Visual Preferences and Place Attachment Construction of Generation Z Tourists at Sacred Heritage Landscapes Based on Eye-Tracking and Questionnaire
Abstract
1. Introduction
2. Literature Review and Research Hypotheses
2.1. Sacred Heritage Landscapes and Generation Z Tourists
2.2. Heritage Preferences and Eye-Tracking Technology
2.3. Place Attachment and Cognitive Appraisal Theory
2.4. The Mediating Role of Novelty
2.5. Mechanisms of Awe
2.6. The Moderating Role of Mindfulness
3. Research Design
4. Study 1
4.1. Participants
4.2. Experimental Materials
4.3. Experimental Procedure
4.4. Data Analysis
4.5. Experimental Results
5. Study 2
5.1. Questionnaire Design and Data Collection
5.2. Research Results
6. Discussion and Conclusions
6.1. Visual Preferences and Attentional Processing Mechanisms of Sacred Heritage
6.2. Place Attachment to Sacred Heritage Sites
6.3. Theoretical and Practical Implications
6.4. Limitations
Author Contributions
Funding
Institutional Review Board Statement
Informed Consent Statement
Data Availability Statement
Conflicts of Interest
References
- Zhang, S.; Liang, J.; Su, X.; Chen, Y.; Wei, Q. Research on Global Cultural Heritage Tourism Based on Bibliometric Analysis. Herit. Sci. 2023, 11, 139. [Google Scholar] [CrossRef]
- World Tourism Organization. Tourism and Culture Synergies; UNWTO: Madrid, Spain, 2018; ISBN 978-92-844-1897-8. [Google Scholar]
- Grand View Research. Heritage Tourism Market Size, Share & Trends Report. 2030. Available online: https://www.grandviewresearch.com/industry-analysis/heritage-tourism-market-report (accessed on 23 July 2025).
- Cai, Z.; Fang, C.; Zhang, Q.; Chen, F. Joint Development of Cultural Heritage Protection and Tourism: The Case of Mount Lushan Cultural Landscape Heritage Site. Herit. Sci. 2018, 9, 86. [Google Scholar] [CrossRef]
- UNESCO Initiative on Heritage of Religious Interest. Available online: https://whc.unesco.org/en/religious-sacred-heritage/ (accessed on 23 July 2025).
- Isnaeni, H.; Muafiroh, S.; Ummah, Z.R.; Turner, S.; Lekakis, S.; Adianto, J.; Hermawan, R.; Iriyanto, N.; Kersapati, M.I.; Atqa, M. Sacred Places, Ritual and Identity: Shaping the Liminal Landscape of Banda Neira, Maluku Islands. Land 2025, 14, 1109. [Google Scholar] [CrossRef]
- Ivasciuc, I.-S.; Candrea, A.N.; Ispas, A. Exploring Tourism Experiences: The Vision of Generation Z Versus Artificial Intelligence. Adm. Sci. 2025, 15, 186. [Google Scholar] [CrossRef]
- Wallace, N.; Njuguna, M.; Dennis, K. Residents’ Visual Preference Dimensions of Historic Parklands in Nairobi, Kenya. Hist. Environ. Policy Pract. 2022, 13, 71–90. [Google Scholar] [CrossRef]
- Katahenggam, N. Tourist Perceptions and Preferences of Authenticity in Heritage Tourism: Visual Comparative Study of George Town and Singapore. J. Tour. Cult. Change 2020, 18, 371–385. [Google Scholar] [CrossRef]
- Verschuuren, B.; Ormsby, A.; Jackson, W. How Might World Heritage Status Support the Protection of Sacred Natural Sites? An Analysis of Nomination Files, Management, and Governance Contexts. Land 2022, 11, 97. [Google Scholar] [CrossRef]
- Gilchrist, R.; Bell, J.; Book, A.; Fear, C.; Hinkin, O.; Hobbs, S.; Matravers, J.; Meggitt, J.; Phillips, N.; Ruhlig, V. Immersive Sacred Heritage: Enchantment through Authenticity at Glastonbury Abbey. Int. J. Herit. Stud. 2025, 31, 857–877. [Google Scholar] [CrossRef]
- Schmidt, J.; Stoffelen, A.; Bolderman, L.; Groote, P. Place Agency and Visitor Hybridity in Place-Making Processes at Sacred Heritage Sites. Tour. Geogr. 2025, 27, 191–212. [Google Scholar] [CrossRef]
- Ristić, N.D.; Ćulafić, I.K. Sacred Networks and Spiritual Resilience: Sustainable Management of Studenica Monastery’s Cultural Landscape. Land 2025, 14, 1011. [Google Scholar] [CrossRef]
- Progano, R.N. Christian Pilgrimage Landscape and Heritage: Journeying to the Sacred. Tour. Geogr. 2021, 23, 1143–1145. [Google Scholar] [CrossRef]
- Lin, C.; Wang, G.; Zeng, B.-Y.; Li, S.-J.; Xiong, L.; Yang, H. Revealing the Pattern of Causality between Tourist Experience and the Perception of Sacredness at Shamanic Heritage Destinations in Northeast China. Sci. Rep. 2024, 14, 27142. [Google Scholar] [CrossRef]
- Pricope Vancia, A.P.; Băltescu, C.A.; Brătucu, G.; Tecău, A.S.; Chițu, I.B.; Duguleană, L. Examining the Disruptive Potential of Generation Z Tourists on the Travel Industry in the Digital Age. Sustainability 2023, 15, 8756. [Google Scholar] [CrossRef]
- Barbe, D.; Neuburger, L. Generation Z and Digital Influencers in the Tourism Industry. In Generation Z Marketing and Management in Tourism and Hospitality: The Future of the Industry; Stylos, N., Rahimi, R., Okumus, B., Williams, S., Eds.; Springer International Publishing: Cham, Switzerland, 2021; pp. 167–192. ISBN 978-3-030-70695-1. [Google Scholar]
- Li, X.; Wang, C. Understanding the Relationship between Tourists’ Perceptions of the Authenticity of Traditional Village Cultural Landscapes and Behavioural Intentions, Mediated by Memorable Tourism Experiences and Place Attachment. Asia Pac. J. Tour. Res. 2023, 28, 254–273. [Google Scholar] [CrossRef]
- Lan, T.; Zheng, Z.; Tian, D.; Zhang, R.; Law, R.; Zhang, M. Resident-Tourist Value Co-Creation in the Intangible Cultural Heritage Tourism Context: The Role of Residents’ Perception of Tourism Development and Emotional Solidarity. Sustainability 2021, 13, 1369. [Google Scholar] [CrossRef]
- Zheng, S.; Zhang, J.; Zu, R.; Li, Y. Visual Perception Differences and Spatiotemporal Analysis in Commercialized Historic Streets Based on Mobile Eye Tracking: A Case Study in Nanchang Wanshou Palace, China. Buildings 2024, 14, 1899. [Google Scholar] [CrossRef]
- Rusnak, M.; Szmigiel, M.; Geniusz, M.; Koszewicz, Z.; Magdziak-Tokłowicz, M. Exploring the Impact of Cultural Context on Eye-Tracking Studies of Architectural Monuments in Selected European Cities: Sustainable Heritage Management. J. Cult. Herit. 2024, 66, 326–342. [Google Scholar] [CrossRef]
- Li, J.; Zhang, J.; Li, X.; Wu, Q.; Zhao, Q.; Fang, H.; Deng, S. Tourists’ Visual Attention and Preference of Intangible Cultural Heritage. Asia Pac. J. Tour. Res. 2024, 29, 753–767. [Google Scholar] [CrossRef]
- Lewicka, M. Place Attachment: How Far Have We Come in the Last 40 Years? J. Environ. Psychol. 2011, 31, 207–230. [Google Scholar] [CrossRef]
- Yuksel, A.; Yuksel, F.; Bilim, Y. Destination Attachment: Effects on Customer Satisfaction and Cognitive, Affective and Conative Loyalty. Tour. Manag. 2010, 31, 274–284. [Google Scholar] [CrossRef]
- Dang, L.; Weiss, J. Evidence on the Relationship between Place Attachment and Behavioral Intentions between 2010 and 2021: A Systematic Literature Review. Sustainability 2021, 13, 13138. [Google Scholar] [CrossRef]
- Zou, W.; Wei, W.; Ding, S.; Xue, J. The Relationship between Place Attachment and Tourist Loyalty: A Meta-Analysis. Tour. Manag. Perspect. 2022, 43, 100983. [Google Scholar] [CrossRef]
- Hoang, T.D.T.; Brown, G.; Kim, A.K.J. Measuring Resident Place Attachment in a World Cultural Heritage Tourism Context: The Case of Hoi An (Vietnam). Curr. Issues Tour. 2020, 23, 2059–2075. [Google Scholar] [CrossRef]
- Kastenholz, E.; Marques, C.P.; Carneiro, M.J. Place Attachment through Sensory-Rich, Emotion-Generating Place Experiences in Rural Tourism. J. Destin. Mark. Manag. 2020, 17, 100455. [Google Scholar] [CrossRef]
- Lazarus, R.S. Emotion and Adaptation; Oxford University Press: New York, NY, USA, 1991; ISBN 978-0-19-506994-5. [Google Scholar]
- Li, S.; Li, S.; Fong, L.H.N.; Li, Y. When Intangible Cultural Heritage Meets Modernization—Can Chinese Opera with Modernized Elements Attract Young Festival-Goers? Tour. Manag. 2025, 107, 105036. [Google Scholar] [CrossRef]
- Cui, R.; Farahani, S.; Xie, Y.; He, X. Exploring the Psychological Restoration of Tourists in Natural and Cultural Destinations: The Moderating Roles of Novelty and Familiarity. Tour. Manag. Perspect. 2025, 57, 101362. [Google Scholar] [CrossRef]
- Skavronskaya, L.; Moyle, B.; Scott, N. The Experience of Novelty and the Novelty of Experience. Front. Psychol. 2020, 11, 322. [Google Scholar] [CrossRef]
- Mitas, O.; Bastiaansen, M. Novelty: A Mechanism of Tourists’ Enjoyment. Ann. Tour. Res. 2018, 72, 98–108. [Google Scholar] [CrossRef]
- Song, H.; Chen, P.; Zhang, S.; Chen, Y.; Zhao, W. The Impact of the Creative Performance of Agricultural Heritage Systems on Tourists’ Cultural Identity: A Dual Perspective of Knowledge Transfer and Novelty Perception. Front. Psychol. 2022, 13, 968820. [Google Scholar] [CrossRef] [PubMed]
- Roseman, I.J. Appraisal in the Emotion System: Coherence in Strategies for Coping. Emot. Rev. 2013, 5, 141–149. [Google Scholar] [CrossRef]
- Keltner, D.; Haidt, J. Approaching Awe, a Moral, Spiritual, and Aesthetic Emotion. Cogn. Emot. 2003, 17, 297–314. [Google Scholar] [CrossRef] [PubMed]
- Yan, Y.Q.; Shen, H.J.; Ye, B.H.; Zhou, L. From Axe to Awe: Assessing the Co-Effects of Awe and Authenticity on Industrial Heritage Tourism. Curr. Issues Tour. 2022, 25, 2821–2837. [Google Scholar] [CrossRef]
- Powell, R.B.; Brownlee, M.T.J.; Kellert, S.R.; Ham, S.H. From Awe to Satisfaction: Immediate Affective Responses to the Antarctic Tourism Experience. Polar Rec. 2012, 48, 145–156. [Google Scholar] [CrossRef]
- Su, X.; Li, X.; Wang, Y.; Zheng, Z.; Huang, Y. Awe of Intangible Cultural Heritage: The Perspective of ICH Tourists. Sage Open 2020, 10, 1–14. [Google Scholar] [CrossRef]
- Darbor, K.E.; Lench, H.C.; Davis, W.E.; Hicks, J.A. Experiencing versus Contemplating: Language Use during Descriptions of Awe and Wonder. Cogn. Emot. 2016, 30, 1188–1196. [Google Scholar] [CrossRef]
- Eck, T.; Zhang, Y.; An, S. A Study on the Effect of Authenticity on Heritage Tourists’ Mindful Tourism Experience: The Case of the Forbidden City. Sustainability 2023, 15, 7756. [Google Scholar] [CrossRef]
- Allen, J.G.; Romate, J.; Rajkumar, E. Mindfulness-Based Positive Psychology Interventions: A Systematic Review. BMC Psychol. 2021, 9, 116. [Google Scholar] [CrossRef]
- An, S.; Eck, T.; Woosnam, K.M.; Jiang, L. Applying Mindfulness Theory to Enhance Voluntourism Experiences. Tour. Manag. Perspect. 2024, 50, 101203. [Google Scholar] [CrossRef]
- Kiken, L.G.; Lundberg, K.B.; Fredrickson, B.L. Being Present and Enjoying It: Dispositional Mindfulness and Savoring the Moment Are Distinct, Interactive Predictors of Positive Emotions and Psychological Health. Mindfulness 2017, 8, 1280–1290. [Google Scholar] [CrossRef] [PubMed]
- Bishop, S.R.; Lau, M.; Shapiro, S.; Carlson, L.; Anderson, N.D.; Carmody, J.; Segal, Z.V.; Abbey, S.; Speca, M.; Velting, D.; et al. Mindfulness: A Proposed Operational Definition. Clin. Psychol. Sci. Pract. 2004, 11, 230–241. [Google Scholar] [CrossRef]
- Roth, G.; Vansteenkiste, M.; Ryan, R.M. Integrative Emotion Regulation: Process and Development from a Self-Determination Theory Perspective. Dev. Psychopathol. 2019, 31, 945–956. [Google Scholar] [CrossRef]
- Lv, D.; Sun, R.; Zhu, Q.; Cheng, Y.; Wang, R.; Qin, S. Language Styles, Recovery Strategies and Users’ Willingness to Forgive in Generative Artificial Intelligence Service Recovery: A Mixed Study. Systems 2024, 12, 430. [Google Scholar] [CrossRef]
- Mishchenko, O.V. Classification Scheme of Sacred Landscapes. Eur. J. Geogr. 2018, 9, 62–74. [Google Scholar]
- Liutikas, D. Sacred Space in Geography: Religious Buildings and Monuments. In Geography of World Pilgrimages: Social, Cultural and Territorial Perspectives; Lopez, L., Ed.; Springer International Publishing: Cham, Switzerland, 2023; pp. 77–112. ISBN 978-3-031-32209-9. [Google Scholar]
- Ren, J.Y. Landscape Visual Evaluation and Place Attachment in Historical and Cultural Districts: A Study Based on Semantic Differential Scale and Eye Tracking Experimental Methods. Multimed. Syst. 2024, 30, 306. [Google Scholar] [CrossRef]
- Wang, Y.; Li, K.; Li, J.; Hao, T.; Zhou, Z. Comparative Study of Cognitive Differences in Rural Landscapes Based on Eye Movement Experiments. Land 2024, 13, 1592. [Google Scholar] [CrossRef]
- Cheng, Y.; Chen, J.; Li, J.; Li, L.; Hou, G.; Xiao, X. Research on the Preference of Public Art Design in Urban Landscapes: Evidence from an Event-Related Potential Study. Land 2023, 12, 1883. [Google Scholar] [CrossRef]
- Li, X.; Wang, P.; Li, L.; Liu, J. The Influence of Architectural Heritage and Tourists’ Positive Emotions on Behavioral Intentions Using Eye-Tracking Study. Sci. Rep. 2025, 15, 1447. [Google Scholar] [CrossRef]
- Kim, J.-H.; Ritchie, J.R.B.; McCormick, B. Development of a Scale to Measure Memorable Tourism Experiences. J. Travel Res. 2012, 51, 12–25. [Google Scholar] [CrossRef]
- Coghlan, A.; Buckley, R.; Weaver, D. A Framework for Analysing Awe in Tourism Experiences. Ann. Tour. Res. 2012, 39, 1710–1714. [Google Scholar] [CrossRef]
- Lau, M.A.; Bishop, S.R.; Segal, Z.V.; Buis, T.; Anderson, N.D.; Carlson, L.; Shapiro, S.; Carmody, J.; Abbey, S.; Devins, G. The Toronto Mindfulness Scale: Development and Validation. J. Clin. Psychol. 2006, 62, 1445–1467. [Google Scholar] [CrossRef]
- Kim, S.; Kim, S.-H. The Impacts of the Dual Path of Awe on Volunteer Tourism. J. Hosp. Tour. Manag. 2025, 63, 393–405. [Google Scholar] [CrossRef]
- Williams, D.R.; Vaske, J.J. The Measurement of Place Attachment: Validity and Generalizability of a Psychometric Approach. For. Sci. 2003, 49, 830–840. [Google Scholar] [CrossRef]
- Hayes, A.F. Introduction to Mediation, Moderation, and Conditional Process Analysis: A Regression-Based Approach; Guilford Press: New York, NY, USA, 2013; ISBN 978-1-60918-230-4. [Google Scholar]
- Chen, W.; Ruan, R.; Deng, W.; Gao, J. The Effect of Visual Attention Process and Thinking Styles on Environmental Aesthetic Preference: An Eye-Tracking Study. Front. Psychol. 2023, 13, 1027742. [Google Scholar] [CrossRef]
- Deng, W.; Lin, Y.; Chen, L. Exploring Destination Choice Intention by Using the Tourism Photographic: From the Perspectives of Visual Esthetic Processing. Front. Psychol. 2021, 12, 713739. [Google Scholar] [CrossRef]
- Sparks, B.A.; Wang, Y. Natural and Built Photographic Images: Preference, Complexity, and Recall. J. Travel Tour. Mark. 2014, 31, 868–883. [Google Scholar] [CrossRef]
- Ulrich, R.S. View Through a Window May Influence Recovery from Surgery. Science 1984, 224, 420–421. [Google Scholar] [CrossRef] [PubMed]
- Samson, M.G.M.; Leichty, J.G. Images of the Urban Religious Landscape: Gen Z Seek out the Sacred in the City. J. Cult. Geogr. 2022, 39, 225–250. [Google Scholar] [CrossRef]
- Reber, R.; Schwarz, N.; Winkielman, P. Processing Fluency and Aesthetic Pleasure: Is Beauty in the Perceiver’s Processing Experience? Personal. Soc. Psychol. Rev. 2004, 8, 364–382. [Google Scholar] [CrossRef]
- Xue, Y.; Zhu, F.; Li, J. Research on a Quantification Model of Online Learning Cognitive Load Based on Eye-Tracking Technology. Multimed. Tools Appl. 2025, 84, 18993–19007. [Google Scholar] [CrossRef]
- Hu, L.; Shan, Q.; Chen, L.; Liao, S.; Li, J.; Ren, G. Survey on the Impact of Historical Museum Exhibition Forms on Visitors’ Perceptions Based on Eye-Tracking. Buildings 2024, 14, 3538. [Google Scholar] [CrossRef]
- Poole-Jones, K. Historical Memory, Reconciliation, and the Shaping of the Postbellum Landscape: The Civil War Monuments of Forest Park, St. Louis. Panorama 2020, 6, 1–40. [Google Scholar] [CrossRef]
- Hautamaki, R.; Laine, S. Heritage of the Finnish Civil War Monuments in Tampere. Landsc. Res. 2020, 45, 742–757. [Google Scholar] [CrossRef]
- Falk, J.H.; Dierking, L.D. The Museum Experience Revisited; Routledge: New York, NY, USA, 2016; ISBN 978-1-315-41785-1. [Google Scholar]
- Hao, S.; Hou, R.; Zhang, J.; Shi, Y.; Zhang, Y.; Wang, C. Visual Behavior Characteristics of Historical Landscapes Based on Eye-Tracking Technology. J. Asian Archit. Build. Eng. 2025, 24, 487–506. [Google Scholar] [CrossRef]
- Wang, K.; Hou, W. Research on Interface Complexity and Operator Fatigue in Visual Search Task. In Engineering Psychology and Cognitive Ergonomics; Lecture Notes in Computer Science; Springer: Cham, Switzerland, 2020; pp. 91–99. [Google Scholar] [CrossRef]
- Motoki, K.; Saito, T.; Onuma, T. Eye-Tracking Research on Sensory and Consumer Science: A Review, Pitfalls and Future Directions. Food Res. Int. 2021, 145, 110389. [Google Scholar] [CrossRef]
- Batool, A.; Rutherford, P.; McGraw, P.; Ledgeway, T.; Altomonte, S. Gaze Correlates of View Preference: Comparing Natural and Urban Scenes. Light. Res. Technol. 2022, 54, 576–594. [Google Scholar] [CrossRef]
- Stojsavljević, R.; Vujičić, M.D.; Stankov, U.; Stamenković, I.; Masliković, D.; Carmer, A.B.; Polić, D.; Mujkić, D.; Bajić, M. In Search for Meaning? Modelling Generation Z Spiritual Travel Motivation Scale—The Case of Serbia. Sustainability 2023, 15, 5292. [Google Scholar] [CrossRef]
- Wachyuni, S.S.; Wahyuni, N.; Wiweka, K. What Motivates Generation Z to Travel Independently? Preliminary Research of Solo Travellers. J. Tour. Econ. 2023, 6, 41–52. [Google Scholar] [CrossRef]
- Kellert, S.R.; Wilson, E.O. The Biophilia Hypothesis; Island Press: Washington, DC, USA, 1995. [Google Scholar]
- Pentescu, A. Cultural Heritage and New Technologies: Exploring Opportunities for Cultural Heritage Sites from Gen Z’s Perspective. Stud. Bus. Econ. 2023, 18, 230–243. [Google Scholar] [CrossRef]
- Maleknia, R.; Heindorf, C.; Rahimian, M.; Saadatmanesh, R. Do Generational Differences Determine the Conservation Intention and Behavior towards Sacred Trees? Trees For. People 2024, 16, 100591. [Google Scholar] [CrossRef]
- Marques, J.; Gomes, S.; Ferreira, M.; Rebuá, M.; Marques, H. Generation Z and Travel Motivations: The Impact of Age, Gender, and Residence. Tour. Hosp. 2025, 6, 82. [Google Scholar] [CrossRef]
- Lee, T.-H.; Crompton, J. Measuring Novelty Seeking in Tourism. Ann. Tour. Res. 1992, 19, 732–751. [Google Scholar] [CrossRef]
- Yan, A.; Jia, W. The Influence of Eliciting Awe on Pro-Environmental Behavior of Tourist in Religious Tourism. J. Hosp. Tour. Manag. 2021, 48, 55–65. [Google Scholar] [CrossRef]
- Wang, L.; Lyu, J. Inspiring Awe through Tourism and Its Consequence. Ann. Tour. Res. 2019, 77, 106–116. [Google Scholar] [CrossRef]
- Scherer, K.R. Appraisal Considered as a Process of Multilevel Sequential Checking. Apprais. Process. Emot. Theory Methods Res. 2001, 92, 57. [Google Scholar]
- Schaffer, V.; Huckstepp, T.; Kannis-Dymand, L. Awe: A Systematic Review within a Cognitive Behavioural Framework and Proposed Cognitive Behavioural Model of Awe. Int. J. Appl. Posit. Psychol. 2024, 9, 101–136. [Google Scholar] [CrossRef]
- Moscardo, M.T.G. Understanding Tourist Experience through Mindfulness Theory. In Handbook of Tourist Behavior; Routledge: Abingdon-on-Thames, UK, 2009; ISBN 978-0-203-88180-4. [Google Scholar]
- Moscardo, G. Making Visitors Mindful: Principles for Creating Quality Sustainable Visitor Experiences Through Effective Communication; Sagamore Publishing, Inc.: Champaign, IL, USA, 1999. [Google Scholar]
- Roseman, I.J. Appraisal Determinants of Emotions: Constructing a More Accurate and Comprehensive Theory. Cogn. Emot. 1996, 10, 241–278. [Google Scholar] [CrossRef]







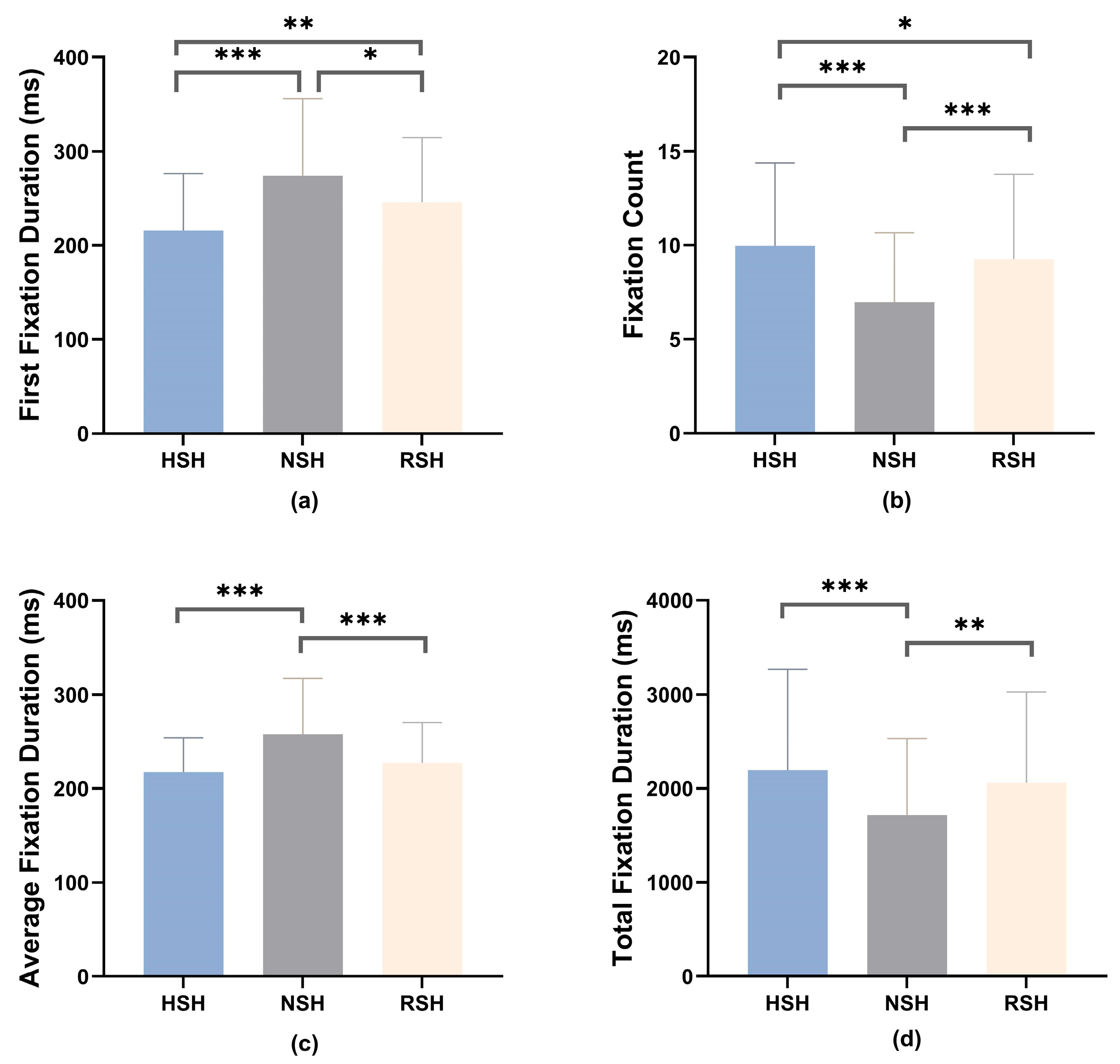
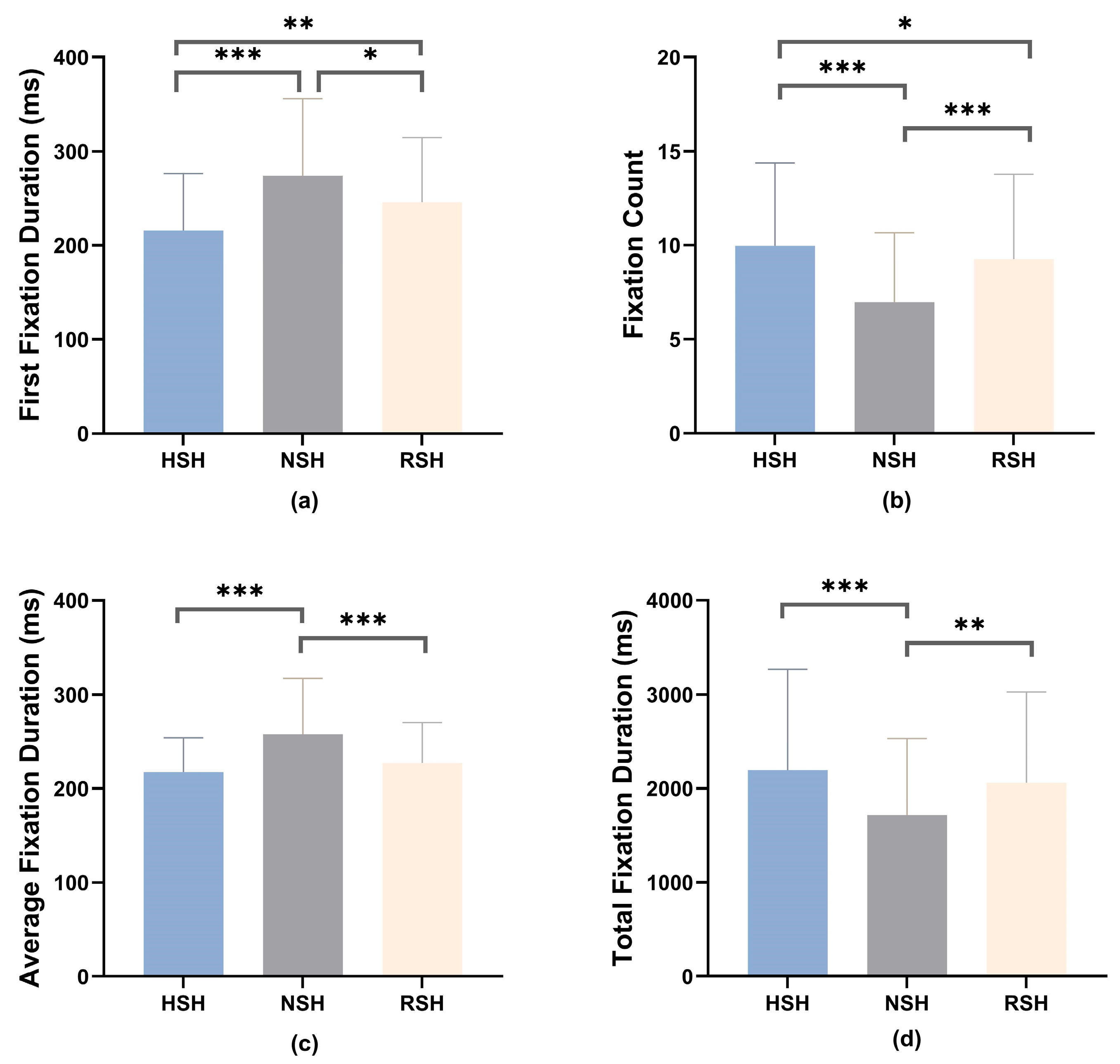
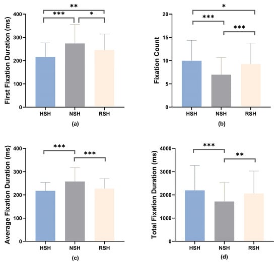
| Metrics | Definitions |
|---|---|
| Total Fixation Duration (TFD) | the cumulative duration of all fixations on each image, representing the overall allocation of attentional resources toward the heritage element |
| Fixation Count (FC) | the total number of fixations on each image, indicating participants’ willingness to actively explore during the visual scanning process |
| First Fixation Duration (FFD) | the time from image onset to the participant’s first fixation on the area of interest, indicating whether the heritage element evokes immediate visual attraction or a “first impression” preference |
| Average Fixation Duration (AFD) | the mean duration of each fixation, revealing the depth of cognitive processing during image viewing |
| Metrics | Heritage Type | ||
|---|---|---|---|
| Historical Sacred Heritage | Natural Sacred Heritage | Religious Sacred Heritage | |
| FFD (ms) | 215.80 ± 10.27 | 274.28 ± 13.83 | 245.80 ± 11.62 |
| FC | 9.97 ± 4.41 | 6.98 ± 3.68 | 9.25 ± 4.53 |
| AFD (ms) | 217.44 ± 36.36 | 257.69 ± 59.76 | 227.11 ± 42.92 |
| TFD (ms) | 2195.07 ± 1073.00 | 1719.34 ± 810.51 | 2060.09 ± 968.09 |
| Heritage Type | ||
|---|---|---|
| Historical Sacred Heritage | Natural Sacred Heritage | Religious Sacred Heritage |
| 4.50 ± 0.83 | 5.73 ± 0.79 | 4.46 ± 0.80 |
| Variables | Items | Source |
|---|---|---|
| Novelty | NO1: I perceive this as a novel and distinctive experience | |
| NO2: Many of the elements and the atmosphere here are unlike anything I have encountered before | [34,54] | |
| NO3: My experience here is filled with novelty and discovery | ||
| NO4: I believe this place showcases elements that are markedly different from my everyday life | ||
| Awe | AW1: I sense an indescribable atmosphere of solemnity | |
| AW2: This landscape evokes a sense of awe that transcends ordinary experience | [37,55] | |
| AW3: This place makes me reflect on a greater meaning of life | ||
| AW4: This site inspired deep reflection or introspection in me | ||
| AW5: I feel a sense of smallness and humility in this setting | ||
| Mindfulness | MD1: I am able to focus on the present experience without trying to control or change it | |
| MD2: I prefer to focus on observing what I experience rather than interpreting its meaning | [56,57] | |
| MD3: I notice my thoughts and feelings without excessively identifying with them | ||
| MD4: I am able to experience everything with openness and without judgment | ||
| Place Attachment | PA1: I feel a deep emotional bond with this place | |
| PA2: I believe this place has become part of my identity | [58] | |
| PA3: I would be willing to revisit this place or recommend it to others | ||
| PA4: This place holds special significance for me |
| Variables | Items | Factor Loadings | Cronbach’s Alpha Value | AVE | CR |
|---|---|---|---|---|---|
| Novelty | NO1 | 0.785 | 0.866 | 0.645 | 0.879 |
| NO2 | 0.843 | ||||
| NO3 | 0.788 | ||||
| NO4 | 0.796 | ||||
| Awe | AW1 | 0.745 | 0.855 | 0.565 | 0.866 |
| AW2 | 0.726 | ||||
| AW3 | 0.800 | ||||
| AW4 | 0.739 | ||||
| AW5 | 0.746 | ||||
| Mindfulness | MD1 | 0.814 | 0.845 | 0.637 | 0.875 |
| MD2 | 0.789 | ||||
| MD3 | 0.804 | ||||
| MD4 | 0.786 | ||||
| Place Attachment | PA1 | 0.673 | 0.824 | 0.579 | 0.846 |
| PA2 | 0.805 | ||||
| PA3 | 0.791 | ||||
| PA4 | 0.769 |
| Pathway | β | SE | t | p | 95% Bootstrap CI |
|---|---|---|---|---|---|
| Total Effect | 0.301 | 0.051 | 5.869 | <0.001 | [0.201, 0.402] |
| Direct Effect | 0.076 | 0.053 | 1.429 | 0.154 | [–0.028, 0.181] |
| Heritage → Novelty | 0.376 | 0.045 | 8.452 | <0.001 | [0.289, 0.463] |
| Heritage → Awe | 0.215 | 0.045 | 4.826 | <0.001 | [0.128, 0.303] |
| Novelty → Awe | 0.313 | 0.052 | 5.994 | <0.001 | [0.210, 0.415] |
| Novelty → Place Attachment | 0.257 | 0.064 | 4.043 | <0.001 | [0.132, 0.382] |
| Awe → Place Attachment | 0.385 | 0.067 | 5.769 | <0.001 | [0.254, 0.516] |
| Pathway | Indirect Effect | SE | 95% Bootstrap CI |
|---|---|---|---|
| Heritage → Novelty → Place Attachment | 0.097 | 0.032 | [0.044, 0.170] |
| Heritage → Awe → Place Attachment | 0.083 | 0.029 | [0.040, 0.155] |
| Heritage → Novelty → Awe → Place Attachment | 0.045 | 0.014 | [0.023, 0.079] |
| Model | Factors | β | t | p | R2 |
|---|---|---|---|---|---|
| M1 | Novelty | 0.423 | 8.716 | <0.001 | 0.203 |
| M2 | Mindfulness | 0.248 | 4.858 | <0.001 | 0.262 |
| Novelty | 0.352 | 7.184 | <0.001 | ||
| M3 | Novelty × Mindfulness | 0.212 | 3.498 | <0.001 | 0.291 |
Disclaimer/Publisher’s Note: The statements, opinions and data contained in all publications are solely those of the individual author(s) and contributor(s) and not of MDPI and/or the editor(s). MDPI and/or the editor(s) disclaim responsibility for any injury to people or property resulting from any ideas, methods, instructions or products referred to in the content. |
© 2026 by the authors. Licensee MDPI, Basel, Switzerland. This article is an open access article distributed under the terms and conditions of the Creative Commons Attribution (CC BY) license.
Share and Cite
Cheng, Y.; Chen, W. Visual Preferences and Place Attachment Construction of Generation Z Tourists at Sacred Heritage Landscapes Based on Eye-Tracking and Questionnaire. Buildings 2026, 16, 190. https://doi.org/10.3390/buildings16010190
Cheng Y, Chen W. Visual Preferences and Place Attachment Construction of Generation Z Tourists at Sacred Heritage Landscapes Based on Eye-Tracking and Questionnaire. Buildings. 2026; 16(1):190. https://doi.org/10.3390/buildings16010190
Chicago/Turabian StyleCheng, Yue, and Weizhen Chen. 2026. "Visual Preferences and Place Attachment Construction of Generation Z Tourists at Sacred Heritage Landscapes Based on Eye-Tracking and Questionnaire" Buildings 16, no. 1: 190. https://doi.org/10.3390/buildings16010190
APA StyleCheng, Y., & Chen, W. (2026). Visual Preferences and Place Attachment Construction of Generation Z Tourists at Sacred Heritage Landscapes Based on Eye-Tracking and Questionnaire. Buildings, 16(1), 190. https://doi.org/10.3390/buildings16010190

