Theoretical Analysis, Neural Network-Based Inverse Design, and Experimental Verification of Multilayer Thin-Plate Acoustic Metamaterial Unit Cells
Abstract
1. Introduction
2. Low-Frequency Sound Insulation Characteristics of Thin-Plate Metamaterials
2.1. Theoretical Analysis of Sound Insulation of Thin Plate Metamaterials
2.2. Simulation Verification of Sound Insulation of Thin Plate Metamaterials
2.2.1. Geometric Model and Parameter Setting
2.2.2. Finite Element Simulation Settings
2.2.3. Verification and Analysis of Theoretical Models
2.2.4. Sound Insulation Performance of Double-Layer Thin-Plate Acoustic Metamaterials
3. Inverse Design of Single Cell Model of Multilayer Composite Thin Plate Metamaterial Based on Neural Network
3.1. Dataset Creation
3.2. Data Preprocessing
3.3. Establishment and Training of Single-Cell Forward Prediction Network
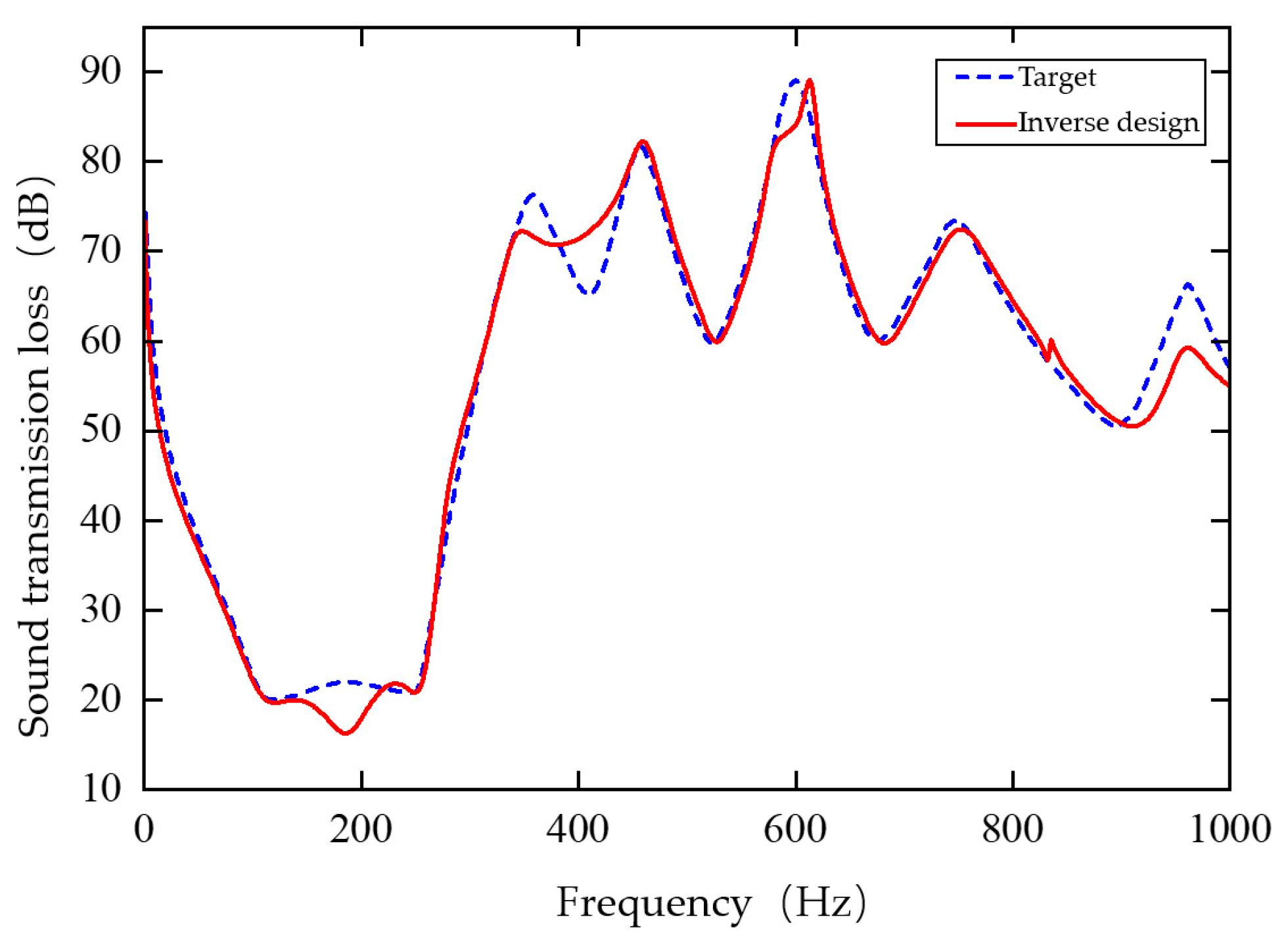
3.4. Establishment and Training of Single-Cell Inverse Design Network
4. Experimental Verification
4.1. Experimental Principle
4.2. Specimen Preparation and Experimental Platform
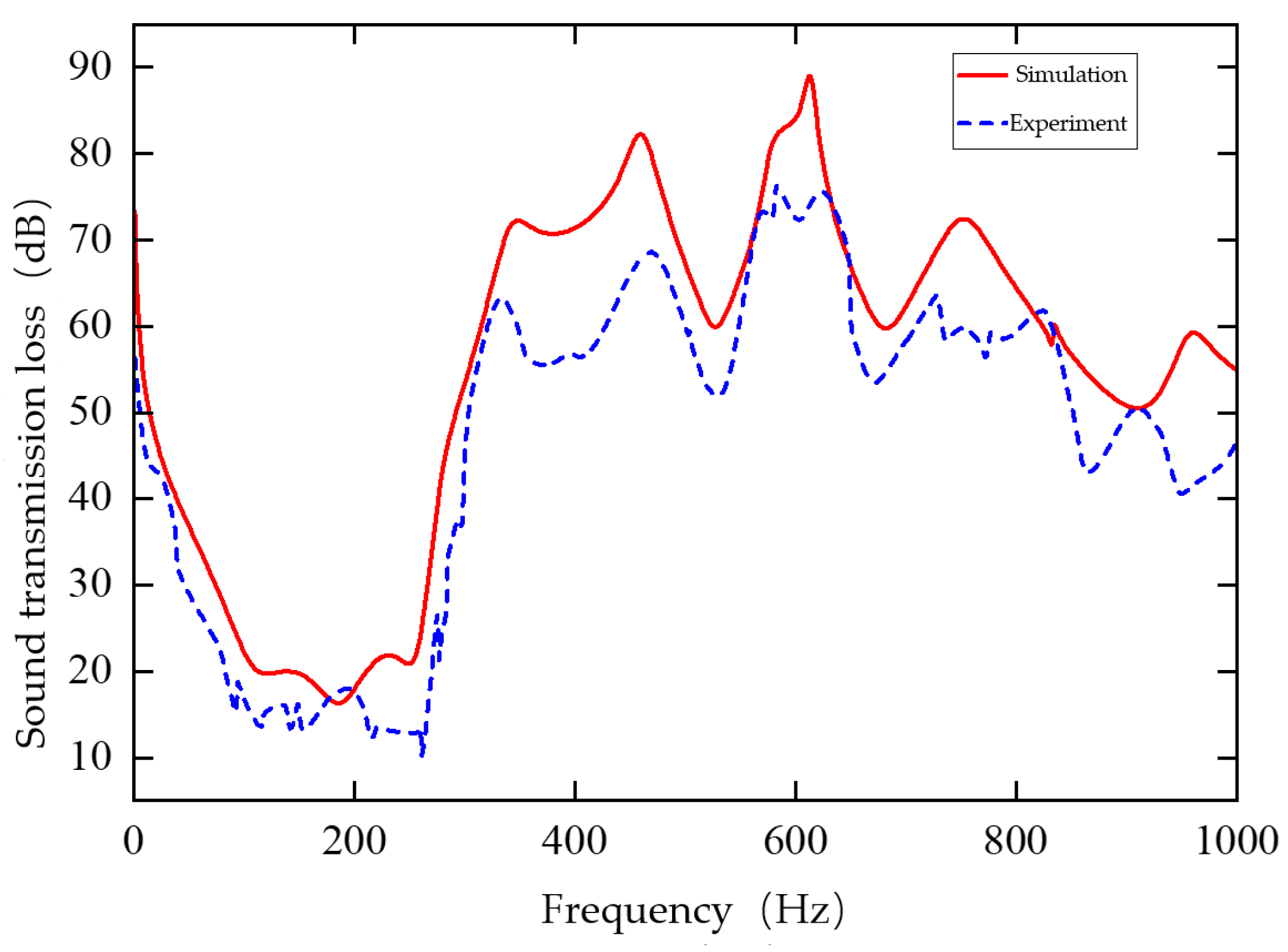
4.3. Results Analysis
5. Conclusions
Author Contributions
Funding
Institutional Review Board Statement
Informed Consent Statement
Data Availability Statement
Conflicts of Interest
References
- Liu, Z.; Zhang, X.; Mao, Y.; Zhu, Y.Y.; Yang, Z.; Chan, C.T.; Sheng, P. Locally resonant sonic materials. Science 2000, 289, 1734–1736. [Google Scholar] [CrossRef]
- Yang, Z.; Mei, J.; Yang, M.; Chan, N.H.; Sheng, P. Membrane-type acoustic metamaterial with negative dynamic mass. Phys. Rev. Lett. 2008, 101, 204301. [Google Scholar] [CrossRef] [PubMed]
- Naify, C.J.; Chang, C.-M.; McKnight, G.; Nutt, S. Transmission loss and dynamic response of membrane-type locally resonant acoustic metamaterials. J. Appl. Phys. 2010, 108, 114905. [Google Scholar] [CrossRef]
- Xiao, S.; Ma, G.; Li, Y.; Yang, Z.; Sheng, P. Active control of membrane-type acoustic metamaterial by electric field. Appl. Phys. Lett. 2015, 106, 091904. [Google Scholar] [CrossRef]
- Xu, Q.; Qiao, J.; Sun, J.; Zhang, G.; Li, L. A tunable massless membrane metamaterial for perfect and low-frequency sound absorption. J. Sound Vib. 2021, 493, 115823. [Google Scholar] [CrossRef]
- Lu, Z.; Yu, X.; Lau, S.-K.; Khoo, B.C.; Cui, F. Membrane-type acoustic metamaterial with eccentric masses for broadband sound isolation. Appl. Acoust. 2020, 157, 107003. [Google Scholar] [CrossRef]
- Zhou, G.; Wu, J.H.; Lu, K.; Tian, X.; Huang, W.; Zhu, K. Broadband low-frequency membrane-type acoustic metamaterials with multi-state anti-resonances. Appl. Acoust. 2020, 159, 107078. [Google Scholar] [CrossRef]
- Zhang, Y.; Wen, J.; Xiao, Y.; Wen, X.; Wang, J. Theoretical investigation of the sound attenuation of membrane-type acoustic metamaterials. Phys. Lett. A 2012, 376, 1489–1494. [Google Scholar] [CrossRef]
- Tian, H.; Wang, X.; Zhou, Y. Theoretical model and analytical approach for a circular membrane–ring structure of locally resonant acoustic metamaterial. Appl. Phys. A 2014, 114, 985–990. [Google Scholar] [CrossRef]
- Chen, Y.; Huang, G.; Zhou, X.; Hu, G.; Sun, C.-T. Analytical coupled vibroacoustic modeling of membrane-type acoustic metamaterials: Membrane model. J. Acoust. Soc. Am. 2014, 136, 969–979. [Google Scholar] [CrossRef]
- Huang, Y.; Lv, M.; Luo, W.; Zhang, H.; Geng, D.; Li, Q. Sound insulation properties of membrane-type acoustic metamaterials with petal-like split rings. J. Phys. D Appl. Phys. 2021, 55, 045104. [Google Scholar] [CrossRef]
- Huang, H.; Cao, E.; Zhao, M.; Alamri, S.; Li, B. Spider web-inspired lightweight membrane-type acoustic metamaterials for broadband low-frequency sound isolation. Polymers 2021, 13, 1146. [Google Scholar] [CrossRef] [PubMed]
- Ciaburro, G.; Iannace, G. Membrane-type acoustic metamaterial using cork sheets and attached masses based on reused materials. Appl. Acoust. 2022, 189, 108605. [Google Scholar] [CrossRef]
- Li, J.; Shi, Y.; Jiang, R.; Zhang, Z.; Huang, Q. Acoustic insulation mechanism of membrane-type acoustic metamaterials loaded with arbitrarily shaped mass blocks of variable surface density. Materials 2022, 15, 1556. [Google Scholar] [CrossRef] [PubMed]
- Li, H.Z.; Liu, X.C.; Liu, Q.; Li, S.; Yang, J.S.; Tong, L.L.; Shi, S.B.; Schmidt, R. Sound insulation performance of double membrane-type acoustic metamaterials combined with a Helmholtz resonator. Appl. Acoust. 2023, 205, 109297. [Google Scholar] [CrossRef]
- Oudich, M.; Li, Y.; Assouar, B.M.; Hou, Z. A sonic band gap based on the locally resonant phononic plates with stubs. New J. Phys. 2010, 12, 083049. [Google Scholar] [CrossRef]
- Assouar, B.; Oudich, M.; Zhou, X. Acoustic metamaterials for sound mitigation. Comptes Rendus. Phys. 2016, 17, 524–532. [Google Scholar] [CrossRef]
- de Melo Filho, N.G.R.; Van Belle, L.; Claeys, C.; Deckers, E.; Desmet, W. Dynamic mass based sound transmission loss prediction of vibro-acoustic metamaterial double panels applied to the mass-air-mass resonance. J. Sound Vib. 2019, 442, 28–44. [Google Scholar] [CrossRef]
- Xiao, X.; He, Z.; Li, E.; Cheng, A. Design multi-stopband laminate acoustic metamaterials for structural-acoustic coupled system. Mech. Syst. Signal Process. 2019, 115, 418–433. [Google Scholar] [CrossRef]
- Ye, Y.R.; Wang, X.P.; Chen, T.N.; Chen, Y.Y. Step-by-step structural design methods for adjustable low-frequency sound insulation based on infinite plate-type acoustic metamaterial panel. Mod. Phys. Lett. B 2020, 34, 2050220. [Google Scholar] [CrossRef]
- Tan, X.; Xiang, X.; Hu, C.; Huang, Y.; Wang, S.; Wang, L.; Wen, W. Extraordinary acoustic transmission of a decorated window without ventilation. Appl. Phys. Lett. 2020, 117, 091902. [Google Scholar] [CrossRef]
- Langfeldt, F.; Gleine, W. Optimizing the bandwidth of plate-type acoustic metamaterials. J. Acoust. Soc. Am. 2020, 148, 1304–1314. [Google Scholar] [CrossRef]
- Lin, Q.; Lin, Q.; Wang, Y.; Di, G. Sound insulation performance of sandwich structure compounded with a resonant acoustic metamaterial. Compos. Struct. 2021, 273, 114312. [Google Scholar] [CrossRef]
- Wang, S.; Xiao, Y.; Guo, J.; Zhang, H.; Wen, J. Broadband diffuse field sound insulation of double layer metamaterial plates lined with porous material. Appl. Phys. Lett. 2021, 119, 084103. [Google Scholar] [CrossRef]
- Gu, J.; Tang, Y.; Wang, X.; Huang, Z. Laminated plate-type acoustic metamaterials with Willis coupling effects for broadband low-frequency sound insulation. Compos. Struct. 2022, 292, 115689. [Google Scholar] [CrossRef]
- Deng, L.; Hinton, G.; Kingsbury, B. New types of deep neural network learning for speech recognition and related applications: An overview. In Proceedings of the 2013 IEEE International Conference on Acoustics, Speech and Signal Processing, Vancouver, BC, Canada, 26–31 May 2013; pp. 8599–8603. [Google Scholar]
- Jordan, M.I.; Mitchell, T.M. Machine learning: Trends, perspectives, and prospects. Science 2015, 349, 255–260. [Google Scholar] [CrossRef]
- Li, X.; Ning, S.; Liu, Z.; Yan, Z.; Luo, C.; Zhuang, Z. Designing phononic crystal with anticipated band gap through a deep learning based data-driven method. Comput. Methods Appl. Mech. Eng. 2020, 361, 112737. [Google Scholar] [CrossRef]
- Zheng, B.; Yang, J.; Liang, B.; Cheng, J.-C. Inverse design of acoustic metamaterials based on machine learning using a Gauss–Bayesian model. J. Appl. Phys. 2020, 128, 134902. [Google Scholar] [CrossRef]
- Bacigalupo, A.; Gnecco, G.; Lepidi, M.; Gambarotta, L. Machine-learning techniques for the optimal design of acoustic metamaterials. J. Optim. Theory Appl. 2020, 187, 630–653. [Google Scholar] [CrossRef]
- Zhang, H.; Wang, Y.; Zhao, H.; Lu, K.; Yu, D.; Wen, J. Accelerated topological design of metaporous materials of broadband sound absorption performance by generative adversarial networks. Mater. Des. 2021, 207, 109855. [Google Scholar] [CrossRef]
- Lai, P.; Amirkulova, F.; Gerstoft, P. Conditional Wasserstein generative adversarial networks applied to acoustic metamaterial design. J. Acoust. Soc. Am. 2021, 150, 4362–4374. [Google Scholar] [CrossRef] [PubMed]
- Gao, N.; Wang, M.; Cheng, B.; Hou, H. Inverse design and experimental verification of an acoustic sink based on machine learning. Appl. Acoust. 2021, 180, 108153. [Google Scholar] [CrossRef]
- He, L.; Guo, H.; Jin, Y.; Zhuang, X.; Rabczuk, T.; Li, Y. Machine-learning-driven on-demand design of phononic beams. Sci. China Phys. Mech. Astron. 2022, 65, 214612. [Google Scholar] [CrossRef]
- Xiao, Z.; Gao, P.; Wang, D.; He, X.; Qu, Y.; Wu, L. Accelerated design of low-frequency broadband sound absorber with deep learning approach. Mech. Syst. Signal Process. 2024, 211, 111228. [Google Scholar] [CrossRef]
- Cho, J.; Langfeldt, F. Scaling analysis of thin plate-like acoustic metamaterials. Phys. Lett. A 2025, 555, 130799. [Google Scholar] [CrossRef]
- Lu, T.; Xin, F. Fundamentals of Vibration and Acoustics in Lightweight Plate and Shell Structures; Science Press: Beijing, China, 2012. [Google Scholar]
- Beranek, L.L. Noise and Vibration Control; Institute of Noise Control Engineering: Washington, DC, USA, 1988; pp. 442–444. [Google Scholar]
- Xin, F.X.; Lu, T.J.; Chen, C.Q. Sound transmission through simply supported finite double-panel partitions with enclosed air cavity. J. Vib. Acoust. 2010, 132, 011008. [Google Scholar] [CrossRef]
- GB/Z 27764-2011; Acoustics-Determination of Sound Transmission Loss in Impedance Tubes-Transfer Matrix Method. Standards Press of China: Beijing, China, 2011.























| Acoustic Metamaterial | Reference | Structural Feature | Sound Absorption Bandwidth |
|---|---|---|---|
| thin-film acoustic metamaterial | Xiao et al. [4] | double-layer membrane acoustic metamaterial | 70–200 Hz |
| Xu et al. [5] | a free film, a supporting grating, and a back cavity | below 500 Hz | |
| Ciaburro et al. [13] | cork film as the membrane and thumbtacks and buttons as mass blocks | 200–600 Hz | |
| Thin-plate acoustic metamaterial | Langfeldt et al. [22] | various mass blocks and multilayer structures | 100–400 Hz |
| Wang et al. [24] | double-layer thin-plate metamaterial with a porous material | 208–850 Hz |
| Structure | Material | Density ρ (kg/m3) | Young’s Modulus | Poisson’s Ratio ν | Thickness h (mm) |
|---|---|---|---|---|---|
| sheet | PET | 1432 | 3 | 0.39 | 0.35 |
| Mass | steel | 7860 | 210 | 0.3 | 1 |
| Thin-Plate Metamaterial | (mm) | (mm) | (mm) | (mm) | (mm) | (mm) | (mm) | (mm) |
|---|---|---|---|---|---|---|---|---|
| First layer | 80 | 0.40 | 1 | 10 | 5 | 5 | 24 | 24 |
| Second laysr | 80 | 0.35 | 1 | 10 | 5 | 5 | 24 | 24 |
| Structure | Material | Density ρ (kg/m3) | Young’s Modulus | Poisson’s Ratio ν |
|---|---|---|---|---|
| sheet | PET | 1432 | 3 | 0.39 |
| Mass | steel | 7860 | 210 | 0.3 |
| frame | steel | 7860 | 210 | 0.3 |
| Structural Parameters | Minimum Value (mm) | Maximum Value (mm) | Minimum Value Unit (mm) |
|---|---|---|---|
| L | 70 | 90 | 0.1 |
| h | 0.25 | 0.45 | 0.01 |
| 0.5 | 1.5 | 0.1 | |
| R | 7 | 13 | 0.1 |
| 3 | 7 | 0.1 | |
| 3 | 7 | 0.1 | |
| 20 | 27 | 0.1 | |
| 20 | 27 | 0.1 |
| Metamaterials | (mm) | (mm) | (mm) | (mm) | (mm) | (mm) | (mm) | (mm) |
|---|---|---|---|---|---|---|---|---|
| First layer | 71.4 | 0.43 | 1.1 | 7.6 | 3.8 | 6.9 | 21.0 | 26.6 |
| Second layer | 71.4 | 0.34 | 1.0 | 8.1 | 3.1 | 5.2 | 23.8 | 22.4 |
| Third layer | 71.4 | 0.28 | 1.1 | 10.7 | 6.9 | 3.9 | 24.6 | 20.9 |
| Fourth layer | 71.4 | 0.45 | 0.7 | 9.0 | 3.4 | 6.3 | 20.4 | 24.6 |
Disclaimer/Publisher’s Note: The statements, opinions and data contained in all publications are solely those of the individual author(s) and contributor(s) and not of MDPI and/or the editor(s). MDPI and/or the editor(s) disclaim responsibility for any injury to people or property resulting from any ideas, methods, instructions or products referred to in the content. |
© 2026 by the authors. Licensee MDPI, Basel, Switzerland. This article is an open access article distributed under the terms and conditions of the Creative Commons Attribution (CC BY) license.
Share and Cite
Wang, A.; Cai, C.; You, Y.; Huang, Y.; Zhan, X.; Gao, L.; Zhang, Z. Theoretical Analysis, Neural Network-Based Inverse Design, and Experimental Verification of Multilayer Thin-Plate Acoustic Metamaterial Unit Cells. Materials 2026, 19, 152. https://doi.org/10.3390/ma19010152
Wang A, Cai C, You Y, Huang Y, Zhan X, Gao L, Zhang Z. Theoretical Analysis, Neural Network-Based Inverse Design, and Experimental Verification of Multilayer Thin-Plate Acoustic Metamaterial Unit Cells. Materials. 2026; 19(1):152. https://doi.org/10.3390/ma19010152
Chicago/Turabian StyleWang, An, Chi Cai, Ying You, Yizhe Huang, Xin Zhan, Linfeng Gao, and Zhifu Zhang. 2026. "Theoretical Analysis, Neural Network-Based Inverse Design, and Experimental Verification of Multilayer Thin-Plate Acoustic Metamaterial Unit Cells" Materials 19, no. 1: 152. https://doi.org/10.3390/ma19010152
APA StyleWang, A., Cai, C., You, Y., Huang, Y., Zhan, X., Gao, L., & Zhang, Z. (2026). Theoretical Analysis, Neural Network-Based Inverse Design, and Experimental Verification of Multilayer Thin-Plate Acoustic Metamaterial Unit Cells. Materials, 19(1), 152. https://doi.org/10.3390/ma19010152

