error_outline You can access the new MDPI.com website here. Explore and share your feedback with us.
 
 
Sign in to use this feature.

Years

Between: -

Subjects

remove_circle_outline
remove_circle_outline
remove_circle_outline
remove_circle_outline
remove_circle_outline
remove_circle_outline
remove_circle_outline
remove_circle_outline
remove_circle_outline

Journals

remove_circle_outline
remove_circle_outline
remove_circle_outline
remove_circle_outline
remove_circle_outline
remove_circle_outline
remove_circle_outline
remove_circle_outline
remove_circle_outline
remove_circle_outline
remove_circle_outline
remove_circle_outline
remove_circle_outline
remove_circle_outline

Article Types

Countries / Regions

remove_circle_outline
remove_circle_outline
remove_circle_outline
remove_circle_outline

Search Results (545)

Search Parameters:
Keywords = attachment theory

Order results
Result details
Results per page
Select all
Export citation of selected articles as:
21 pages, 807 KB  
Article
Business Management of Human Capital in the Hotel Sector: Organisational Resources and Talent Retention from a Job Demands–Resources Perspective
by Ana Leal-Solís, Manuel Jesús Sánchez González and Sergio Nieves-Pavón
Sustainability 2026, 18(2), 599; https://doi.org/10.3390/su18020599 - 7 Jan 2026
Abstract
This study examines the determinants of talent retention in the hotel sector of Extremadura, a peripheral European region facing depopulation, labour scarcity and structural limitations that threaten the sustainability of its human capital base. Grounded in the Job Demands–Resources (JD-R) theory, the research [...] Read more.
This study examines the determinants of talent retention in the hotel sector of Extremadura, a peripheral European region facing depopulation, labour scarcity and structural limitations that threaten the sustainability of its human capital base. Grounded in the Job Demands–Resources (JD-R) theory, the research analyses how a set of key labour resources, specifically professional training, organisational trust, job satisfaction and sustainability commitment, influence employees’ intention to remain in their organisations. These resources are conceptualised as organisational and motivational mechanisms that enhance employees’ capacity to cope with job demands and reinforce their attachment to the organisation. A quantitative survey was conducted with hotel-sector employees in Extremadura; 255 questionnaires were validated, and the proposed structural model was tested using SEM. The findings show that organisational trust is the strongest predictor of retention, followed by professional training and sustainability commitment, while job satisfaction also exerts a significant, though more moderate, effect. These results indicate that enhancing fairness perceptions, strengthening continuous training pathways and integrating sustainability-oriented values are essential strategies for retaining qualified personnel in territories with limited external opportunities. Rather than measuring human capital sustainability directly, the study shows that talent retention operates as a central empirical mechanism through which the sustainability of human capital can be supported in peripheral tourism economies. It concludes by highlighting the need for managerial practices that support transparent leadership, structured professional development and participatory sustainability initiatives, and encourages future research to incorporate longitudinal designs and direct measures of human capital sustainability. Full article
(This article belongs to the Section Tourism, Culture, and Heritage)
Show Figures

Figure 1

34 pages, 841 KB  
Article
Fostering Sustainable Innovation Through Communication Quality: The Sequential Role of Trust in Leadership and Organizational Commitment in Team-Based Enterprises
by Mohamed Rajhi and Hasan Yousef Aljuhmani
Sustainability 2026, 18(2), 554; https://doi.org/10.3390/su18020554 - 6 Jan 2026
Viewed by 16
Abstract
Although communication quality is widely recognized as a catalyst for workplace innovation, existing research seldom integrates communication quality, trust in leadership, and organizational commitment within a single explanatory framework, particularly in team-based enterprises operating in emerging economies. This study examines how communication quality [...] Read more.
Although communication quality is widely recognized as a catalyst for workplace innovation, existing research seldom integrates communication quality, trust in leadership, and organizational commitment within a single explanatory framework, particularly in team-based enterprises operating in emerging economies. This study examines how communication quality fosters employee innovation through the sequential mediating roles of trust in leadership and organizational commitment, emphasizing its contribution to sustainable enterprise performance. Rooted in Social Exchange Theory (SET), the study illustrates how transparent, reciprocal, and supportive communication enhances relational trust, strengthens employees’ emotional attachment to their organizations, and creates a climate conducive to creativity and collaborative problem-solving. A quantitative design was employed using data from employees engaged in innovation-driven projects within medium- and large-sized software firms in Turkey’s ICT sector. A total of 339 valid responses were analyzed using Partial Least Squares Structural Equation Modeling (PLS-SEM) to test the hypothesized relationships. The findings demonstrate that communication quality directly promotes employee innovation and indirectly strengthens innovation through trust in leadership and organizational commitment as sequential mediators. Additionally, organizational commitment amplifies the influence of communication quality on innovation, indicating that committed employees more effectively translate constructive communication into innovative behaviors. These results underscore the strategic importance of communicative clarity, relational leadership, and commitment-building practices in shaping resilient, innovation-oriented teams. The study advances SET by identifying trust and commitment as key relational mechanisms through which communication quality drives innovation, offering theoretical enrichment and practical guidance for sustainable human resource management and team-based organizational development. Full article
Show Figures

Figure 1

18 pages, 457 KB  
Article
Employees’ Intentions to Engage in Green Practices: A Multilevel Extended Theory of Planned Behavior Perspective
by Rubinia Celeste Bonfanti, Nicolò Billeci, Gioacchino Lavanco and Stefano Ruggieri
Sustainability 2026, 18(1), 486; https://doi.org/10.3390/su18010486 - 3 Jan 2026
Viewed by 213
Abstract
In recent years, organizations have increasingly promoted and integrated employees’ environmentally sustainable behaviors and practices as part of a strategic approach to enhance corporate reputation, demonstrate environmental stewardship, and respond to pressing ecological imperatives. This study explores the psychological factors that motivate employees’ [...] Read more.
In recent years, organizations have increasingly promoted and integrated employees’ environmentally sustainable behaviors and practices as part of a strategic approach to enhance corporate reputation, demonstrate environmental stewardship, and respond to pressing ecological imperatives. This study explores the psychological factors that motivate employees’ intentions to engage in green behaviors within organizational settings, following the Theory of Planned Behavior (TPB). We extend the model by incorporating a conceptually multilevel perspective, examining antecedents at the organizational, team, and employee levels: perceived organizational support, perceived colleague support and workplace attachment. Data were collected from a sample of 286 public employees. Our findings indicate that, among the behavioral antecedents proposed by the TPB, only some were validated as significant predictors of employees’ intentions to engage in green behaviors within their organization. The results further show that each organizational, team, and employee level antecedent included in this study significantly influenced the constructs of the TPB. Implications and suggestions for future research are also discussed. Full article
Show Figures

Figure 1

23 pages, 6093 KB  
Article
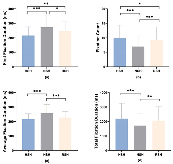
Visual Preferences and Place Attachment Construction of Generation Z Tourists at Sacred Heritage Landscapes Based on Eye-Tracking and Questionnaire
by Yue Cheng and Weizhen Chen
Buildings 2026, 16(1), 190; https://doi.org/10.3390/buildings16010190 - 1 Jan 2026
Viewed by 229
Abstract
Sacred heritage landscapes face significant challenges in engaging Generation Z tourists. To understand their visual processing and emotional responses, this study grounded in Cognitive Appraisal Theory (CAT), employed a mixed-methods approach with Chinese youth. Study 1 (N = 35) uses eye-tracking to examine [...] Read more.
Sacred heritage landscapes face significant challenges in engaging Generation Z tourists. To understand their visual processing and emotional responses, this study grounded in Cognitive Appraisal Theory (CAT), employed a mixed-methods approach with Chinese youth. Study 1 (N = 35) uses eye-tracking to examine the visual attention of Gen Z to different sacred heritage types, revealing that natural sacred sites yield the highest First Fixation Duration (FFD) and Average Fixation Duration (AFD), alongside stronger subjective preferences—highlighting the role of biophilia and perceptual fluency. Study 2 constructs a moderated mediation model with a questionnaire (N = 300), identifying a “Novelty → Awe → Place Attachment” pathway and the moderating role of mindfulness. The research identifies the specific visual processing patterns of Gen Z and provides a psychological model for place attachment, offering empirical insights for designing intergenerationally inclusive heritage landscapes. Full article
(This article belongs to the Section Architectural Design, Urban Science, and Real Estate)
Show Figures

Figure 1

30 pages, 6057 KB  
Article
Theoretical Analysis, Neural Network-Based Inverse Design, and Experimental Verification of Multilayer Thin-Plate Acoustic Metamaterial Unit Cells
by An Wang, Chi Cai, Ying You, Yizhe Huang, Xin Zhan, Linfeng Gao and Zhifu Zhang
Materials 2026, 19(1), 152; https://doi.org/10.3390/ma19010152 - 1 Jan 2026
Viewed by 167
Abstract
Acoustic metamaterials are artificially engineered materials composed of subwavelength structural units, whose effective acoustic properties are primarily determined by structural design rather than intrinsic material composition. By introducing local resonances, these materials can exhibit unconventional acoustic behavior, enabling enhanced sound insulation beyond the [...] Read more.
Acoustic metamaterials are artificially engineered materials composed of subwavelength structural units, whose effective acoustic properties are primarily determined by structural design rather than intrinsic material composition. By introducing local resonances, these materials can exhibit unconventional acoustic behavior, enabling enhanced sound insulation beyond the limitations of conventional structures. In this study, a thin plate (thin sheet) refers to a structural element whose thickness is much smaller than its in-plane dimensions and can be accurately described using classical thin-plate vibration theory. When resonant mass blocks are attached to a thin plate, a thin-plate acoustic metamaterial is formed through the coupling between plate bending vibrations and local resonances. Thin-plate acoustic metamaterials exhibit excellent sound insulation performance in the low- and mid-frequency ranges. Multilayer configurations and the combination with porous materials can effectively broaden the insulation bandwidth and improve overall performance. However, the large number of structural parameters in multilayer composite thin-plate acoustic metamaterials significantly increases design complexity, making conventional trial-and-error approaches inefficient. To address this challenge, a neural-network-based inverse design framework is proposed for multilayer composite thin-plate acoustic metamaterials. An analytical model of thin-plate metamaterials with multiple attached cylindrical masses is established using the point matching and modal superposition methods and validated by finite element simulations. A multilayer composite unit cell is then constructed, and a dataset of 30,000 samples is generated through numerical simulations. Based on this dataset, a forward prediction network achieves a test error of 1.06%, while the inverse design network converges to an error of 2.27%. The inverse-designed structure is finally validated through impedance tube experiments. The objective of this study is to establish a systematic theoretical and neural-network-assisted inverse design framework for multilayer thin-plate acoustic metamaterials. The main novelties include the development of an accurate analytical model for thin-plate metamaterials with multiple attached masses, the construction of a large-scale simulation dataset, and the proposal of a neural-network-assisted inverse design strategy to address non-uniqueness in inverse design. The proposed approach provides an efficient and practical solution for low-frequency sound insulation design. Full article
(This article belongs to the Special Issue Advanced Materials in Acoustics and Vibration)
Show Figures

Figure 1

62 pages, 797 KB  
Article
The Relation of Slavic Verb Prefixes to Perfective Aspect
by Hana Filip
Languages 2026, 11(1), 5; https://doi.org/10.3390/languages11010005 - 26 Dec 2025
Viewed by 269
Abstract
This paper advances two main theses: The first overarching thesis is that the Slavic perfective/imperfective distinction is predominantly of a lexical-derivational nature. Among the categories of the tense–modality–aspect (TMA) system, Slavic aspect systems represent marginal categories, rather than core ones, which are realized [...] Read more.
This paper advances two main theses: The first overarching thesis is that the Slavic perfective/imperfective distinction is predominantly of a lexical-derivational nature. Among the categories of the tense–modality–aspect (TMA) system, Slavic aspect systems represent marginal categories, rather than core ones, which are realized by means of inflectional morphology. The second, and related, thesis concerns the status of Slavic verb prefixes in Slavic aspect systems, given that prefixed verbs constitute the bulk of their perfective verbs. I will provide some arguments, also defended elsewhere, that Slavic verb prefixes are not perfective markers, e.g., do not spell out a functional head/feature in the dedicated aspect structure, as is often assumed in syntactic theories of aspect, and neither do they carry a uniform semantic function for the interpretation of perfective aspect. Instead, Slavic verb prefixes are best treated as separate from perfectivity, on both formal and semantic grounds. This separation, however, does not mean that the two are unrelated. Here, the semantics of perfectivity is represented by means of the maximalization operator (maxe). The most fundamental requirement for its application, and for any maximalization operator for that matter, is that it respect some ordering criterion. It is the role of Slavic verb prefixes to contribute to its specification. They do so by virtue of having common uses/meanings that can be analyzed as extensive or intensive measure functions or vague quantifiers over arguments of verbs to which they are attached. Such meanings are reducible to a uniform scalar-based representation, from which the requisite ordering criterion can be extracted. Full article
15 pages, 332 KB  
Article
Attachment Styles and Sexual Function Among Survivors of Autologous Hematopoietic Stem Cell Transplantation: A Multicenter Study
by Ioanna Tsatsou, Theocharis I. Konstantinidis, Kyriaki Mystakidou, Maria Nikoloudi, Eleni Panagou, Paraskevi-Maria Prapa, Maria Angelaki, Dimitra Bartzi and Ourania Govina
Medicina 2026, 62(1), 38; https://doi.org/10.3390/medicina62010038 - 24 Dec 2025
Viewed by 273
Abstract
Background and Objectives: Autologous hematopoietic stem cell transplantation (AHSCT) offers life-saving treatment for hematologic malignancies but can result in persistent sexual dysfunction and relationship challenges. Attachment theory provides a valuable framework for understanding how enduring relational patterns influence sexual well-being. This study [...] Read more.
Background and Objectives: Autologous hematopoietic stem cell transplantation (AHSCT) offers life-saving treatment for hematologic malignancies but can result in persistent sexual dysfunction and relationship challenges. Attachment theory provides a valuable framework for understanding how enduring relational patterns influence sexual well-being. This study aimed to assess sexual function and attachment styles in AHSCT survivors and examine correlations between attachment and sexual health outcomes. Materials and Methods: A multicenter, cross-sectional study was conducted from December 2019 to March 2022 in five public hospitals in Athens, Greece. Participants were 127 adult survivors who had undergone AHSCT between 6 months and 5 years before enrollment. Sexual function was evaluated with the International Index of Erectile Function (IIEF) for men and the Female Sexual Function Index (FSFI) for women. Attachment style was measured using the Experience in Close Relationships Scale–Short Form (ECRSHORT-FORMSCALE). Results: Men demonstrated high erectile function (IIEF total: 54.10 ± 20.1), whereas women reported moderate sexual dysfunction (FSFI total: 22.51 ± 8.95). Both genders showed average attachment levels, with anxiety scoring lowest and discomfort with closeness highest. Between-group comparisons revealed no significant difference in anxiety (p = 0.95), a near-significant difference in avoidance (p = 0.056), and a significant difference in discomfort with closeness (p < 0.0001), with women scoring higher. In men, no significant correlations emerged between attachment and sexual function. In women, higher attachment anxiety correlated negatively with all FSFI domains except pain, avoidance correlated positively with lubrication, and discomfort with closeness correlated negatively with desire and pain. Conclusions: Findings reveal gender-specific patterns in attachment and their influence on sexual function of AHSCT survivors, highlighting the need for attachment-informed interventions to support intimacy, relationship satisfaction, and overall quality of life in survivorship care. Full article
26 pages, 3498 KB  
Review
Green Space and Sense of Place: A Systematic Review
by Yijun Zeng and Jiajia Wang
Reg. Sci. Environ. Econ. 2026, 3(1), 1; https://doi.org/10.3390/rsee3010001 - 24 Dec 2025
Viewed by 213
Abstract
Understanding how green spaces foster sense of place is critical for sustainable urban planning and human well-being, yet no comprehensive synthesis has integrated findings across the fragmented literature spanning multiple disciplines. This systematic review analyzed 497 empirical studies examining green space-place attachment relationships, [...] Read more.
Understanding how green spaces foster sense of place is critical for sustainable urban planning and human well-being, yet no comprehensive synthesis has integrated findings across the fragmented literature spanning multiple disciplines. This systematic review analyzed 497 empirical studies examining green space-place attachment relationships, following PRISMA guidelines across three major databases through June 2025. Beyond documenting the field’s rapid growth—from 10 annual publications pre-2010 to over 50 by 2021—this review reveals critical patterns and gaps with implications for theory and practice. While the term ‘place attachment’ was most frequently used (45% of studies), the field employs diverse terminology often without clear definitional boundaries. Only 18% comprehensively addressed the Person-Process-Place tripartite model, with process dimensions particularly neglected. This theoretical incompleteness limits the understanding of how attachments form and evolve. Geographic analysis exposed severe disparities: 78% of studies originated from high-income countries, with Africa (2.4%) and South America (3.6%) critically underrepresented, raising questions about the applicability of current theories beyond Western contexts. Urban settings dominated (49.5%), potentially overlooking rural and indigenous perspectives essential for comprehensive understanding. Methodologically, studies demonstrated sophistication through strategic deployment of quantitative (60%), qualitative (15%), and mixed methods (25%). Key thematic areas, residence duration, restorative benefits, and pro-environmental behaviors, showed promise, yet environmental justice remained underexplored despite its critical importance. This synthesis advances the field by identifying specific pathways for progress: expanding geographic representation to develop culturally inclusive theories, employing longitudinal designs to capture attachment formation processes, developing validated cross-cultural measures, and centering environmental justice in green space planning. These findings provide essential guidance for creating equitable green spaces that foster meaningful human-nature connections across diverse global contexts. Full article
Show Figures

Figure 1

21 pages, 898 KB  
Article
Enhancing Urban Well-Being Through Nature-Based Sports Venues: The Parallel and Sequential Mediation of Connectedness to Nature and Place Attachment
by Zhihao Zhang, Wenyue Liu, Linkang Du and Jianguo Qiu
Buildings 2025, 15(24), 4575; https://doi.org/10.3390/buildings15244575 - 18 Dec 2025
Viewed by 233
Abstract
Although previous studies have extensively explored the relationship between urban green spaces and residents’ well-being, research on how nature-based sports venues enhance urban well-being through multiple emotional mechanisms remains relatively limited. Drawing on environmental psychology, place attachment theory, and the principles of biophilic [...] Read more.
Although previous studies have extensively explored the relationship between urban green spaces and residents’ well-being, research on how nature-based sports venues enhance urban well-being through multiple emotional mechanisms remains relatively limited. Drawing on environmental psychology, place attachment theory, and the principles of biophilic design, this study constructs a dual-mediation model incorporating Connectedness to Nature (CN) and Place Attachment (PA) to examine the pathways through which natural design features—including Natural Visibility (NV), Spatial Integration (SI), and Human–Nature Interactivity (HNI)—influence individuals’ urban well-being. Using ten representative nature-integrated sports venues in China as research sites, a total of 856 valid questionnaires were collected, and structural equation modeling (SEM) was applied for empirical analysis. The results show that (1) NV, SI, and HNI all exert significant positive effects on CN and PA; (2) CN significantly promotes both PA and Urban Well-being (UWB); (3) PA has a significant positive effect on UWB; and (4) both CN and PA serve as significant mediators between natural design features and UWB, with an evident serial mediation effect from CN to PA. These findings reveal the multilayered psychological mechanisms through which nature-based sports venues enhance residents’ well-being, enrich the theoretical framework of nature-oriented design and urban sustainability, and provide empirical evidence for the health-oriented and emotion-responsive design of urban sports facilities. Full article
(This article belongs to the Section Architectural Design, Urban Science, and Real Estate)
Show Figures

Figure 1

20 pages, 443 KB  
Article
Does the Urban Nighttime Tourism Experiencescape Enhance Tourist Loyalty? The Mediating Role of Place Attachment
by Kexin Cai, Yuqin Cheng, Ling Guo, Liangwei Luo and Jiao Chen
Sustainability 2025, 17(24), 11312; https://doi.org/10.3390/su172411312 - 17 Dec 2025
Viewed by 269
Abstract
Nighttime tourism has become a key driver of urban nighttime economic development. The nighttime tourism experiencescape (NTE)—comprising elements such as atmospheric lighting landscapes, culturally distinctive night markets, and diverse entertainment formats—creates an environment markedly distinct from daytime settings. This NTE significantly influences tourist [...] Read more.
Nighttime tourism has become a key driver of urban nighttime economic development. The nighttime tourism experiencescape (NTE)—comprising elements such as atmospheric lighting landscapes, culturally distinctive night markets, and diverse entertainment formats—creates an environment markedly distinct from daytime settings. This NTE significantly influences tourist experiences and contributes critically to the sustainable development of urban destinations. Grounded in the Stimulus–Organism–Response framework, this study investigates how the NTE shapes tourist loyalty. Empirical results indicate that the effect of the NTE on tourist loyalty is primarily mediated by place attachment, with place dependence demonstrating a stronger mediating effect than place identity. In the direct pathway, only the socio-symbolic dimension of the NTE exerts a significant positive impact on tourist loyalty. The study offers both theoretical and practical contributions: it reveals the mechanisms that influence tourist loyalty in nocturnal contexts and offers actionable insights into the sustainable management of nighttime tourism in urban destinations. Full article
Show Figures

Figure 1

20 pages, 654 KB  
Perspective
Attachment as a Developmental Lens for Understanding Neurodivergence: A Clinical-Theoretical Proposal
by Vincenzo Maria Romeo
Children 2025, 12(12), 1703; https://doi.org/10.3390/children12121703 - 17 Dec 2025
Viewed by 840
Abstract
The present manuscript proposes an integrative clinical-theoretical framework that explores neurodivergence through the lens of attachment theory, aiming to enrich our understanding of atypical developmental trajectories. Drawing from both classical Bowlby–Ainsworth models and contemporary contributions from developmental psychopathology and affective neuroscience, I examine [...] Read more.
The present manuscript proposes an integrative clinical-theoretical framework that explores neurodivergence through the lens of attachment theory, aiming to enrich our understanding of atypical developmental trajectories. Drawing from both classical Bowlby–Ainsworth models and contemporary contributions from developmental psychopathology and affective neuroscience, I examine how early relational experiences shape the regulation of affect, intersubjectivity, and sensory processing in neurodivergent populations. Particular focus is given to autism spectrum conditions, attention-deficit/hyperactivity disorder (ADHD), and sensory integration challenges, highlighting the interdependence between attachment patterns and core neurodevelopmental features. By reframing neurodivergence not merely as a deficit or disorder but as an expression of individual variation in neuro-affective development, the manuscript offers implications for diagnostic refinement, therapeutic alliance building, and psychoeducational planning. This interdisciplinary approach aims to foster a more inclusive and relationally attuned clinical paradigm that addresses both the strengths and vulnerabilities of neurodivergent children and adolescents. Full article
Show Figures

Figure 1

18 pages, 273 KB  
Article
How We View Our Jobs and Our Clients: A Quantitative Study of Rejection Sensitivity in Trauma-Informed Care
by Xiwei Huang, Emily A. Bosk, Alicia Mendez, Tareq Hardan, Gina Everett and Michael J. MacKenzie
Behav. Sci. 2025, 15(12), 1733; https://doi.org/10.3390/bs15121733 - 15 Dec 2025
Viewed by 274
Abstract
Despite practice models of trauma-informed care (TIC) emphasizing relational engagement and emotional attunement as critical to service delivery, the role of individual dispositions in shaping staff perceptions and behavior remains underexplored. This study examined how rejection sensitivity, a construct grounded in attachment theory, [...] Read more.
Despite practice models of trauma-informed care (TIC) emphasizing relational engagement and emotional attunement as critical to service delivery, the role of individual dispositions in shaping staff perceptions and behavior remains underexplored. This study examined how rejection sensitivity, a construct grounded in attachment theory, defined as a dispositional tendency to anxiously expect and overreact to perceived rejection, may influence staff perceptions of their roles and client relationships in residential mental health agencies implementing TIC. We further explored whether individual and organizational factors, including job satisfaction, prior trauma training, perceived isolation at work, and trauma-related knowledge, contribute to these associations. Regression analyses were conducted on survey data from 155 frontline staff across three agencies testing the associations between rejection sensitivity and two relational outcomes: perceptions of work and of clients. Higher rejection sensitivity was significantly associated with more disengaged perceptions of work and less empathic views of clients, even after controlling for demographic and contextual organizational variables. Job satisfaction and trauma knowledge emerged as domain-specific protective factors, reducing the negative impact of rejection sensitivity. The findings underscore the importance of addressing staff relational dispositions to sustain effective TIC implementation. Enhancing job satisfaction and trauma knowledge may help support staff engagement in trauma-informed practice. Full article
(This article belongs to the Special Issue Healthy Work Environment: Employee Well-Being and Job Satisfaction)
29 pages, 1987 KB  
Article
Nudging Eco-Tourism Behaviour Through Tourist Experience Satisfaction: Examining the Mediating and Moderating Mechanisms of Destination Bonds and Ecocentrism
by Bright Boadu, Xinying Jiang and Agyemang Kwasi Sampene
Tour. Hosp. 2025, 6(5), 275; https://doi.org/10.3390/tourhosp6050275 - 9 Dec 2025
Viewed by 455
Abstract
The rapid expansion of the tourism sector has raised concerns about how to provide satisfaction to visitors while preserving the environment, especially at tourism destinations that are trying to be sustainable. This study, based on Value-Belief-Norm (VBN) and Place attachment theory, investigates how [...] Read more.
The rapid expansion of the tourism sector has raised concerns about how to provide satisfaction to visitors while preserving the environment, especially at tourism destinations that are trying to be sustainable. This study, based on Value-Belief-Norm (VBN) and Place attachment theory, investigates how tourism experience satisfaction predicts eco-tourism behaviour through destination bond while moderating the relationship between tourism experience satisfaction and eco-tourism behaviour via ecocentrism. A stratified random sampling technique was employed to capture a diverse representation of tourists visiting eco-heritage destinations. A total of 420 valid responses were retained after thorough screening for completeness and reliability. The final dataset was analyzed using Partial Least Squares Structural Equation Modelling (PLS-SEM) to evaluate both the measurement and structural relationships in the proposed model. The findings indicate that tourism experience satisfaction creates significant destination bonds, which lead to eco-tourism behaviour. Both destination attachment and dependence contribute significantly to eco-tourism behaviour, indicating they both play a mediation role. Furthermore, ecocentrism positively moderates the relationship between satisfaction and eco-behaviour, demonstrating that tourists with stronger ecological value orientations are more likely to translate satisfaction into responsible environmental action. Theoretically, the study contributes to the VBN and place attachment theory by acknowledging the role of attachment and dependence as important belief processes enabling the interacting of experiential fulfilment to moral engagement, and by finding ecocentrism to be a dynamic moderator. To the policy makers, destination managers and community stakeholders, the findings provide a behavioural model of enabling the process of stewardship using experiential design based on values and participative-based conservation initiatives. Full article
(This article belongs to the Special Issue Customer Behavior in Tourism and Hospitality)
Show Figures

Figure 1

19 pages, 1120 KB  
Article
Theoretically Estimated Experimental Adiabatic Electron Affinities of Hydrogen and Cyclohexane Molecules
by Igor Y. Shchapin and Andrey I. Nekhaev
Hydrogen 2025, 6(4), 115; https://doi.org/10.3390/hydrogen6040115 - 8 Dec 2025
Viewed by 388
Abstract
Molecular hydrogen is the basis of hydrogen energy. It is formed and used in many fields of industry, physics, and chemistry. Molecular hydrogen is the main product formed during the gamma radiolysis of liquid cyclohexane. When studying the mechanism of molecular hydrogen formation [...] Read more.
Molecular hydrogen is the basis of hydrogen energy. It is formed and used in many fields of industry, physics, and chemistry. Molecular hydrogen is the main product formed during the gamma radiolysis of liquid cyclohexane. When studying the mechanism of molecular hydrogen formation during the gamma radiolysis of liquid cyclohexane, we found that the values of adiabatic electron affinity, one of the fundamental characteristics of atoms and molecules, had not yet been experimentally determined for hydrogen and cyclohexane molecules. Theoretical estimates of the adiabatic electron affinity of the hydrogen molecule made by other authors varied widely ([−0.3; −5.771] eV) and could not be compared with experimental values due to the absence of such data. Using DFT calculations at the PBE0/TZVPP level of theory, and a constructed correlation with experimental values of the adiabatic first ionization potential and electron affinity for a number of molecules, neutral radicals, and atoms, we estimated, for the first time, the experimental adiabatic electron affinities of hydrogen (−3.08 eV) and cyclohexane (−2.13 eV) molecules in the gas phase. When an electron is attached to a cyclohexane molecule, a cyclohexane radical anion is formed, a new, highly reactive species that has not been studied before. A new perspective on molecular hydrogen formation during the gamma radiolysis of liquid cyclohexane was introduced and discussed. Full article
(This article belongs to the Special Issue Advances in Hydrogen Production, Storage, and Utilization)
Show Figures

Graphical abstract

8 pages, 180 KB  
Article
Desire and Emptiness: Rethinking Fantasy Through the Diamond Sutra and Lacanian Psychoanalysis
by Yuhong Wang
Philosophies 2025, 10(6), 131; https://doi.org/10.3390/philosophies10060131 - 5 Dec 2025
Viewed by 689
Abstract
The Diamond Sutra and Lacanian psychoanalytic theory, though grounded in distinct traditions, converge in their critique of the substantial “self,” revealing it as a fantasy produced by symbolic or conceptual structures. The Sutra dismantles attachment to “name-and-form,” asserting that realizing emptiness (śūnyatā) entails [...] Read more.
The Diamond Sutra and Lacanian psychoanalytic theory, though grounded in distinct traditions, converge in their critique of the substantial “self,” revealing it as a fantasy produced by symbolic or conceptual structures. The Sutra dismantles attachment to “name-and-form,” asserting that realizing emptiness (śūnyatā) entails realizing non-self (anātman). Lacan, through the mirror stage, the Symbolic Order, and the Real, exposes the subject’s alienation within language, where desire continually circles around a constitutive lack. Both disclose that symbolic systems simultaneously generate and obscure reality. Practically, the Diamond Sutra prescribes the letting-go of all attachments—“letting the mind function without abiding anywhere”—while Lacan’s ethics of “traversing the fantasy” calls for confronting one’s fundamental lack and assuming responsibility for desire. By juxtaposing their approaches to the deconstruction of ego-fantasy, critique of symbolic mediation, and transcendence of illusion, this paper illuminates a shared insight into the interrelation of desire, language, and the real. Full article
Back to TopTop