Sign in to use this feature.

Years

Between: -

Subjects

remove_circle_outline
remove_circle_outline
remove_circle_outline
remove_circle_outline
remove_circle_outline
remove_circle_outline
remove_circle_outline
remove_circle_outline
remove_circle_outline

Journals

remove_circle_outline
remove_circle_outline
remove_circle_outline
remove_circle_outline
remove_circle_outline
remove_circle_outline

Article Types

Countries / Regions

remove_circle_outline
remove_circle_outline
remove_circle_outline
remove_circle_outline

Search Results (369)

Search Parameters:
Keywords = assembly scheme

Order results
Result details
Results per page
Select all
Export citation of selected articles as:
25 pages, 3588 KB  
Article
A Family of Orthogonal Iteration Methods for Tracing the Nonlinear Equilibrium Path of Structures
by Anquan Chen
Buildings 2026, 16(6), 1147; https://doi.org/10.3390/buildings16061147 - 13 Mar 2026
Viewed by 101
Abstract
Nonlinear structural analysis serves as a fundamental tool for accurately predicting structural bearing capacity and ultimate strength. The incremental-iterative solution scheme represents the prevailing methodology for tracing nonlinear load–displacement responses and is implemented in most commercial finite element software. To enhance the robustness [...] Read more.
Nonlinear structural analysis serves as a fundamental tool for accurately predicting structural bearing capacity and ultimate strength. The incremental-iterative solution scheme represents the prevailing methodology for tracing nonlinear load–displacement responses and is implemented in most commercial finite element software. To enhance the robustness and computational efficiency of existing schemes, this paper first revisits the incremental-iterative framework, providing a detailed analysis that clarifies the distinct roles of the load increment factor in the predictor and corrector phases. Subsequently, a novel framework of updated orthogonal iterative schemes (UOIS) is established. Within this framework, the current generalized stiffness parameter (CGSP) and a cumulative indicator Si are introduced in the predictor phase to adaptively control the magnitude and sign of the load increment, respectively. In the corrector phase, four enhanced orthogonal iteration strategies are formulated. Furthermore, to improve computational efficiency, a novel acceleration strategy is proposed, which embeds a secant prediction operator in the predictor phase, thereby circumventing the costly assembly and inversion of the tangent stiffness matrix. The results demonstrate that: (1) compared to the conventional generalized stiffness parameter (GSP), the proposed CGSP exhibits superior stability in tracking stiffness variations, offering a more reliable indicator for adaptive step-size control; (2) the cumulative indicator Si reliably identifies load limit points and accurately distinguishes between loading and unloading regimes; (3) the UOIS framework demonstrates strong convergence in tracing complex equilibrium paths with multiple critical points and exhibits significantly superior robustness under large increment sizes compared to the generalized displacement control method (GDCM); and (4) the secant-prediction acceleration strategy achieves substantial improvements in computational efficiency without compromising solution accuracy. Full article
(This article belongs to the Collection Non-linear Modelling and Analysis of Buildings)
Show Figures

Figure 1

26 pages, 2153 KB  
Article
Path-Integrated Ultrasonic Attenuation Modeling for Concrete with Random Aggregates Based on Modified Waterman–Truell Theory
by Haoran Zheng, Chao Lu, Dongjie Zhou, Xuejun Jia, Xiang Lv, Laixin Gao and Guangming Zhang
Sensors 2026, 26(5), 1647; https://doi.org/10.3390/s26051647 - 5 Mar 2026
Viewed by 314
Abstract
Ultrasonic sensing is an effective tool for characterizing heterogeneous concrete structures, yet quantitative interpretation of ultrasonic attenuation remains challenging due to aggregate-induced multiple scattering and spatial non-uniformity. This study proposes a path-integrated ultrasonic attenuation modeling framework for concrete with random aggregates. A quasi-one-dimensional [...] Read more.
Ultrasonic sensing is an effective tool for characterizing heterogeneous concrete structures, yet quantitative interpretation of ultrasonic attenuation remains challenging due to aggregate-induced multiple scattering and spatial non-uniformity. This study proposes a path-integrated ultrasonic attenuation modeling framework for concrete with random aggregates. A quasi-one-dimensional discretized wave equation is coupled with a modified version of the Waterman–Truell effective medium theory, in which multiple scattering effects are corrected by incorporating a Percus–Yevick structure factor and a geometric equivalence scheme for non-spherical aggregates. By discretizing the propagation path into locally homogeneous layers, cumulative attenuation is evaluated through explicit path integration, allowing spatial variations in aggregate volume fraction to be captured. Low-frequency ultrasonic transmission experiments (25 kHz) are conducted using serially assembled concrete specimens with controlled aggregate contents. The results reveal pronounced path-dependent attenuation behavior governed by local aggregate distribution. Compared with classical and effective Waterman–Truell models, the proposed approach significantly improves prediction accuracy, achieving a mean absolute percentage error of 7.29%. The framework provides a physically interpretable and experimentally validated method for ultrasonic sensing of heterogeneous concrete, with potential applications in non-destructive evaluation and structural health monitoring of high-end concrete-based engineering structures. Full article
Show Figures

Figure 1

15 pages, 5952 KB  
Article
Analysis of Numerical Simulation for Nonlinear Robot Control Based on Dynamic Modeling Using Low-Cost and Open-Source Technology
by Felipe J. Torres, Israel Martínez, Antonio J. Balvantín and Edgar H. Robles
AppliedMath 2026, 6(3), 41; https://doi.org/10.3390/appliedmath6030041 - 5 Mar 2026
Viewed by 164
Abstract
Professors, students, and researchers from universities around the world use software distributed under licenses for numerical simulation purposes, which requires a computer with considerable hardware capabilities. This implies a high cost of simulations in engineering applications that require dynamic modeling using numerical methods, [...] Read more.
Professors, students, and researchers from universities around the world use software distributed under licenses for numerical simulation purposes, which requires a computer with considerable hardware capabilities. This implies a high cost of simulations in engineering applications that require dynamic modeling using numerical methods, particularly in robotics and nonlinear control. This article compares and analyzes the performance of a frugal simulation scheme based on the use of low-cost, free, and open-source technology, specifically a low-power, single-board minicomputer (Raspberry Pi) in conjunction with GNU-Octave software. The benchmark is a numerical simulation of trajectory tracking control in the joint space of a Selective Conformal Assembly Robot Arm (SCARA). To perform this task, a system of coupled nonlinear differential equations is solved in matrix form using a numerical method known as an ODE solver. This solution includes the control law and the dynamic system model derived from Euler–Lagrange formalism. The time complexity and accuracy are analyzed to compare the performance of the frugal simulation tool with that of a conventional simulation setup consisting of a personal computer and MATLABTM running the same simulation code. The analysis shows minimal deviations in the numerical solutions and reasonable time complexity. Moreover, the frugality score of this approach and the low acquisition cost of the simulation tool enable the creation of simulation laboratories at universities with limited budgets for education and research. Full article
Show Figures

Figure 1

36 pages, 15100 KB  
Article
A Progressive, Resident-Modifiable Light-Gauge Steel Framing Housing Design for Post-Disaster Reconstruction: The Case of Mandalay, Myanmar
by Inkham Sai, Yi Hong, Shaofeng Wu, Chun Lin and Zan Liu
Buildings 2026, 16(4), 855; https://doi.org/10.3390/buildings16040855 - 20 Feb 2026
Viewed by 384
Abstract
Post-disaster reconstruction in resource-constrained contexts is often delayed by limited material supply, skilled labor, and planning capacity. Following the Mw 7.7 earthquake that struck near Mandalay, Myanmar, in March 2025, extensive housing damage and displacement underscored the need for economical and rapidly constructible [...] Read more.
Post-disaster reconstruction in resource-constrained contexts is often delayed by limited material supply, skilled labor, and planning capacity. Following the Mw 7.7 earthquake that struck near Mandalay, Myanmar, in March 2025, extensive housing damage and displacement underscored the need for economical and rapidly constructible reconstruction housing that can also support longer-term recovery. This study proposes a progressive and resident-modifiable housing scheme based on light-gauge steel framing, integrating the seismic design principle of strong-column–weak-beam to improve structural reliability during aftershocks and future events. The proposed system combines a standardized light-gauge steel framing (LGSF) structural frame with locally accessible enclosure and infill materials, allowing rapid assembly of an initial modular unit to meet urgent shelter needs while enabling progressive upgrading of façades and interior space over time to enhance habitability and resilience. Validation analyses focusing on construction efficiency and mechanical performance indicate that the strong-column–weak-beam LGSF scheme, when paired with local materials, offers favorable applicability in terms of buildability, cost-effectiveness, and seismic behavior under realistic conditions in Mandalay. The study provides a feasible technical solution and design approach for progressive post-disaster reconstruction housing in the region. Full article
Show Figures

Figure 1

20 pages, 1710 KB  
Review
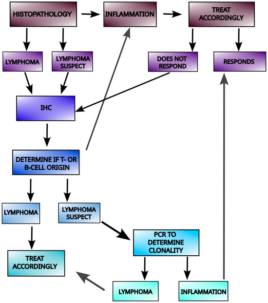
Feline Alimentary Lymphomas: Established Concepts and an Underexplored Molecular Landscape
by Laura A. Szafron, Maciej Parys, Magdalena Parys and Lukasz M. Szafron
Curr. Issues Mol. Biol. 2026, 48(2), 218; https://doi.org/10.3390/cimb48020218 - 16 Feb 2026
Viewed by 619
Abstract
Domestic cats are among the most popular companion animals worldwide, with steadily increasing ownership and life expectancy. Paradoxically, despite their high prevalence and shared environmental exposures with humans, cats remain markedly underrepresented in molecular oncology research. Cancer is a leading cause of feline [...] Read more.
Domestic cats are among the most popular companion animals worldwide, with steadily increasing ownership and life expectancy. Paradoxically, despite their high prevalence and shared environmental exposures with humans, cats remain markedly underrepresented in molecular oncology research. Cancer is a leading cause of feline mortality, and alimentary lymphoma (AL) has emerged as one of the most common feline malignancies, yet its molecular landscape remains poorly characterized. This review summarizes current knowledge on feline AL, including epidemiology, risk factors, classification schemes, diagnostic challenges, treatment outcomes, and survival, with particular emphasis on low-grade alimentary lymphoma (LGAL), the most prevalent subtype. We discuss the complex relationship between chronic inflammatory enteropathies and lymphoma, highlighting diagnostic ambiguities and the inflammatory–neoplastic continuum. Importantly, we provide a critical overview of existing genomic, transcriptomic, epigenomic, proteomic, and metabolomic studies in feline AL, revealing a striking paucity of high-throughput, multi-omics analyses based on clinical material. Recent advances in feline genome assembly and annotation offer new opportunities to address these gaps. Furthermore, we compare feline AL with its human gastrointestinal T-cell lymphoma counterparts, demonstrating substantial molecular homology across key oncogenic pathways, including JAK/STAT signaling. This comparative perspective underscores the potential of feline AL as a naturally occurring model for the human disease. We conclude that comprehensive molecular characterization of feline AL is urgently needed to improve diagnostics, prognostication, and targeted therapies, with likely translational benefits for both veterinary and human oncology. Aim: The goal of this review is to summarize the current knowledge on feline alimentary lymphoma, including its origin, risk, classification, treatment approaches, and especially molecular landscape, which still remains poorly investigated with modern high-throughput techniques. Full article
(This article belongs to the Section Molecular Medicine)
Show Figures

Figure 1

21 pages, 7758 KB  
Article
Comparative Selection of Staggered Jacking Schemes for a Large-Span Double-Layer Space Frame: A Case Study of the Han Culture Museum Grand Hall
by Xiangwei Zhang, Zheng Yang, Jianbo Ren, Yanchao Yue, Yuanyuan Dong, Jiaguo Zhang, Haibin Guan, Chenlu Liu, Li Cui and Jianjun Ma
Buildings 2026, 16(4), 791; https://doi.org/10.3390/buildings16040791 - 14 Feb 2026
Viewed by 261
Abstract
Focusing on the construction of a 58-m-diameter double-layer steel space frame dome at the Han Culture Museum Assembly Hall, this study addresses scheme selection and safety control challenges in staggered jacking of large-span spatial structures. A three-dimensional finite element model in MIDAS Gen [...] Read more.
Focusing on the construction of a 58-m-diameter double-layer steel space frame dome at the Han Culture Museum Assembly Hall, this study addresses scheme selection and safety control challenges in staggered jacking of large-span spatial structures. A three-dimensional finite element model in MIDAS Gen simulated the three-stage jacking process to compare three temporary support layouts. Numerical evaluation metrics included maximum vertical displacements, peak internal forces, the proportion of members undergoing stress state transitions, and spatio-temporal evolution of stress concentrations. Scheme B demonstrated superior performance, reducing peak vertical displacement by 44% under critical conditions, lowering peak stresses, and enabling more uniform internal force redistribution—effectively mitigating tension–compression cycling and buckling risks. Crucially, only nodal displacements and support elevations were monitored in situ using a 3D system based on magnetic prisms and total stations; no strain or force measurements were conducted due to practical constraints during construction. Monitoring data show good agreement with simulated displacements and support elevations under Scheme B, validating the model’s deformation response. However, localized deviations—including a 29 mm deflection discrepancy and elevation errors up to 28 mm—reveal the influence of uneven boundary conditions, with potential implications for long-term structural behavior. The findings confirm that numerical predictions of deformation are reliable, while internal forces remain unvalidated by field data. The integrated approach of “scheme comparison–construction simulation–full-process displacement monitoring” proves effective for safety control and decision-making in complex jacking operations, offering a transferable framework for similar large-span double-layer space frame projects. Full article
(This article belongs to the Section Building Structures)
Show Figures

Figure 1

35 pages, 3980 KB  
Article
Research on Multi-Objective Flexible Job-Shop Scheduling Problem Considering Quality Inspection and Job Priorities
by Chuchu Zheng and Zhiqiang Xie
Axioms 2026, 15(2), 118; https://doi.org/10.3390/axioms15020118 - 4 Feb 2026
Viewed by 343
Abstract
Quality inspection is a crucial step in ensuring product conformity and avoiding rework waste, while job priority constraints are prevalent in the production of complex products with assembly structures. This paper presents a modeling and solution framework for the multi-objective flexible job shop [...] Read more.
Quality inspection is a crucial step in ensuring product conformity and avoiding rework waste, while job priority constraints are prevalent in the production of complex products with assembly structures. This paper presents a modeling and solution framework for the multi-objective flexible job shop scheduling problem that incorporates both quality inspection activities and job priority constraints. An optimization model is constructed with the objectives of minimizing the makespan, minimizing the total energy consumption, and maximizing the processing quality. To solve this model, an improved multi-objective evolutionary algorithm based on decomposition is developed, which integrates several well-established mechanisms into a unified framework. The algorithm integrates multi-product assembly structures via virtual nodes, employs a two-vector encoding scheme, and incorporates a product—group repair mechanism based on binary sorting tree to handle job priority constraints. To maintain diversity among non-dominated solutions, a niching-based elite archive strategy is adopted. Furthermore, a quality enhancement strategy and a memory vector-based local search mechanism are embedded to strengthen the algorithm’s search capability. Simulation results demonstrate that the proposed algorithm outperforms the compared algorithms in terms of both convergence and diversity. Full article
Show Figures

Figure 1

17 pages, 18233 KB  
Article
Robust Diffractive Optical Neuromorphic System Created via Sharpness-Aware and Immune Training
by Fansanqiu Li and Kaicheng Yang
Photonics 2026, 13(2), 139; https://doi.org/10.3390/photonics13020139 - 31 Jan 2026
Viewed by 421
Abstract
Diffractive deep neural networks (D2NNs) have garnered significant attention for their ultra-low energy consumption and parallel optical computing capabilities. However, their practical deployment is hindered by the “model–reality” gap caused by fabrication inaccuracy, device fluctuation, assembly misalignment, environmental perturbation, etc. Here, [...] Read more.
Diffractive deep neural networks (D2NNs) have garnered significant attention for their ultra-low energy consumption and parallel optical computing capabilities. However, their practical deployment is hindered by the “model–reality” gap caused by fabrication inaccuracy, device fluctuation, assembly misalignment, environmental perturbation, etc. Here, we propose a combined framework that integrates sharpness-aware minimization (SAM) and aberration-immune learning (AIL), enabling joint immunity against both stochastic noise and systematic deviations from theoretical model training. Specifically, we show that under multiple perturbations such as salt-and-pepper noise, Gaussian noise, and wavefront aberration, the SAM–AIL framework achieves significant classification accuracy improvements on MNIST and Fashion-MNIST compared to conventional offline training approaches. D2NN trained with the SAM–AIL scheme exhibited significant accuracy enhancement under moderate salt-and-pepper noise, Gaussian noise, X-axis, and Y-axis tilting perturbations, respectively. Our work provides an efficient solution for offline training and deploying high-robustness D2NNs on realistic physical systems that are resilient to a variety of imperfections, significantly enhancing model transferability and reliability for optical computing tasks. Full article
(This article belongs to the Section Optical Communication and Network)
Show Figures

Figure 1

21 pages, 69115 KB  
Article
Research on a Dual Robot Compliance Control System for Thread Assembly
by Xiaoyi Hu, Bing Jia, Longxi Li, Anjun Xu, Mingyuan Zhang and Xianbin Zhao
Electronics 2026, 15(3), 608; https://doi.org/10.3390/electronics15030608 - 30 Jan 2026
Viewed by 285
Abstract
Intelligent manufacturing plays an increasingly important role in improving production efficiency, reducing costs, and improving product quality, and contributes to the sustainable development of the global manufacturing industry. In this paper, a control scheme of dual-arm robot cooperative compliant assembly is designed, which [...] Read more.
Intelligent manufacturing plays an increasingly important role in improving production efficiency, reducing costs, and improving product quality, and contributes to the sustainable development of the global manufacturing industry. In this paper, a control scheme of dual-arm robot cooperative compliant assembly is designed, which can be applied to industrial intelligent production lines. Taking the thread assembly process as the research object, the task model of the assembly is built. Specifically, the threaded assembly is abstracted into three processes. Aiming at the difficulties that need to be paid attention to in different assembly processes, combined with the force sensor, a phased controller is designed, and its feasibility is verified by simulation. The feasibility of the method is verified by simulation and experiment. In the case of force tracking accuracy of 0.1 N and expected force of 4 N, the experiment successfully assembled a 5 mm thread connector in about 48.54 s, and the force overshoot reached about 9 N. Full article
Show Figures

Figure 1

17 pages, 3072 KB  
Article
Fatigue Life and Lightweight Design of Demolition Robot Rotary Joint Based on Topology Optimization
by Chentao Yao, Wendi Dong, Xingtao Zhang, Xizhong Cui, Zhuangwei Niu, Zheng-Yang Li, Jianwei Zhao, Dongjia Yan and Hongbo Li
Machines 2026, 14(2), 154; https://doi.org/10.3390/machines14020154 - 29 Jan 2026
Viewed by 376
Abstract
As a critical component of demolition robots, the rotary joint supports the entire manipulator arm and operates under severe loading conditions, rendering it highly susceptible to fatigue failure. To address this challenge, topology optimization is integrated into the structural design to simultaneously enhance [...] Read more.
As a critical component of demolition robots, the rotary joint supports the entire manipulator arm and operates under severe loading conditions, rendering it highly susceptible to fatigue failure. To address this challenge, topology optimization is integrated into the structural design to simultaneously enhance fatigue life and achieve lightweighting. In this work, multiple working conditions of the demolition robot are considered and analyzed to identify the extreme operating condition. By extracting the resultant stress on the rotary joint from the assembled structure under the extreme condition, an equivalent model of the independent rotary joint is established. Given that topology optimization based on the original structure could not yield a usable structure, two topology optimization strategies based on resetting the design space are proposed, including topology optimization based on the partially filled design space and topology optimization within the fully filled design space. By performing topology optimization under different schemes, the optimized rotary joint models are reconstructed through geometric fusion. Numerical results demonstrate that the optimized rotary joints exhibit significant improvements in fatigue performance, with fatigue life doubled compared to the original design. Concurrently, the structural mass is effectively reduced. This proposed method achieves the dual objectives of fatigue life enhancement and lightweight design. Furthermore, the results reveal that resetting the design space when topology optimization fails to obtain a usable structure yields superior topology optimization outcomes, providing a valuable new insight for future structural optimization design processes in similar engineering scenarios. Full article
(This article belongs to the Section Machines Testing and Maintenance)
Show Figures

Graphical abstract

24 pages, 1950 KB  
Review
Evolution from Composome to RNA Replicase
by Shaojie Deng, Doron Lancet and Roy Yaniv
Life 2026, 16(2), 219; https://doi.org/10.3390/life16020219 - 28 Jan 2026
Viewed by 421
Abstract
This paper proposes a novel scheme for the origin of RNA replicase based on the replication-first stable complex evolution (SCE) model, also known as the stable complex encoding (SCE) model, and attempts to derive this scheme from the metabolism-first graded autocatalysis replication domain [...] Read more.
This paper proposes a novel scheme for the origin of RNA replicase based on the replication-first stable complex evolution (SCE) model, also known as the stable complex encoding (SCE) model, and attempts to derive this scheme from the metabolism-first graded autocatalysis replication domain (GARD) model, thereby theoretically integrating the two hypotheses of the origin of life: replication-first and metabolism-first. Currently, although the replication-first model has made some progress in the artificial selection of RNA replicase, it has yet to achieve a true breakthrough. Meanwhile, metabolism-first models such as the CAS (Collectively Autocatalytic Set) and its graph version RAF (Reflexively Autocatalytic and Food-generated) models, have conducted in-depth research into the origin of metabolic networks but have failed to address the critical transformation issue from metabolism to RNA replication. This paper argues that these two hypotheses should mutually support each other. By introducing oligonucleotide assemblies and expanding the concept of composomes in the GARD model, this paper attempts to understand the general evolutionary mechanism of enzymes, thereby addressing the long-standing neglect of enzymatic catalysis in metabolism-first theories. This integrated scheme not only provides new theoretical support for the evolution of RNA replicase but also offers important insights into solving the key transition problem from chemical evolution to biological evolution. Full article
(This article belongs to the Special Issue The 15th Anniversary of Life—Alternatives to RNA World)
Show Figures

Figure 1

33 pages, 582 KB  
Article
In Silico Proof of Concept: Conditional Deep Learning-Based Prediction of Short Mitochondrial DNA Fragments in Archosaurs
by Dimitris Angelakis, Dionisis Cavouras, Dimitris Th. Glotsos, Spiros A. Kostopoulos, Emmanouil I. Athanasiadis, Ioannis K. Kalatzis and Pantelis A. Asvestas
AI 2026, 7(1), 27; https://doi.org/10.3390/ai7010027 - 14 Jan 2026
Viewed by 495
Abstract
This study presents an in silico proof of concept exploring whether deep learning models can perform conditional mitochondrial DNA (mtDNA) sequence prediction across species boundaries. A CNN–BiLSTM model was trained under a leave-one-species-out (LOSO) scheme on complete mitochondrial genomes from 21 vertebrate species, [...] Read more.
This study presents an in silico proof of concept exploring whether deep learning models can perform conditional mitochondrial DNA (mtDNA) sequence prediction across species boundaries. A CNN–BiLSTM model was trained under a leave-one-species-out (LOSO) scheme on complete mitochondrial genomes from 21 vertebrate species, primarily archosaurs. Model behavior was evaluated through multiple complementary tests. Under context-conditioned settings, the model performed next-nucleotide prediction using overlapping 200 bp windows to assemble contiguous 2000 bp fragments for held-out species; the resulting high token-level accuracy (>99%) under teacher forcing is reported as a diagnostic of conditional modeling capacity. To assess leakage-free performance, a two-flank masked-span imputation task was conducted as the primary evaluation, requiring free-running reconstruction of 500 bp interior spans using only distal flanking context; in this setting, the model consistently outperformed nearest-neighbor and demonstrated competitive performance relative to flank-copy baselines. Additional robustness analyses examined sensitivity to window placement, genomic region (coding versus D-loop), and random initialization. Biological plausibility was further assessed by comparing predicted fragments to reconstructed ancestral sequences and against composition-matched null models, where observed identities significantly exceeded null expectations. Using the National Center for Biotechnology Information (NCBI) BLAST web interface, BLASTn species identification was performed solely as a biological plausibility check, recovering the correct species as the top hit in all cases. Although limited by dataset size and the absence of ancient DNA damage modeling, these results demonstrate the feasibility of conditional mtDNA sequence prediction as an initial step toward more advanced generative and evolutionary modeling frameworks. Full article
(This article belongs to the Special Issue Transforming Biomedical Innovation with Artificial Intelligence)
Show Figures

Figure 1

11 pages, 562 KB  
Article
Variability and Number of Circulating csd Alleles in a Honey Bee Breeding Population After Four Years of Single-Drone Insemination
by Maria Grazia De Iorio, Barbara Lazzari, Maria Cristina Silvia Cozzi, Michele Polli and Giulietta Minozzi
Genes 2026, 17(1), 86; https://doi.org/10.3390/genes17010086 - 14 Jan 2026
Viewed by 370
Abstract
Background: Varroa destructor is the major threat to honey bee health, and selective breeding for resistance traits such as Varroa-sensitive hygiene represents a promising long-term strategy for controlling mite populations. However, breeding programs that rely on highly controlled mating schemes, including single-drone [...] Read more.
Background: Varroa destructor is the major threat to honey bee health, and selective breeding for resistance traits such as Varroa-sensitive hygiene represents a promising long-term strategy for controlling mite populations. However, breeding programs that rely on highly controlled mating schemes, including single-drone instrumental insemination, may reduce allelic diversity at the complementary sex determiner (csd) locus, potentially increasing the production of non-viable diploid males and compromising colony fitness. Methods: To evaluate whether csd diversity can be maintained under these conditions, we characterized the hypervariable region of csd in a selectively bred Apis mellifera population subjected to four years of selection. Using a validated de novo assembly pipeline, we reconstructed 43 amino-acid sequences from 33 diploid worker pupae sampled across 13 colonies. Results: Seven distinct alleles were identified, five of which were shared among multiple colonies and corresponded to variants already described in the literature, while two were private to individual colonies and novel in the literature. Colony-level frequency data revealed a moderate diversity: the most common allele was detected in nine colonies, with an allelic frequency of 31%. Moreover, the expected heterozygosity of the population was estimated at 0.79. Conclusions: Overall, these findings show that csd diversity can be partially maintained even under strong selective pressure when multiple maternal lines are retained, and they underscore the importance of incorporating genetic information into breeding decisions to support the long-term sustainability of selective breeding programs. Full article
(This article belongs to the Section Animal Genetics and Genomics)
Show Figures

Figure 1

16 pages, 6655 KB  
Article
Microvibration Suppression for the Survey Camera of CSST
by Renkui Jiang, Wei Liang, Libin Wang, Enhai Liu, Xuerui Liu, Yongchao Zhang, Sixian Le, Zhaoyang Li, Hongyu Wang, Tonglei Jiang, Changqing Lin, Shaohua Guan, Weiqi Xu, Haibing Su, Yanqing Zhang, Junfeng Du and Ang Zhang
Aerospace 2026, 13(1), 65; https://doi.org/10.3390/aerospace13010065 - 8 Jan 2026
Viewed by 295
Abstract
The Survey Camera (SC) is the key instrument of the China Space Station Telescope (CSST), with its imaging performance significantly constrained by microvibrations from internal sources such as the shutter and cryocoolers. This paper proposes a systematic microvibration suppression scheme integrating disturbance source [...] Read more.
The Survey Camera (SC) is the key instrument of the China Space Station Telescope (CSST), with its imaging performance significantly constrained by microvibrations from internal sources such as the shutter and cryocoolers. This paper proposes a systematic microvibration suppression scheme integrating disturbance source control, payload isolation, and transfer path optimization to meet the stringent requirements. The Cryocooler Assembly (CCA) compressor adopts a symmetric piston layout and a real-time vibration cancellation algorithm to reduce the vibration. Coupled with a vibration isolator designed by combining hydraulic damping and a flexible structure, it achieves a vibration isolation efficiency of 95%. The shutter adopts dual-blade symmetric design with sinusoidal angular acceleration control, ensuring its vibrations fall within the compensable range of the Fast Steering Mirror (FSM). And the finite element optimization method is used to optimize the dynamic characteristics of the Support Structure (SST) made of M55J carbon fiber composite material, to avoid resonance in the critical frequency bands. System-level tests on the integrated SC show that the RMS values of vibration force and torque within 8–300 Hz are 0.25 N and 0.08 N·m, respectively, meeting design specifications. This scheme validates effective microvibration control, guaranteeing the SC’s high-resolution imaging capability for the CSST mission. Full article
(This article belongs to the Section Astronautics & Space Science)
Show Figures

Figure 1

20 pages, 6002 KB  
Article
Design and Experimental Verification of a Compact Robot for Large-Curvature Surface Drilling
by Shaolei Ren, Xun Li, Daxi Geng, Zhefei Sun, Haiyang Xu, Jianchao Fu and Deyuan Zhang
Actuators 2026, 15(1), 24; https://doi.org/10.3390/act15010024 - 1 Jan 2026
Viewed by 403
Abstract
Automated precision drilling is essential for aircraft skin manufacturing, yet current robotic systems face dual challenges: chatter-induced inaccuracies in hole quality and limited access to confined spaces such as air inlets. To overcome these limitations, this paper develops a compact drilling robot for [...] Read more.
Automated precision drilling is essential for aircraft skin manufacturing, yet current robotic systems face dual challenges: chatter-induced inaccuracies in hole quality and limited access to confined spaces such as air inlets. To overcome these limitations, this paper develops a compact drilling robot for drilling large-curvature skins of aircraft air inlets. Targeting the precision drilling requirements for complex-curvature aircraft air inlets, we present the robot’s overall design scheme, detailing each module’s composition to ensure precision drilling. In-depth analysis of the robot’s large-curvature adaptability precisely calculates the wheel assembly dimensions. To ensure high-precision drilling bit entry into guide mechanisms, a flexible drilling spindle mechanism is designed, with calculated and verified elastic ranges. An integrated intelligent control system is developed, combining vision recognition, real-time pose adjustment, and automated drilling workflow planning. Finally, traversability and drilling capabilities are validated using a simplified air inlet model. Test results confirm successful traversal on R200 mm curvature skins and automated drilling of Carbon Fiber-Reinforced Polymer (CFRP)/7075 aluminum stacks with a diameter of Φ4–Φ6 mm, achieving dimensional errors of less than 0.05 mm and normal direction errors of less than 0.65°. Full article
Show Figures

Figure 1

Back to TopTop