Sign in to use this feature.

Years

Between: -

Subjects

remove_circle_outline
remove_circle_outline
remove_circle_outline
remove_circle_outline
remove_circle_outline

Journals

Article Types

Countries / Regions

Search Results (61)

Search Parameters:
Keywords = antibiotherapy

Order results
Result details
Results per page
Select all
Export citation of selected articles as:
14 pages, 839 KB  
Article
Assessment of Treatment Effectiveness in Acute and Chronic Anal Fissures
by Onur İlkay Dinçer, Duygu Felek, Erol Cakmak and Vugar Ali Turksoy
Medicina 2026, 62(3), 490; https://doi.org/10.3390/medicina62030490 - 5 Mar 2026
Viewed by 798
Abstract
Background and Objectives: Anal fissures are a common condition in the general population, for which there are multiple treatment options. It is essential to select the most appropriate treatment for the right patient. This study aimed to observe and evaluate the effect of [...] Read more.
Background and Objectives: Anal fissures are a common condition in the general population, for which there are multiple treatment options. It is essential to select the most appropriate treatment for the right patient. This study aimed to observe and evaluate the effect of topical antibiotherapy, which is widely used in the management of wounds and chronic infections, on the healing of acute and chronic anal fissures. Materials and Methods: Hospital records of 625 individuals diagnosed with an anal fissure were reviewed. Previous treatments, including 0.4% glyceryl trinitrate and 5% lidocaine, were recorded. A total of 118 patients were included: 49 patients who received additional topical metronidazole due to inflammation, induration and minimal purulent discharge, in the absence of an abscess; and 69 uncomplicated patients who received only standard treatment, as per the exclusion criteria. Results: The mean age of the participants was 41.06 ± 10.70 years. No significant differences were found between the groups regarding age or sex (p = 0.616 and p = 0.665, respectively). However, prior treatment history and mucosal healing differed significantly between the two groups (p = 0.001 and p = 0.024, respectively). There were no significant differences in follow-up intervals, additional treatment requirements or improvement in VAS scores (p = 0.546, 0.904 and 0.154, respectively). Conclusions: Topical metronidazole may be associated with improved mucosal healing in selected patients with acute anal fissures presenting with clinical features such as local inflammation, minimal discharge or incision-related changes. However, the observed benefit does not appear to be uniform across all patients, and, in the absence of microbiological data, the extent of microbial involvement remains uncertain. Accordingly, topical metronidazole may be considered for carefully selected cases of acute anal fissure based on clinical judgement, while avoiding routine or indiscriminate antibiotic use. Full article
(This article belongs to the Section Surgery)
Show Figures

Figure 1

14 pages, 632 KB  
Article
Should Preoperative Biliary Decontamination Be Considered to Minimize Morbidity and Mortality Following Pancreatoduodenectomy?
by Natalia Olszewska, Tomasz Guzel, Agnieszka Milner, Piotr Paluszkiewicz, Edyta Podsiadły and Maciej Słodkowski
Antibiotics 2026, 15(2), 134; https://doi.org/10.3390/antibiotics15020134 - 29 Jan 2026
Cited by 1 | Viewed by 523
Abstract
Background: Pancreatoduodenectomy (PD) remains the fundamental treatment for periampullary malignancies but is associated with considerable morbidity (20–50%) and mortality (2–7%). Bacteriobilia contributes to unfavourable postoperative outcomes. Current antibiotic prophylaxis recommendations endorse first-generation cephalosporins, which often fail to adequately target pathogens most frequently isolated [...] Read more.
Background: Pancreatoduodenectomy (PD) remains the fundamental treatment for periampullary malignancies but is associated with considerable morbidity (20–50%) and mortality (2–7%). Bacteriobilia contributes to unfavourable postoperative outcomes. Current antibiotic prophylaxis recommendations endorse first-generation cephalosporins, which often fail to adequately target pathogens most frequently isolated from bile. To date, no specific guidelines for preoperative targeted antibiotic therapy have been established, although tailoring such strategies to the bile microbiome may improve surgical outcomes. This study aimed to characterize bile microbiology in patients undergoing PD for pancreatic ductal adenocarcinoma (PDAC), evaluating potential antibiotherapy regimens that provide effective coverage against the most frequently isolated pathogens. Methods: A retrospective cohort analysis of 725 patients surgically treated for pancreatic tumours at a high-volume pancreatic surgery center between 2017 and 2022 was performed. To minimize heterogeneity, study was restricted to 138 patients who underwent PD with histopathological confirmed PDAC. Intraoperative bile cultures were assessed. Results: Patients with bacteriobilia likewise experienced worse outcomes: higher 5-year mortality (OR 3.01, p = 0.007), greater overall postoperative pancreatic fistula (POPF) occurrence (OR 2.54, p = 0.044) and wound infections (OR 2.90, p = 0.038). Among bile microbiome the highest susceptibility rates were observed for combination of amoxicillin/clavulanic acid with gentamicin, while the lowest were noted for cephalosporin–metronidazole regimen (93.6% vs. 30.2%, respectively). Conclusions: Bacteriobilia contributes to postoperative complications and serves as a predictor of poorer survival after PD. Standard perioperative antibiotic prophylaxis in PD is insufficient. Based on our findings, perioperative antibiotic therapy with amoxicillin/clavulanic acid and gentamicin combination appears to provide superior coverage and may improve postoperative morbidity and overall survival following PD. Full article
(This article belongs to the Special Issue Antimicrobial Stewardship in Surgical Infection)
Show Figures

Figure 1

15 pages, 297 KB  
Article
The Role of Unexpected Infection in Acetabular Erosion After Hip Hemiarthroplasty
by Luis-Rodrigo Merino-Rueda, Ricardo Fernández-Fernández and Eduardo García-Rey
Medicina 2025, 61(12), 2141; https://doi.org/10.3390/medicina61122141 - 30 Nov 2025
Viewed by 620
Abstract
Background and objectives: Hemiarthroplasty (HA) remains one of the most common treatments for displaced femoral neck fractures in the elderly, providing pain relief, early mobilization and a low reoperation risk. Acetabular erosion is a recognized late complication of this procedure, but early [...] Read more.
Background and objectives: Hemiarthroplasty (HA) remains one of the most common treatments for displaced femoral neck fractures in the elderly, providing pain relief, early mobilization and a low reoperation risk. Acetabular erosion is a recognized late complication of this procedure, but early cartilage wear and its potential relationship with infection remain poorly understood. The aim of this study was to describe the clinical and microbiological characteristics of patients who required conversion to total hip arthroplasty (THA) because of acetabular erosion and to analyze the possible role of unexpected infection as a contributing factor. Materials and methods: A retrospective observational study was performed including all patients treated between 2007 and 2019 who underwent conversion of a failed HA to THA due to acetabular erosion after femoral neck fracture. Microbiological analysis was performed in all cases through multiple intraoperative samples. Patients were classified into two groups, with and without infection, according to positive microbiological cultures. Results: Forty-four patients were included, with a median age of 80.5 years (74–85). The median time to acetabular erosion was 25.4 months (10.4–47.4). Infection was identified in six patients (13.6%), all within the first six months after fracture (p = 0.029). The median time to erosion was shorter in infected patients (4.0 versus 29.8 months, p < 0.001). No other demographic, functional, or implant-related variables were associated with infection. There were three re-revisions, two due to recurrent dislocation and one periprosthetic infection in a hip without unexcepted positive culture. All patients with positive intraoperative culture were successfully managed with antibiotherapy. Postoperative functional scores improved significantly in both groups. Fifteen patients (34.1%) died during follow-up. Conclusions: Early acetabular erosion after hemiarthroplasty may represent a manifestation of previously unrecognized low-grade infection, particularly in frail elderly patients. Despite advanced age and multiple comorbidities, conversion to THA achieved significant functional improvement with an acceptable complication rate. Prospective studies with larger populations are warranted to confirm the relationship between infection and early acetabular cartilage loss. Full article
(This article belongs to the Special Issue Techniques, Risks and Recovery of Hip Surgery)
18 pages, 1599 KB  
Article
The Microbiological Spectrum and Antibiotic Resistance in Acute Acalculous and Calculous Cholecystitis: A Seven-Year Study in a Tertiary Center
by Cosmin Vasile Obleaga, Ovidiu Mircea Zlatian, Oana Mariana Cristea, Alexandra Rosu-Pires, Alexandru Marin Pascu, Mirela-Marinela Florescu, Claudiu Marinel Ionele, Ion Rogoveanu, Alexandru Valentin Popescu, Vlad Catanoiu and Sergiu Marian Cazacu
Medicina 2025, 61(11), 2028; https://doi.org/10.3390/medicina61112028 - 13 Nov 2025
Viewed by 839
Abstract
Background and Objectives: Acute acalculous cholecystitis (AAC) is rare, mostly in older males, with cardiovascular diseases, diabetes, critical illness, or systemic infection. Antibiotherapy before or after cholecystectomy is important for preventing septic shock and postoperative infections. Increasing antibiotic resistance was recently noted [...] Read more.
Background and Objectives: Acute acalculous cholecystitis (AAC) is rare, mostly in older males, with cardiovascular diseases, diabetes, critical illness, or systemic infection. Antibiotherapy before or after cholecystectomy is important for preventing septic shock and postoperative infections. Increasing antibiotic resistance was recently noted and can complicate antibiotherapy. Materials and Methods: A retrospective study of all patients who underwent cholecystectomy between 2018 and 2024 in the Clinical Emergency Hospital of Craiova was performed. The etiology of AAC, complications, hospitalization duration, mortality, positive bile cultures, and in vitro antibiotic resistance were analyzed. Results: A total of 802 calculous and 54 AAC were recorded. Patients with AAC were predominantly males (OR = 1.767, p = 0.043) with diabetes (OR = 2.049, p = 0.014) and were older (66.6 ± 13.2 vs. 61.4 ± 15.6, p = 0.014). Mortality was significantly higher in AAC (18.5 vs. 3.6%, OR = 6.058, p < 0.001), with longer hospitalization (mean 9.7 vs. 8.4 days) and more perforation. Positive bile cultures were recorded in 60.5–66.2% of cases, with a similar etiology in both forms of acute cholecystitis (mostly Gram-negative species, Enterococcus, and Staphylococcus); 10 ESBL Escherichia coli and Klebsiella strains, 11 Staphylococcus aureus MRSA, and 1 Enterococcus VRE strain were recorded. Antibiotic susceptibility in vitro was similar in both AAC and calculous cholecystitis. Significant resistance to cephalosporins and quinolones was recorded; the lowest resistance was noted for amikacin, carbapenems, chloramphenicol, colistin (Gram-negative bacteria), and vancomycin. Conclusions: AAC was encountered in older males with diabetes, with a higher rate of complications and in-hospital mortality. Bile cultures were positive in 60.5–66.2%, predominantly with Gram-negative, Enterococcus, and Staphylococcus species. Significant in vitro resistance to cephalosporins and quinolones was found. Full article
(This article belongs to the Special Issue Emerging Trends in Infectious Disease Prevention and Control)
Show Figures

Figure 1

16 pages, 2264 KB  
Article
Higher NLR Values Can Predict Gram-Negative Spontaneous Bacterial Peritonitis and a High In-Hospital Mortality Rate in Patients with Spontaneous Bacterial Peritonitis
by Sergiu Marian Cazacu, Ovidiu Mircea Zlatian, Dragos Ovidiu Alexandru, Elena Leocadia Plesea, Ioan Alexandru Vacariu, Mihai Cimpoeru, Ion Rogoveanu, Camelia Cristiana Bigea, Cristina Maria Marginean and Sevastita Iordache
Life 2025, 15(9), 1363; https://doi.org/10.3390/life15091363 - 28 Aug 2025
Viewed by 1351
Abstract
Background: Spontaneous bacterial peritonitis (SBP) represents a significant complication of liver cirrhosis; Gram-positive bacteria (GPB) predominance was recently noted in some areas, with increased antibiotic resistance. Etiology and mortality prediction are important in culture-negative SBP and for empirical antibiotherapy before the arrival of [...] Read more.
Background: Spontaneous bacterial peritonitis (SBP) represents a significant complication of liver cirrhosis; Gram-positive bacteria (GPB) predominance was recently noted in some areas, with increased antibiotic resistance. Etiology and mortality prediction are important in culture-negative SBP and for empirical antibiotherapy before the arrival of culture results. Methods: A retrospective study was performed on patients with cirrhosis and ascites admitted between 2018 and 2024, divided into culture-positive SBP (Gram-positive and Gram-negative), culture-negative SBP, and non-infected ascites. The NLR (neutrophil-to-lymphocyte ratio) accuracy for the prediction of SBP and in-hospital mortality was estimated using ROC analysis. Results: Overall, 45 culture-positive SBP, 28 culture-negative SBP, and 600 control ascites were diagnosed; Gram-positive SBP represented 60%; median NLR values were significantly higher in patients with Gram-negative compared with Gram-positive SBP (8.79 in Gram-negative versus 3.92 in Gram-positive SBP, AUC 0.752, p = 0.003); and a limited role in SBP prediction was recorded (AUC 0.642, p = 0.003), with no difference between culture-positive and culture-negative SBP. The NLR median values were higher for patients who died in hospital in all patients with cirrhosis, in SBP, and culture-positive SBP, but not in culture-negative SBP. Conclusions: Higher NLR values were associated with Gram-negative SBP etiology and with in-hospital mortality in all cirrhosis, in SBP, and especially in culture-positive and Gram-negative SBP cases. High NLR values can predict the Gram-negative etiology in patients with an ascitic neutrophil count above 250/mm3, which can be used to guide empirical antibiotherapy until cultures are available or in culture-negative SBP. Full article
Show Figures

Figure 1

16 pages, 3371 KB  
Article
A Prospective Randomized Pilot Study on the Efficacy of a Dietary Supplementation Regimen of Vitamin E and Selenium for the Prevention of Fluoroquinolone-Induced Tendinopathy
by Oana-Maria Mișcă, Liviu-Coriolan Mișcă, Bogdan Huzum, Andreea-Adriana Neamţu, Simona Cerbu, Daniel-Raul Chioibaș, Petrișor Zorin Crăiniceanu and Andrei Gheorghe Marius Motoc
Pharmaceuticals 2025, 18(4), 575; https://doi.org/10.3390/ph18040575 - 15 Apr 2025
Cited by 3 | Viewed by 3982
Abstract
Background: Fluoroquinolone-induced tendinopathy is a clinically significant adverse effect associated with this class of antibiotics, particularly affecting the Achilles tendon. Despite its growing recognition, the precise pathophysiological mechanisms remain incompletely understood, with hypotheses referencing increased matrix metalloproteinase activity, collagen degradation, and oxidative [...] Read more.
Background: Fluoroquinolone-induced tendinopathy is a clinically significant adverse effect associated with this class of antibiotics, particularly affecting the Achilles tendon. Despite its growing recognition, the precise pathophysiological mechanisms remain incompletely understood, with hypotheses referencing increased matrix metalloproteinase activity, collagen degradation, and oxidative stress. Methods: This prospective randomized pilot study evaluates the potential protective effectiveness of vitamin E and selenium supplementation in mitigating fluoroquinolone-induced tendinopathy. The study was conducted on 25 patients receiving 500 mg/day levofloxacin antibiotherapy, randomly divided into a control group and an experimental group—vitamin E (400 IU/day) and selenium (200 µg/day), oral supplementation for 28 days. Clinical assessment of the pain level through the VAS score and of functionality through the VISA-A score was performed, alongside ultrasound imaging of the Achilles tendon. To assess potential toxicity and ensure adherence to the supplementation protocol, serial biochemical analyses of serum vitamin E and selenium were performed at predetermined intervals. Results: A significant improvement was observed in pain scores (p = 0.0120) and functional outcomes (p = 0.0340) when comparing the control and experimental groups at the three-month follow-up. Ultrasound analysis revealed reduced tendon thickness and neovascularization, supporting structural recovery. Although the incidence of tendinopathy was lower in the interventional group (13.3% vs. 40%), statistical significance was not reached, possibly due to the small sample size. Conclusions: These findings suggest that antioxidant supplementation with vitamin E and selenium may provide a protective effect against fluoroquinolone-induced tendinopathy, warranting further investigation in larger randomized clinical trials. Full article
(This article belongs to the Special Issue Fluoroquinolones)
Show Figures

Figure 1

13 pages, 743 KB  
Article
Clostridioides difficile Infections and Antibiotherapy: Results of Four Years of Observation in a Romanian Tertiary Hospital
by Carmen-Cristina Vasile, Luisa-Andreea Gheorghe, Carmen-Daniela Chivu, Marta Ana Maria Anghel, Ștefan Eduard Mîinea, Daniela Pițigoi and Maria-Dorina Crăciun
Microorganisms 2024, 12(12), 2490; https://doi.org/10.3390/microorganisms12122490 - 3 Dec 2024
Cited by 1 | Viewed by 2352
Abstract
Clostridioides difficile infection (CDI) is one of the main causes of morbidity associated with antibiotic use, producing both healthcare-associated infections and community infections. This study aims to describe the epidemiological characteristics, the clinical outcomes, previous antibiotic exposure, and other risk factors of hospitalized [...] Read more.
Clostridioides difficile infection (CDI) is one of the main causes of morbidity associated with antibiotic use, producing both healthcare-associated infections and community infections. This study aims to describe the epidemiological characteristics, the clinical outcomes, previous antibiotic exposure, and other risk factors of hospitalized patients with CDI in a tertiary infectious disease hospital in Bucharest, Romania. We performed a descriptive analysis based on four-year surveillance data, collected in a tertiary infectious disease hospital in Bucharest, Romania. The annual incidence of CDIs varied from 65.1 cases per 10,000 discharges in 2020 to 211.7 cases per 10,000 discharges in 2023, with a continuously ascending trend. Most of the cases were hospital-acquired cases. There was a high share of antibiotic consumption three months before admission (61.3%). Third-generation cephalosporins, β-lactams with inhibitor combination, and carbapenems were the most used antibiotics, with shares of 46.0%, 25.2%, and 18.6%, respectively. Hospitalization in the previous 12 months and contact with a confirmed CDI case were other frequent factors in the study group, the occurrences of which were recorded as 66.2% and 2.4%, respectively. The surveillance data identified that the annual trend in CDIs is very variable, suggesting the need for continuous and multiannual analysis. Full article
Show Figures

Figure 1

7 pages, 335 KB  
Article
Effects of the COVID-19 Pandemic on Clinical Manifestations and Therapeutic Outcomes in Acute Endophthalmitis
by Ana Maria Dascalu, Sanda Jurja, Carmen Luminita Mocanu, Cristina Alexandrescu, Daniela Stana, Madalina Totir, Ece Ergin, Corneliu Tudor, Catalin Cicerone Grigorescu, Dragos Serban, Laurentiu Simion, Dan Dumitrescu, Andrei Marin, Catalin Teodor Constantinescu and Bogdan Mihai Cristea
J. Mind Med. Sci. 2024, 11(2), 475-481; https://doi.org/10.22543/2392-7674.1554 - 31 Oct 2024
Cited by 1 | Viewed by 850
Abstract
Endophthalmitis incidence and clinical characteristics was reported to change during COVID-19 pandemic, due to multiple influencing factors, such as prolonged lockdown periods, persistent immune suppression following SARS-CoV-2 infection, and mask wearing. We conducted a retrospective eight-year study, during January 2016 and December 2023, [...] Read more.
Endophthalmitis incidence and clinical characteristics was reported to change during COVID-19 pandemic, due to multiple influencing factors, such as prolonged lockdown periods, persistent immune suppression following SARS-CoV-2 infection, and mask wearing. We conducted a retrospective eight-year study, during January 2016 and December 2023, that aims to investigates the differences in terms of etiology, clinical characteristics and outcomes in cases with acute endophthalmitis, admitted before (2016–2019) and during COVID-19 pandemic (2020–2023). The two study subgroups were homogenous in term of age, gender distribution, associated comorbidities, and addressability. During COVID-19 pandemic there were significant delays in presentation (p = 0.02), more cases of endogenous endophthalmitis (p = 0.025), and patients presented a more intense systemic inflammatory reaction (p < 0.01). Moreover, undiagnosed cases of diabetes were more frequent in pandemic group, and were associated with endogenous endophthalmitis (59.3% vs. 16.6%, p < 0.001). The were differences in etiology between the two subgroups, the first cases of hypervirulent Klebsiella pneumoniae endogenous endophthalmitis reported in our center. The outcomes were comparable in terms of hospital stay and rate of evisceration. However, the visual function was worse in the pandemic group, which may be correlated with the specific differences in etiology and delayed presentation. Early diagnosis and prompt initiation of large spectrum antibiotherapy are essential to preserve vision. Full article
Show Figures

Figure 1

11 pages, 1631 KB  
Article
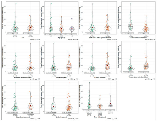
Factors Affecting Wound Healing after the Wide Surgical Excision of Hidradenitis Suppurativa Lesions
by Anne-Cecile Ezanno, Gaëtan Texier, Joffrey Marchi and Anne-Claire Fougerousse
J. Clin. Med. 2024, 13(18), 5598; https://doi.org/10.3390/jcm13185598 - 21 Sep 2024
Cited by 3 | Viewed by 2797
Abstract
Background: Hidradenitis suppurativa (HS) is a chronic and inflammatory disease. Its management depends on the stage and extent of the disease. Surgery plays an important role in treatment options. This study explores the factors influencing healing after wide excision. Methods: This [...] Read more.
Background: Hidradenitis suppurativa (HS) is a chronic and inflammatory disease. Its management depends on the stage and extent of the disease. Surgery plays an important role in treatment options. This study explores the factors influencing healing after wide excision. Methods: This study analyzed data from patients who underwent wide excision for HS between 2016 and 2021. Results: A total of 160 patients (64.4% women) were included, with surgeries performed in the axillae (70), inguinal-ano-genital (73), and other locations (17, including gluteal). The mean TTWC was 74 ± 6 days, varying from 11 to 445 days. Factors negatively influencing TTWC included axillary localization (p < 0.001) and the presence of another inflammatory disease (p = 0.017). Factors positively influencing healing were smoking (<0.001) and previous or ongoing medical treatment (antibiotherapy or biologics) (p = 0.011). Obesity or being overweight did not impact the TTWC in multivariate analysis, although overweight was significant in univariate analysis. Conclusions: While smoking cessation remains important in the management of HS, it does not appear to be a prerequisite for successful surgical treatment. Conversely, patients with an inflammatory disease or those undergoing surgery for an axillary lesion exhibit slower healing and should be informed of potential healing delays before surgery. Full article
(This article belongs to the Section General Surgery)
Show Figures

Figure 1

12 pages, 272 KB  
Review
Is Chronic Pelvic Inflammatory Disease an Exclusively Medical Gynecological Disease, or It May Be a Surgical Challenge?
by Mihai-Daniel Dinu, Bashar Haj Hamoud, Mihaela Amza, Romina-Marina Sima, Ileana-Maria Conea, Gabriel-Petre Gorecki and Liana Pleș
Surg. Tech. Dev. 2024, 13(3), 301-312; https://doi.org/10.3390/std13030023 - 3 Sep 2024
Viewed by 7704
Abstract
Pelvic inflammatory disease is an infectious condition affecting women’s upper genital tract, including the uterus, fallopian tubes, and ovaries. It primarily arises from an infection that spreads upward from the lower genital area. The relationship between chronic pelvic pain and coexisting conditions is [...] Read more.
Pelvic inflammatory disease is an infectious condition affecting women’s upper genital tract, including the uterus, fallopian tubes, and ovaries. It primarily arises from an infection that spreads upward from the lower genital area. The relationship between chronic pelvic pain and coexisting conditions is a key focus in its diagnosis and treatment. This type of pain is also considered a form of reflex dystrophy, involving both neurological and psychological components, the first line treatment consists in antibiotherapy. For patients with complex or severe pelvic abscesses, surgical intervention may be considered in selected cases. The primary surgical techniques employed are open and laparoscopic surgery, both aimed for abscess removal. MRI or Doppler ultrasonography may be employed when there is a suspicion of adnexal torsion, adenomyosis or deep pelvic endometriosis, especially if the ultrasound results are unclear or inconclusive Laparoscopic surgery has increasingly become favored by both healthcare professionals and patients. Moreover, laparoscopy has emerged as the most valuable tool for diagnosing chronic pelvic pain. The approach to treating pelvic abscesses in women of reproductive age depends greatly on clinical assessments, individual patient factors, and the desire to preserve fertility. However, laparoscopy may present technical difficulties in patients with severe pelvic abscesses, particularly those with extensive adhesions or a closed-off pelvic area, requiring advanced surgical expertise. Women with associated conditions such as endometriosis often experience a more severe form of pelvic inflammatory disease, which is less responsive to antibiotics and more frequently requires surgical resolution. The surgical treatment should be performed individualized to the clinical condition of the patient and the time of intervention must be carefully chosen. Full article
16 pages, 874 KB  
Review
Equine Granulocytic Anaplasmosis: A Systematic Review and Meta-Analysis on Clinico-Pathological Findings, Diagnosis, and Therapeutic Management
by Andreea Monica Bogdan, Ioan Liviu Mitrea and Mariana Ionita
Vet. Sci. 2024, 11(6), 269; https://doi.org/10.3390/vetsci11060269 - 13 Jun 2024
Cited by 6 | Viewed by 4016
Abstract
Equine granulocytic anaplasmosis (EGA) is a tick-borne disease affecting horses worldwide, caused by Anaplasma phagocytophilum. The disease ranges from non-specific clinical signs to fatal outcomes. This paper aimed to analyze EGA cases reported in peer-reviewed journals, particularly on clinico-pathological findings, diagnosis, and [...] Read more.
Equine granulocytic anaplasmosis (EGA) is a tick-borne disease affecting horses worldwide, caused by Anaplasma phagocytophilum. The disease ranges from non-specific clinical signs to fatal outcomes. This paper aimed to analyze EGA cases reported in peer-reviewed journals, particularly on clinico-pathological findings, diagnosis, and therapeutic management. Overall, 189 clinical cases from 31 publications were included in the study. Extensive symptomatology for the EGA cases was reported, of which mostly was fever (90.30%), followed by limb edema (48.51%), anorexia (41.79%), depression (32.84%), icterus (22.39%), ataxia (17.91), tachycardia (16.42%), and lethargy (15.67%). Laboratory tests revealed thrombocytopenia (90.32%), anemia (75%), decreased hematocrit (70.59%), leukopenia (55.88%), lymphopenia (58.14%), and neutropenia (41.67%) as the most common hematological abnormalities. For a subset of tested animals, hyperbilirubinemia (20/29), hyperfibrinogenemia (13/15), and hyponatremia (10/10) were also reported. The diagnosis was established by microscopic identification of morulae (in 153 cases), and/or PCR (120 cases), isolation (1 case), or serology (56 cases). For treatment, oxytetracycline was used in the majority (52.24%) of EGA cases, but recovery without antibiotherapy (10.34%) was also noted. In conclusion, the variety of clinical and pathological findings and the challenging therapeutic approaches reported suggest that EGA should be included in the differential diagnosis when fever occurs. Full article
(This article belongs to the Special Issue Epidemiology, Diagnosis and Treatment of Tick-Borne Diseases)
Show Figures

Figure 1

15 pages, 2768 KB  
Article
Assessment of the Effect on Periodontitis of Antibiotic Therapy and Bacterial Lysate Treatment
by Diana Larisa Ancuţa, Diana Mihaela Alexandru, Florin Muselin, Romeo Teodor Cristina and Cristin Coman
Int. J. Mol. Sci. 2024, 25(10), 5432; https://doi.org/10.3390/ijms25105432 - 16 May 2024
Cited by 7 | Viewed by 2711
Abstract
Periodontitis is an inflammatory process that starts with soft tissue inflammation caused by the intervention of oral bacteria. By modulating local immunity, it is possible to supplement or replace current therapeutic methods. The aim of this study was to compare the effects of [...] Read more.
Periodontitis is an inflammatory process that starts with soft tissue inflammation caused by the intervention of oral bacteria. By modulating local immunity, it is possible to supplement or replace current therapeutic methods. The aim of this study was to compare the effects of an immunostimulatory treatment with the antibiotherapy usually applied to periodontitis patients. On a model of periodontitis induced in 30 rats (divided into three equal groups) with bacterial strains selected from the human oral microbiome (Aggregatibacter actinomycetemcomitans, Fusobacterium nucleatum and Streptococcus oralis), we administered antibiotics, bacterial lysates and saline for 10 days. Clinically, no significant lesions were observed between the groups, but hematologically, we detected a decrease in lymphocyte and neutrophil counts in both the antibiotic and lysate-treated groups. Immunologically, IL-6 remained elevated compared to the saline group, denoting the body’s effort to compensate for bone loss due to bacterial action. Histopathologically, the results show more pronounced oral tissue regeneration in the antibiotic group and a reduced inflammatory reaction in the lysate group. We can conclude that the proposed bacterial lysate has similar effects to antibiotic therapy and can be considered an option in treating periodontitis, thus eliminating the unnecessary use of antibiotics. Full article
(This article belongs to the Special Issue Periodontitis: Advances in Mechanisms, Treatment and Prevention)
Show Figures

Figure 1

12 pages, 1377 KB  
Article
Bacterial Species Involved in Venous Leg Ulcer Infections and Their Sensitivity to Antibiotherapy—An Alarm Signal Regarding the Seriousness of Chronic Venous Insufficiency C6 Stage and Its Need for Prompt Treatment
by Sergiu-Ciprian Matei, Cristina Stefania Dumitru, Ayman Mohamed Fakhry, Nenad Ilijevski, Slobodan Pešić, Jovan Petrović, Zorin Petrişor Crăiniceanu, Marius-Sorin Murariu and Sorin Olariu
Microorganisms 2024, 12(3), 472; https://doi.org/10.3390/microorganisms12030472 - 26 Feb 2024
Cited by 14 | Viewed by 5045
Abstract
Background: Venous leg ulcers (VLUs) are a common chronic wound condition susceptible to infection by various bacterial species. Understanding bacterial presence and antibiotic sensitivity is crucial for effective treatment. Methodsː Medical records of 60 patients diagnosed with the C6 chronic venous insufficiency stage [...] Read more.
Background: Venous leg ulcers (VLUs) are a common chronic wound condition susceptible to infection by various bacterial species. Understanding bacterial presence and antibiotic sensitivity is crucial for effective treatment. Methodsː Medical records of 60 patients diagnosed with the C6 chronic venous insufficiency stage were analyzed retrospectively. The patients were divided into an active recurrent VLU group (33 cases) and a first-onset active VLU group (27 cases). Bacterial identification, antibiotic sensitivity, and laboratory markers were assessed. Resultsː Pseudomonas aeruginosa was the most prevalent bacterial species in both the study (72.72%) and control (37.03%) groups, along with other common bacteria such as Proteus mirabilis, Enterococcus sp., Staphylococcus aureus, Acinetobacter baumannii, Klebsiella spp., and Escherichia coli. Furthermore, uncommon bacteria, including Providencia rettgeri, Group B Streptococcus, and Salmonella Paratyphi B, and a fungal infection with Candida albicans, were identified only in the study group, while Morganella morganii was found exclusively in the control group. Pseudomonas aeruginosa showed significant sensitivity to several antibiotics, particularly Amikacin and Meropenem. Nonspecific laboratory markers, such as CRP, fibrinogen, ESR, WBC, CK, neutrophils, and lymphocytes, revealed statistically significant differences between groups, indicating their potential as biomarkers for monitoring recurrent VLUs. Conclusionsː These results highlight the need for comprehensive diagnostic approaches to effectively manage VLU infections and improve patient outcomes. Further research is warranted to explore factors influencing the presence of uncommon bacteria and to develop targeted interventions for VLU management. Full article
(This article belongs to the Special Issue Antimicrobial Resistance: Current Status and Future Directions)
Show Figures

Figure 1

12 pages, 709 KB  
Article
Perception about the Major Health Challenges in Different Swine Production Stages in Spain
by Alba Meléndez, María Teresa Tejedor, Olga Mitjana, María Victoria Falceto and Laura Garza-Moreno
Vet. Sci. 2024, 11(2), 84; https://doi.org/10.3390/vetsci11020084 - 10 Feb 2024
Cited by 3 | Viewed by 3164
Abstract
One of the main challenges for the sustainability and productivity of the Spanish swine industry is health instability, resulting in significant economic losses. Information on the main swine diseases which affect the Spanish pig industry could help in optimizing the efforts within control [...] Read more.
One of the main challenges for the sustainability and productivity of the Spanish swine industry is health instability, resulting in significant economic losses. Information on the main swine diseases which affect the Spanish pig industry could help in optimizing the efforts within control programs. This study determined the frequency of occurrence of the main diseases in Spain and the main control tool used, based on perceptions from veterinarians and consultants in a specific survey. Results showed that Streptococcus (S.) suis, E. coli, and coccidia are the most frequent pathogens in the gestation and lactation phase, whereas the most important were Porcine Reproductive and Respiratory Syndrome virus (PRRSV). In the nursery phase, the most frequent were S. suis, E. coli, and PRRSV, the latter being the most important for the participants. Finally, in the fattening phase, PRRSV and Actinobacillus pleuropneumoniae were the most frequent and important pathogen, respectively. Statistical differences among responses were detected with respect to the location and the gestation and lactation phases by farm size. Regarding the tools used for controlling the diseases, vaccination was the main strategy in all production phases, except in the fattening period, in which antibiotherapy was the most common response from the participants. Finally, the improvement of management practices was the most proposed tool, suggesting its importance within control programs. Full article
Show Figures

Figure 1

14 pages, 957 KB  
Article
Antibiotic Prescriptions in Critically Ill Patients with Bloodstream Infection Due to ESBL-Producing Enterobacteriaceae: Compliance with the French Guidelines for the Treatment of Infections with Third-Generation Cephalosporin-Resistant Enterobacteriaceae—A Multicentric Retrospective Cohort Study
by Camille Le Berre, Marion Houard, Anne Vachée, Hugues Georges, Frederic Wallet, Pierre Patoz, Patrick Herbecq, Saad Nseir, Pierre-Yves Delannoy and Agnès Meybeck
Microorganisms 2023, 11(11), 2676; https://doi.org/10.3390/microorganisms11112676 - 31 Oct 2023
Viewed by 2618
Abstract
National and international guidelines were recently published regarding the treatment of Enterobacteriaceae resistant to third-generation cephalosporins infections. We aimed to assess the implementation of the French guidelines in critically ill patients suffering from extended-spectrum β-lactamase-producing Enterobacteriaceae bloodstream infection (ESBL-E BSI). We conducted a [...] Read more.
National and international guidelines were recently published regarding the treatment of Enterobacteriaceae resistant to third-generation cephalosporins infections. We aimed to assess the implementation of the French guidelines in critically ill patients suffering from extended-spectrum β-lactamase-producing Enterobacteriaceae bloodstream infection (ESBL-E BSI). We conducted a retrospective observational cohort study in the ICU of three French hospitals. Patients treated between 2018 and 2022 for ESBL-E BSI were included. The primary assessment criterion was the proportion of adequate empirical carbapenem prescriptions, defined as prescriptions consistent with the French guidelines. Among the 185 included patients, 175 received an empirical anti-biotherapy within 24 h of ESBL-E BSI onset, with a carbapenem for 100 of them. The proportion of carbapenem prescriptions consistent with the guidelines was 81%. Inconsistent prescriptions were due to a lack of prescriptions of a carbapenem, while it was recommended in 25% of cases. The only factor independently associated with adequate empirical carbapenem prescription was ESBL-E colonization (OR: 107.921 [9.303–1251.910], p = 0.0002). The initial empirical anti-biotherapy was found to be appropriate in 83/98 patients (85%) receiving anti-biotherapy in line with the guidelines and in 56/77 (73%) patients receiving inadequate anti-biotherapy (p = 0.06). Our results illustrate the willingness of intensivists to spare carbapenems. Promoting implementation of the guidelines could improve the proportion of initial appropriate anti-biotherapy in critically ill patients with ESBL-E BSI. Full article
Show Figures

Figure 1

Back to TopTop