Zhu, M.; Mu, K.; Han, T.; Pan, Z.; Gan, Y.; Zhang, H.; Si, T. Engineering a novel microcapsule of Cu 9 S 5 core and SnS 2 quantum dot/carbon nanotube shell as a Li-ion battery anode. Chem. Commun. 2021, 57, 13397–13400. [Google Scholar] [CrossRef]
- Babu, B.; Kim, J.; Yoo, K. Nanocomposite of SnO2 quantum dots and Au nanoparticles as a battery-like supercapacitor electrode material. Mater. Lett. 2022, 309, 131339. [Google Scholar] [CrossRef]
- Nie, Y.; Liang, Z.; Wang, P.; Ma, Q.; Su, X. MXene-derived quantum dot@ gold nanobones heterostructure-based electrochemiluminescence sensor for triple-negative breast cancer diagnosis. Anal. Chem. 2021, 93, 17086–17093. [Google Scholar] [CrossRef] [PubMed]
- Aznar-Gadea, E.; Rodriguez-Canto, P.J.; Sánchez, S.A.; Martínez-Pastor, J.P.; Abargues, R. Luminescent CdSe Quantum Dot Arrays for Rapid Sensing of Explosive Taggants. ACS Appl. Nano Mater. 2022, 5, 6717–6725. [Google Scholar] [CrossRef]
- Zhu, C.; Wang, Q.; Sun, G.; Zhao, S.; Wang, Y.; Li, T.; Hao, X.; Artemyev, M.; Tang, J. High-Luminescence Electrospun Polymeric Microfibers In Situ Embedded with CdSe Quantum Dots with Excellent Environmental Stability for Heat and Humidity Wearable Sensors. Nanomaterials 2022, 12, 2288. [Google Scholar] [CrossRef] [PubMed]
- de França, C.C.L.; Meneses, D.; Silva, A.C.A.; Dantas, N.O.; de Abreu, F.C.; Petroni, J.M.; Lucca, B.G. Development of novel paper-based electrochemical device modified with CdSe/CdS magic-sized quantum dots and application for the sensing of dopamine. Electrochim. Acta 2021, 367, 137486. [Google Scholar] [CrossRef]
- Jamalipour, P.; Choobkar, N.; Abrishamkar, M.; Pournamdari, E. Design of fluorescent method for sensing toxic diazinon in water samples using PbS quantum dots-based gelatin. J. Environ. Sci. Health Part B 2022, 57, 720–728. [Google Scholar] [CrossRef]
- Galstyan, V. “Quantum dots: Perspectives in next-generation chemical gas sensors”—A review. Anal. Chim. Acta 2021, 1152, 238192. [Google Scholar] [CrossRef]
- Xavier, J.; Yu, D.; Jones, C.; Zossimova, E.; Vollmer, F. Quantum nanophotonic and nanoplasmonic sensing: Towards quantum optical bioscience laboratories on chip. Nanophotonics 2021, 10, 1387–1435. [Google Scholar] [CrossRef]
- Mohageg, M.; Mazzarella, L.; Anastopoulos, C.; Gallicchio, J.; Hu, B.L.; Jennewein, T.; Johnson, S.; Lin, S.Y.; Ling, A.; Marquardt, C.; et al. The deep space quantum link: Prospective fundamental physics experiments using long-baseline quantum optics. EPJ Quantum Technol. 2022, 9, 25. [Google Scholar] [CrossRef]
- Uppu, R.; Midolo, L.; Zhou, X.; Carolan, J.; Lodahl, P. Quantum-dot-based deterministic photon–emitter interfaces for scalable photonic quantum technology. Nat. Nanotechnol. 2021, 16, 1308–1317. [Google Scholar] [CrossRef]
- Zeuner, K.D.; Jons, K.D.; Schweickert, L.; Reuterskiöld Hedlund, C.; Nuñez Lobato, C.; Lettner, T.; Wang, K.; Gyger, S.; Scholl, E.; Steinhauer, S.; et al. On-demand generation of entangled photon pairs in the telecom C-band with InAs quantum dots. ACS Photonics 2021, 8, 2337–2344. [Google Scholar] [CrossRef] [PubMed]
- Xiao, S.; Wu, S.; Xie, X.; Yang, J.; Wei, W.; Shi, S.; Song, F.; Sun, S.; Dang, J.; Yang, L.; et al. Position-dependent chiral coupling between single quantum dots and cross waveguides. Appl. Phys. Lett. 2021, 118, 091106. [Google Scholar] [CrossRef]
- Anderson, M.; Müller, T.; Skiba-Szymanska, J.; Krysa, A.B.; Huwer, J.; Stevenson, R.M.; Heffernan, J.; Ritchie, D.A.; Shields, A.J. Coherence in single photon emission from droplet epitaxy and Stranski–Krastanov quantum dots in the telecom C-band. Appl. Phys. Lett. 2021, 118, 014003. [Google Scholar] [CrossRef]
- Jin, T.; Li, X.; Liu, R.; Ou, W.; Zhu, Y.; Wang, X.; Liu, J.; Huo, Y.; Ou, X.; Zhang, J. Generation of Polarization-Entangled Photons from Self-Assembled Quantum Dots in a Hybrid Quantum Photonic Chip. Nano Lett. 2022, 22, 586–593. [Google Scholar] [CrossRef]
- Moody, G.; Sorger, V.J.; Blumenthal, D.J.; Juodawlkis, P.W.; Loh, W.; Sorace-Agaskar, C.; Jones, A.E.; Balram, K.C.; Matthews, J.C.; Laing, A.; et al. Roadmap on integrated quantum photonics. J. Phys. Photonics 2022, 4, 012501. [Google Scholar] [CrossRef]
- Scappucci, G.; Kloeffel, C.; Zwanenburg, F.A.; Loss, D.; Myronov, M.; Zhang, J.J.; De Franceschi, S.; Katsaros, G.; Veldhorst, M. The germanium quantum information route. Nat. Rev. Mater. 2021, 6, 926–943. [Google Scholar] [CrossRef]
- Mortemousque, P.A.; Chanrion, E.; Jadot, B.; Flentje, H.; Ludwig, A.; Wieck, A.D.; Urdampilleta, M.; Bäuerle, C.; Meunier, T. Coherent control of individual electron spins in a two-dimensional quantum dot array. Nat. Nanotechnol. 2021, 16, 296–301. [Google Scholar] [CrossRef]
- Basso Basset, F.; Salusti, F.; Schweickert, L.; Rota, M.B.; Tedeschi, D.; Covre da Silva, S.F.; Roccia, E.; Zwiller, V.; Jöns, K.D.; Rastelli, A.; et al. Quantum teleportation with imperfect quantum dots. npj Quantum Inf. 2021, 7, 7. [Google Scholar] [CrossRef]
- Mortemousque, P.A.; Jadot, B.; Chanrion, E.; Thiney, V.; Bäuerle, C.; Ludwig, A.; Wieck, A.D.; Urdampilleta, M.; Meunier, T. Enhanced Spin Coherence while Displacing Electron in a Two-Dimensional Array of Quantum Dots. PRX Quantum 2021, 2, 030331. [Google Scholar] [CrossRef]
- Liu, M.; Yazdani, N.; Yarema, M.; Jansen, M.; Wood, V.; Sargent, E.H. Colloidal quantum dot electronics. Nat. Electron. 2021, 4, 548–558. Available online: https://www.nature.com/articles/s41928-021-00632-7 (accessed on 4 December 2022). [CrossRef]
- Yang, X.F.; Chen, X.S.; Lu, W.; Fu, Y. Effects of shape and strain distribution of quantum dots on optical transition in the quantum dot infrared photodetectors. Nanoscale Res. Lett. 2008, 3, 534–539. [Google Scholar] [CrossRef] [PubMed]
- Vinasco, J.A.; Radu, A.; Kasapoglu, E.S.İ.N.; Restrepo, R.L.; Morales, A.L.; Feddi, E.; Mora-Ramos, M.E.; Duque, C.A. Effects of geometry on the electronic properties of semiconductor elliptical quantum rings. Sci. Rep. 2018, 8, 13299. [Google Scholar] [CrossRef] [PubMed]
- Zhou, Z.Y.; Zheng, C.X.; Tang, W.X.; Tersoff, J.; Jesson, D.E. Origin of quantum ring formation during droplet epitaxy. Phys. Rev. Lett. 2013, 111, 036102. [Google Scholar] [CrossRef] [PubMed]
- Abbarchi, M.; Mastrandrea, C.A.; Vinattieri, A.; Sanguinetti, S.; Mano, T.; Kuroda, T.; Koguchi, N.; Sakoda, K.; Gurioli, M. Photon antibunching in double quantum ring structures. Phys. Rev. B 2009, 79, 085308. [Google Scholar] [CrossRef]
- Ramalingam, G.; Magdalane, C.M.; Kumar, B.A.; Yuvakkumar, R.; Ravi, G.; Jothi, A.I.; Rotte, N.K.; Murugadoss, G.; Ananth, A. Enhanced visible light-driven photocatalytic performance of CdSe nanorods. Environ. Res. 2022, 203, 111855. [Google Scholar] [CrossRef] [PubMed]
- Ke, X.; Zhang, J.; Dai, K.; Fan, K.; Liang, C. Integrated S-scheme heterojunction of amine-functionalized 1D CdSe nanorods anchoring on ultrathin 2D SnNb2O6 nanosheets for robust solar-driven CO2 conversion. Sol. RRL 2021, 5, 2000805. [Google Scholar] [CrossRef]
- Utterback, J.K.; Ruzicka, J.L.; Hamby, H.; Eaves, J.D.; Dukovic, G. Temperature-dependent transient absorption spectroscopy elucidates trapped-hole dynamics in CdS and CdSe Nanorods. J. Phys. Chem. Lett. 2019, 10, 2782–2787. [Google Scholar] [CrossRef]
- Liu, H.; Hao, J.; Li, J.; Cheng, J.; Gao, Y.; Lin, X.; Wang, K.; He, T. Spectral and nonlinear optical properties of quasi-type II CdSe/CdS nanotadpoles. J. Phys. Chem. C 2020, 124, 27840–27847. [Google Scholar] [CrossRef]
- Ma, Y.; Lan, K.; Xu, B.; Xu, L.; Duan, L.; Liu, M.; Chen, L.; Zhao, T.; Zhang, J.Y.; Lv, Z.; et al. Streamlined mesoporous silica nanoparticles with tunable curvature from interfacial dynamic-migration strategy for nanomotors. Nano Lett. 2021, 21, 6071–6079. [Google Scholar] [CrossRef]
- Hao, J.; Li, Y.; Miao, J.; Liu, R.; Li, J.; Liu, H.; Wang, Q.; Liu, H.; Delville, M.H.; He, T.; et al. Ligand-induced chirality in asymmetric CdSe/CdS nanostructures: A close look at chiral tadpoles. ACS Nano 2020, 14, 10346–10358. [Google Scholar] [CrossRef]
- Di Mari, G.M.; Mineo, G.; Franzò, G.; Mirabella, S.; Bruno, E.; Strano, V. Low-Cost, High-Yield ZnO Nanostars Synthesis for Pseudocapacitor Applications. Nanomaterials 2022, 12, 2588. [Google Scholar] [CrossRef] [PubMed]
- Veerakumar, P.; Sangili, A.; Saranya, K.; Pandikumar, A.; Lin, K.C. Palladium and silver nanoparticles embedded on zinc oxide nanostars for photocatalytic degradation of pesticides and herbicides. Chem. Eng. J. 2021, 410, 128434. [Google Scholar] [CrossRef]
- Manavalan, S.; Veerakumar, P.; Chen, S.M.; Lin, K.C. Three-dimensional zinc oxide nanostars anchored on graphene oxide for voltammetric determination of methyl parathion. Microchim. Acta 2020, 187, 17. [Google Scholar] [CrossRef]
- Abu-Hariri, A.; Budniak, A.K.; Horani, F.; Lifshitz, E. Star-shaped colloidal PbS nanocrystals: Structural evolution and growth mechanism. RSC Adv. 2021, 11, 30560–30568. [Google Scholar] [CrossRef] [PubMed]
- Wang, Y.; Ke, J.; Guo, X.; Gou, K.; Sang, Z.; Wang, Y.; Bian, Y.; Li, S.; Li, H. Chiral mesoporous silica nano-screws as an efficient biomimetic oral drug delivery platform through multiple topological mechanisms. Acta Pharm. Sin. B 2022, 12, 1432–1446. [Google Scholar] [CrossRef] [PubMed]
- Mishra, Y.K.; Adelung, R. ZnO tetrapod materials for functional applications. Mater. Today 2018, 21, 631–651. [Google Scholar] [CrossRef]
- Myndrul, V.; Iatsunskyi, I.; Babayevska, N.; Jarek, M.; Jesionowski, T. Effect of Electrode Modification with Chitosan and Nafion® on the Efficiency of Real-Time Enzyme Glucose Biosensors Based on ZnO Tetrapods. Materials 2022, 15, 4672. [Google Scholar] [CrossRef]
- Dixit, T.; Palani, I.A.; Singh, V. Investigation on the influence of dichromate ion on the ZnO nano-dumbbells and ZnCr2O4 nano-walls. J. Mater. Sci. Mater. Electron. 2015, 26, 821–829. [Google Scholar] [CrossRef]
- Eshet, H.; Grünwald, M.; Rabani, E. The electronic structure of CdSe/CdS core/shell seeded nanorods: Type-I or quasi-type-II? Nano Lett. 2013, 13, 5880–5885. [Google Scholar] [CrossRef]
- Baghdasaryan, D.A.; Hayrapetyan, D.B.; Kazaryan, E.M. Optical properties of narrow band prolate ellipsoidal quantum layers ensemble. J. Nanophotonics 2016, 10, 033508. [Google Scholar] [CrossRef]
- Hayrapetyan, D.B.; Bleyan, Y.Y.; Baghdasaryan, D.A.; Sarkisyan, H.A.; Baskoutas, S.; Kazaryan, E.M. Biexciton, negative and positive trions in strongly oblate ellipsoidal quantum dot. Phys. E Low-Dimens. Syst. Nanostruct. 2019, 105, 47–55. [Google Scholar] [CrossRef]
- Hayrapetyan, D.B.; Chalyan, A.V.; Kazaryan, E.M.; Sarkisyan, H.A. Direct interband light absorption in conical quantum dot. J. Nanomater. 2015, 16, 406. [Google Scholar] [CrossRef]
- Hayrapetyan, D.B.; Kazaryan, E.M.; Sarkisyan, H.A. On the possibility of implementation of Kohn’s theorem in the case of ellipsoidal quantum dots. J. Contemp. Phys. (Armen. Acad. Sci.) 2013, 48, 32–36. [Google Scholar] [CrossRef]
- Hayrapetyan, D.B.; Kazaryan, E.M.; Sarkisyan, H.A. Implementation of Kohn’s theorem for the ellipsoidal quantum dot in the presence of external magnetic field. Phys. E Low-Dimens. Syst. Nanostruct. 2016, 75, 353–357. [Google Scholar] [CrossRef]
- Garoufalis, C.S.; Zeng, Z.; Bester, G.; Hayrapetyan, D.B.; Baskoutas, S. Optical properties of zig-zag and armchair ZnO colloidal nanoribbons. Chem. Phys. Lett. 2019, 732, 136659. [Google Scholar] [CrossRef]
- Postica, V.; Gröttrup, J.; Adelung, R.; Lupan, O.; Mishra, A.K.; de Leeuw, N.H.; Mishra, Y.K. Multifunctional materials: A case study of the effects of metal doping on ZnO tetrapods with bismuth and tin oxides. Adv. Funct. Mater. 2017, 27, 1604676. [Google Scholar] [CrossRef]
- Malik, P.; Thareja, R.; Singh, J.; Kakkar, R. II-VI core/shell quantum dots and doping with transition metal ions as a means of tuning the magnetoelectronic properties of CdS/ZnS core/shell QDs: A DFT study. J. Mol. Graph. Model. 2022, 111, 108099. [Google Scholar] [CrossRef]
- David Müzel, S.; Bonhin, E.P.; Guimarães, N.M.; Guidi, E.S. Application of the finite element method in the analysis of composite materials: A review. Polymers 2020, 12, 818. [Google Scholar] [CrossRef]
- Dandekar, C.R.; Shin, Y.C. Modeling of machining of composite materials: A review. Int. J. Mach. Tools Manuf. 2012, 57, 102–121. [Google Scholar] [CrossRef]
- Lasri, L.; Nouari, M.; El Mansori, M. Modelling of chip separation in machining unidirectional FRP composites by stiffness degradation concept. Compos. Sci. Technol. 2009, 69, 684–692. [Google Scholar] [CrossRef]
- Zhao, L.G.; Warrior, N.A.; Long, A.C. Finite element modelling of damage progression in non-crimp fabric reinforced composites. Compos. Sci. Technol. 2006, 66, 36–50. [Google Scholar] [CrossRef]
- Mantashian, G.A.; Zaqaryan, N.A.; Mantashyan, P.A.; Sarkisyan, H.A.; Baskoutas, S.; Hayrapetyan, D.B. Linear and Nonlinear Optical Absorption of CdSe/CdS Core/Shell Quantum Dots in the Presence of Donor Impurity. Atoms 2021, 9, 75. [Google Scholar] [CrossRef]
- Hayrapetyan, D.B.; Amirkhanyan, S.M.; Kazaryan, E.M.; Sarkisyan, H.A. Effect of hydrostatic pressure on diamagnetic susceptibility of hydrogenic donor impurity in core/shell/shell spherical quantum dot with Kratzer confining potential. Phys. E Low-Dimens. Syst. Nanostruct. 2016, 84, 367–371. [Google Scholar] [CrossRef]
- Mantashian, G.A.; Mantashyan, P.A.; Sarkisyan, H.A.; Kazaryan, E.M.; Bester, G.; Baskoutas, S.; Hayrapetyan, D.B. Exciton-Related Raman Scattering, Interband Absorption and Photoluminescence in Colloidal CdSe/CdS Core/Shell Quantum Dots Ensemble. Nanomaterials 2021, 11, 1274. [Google Scholar] [CrossRef] [PubMed]
- Cristea, M. Simultaneous effects of electric field, shallow donor impurity and geometric shape on the electronic states in ellipsoidal ZnS/CdSe core-shell quantum dots. Phys. E Low-Dimens. Syst. Nanostruct. 2018, 103, 300–306. [Google Scholar] [CrossRef]
- Choubani, M.; Maaref, H.; Saidi, F. Nonlinear optical properties of lens-shaped core/shell quantum dots coupled with a wetting layer: Effects of transverse electric field, pressure, and temperature. J. Phys. Chem. Solids 2020, 138, 109226. [Google Scholar] [CrossRef]
- Bhagyaraj, S.; Perumbilavil, S.; Udayabashkar, R.; Mangalaraja, R.V.; Thomas, S.; Kalarikkal, N.; Oluwafemi, O.S. Tuning of nonlinear absorption in highly luminescent CdSe based quantum dots with core–shell and core/multi-shell architectures. Phys. Chem. Chem. Phys. 2019, 21, 11424–11434. [Google Scholar] [CrossRef]
- Osorio, J.A.; Caicedo-Paredes, D.; Vinasco, J.A.; Morales, A.L.; Radu, A.; Restrepo, R.L.; Martínez-Orozco, J.C.; Tiutiunnyk, A.; Laroze, D.; Hieu, N.N.; et al. Pyramidal core-shell quantum dot under applied electric and magnetic fields. Sci. Rep. 2020, 10, 8961. [Google Scholar] [CrossRef]
- Mora-Ramos, M.E.; El Aouami, A.; Feddi, E.; Radu, A.; Restrepo, R.L.; Vinasco, J.A.; Morales, A.L.; Duque, C.A. Donor impurity energy and optical absorption in spherical sector quantum dots. Heliyon 2020, 6, e03194. [Google Scholar] [CrossRef]
- Mantashian, G.A.; Hayrapetyan, D.B. Impurity effects on binding energy, diamagnetic susceptibility, and photoionization cross-section of chalcopyrite AgInSe2 Nanotadpole. J. Phys. Condens. Matter 2022, 34, 245302. [Google Scholar] [CrossRef]
- Pulgar-Velásquez, L.; Sierra-Ortega, J.; Vinasco, J.A.; Laroze, D.; Radu, A.; Kasapoglu, E.; Restrepo, R.L.; Gil-Corrales, J.A.; Morales, A.L.; Duque, C.A. Shallow donor impurity states with excitonic contribution in GaAs/AlGaAs and CdTe/CdSe truncated conical quantum dots under applied magnetic field. Nanomaterials 2021, 11, 2832. [Google Scholar] [CrossRef]
- Chnafi, M.; Belamkadem, L.; Mommadi, O.; Boussetta, R.; El Hadi, M.; El Moussaouy, A.; Falyouni, F.; Vinasco, J.A.; Laroze, D.; Mora-Rey, F.; et al. Hydrostatic pressure and temperature effects on spectrum of an off-center single dopant in a conical quantum dot with spherical edge. Superlattices Microstruct. 2021, 159, 107052. [Google Scholar] [CrossRef]
- Dash, R.; Jena, S. Finite element analysis of the effect of wetting layer on the electronic eigenstates of InP/InGaP pyramidal quantum dots solar cell. Mater. Today Proc. 2021, 39, 2015–2021. [Google Scholar] [CrossRef]
- El Aouami, A.; Bikerouin, M.; Feddi, K.; Aghoutane, N.; El-Yadri, M.; Feddi, E.; Dujardin, F.; Radu, A.; Restrepo, R.L.; Vinasco, J.A.; et al. Linear and nonlinear optical properties of a single dopant in GaN conical quantum dot with spherical cap. Philos. Mag. 2020, 100, 2503–2523. [Google Scholar] [CrossRef]
- Cui, J.; Panfil, Y.E.; Koley, S.; Shamalia, D.; Waiskopf, N.; Remennik, S.; Popov, I.; Oded, M.; Banin, U. Colloidal quantum dot molecules manifesting quantum coupling at room temperature. Nat. Commun. 2019, 10, 5401. [Google Scholar] [CrossRef]
- Costa, L.S.D.; Prudente, F.V.; Acioli, P.H.; Neto, J.S.; Vianna, J.D.M. A study of confined quantum systems using the Woods-Saxon potential. J. Phys. B At. Mol. Opt. Phys. 1999, 32, 2461. [Google Scholar] [CrossRef]
- Wen, X.; Sitt, A.; Yu, P.; Toh, Y.R.; Tang, J. Temperature dependent spectral properties of type-I and quasi type-II CdSe/CdS dot-in-rod nanocrystals. Phys. Chem. Chem. Phys. 2012, 14, 3505–3512. [Google Scholar] [CrossRef]
















| The Structure | Values of Geometrical Parameters (nm) |
|---|---|
| Rectangular QD | |
| Spherical QD | |
| Cylindrical QD | |
| Ellipsoidal QD | |
| Spheroidal QD | |
| QR | |
| Conical QD | |
| Nanotadpole | |
| Nanostar |
| Part Name | Model |
|---|---|
| CPU | AMD Ryzen Thresadripper 3990X |
| RAM | Kingston 4 × 32 GB 3600 MHz |
| GPU | Double NVIDIA GeForce RTX 3090 |
Disclaimer/Publisher’s Note: The statements, opinions and data contained in all publications are solely those of the individual author(s) and contributor(s) and not of MDPI and/or the editor(s). MDPI and/or the editor(s) disclaim responsibility for any injury to people or property resulting from any ideas, methods, instructions or products referred to in the content. |
© 2023 by the authors. Licensee MDPI, Basel, Switzerland. This article is an open access article distributed under the terms and conditions of the Creative Commons Attribution (CC BY) license (https://creativecommons.org/licenses/by/4.0/).
Share and Cite
Mantashian, G.A.; Mantashyan, P.A.; Hayrapetyan, D.B. Modeling of Quantum Dots with the Finite Element Method. Computation 2023, 11, 5. https://doi.org/10.3390/computation11010005
Mantashian GA, Mantashyan PA, Hayrapetyan DB. Modeling of Quantum Dots with the Finite Element Method. Computation. 2023; 11(1):5. https://doi.org/10.3390/computation11010005
Chicago/Turabian StyleMantashian, G.A., P.A. Mantashyan, and D.B. Hayrapetyan. 2023. "Modeling of Quantum Dots with the Finite Element Method" Computation 11, no. 1: 5. https://doi.org/10.3390/computation11010005
APA StyleMantashian, G. A., Mantashyan, P. A., & Hayrapetyan, D. B. (2023). Modeling of Quantum Dots with the Finite Element Method. Computation, 11(1), 5. https://doi.org/10.3390/computation11010005

