A Prospective Randomized Pilot Study on the Efficacy of a Dietary Supplementation Regimen of Vitamin E and Selenium for the Prevention of Fluoroquinolone-Induced Tendinopathy
Abstract
1. Introduction
2. Results
2.1. Patient Characteristics
2.2. Serum Vitamin E and Selenium Levels
2.3. Clinical Evaluation—Symptoms
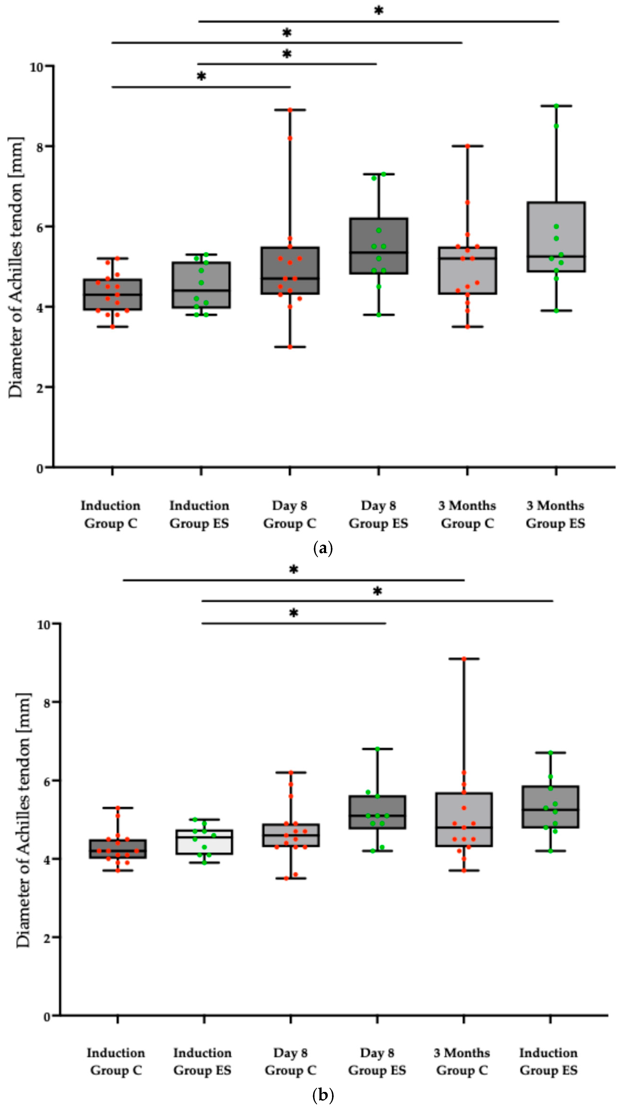
2.4. Paraclinical Evaluation—Ultrasound
2.5. Diagnosed Tendinopathy
- Group C (control): four patients (40.0%)
- Group ES (experimental): two patients (13.3%).
2.6. Study Model Validation
3. Discussion
4. Materials and Methods
- Patients of the Emergency Clinical Hospital “Pius Brînzeu” Timișoara, in the period 1 February and 31 October 2021.
- Patients aged between 30 and 60 years old.
- Patients presenting with microbial infections that required initiation of antibiotic therapy according to the antibiogram, with a minimum dose of 500 mg/day of levofloxacin for 7 consecutive days.
- Patients consenting to take part in the study.
- Patients with predisposing risk factors, such as corticosteroid therapy, renal insufficiency, diabetes mellitus, or a history of organ transplantation, were excluded to minimize confounding variables.
- Patients who had previously undergone Achilles tendon surgery were excluded.
- Patients exhibiting pain at the level of the Achilles tendon prior to fluoroquinolone administration were excluded.
- Control group (Group C)—10 patients. The patients received standard levofloxacin treatment without antioxidant supplementation (placebo pills were not provided).
- Experimental group (Group ES)—15 patients. The patients were administered vitamin E (400 IU/day) and selenium (200 µg/day), orally, for a duration of 28 days, starting on the first day of levofloxacin prescription (patients chose their preferred supplements with the recommended dosage from the pharmacy).
- Baseline (prior to treatment initiation)—(1), (2), (3);
- Day 8 (following 7 days of levofloxacin therapeutic regimen)—(2);
- Day 14 (mid-treatment evaluation)—(1);
- Day 28 (end of vitamin E and selenium supplementation)—(3);
- Three months post-treatment assessment—(1), (2).
- -
- Unpaired t-test with Welch’s correction: to compare the mean ages between the control and experimental groups. The choice of Welch’s correction suggests that the test does not assume equal variances between the two groups, making it suitable for data where the standard deviations might differ.
- -
- Paired t-test: to analyze the serum vitamin E and selenium levels within the experimental group before and after the supplementation regimen. This test assumes that the data are normally distributed and compares the means of two related groups to determine if there is a statistically significant difference between them.
- -
- Mann–Whitney nonparametric test: to compare the VAS and VISA-A scores between the control and experimental groups at different time points. The choice of a nonparametric test indicates that the data may not follow a normal distribution, making the Mann–Whitney test a robust option for comparing medians.
- -
- Chi-square test: to assess the significance of the difference in the incidence of tendinopathy between the control and experimental groups. This test is appropriate for categorical data, providing a method to determine if the distribution of cases across the categories is due to chance.
- -
- Spearman correlation test: to investigate the relationship between tendon thickness and VAS/VISA-A scores. Being a nonparametric measure of rank correlation, it assesses how well the relationship between two variables can be described using a monotonic function, suitable for data that do not necessarily follow a normal distribution.
5. Conclusions
Supplementary Materials
Author Contributions
Funding
Institutional Review Board Statement
Informed Consent Statement
Data Availability Statement
Conflicts of Interest
References
- Millar, N.L.; Silbernagel, K.G.; Thorborg, K.; Kirwan, P.D.; Galatz, L.M.; Abrams, G.D.; Murrell, G.A.; McInnes, I.B.; Rodeo, S.A. Tendinopathy. Nat. Rev. Dis. Primers 2021, 7, 1. [Google Scholar] [CrossRef] [PubMed]
- Winnicki, K.; Ochała-Kłos, A.; Rutowicz, B.; Pękala, P.A.; Tomaszewski, K.A. Functional anatomy, histology and biomechanics of the human Achilles tendon—A comprehensive review. Ann. Anat.-Anat. Anz. 2020, 229, 151461. [Google Scholar] [CrossRef] [PubMed]
- Malmgaard-Clausen, N.M.; Kjaer, M.; Dakin, S.G. Pathological tendon histology in early and chronic human patellar tendinopathy. Transl. Sports Med. 2022, 2022, 2799665. [Google Scholar] [CrossRef] [PubMed]
- Jaworski, Ł.; Zabrzyńska, M.; Klimaszewska-Wiśniewska, A.; Zielińska, W.; Grzanka, D.; Gagat, M. Advances in Microscopic Studies of Tendinopathy: Literature Review and Current Trends, with Special Reference to Neovascularization Process. J. Clin. Med. 2022, 11, 1572. [Google Scholar] [CrossRef]
- Loiacono, C.; Palermi, S.; Massa, B.; Belviso, I.; Romano, V.; Di Gregorio, A.; Sirico, F.; Sacco, A.M. Tendinopathy: Pathophysiology, Therapeutic Options, and Role of Nutraceutics. A Narrative Literature Review. Medicina 2019, 55, 447. [Google Scholar] [CrossRef]
- Via, A.G.; Discalzo, G.; Pipino, G.; Oliva, F.; Cuozzo, F.; Marsilio, E.; Maffulli, N. Tenocytes do not just lie in a vacuum: The role of lipids, glycemic metabolism and thyroid hormones in tendinopathy and tendon rupture. Acta Kinesiol. 2023, 17, 62–67. [Google Scholar] [CrossRef]
- Xu, J.; Wang, J.; Ji, Y.; Liu, Y.; Jiang, J.; Wang, Y.; Cui, X.; Wan, Y.; Guo, B.; Yu, H. The impact of diabetes mellitus on tendon pathology: A review. Front. Pharmacol. 2024, 15, 1491633. [Google Scholar] [CrossRef]
- Fernández-Cuadros, M.E.; Casique-Bocanegra, L.O.; Albaladejo-Florín, M.J.; Gómez-Dueñas, S.; Ramos-Gonzalez, C.; Pérez-Moro, O.S. Bilateral levofloxacin-induced achilles tendon rupture: An uncommon case report and review of the literature. Clin. Med. Insights Arthritis Musculoskelet. Disord. 2019, 12, 1179544119835222. [Google Scholar] [CrossRef]
- Van der Linden, P.D.; Sturkenboom, M.C.J.M.; Herings, R.M.C.; Leufkens, H.G.M.; Stricker, B.C. Fluoroquinolones and risk of Achilles tendon disorders: Case-control study. BMJ 2002, 324, 1306–1307. [Google Scholar] [CrossRef]
- Bisaccia, D.R.; Aicale, R.; Tarantino, D.; Peretti, G.M.; Maffulli, N. Biological and chemical changes in fluoroquinolone-associated tendinopathies: A systematic review. Br. Med. Bull. 2019, 130, 39–49. [Google Scholar] [CrossRef]
- van der Vlist, A. Achilles Tendinopathy: Risk Factors, Imaging, and Treatment; Erasmus University Rotterdam: Rotterdam, The Netherlands, 2021. [Google Scholar]
- Ross, R.K.; Kinlaw, A.C.; Herzog, M.M.; Jonsson Funk, M.; Gerber, J.S. Fluoroquinolone antibiotics and tendon injury in adolescents. Pediatrics 2021, 147, e2020033316. [Google Scholar] [CrossRef] [PubMed]
- Pham, T.D.; Ziora, Z.M.; Blaskovich, M.A. Quinolone antibiotics. Medchemcomm 2019, 10, 1719–1739. [Google Scholar] [CrossRef] [PubMed]
- Godoy-Santos, A.L.; Bruschini, H.; Cury, J.; Srougi, M.; de Cesar-Netto, C.; Fonseca, L.F.; Maffulli, N. Fluoroquinolones and the risk of Achilles tendon disorders: Update on a neglected complication. Urology 2018, 113, 20–25. [Google Scholar] [CrossRef] [PubMed]
- Bailey, R.R.; Kirk, J.A.; Peddie, B.A. Norfloxacin-induced rheumatic disease. N. Z. Med. J. 1983, 96, 590. [Google Scholar]
- Baik, S.; Lau, J.; Huser, V.; McDonald, C.J. Association between tendon ruptures and use of fluoroquinolone, and other oral antibiotics: A 10-year retrospective study of 1 million US senior Medicare beneficiaries. BMJ Open 2020, 10, e034844. [Google Scholar] [CrossRef]
- Maffulli, N.; Longo, U.G.; Kadakia, A.; Spiezia, F. Achilles tendinopathy. Foot Ankle Surg. 2020, 26, 240–249. [Google Scholar] [CrossRef]
- Sangiorgio, A.; Sirone, M.; Adravanti, F.M.; Testa, E.A.; Riegger, M.; Filardo, G. Achilles tendon complications of fluoroquinolone treatment: A molecule-stratified systematic review and meta-analysis. EFORT Open Rev. 2024, 9, 581–588. [Google Scholar] [CrossRef]
- Yu, X.; Jiang, D.S.; Wang, J.; Wang, R.; Chen, T.; Wang, K.; Cao, S.; Wei, X. Fluoroquinolone use and the risk of collagen-associated adverse events: A systematic review and meta-analysis. Drug Saf. 2019, 42, 1025–1033. [Google Scholar] [CrossRef]
- Hashimoto, T.; Nobuhara, K.; Hamada, T. Pathologic evidence of degeneration as a primary cause of rotator cuff tear. Clin. Orthop. Relat. Res.® 2003, 415, 111–120. [Google Scholar] [CrossRef]
- Alkaissi, H.; Kolla, S.; Page, C.; Salam, L.; Salifu, M.O.; McFarlane, I.M. Fluoroquinolone-induced rotator cuff tendinopathy: A case report. Am. J. Med. Case Rep. 2021, 9, 122–124. [Google Scholar] [CrossRef]
- Lang, T.R.; Cook, J.; Rio, E.; Gaida, J.E. What tendon pathology is seen on imaging in people who have taken fluoroquinolones? A systematic review. Fundam. Clin. Pharmacol. 2017, 31, 4–16. [Google Scholar] [CrossRef] [PubMed]
- Duman, E.; Müller-Deubert, S.; Pattappa, G.; Stratos, I.; Sieber, S.A.; Clausen-Schaumann, H.; Sarafian, V.; Shukunami, C.; Rudert, M.; Docheva, D. Fluoroquinolone-Mediated Tendinopathy and Tendon Rupture. Pharmaceuticals 2025, 18, 184. [Google Scholar] [CrossRef] [PubMed]
- Fief, C.A.; Hoang, K.G.; Phipps, S.D.; Wallace, J.L.; Deweese, J.E. Examining the impact of antimicrobial fluoroquinolones on human DNA topoisomerase IIα and IIβ. ACS Omega 2019, 4, 4049–4055. [Google Scholar] [CrossRef] [PubMed]
- Gürbay, A.; Garrel, C.; Osman, M.; Richard, M.J.; Favier, A.; Hincal, F.İ.L.İ.Z. Cytotoxicity in ciprofloxacin-treated human fibroblast cells and protection by vitamin E. Hum. Exp. Toxicol. 2002, 21, 635–641. [Google Scholar] [CrossRef]
- Lewis, T.; Cook, J. Fluoroquinolones and tendinopathy: A guide for athletes and sports clinicians and a systematic review of the literature. J. Athl. Train. 2014, 49, 422–427. [Google Scholar] [CrossRef]
- Kilicarslan You, D.; Fuwad, A.; Lee, K.H.; Kim, H.K.; Kang, L.; Kim, S.M.; Jeon, T.J. Evaluation of the protective role of vitamin E against ROS-driven lipid oxidation in model cell membranes. Antioxidants 2024, 13, 1135. [Google Scholar] [CrossRef]
- Rayman, M.P. Selenium intake, status, and health: A complex relationship. Hormones 2020, 19, 9–14. [Google Scholar] [CrossRef]
- Razavi, S.M.; Seghinsara, A.M.; Abedelahi, A.; Salimnejad, R.; Tayefi, H. Effect of Vitamin E and Selenium on Oxidative Stress and Tissue Damages Induced by Electromagnetic Fields in Immature Mice Ovarian. Crescent J. Med. Biol. Sci. 2017, 4, 120–125. [Google Scholar]
- Alahmadi, B.A.; El-Alfy, S.H.; Hemaid, A.M.; Abdel-Nabi, I.M. The protective effects of vitamin E against selenium-induced oxidative damage and hepatotoxicity in rats. J. Taibah Univ. Sci. 2020, 14, 709–720. [Google Scholar] [CrossRef]
- Mukohara, S.; Mifune, Y.; Inui, A.; Nishimoto, H.; Kurosawa, T.; Yamaura, K.; Yoshikawa, T.; Kuroda, R. In vitro and in vivo tenocyte-protective effectiveness of dehydroepiandrosterone against high glucose-induced oxidative stress. BMC Musculoskelet. Disord. 2021, 22, 519. [Google Scholar] [CrossRef]
- Lee, Y.W.; Fu, S.C.; Mok, T.Y.; Chan, K.M.; Hung, L.K. Local administration of Trolox, a vitamin E analog, reduced tendon adhesion in a chicken model of flexor digitorum profundus tendon injury. J. Orthop. Transl. 2017, 10, 102–107. [Google Scholar] [CrossRef] [PubMed]
- Umarje, S.P.; Alexander, C.G.; Cohen, A.J. Ambulatory fluoroquinolone use in the United States, 2015–2019. In Open Forum Infectious Diseases; Oxford University Press: New York, NY, USA, 2021; Volume 8, p. ofab538. [Google Scholar]
- Kuula, L.S.; Backman, J.T.; Blom, M.L. Healthcare costs and mortality associated with serious fluoroquinolone-related adverse reactions. Pharmacol. Res. Perspect. 2022, 10, e00931. [Google Scholar] [CrossRef]
- Rusu, A.; Munteanu, A.-C.; Arbănași, E.-M.; Uivarosi, V. Overview of Side-Effects of Antibacterial Fluoroquinolones: New Drugs versus Old Drugs, a Step Forward in the Safety Profile? Pharmaceutics 2023, 15, 804. [Google Scholar] [CrossRef] [PubMed]
- Systemic and Inhaled Fluoroquinolones: Small Risk of Heart Valve Regurgitation; Consider Other Therapeutic Options First in Patients at Risk. Available online: https://www.gov.uk/drug-safety-update/systemic-and-inhaled-fluoroquinolones-small-risk-of-heart-valve-regurgitation-consider-other-therapeutic-options-first-in-patients-at-risk (accessed on 10 February 2025).
- Movin, T.; Gad, A.; Güntner, P.; Földhazy, Z.; Rolf, C. Pathology of the Achilles tendon in association with ciprofloxacin treat-ment. Foot Ankle Int. 1997, 18, 297–299. [Google Scholar] [CrossRef] [PubMed]
- Sode, J.; Obel, N.; Hallas, J.; Lassen, A. Use of fluoroquinolone and risk of Achilles tendon rupture: A population-based cohort study. Eur. J. Clin. Pharmacol. 2007, 63, 499–503. [Google Scholar] [CrossRef]
- Casparian, J.M.; Luchi, M.; Moffat, R.E.; Hinthorn, D. Quinolones and tendon ruptures. South. Med. J. 2000, 93, 488–491. [Google Scholar] [CrossRef]
- Bennett, A.C.; Bennett, C.L.; Witherspoon, B.J.; Knopf, K.B. An evaluation of reports of ciprofloxacin, levofloxacin, and moxifloxacin-association neuropsychiatric toxicities, long-term disability, and aortic aneurysms/dissections disseminated by the Food and Drug Administration and the European Medicines Agency. Expert Opin. Drug Saf. 2019, 18, 1055–1063. [Google Scholar] [CrossRef]
- Mezu-Ndubuisi, O.J.; Maheshwari, A. The role of integrins in inflammation and angiogenesis. Pediatr. Res. 2021, 89, 1619–1626. [Google Scholar] [CrossRef]
- Popowski, E.; Kohl, B.; Schneider, T.; Jankowski, J.; Schulze-Tanzil, G. Uremic Toxins and Ciprofloxacin Affect Human Tenocytes In Vitro. Int. J. Mol. Sci. 2020, 21, 4241. [Google Scholar] [CrossRef]
- García, M.T.; Valenzuela, M.V.; Ferrándiz, M.J.; de la Campa, A.G. Reactive oxygen species production is a major factor directing the postantibiotic effect of fluoroquinolones in Streptococcus pneumoniae. Antimicrob. Agents Chemother. 2019, 63, 10–1128. [Google Scholar] [CrossRef]
- Shu, Y.; Zhang, Q.; He, X.; Liu, Y.; Wu, P.; Chen, L. Fluoroquinolone-associated suspected tendonitis and tendon rupture: A pharmacovigilance analysis from 2016 to 2021 based on the FAERS database. Front. Pharmacol. 2022, 13, 990241. [Google Scholar] [CrossRef] [PubMed]
- Akali, A.U.; Niranjan, N.S. Management of bilateral Achilles tendon rupture associated with ciprofloxacin: A review and case presentation. J. Plast. Reconstr. Aesthetic Surg. 2008, 61, 830–834. [Google Scholar] [CrossRef] [PubMed]
- Corrao, G.; Zambon, A.; Bertu, L.; Mauri, A.; Paleari, V.; Rossi, C.; Venegoni, M. Evidence of tendinitis provoked by fluoroquinolone treatment: A case-control study. Drug Saf. 2006, 29, 889–896. [Google Scholar] [CrossRef] [PubMed]
- Irby, A.; Gutierrez, J.; Chamberlin, C.; Thomas, S.J.; Rosen, A.B. Clinical management of tendinopathy: A systematic review of systematic reviews evaluating the effectiveness of tendinopathy treatments. Scand. J. Med. Sci. Sports 2020, 30, 1810–1826. [Google Scholar] [CrossRef]
- Desouza, C.; Dubey, R.; Shetty, V. Platelet-rich plasma in chronic Achilles tendinopathy. Eur. J. Orthop. Surg. Traumatol. 2023, 33, 3255–3265. [Google Scholar] [CrossRef]
- Challoumas, D.; Zouvani, A.; Creavin, K.; Murray, E.; Crosbie, G.; Ng, N.; Millar, N.L. Determining minimal important differences for patient-reported outcome measures in shoulder, lateral elbow, patellar and Achilles tendinopathies using distribution-based methods. BMC Musculoskelet. Disord. 2023, 24, 158. [Google Scholar] [CrossRef]
- López-Royo, M.P.; Ríos-Díaz, J.; Galán-Díaz, R.M.; Herrero, P.; Gómez-Trullén, E.M. A comparative study of treatment interventions for patellar tendinopathy: A randomized controlled trial. Arch. Phys. Med. Rehabil. 2021, 102, 967–975. [Google Scholar] [CrossRef]
- Macdermid, J.C.; Silbernagel, K.G. Outcome Evaluation in Tendinopathy: Foundations of Assessment and a Summary of Selected Measures. J. Orthop. Sports Phys. Ther. 2015, 45, 950–964. [Google Scholar] [CrossRef]
- Robinson, J.M.; Cook, J.L.; Purdam, C.; Visentini, P.J.; Ross, J.; Maffulli, N.; Taunton, J.E.; Khan, K.M. The VISA-A questionnaire: A valid and reliable index of the clinical severity of Achilles tendinopathy. Br. J. Sports Med. 2001, 35, 335–341. [Google Scholar] [CrossRef]
- Lagas, I.F.; van der Vlist, A.C.; van Oosterom, R.F.; van Veldhoven, P.L.; Reijman, M.; Verhaar, J.A.; De Vos, R.J. Victorian Institute of Sport Assessment-Achilles (VISA-A) questionnaire—Minimal clinically important difference for active people with midportion Achilles tendinopathy: A prospective cohort study. J. Orthop. Sports Phys. Ther. 2021, 51, 510–516. [Google Scholar] [CrossRef]
- Korakakis, V.; Kotsifaki, A.; Stefanakis, M.; Sotiralis, Y.; Whiteley, R.; Thorborg, K. Evaluating lower limb tendinopathy with Victorian Institute of Sport Assessment (VISA) questionnaires: A systematic review shows very-low-quality evidence for their content and structural validity—Part I. Knee Surg. Sports Traumatol. Arthrosc. 2021, 29, 2749–2764. [Google Scholar] [CrossRef] [PubMed]
- Murphy, M.C.; McCleary, F.; Hince, D.; Chimenti, R.; Chivers, P.; Vosseller, J.T.; Nimphius, S.; Mkumbuzi, N.S.; Malliaras, P.; Maffulli, N.; et al. TENDINopathy Severity assessment–Achilles (TENDINS-A): Evaluation of reliability and validity in accordance with COSMIN recommendations. Br. J. Sports Med. 2024, 58, 665–673. [Google Scholar] [CrossRef] [PubMed]
- Zu, K.; Ip, C. Synergy between selenium and vitamin E in apoptosis induction is associated with activation of distinctive initiator caspases in human prostate cancer cells. Cancer Res. 2003, 63, 6988–6995. [Google Scholar] [PubMed]
- Okebukola, P.O.; Kansra, S.; Barrett, J. Vitamin E supplementation in people with cystic fibrosis. Cochrane Database Syst. Rev. 2020, 2020, CD009422. [Google Scholar]
- Greenwald, D.; Mass, D.; Gottlieb, L.; Tuel, R. Biomechanical analysis of intrinsic tendon healing in vitro and the effects of vitamins A and E. Plast. Reconstr. Surg. 1991, 87, 925–930. [Google Scholar] [CrossRef]
- Zakeri, N.; Asbaghi, O.; Naeini, F.; Afsharfar, M.; Mirzadeh, E.; kasra Naserizadeh, S. Selenium supplementation and oxidative stress: A review. PharmaNutrition 2021, 17, 100263. [Google Scholar] [CrossRef]
- Mahmood, N.; Hameed, A.; Hussain, T. Vitamin E and Selenium Treatment Alleviates Saline Environment-Induced Oxidative Stress through Enhanced Antioxidants and Growth Performance in Suckling Kids of Beetal Goats. Oxidative Med. Cell. Longev. 2020, 2020, 4960507. [Google Scholar] [CrossRef]
- National Academies of Sciences, Engineering, and Medicine. Dietary Reference Intakes for Vitamin C, Vitamin E, Selenium, and Carotenoids; The National Academies Press: Washington, DC, USA, 2000. [Google Scholar] [CrossRef]
- Burton, G.W.; Traber, M.G.; Acuff, R.V.; Walters, D.N.; Kayden, H.; Hughes, L.; Ingold, K.U. Human plasma and tissue alpha-tocopherol concentrations in response to supplementation with deuterated natural and synthetic vitamin E. Am. J. Clin. Nutr. 1998, 67, 669–684. [Google Scholar] [CrossRef]
- Yang, H.; Jia, X. Safety evaluation of Se-methylselenocysteine as nutritional selenium supplement: Acute toxicity, genotoxicity and subchronic toxicity. Regul. Toxicol. Pharmacol. 2014, 70, 720–727. [Google Scholar] [CrossRef]
- Thomson, C.D. Assessment of requirements for selenium and adequacy of selenium status: A review. Eur. J. Clin. Nutr. 2004, 58, 391–402. [Google Scholar] [CrossRef]
- Åström, M.; Thet Lwin, Z.M.; Teni, F.S.; Burström, K.; Berg, J. Use of the visual analogue scale for health state valuation: A scoping review. Qual. Life Res. 2023, 32, 2719–2729. [Google Scholar] [CrossRef] [PubMed]
- Huruba, M.; Farcas, A.; Leucuta, D.C.; Bucsa, C.; Sipos, M.; Mogosan, C. A VigiBase descriptive study of fluoroquinolone induced disabling and potentially permanent musculoskeletal and connective tissue disorders. Sci. Rep. 2021, 11, 14375. [Google Scholar] [CrossRef] [PubMed]
- Choi, J.Y.; Suh, J.S. A novel technique of minimally invasive calcaneal osteotomy for intractable insertional Achilles tendinopathy associated with Haglund deformity. Foot Ankle Surg. Off. J. Eur. Soc. Foot Ankle Surg. 2022, 28, 578–583. [Google Scholar] [CrossRef] [PubMed]
- Risch, L.; Stoll, J.; Schomöller, A.; Engel, T.; Mayer, F.; Cassel, M. Intraindividual Doppler Flow Response to Exercise Differs Between Symptomatic and Asymptomatic Achilles Tendons. Front. Physiol. 2021, 12, 617497. [Google Scholar] [CrossRef]






| Characteristic | Control Group C | Experimental Group ES |
|---|---|---|
| Number of patients | 10 | 15 |
| Number of males/females | 4/6 | 4/11 |
| Patients from rural/urban area | 3/7 | 2/13 |
| Age | 44.80 ± 11.73 years | 47.20 ± 10.26 years |
| Achilles tendon thickness | 4.32 ± 0.46 mm | 4.49 ± 0.48 mm |
| Serum Concentration at Induction (Baseline) | Serum Concentration at 28 Days of Supplementation | Reference Values of the Laboratory for General Population | |
|---|---|---|---|
| Vitamin E (****) | 14.57 ± 3.83 mg/L 14.57 ± 0.99 mg/L | 23.53 ± 3.38 mg/L 23.53 ± 0.87 mg/L | 5.00–20.00 mg/L |
| Selenium (****) | 95.90 ± 9.80 µg/L 95.90 ± 2.53 µg/L | 115.86 ± 7.57 µg/L 115.86 ± 1.96 µg/L | 23.00–190.00 µg/L |
| Achilles Tendon Thickness (Left Leg) [mm] | Achilles Tendon Thickness (Right Leg) [mm] | |
|---|---|---|
| Induction | ||
| Group C | 4.327 ± 0.502 | 4.313 ± 0.4389 |
| Group ES | 4.500 ± 0.5907 | 4.480 ± 0.3676 |
| Day 8 | ||
| Group C | 5.173 ± 1.529 | 4.693 ± 0.7488 |
| Group ES | 5.470 ± 1.105 | 5.170 ± 0.7439 |
| 3 Months | ||
| Group C | 5.100 ± 1.144 | 5.100 ± 1.313 |
| Group ES | 5.830 ± 1.643 | 5.310 ± 0.7340 |
| Nonparametric Spearman Correlation p-Value | |||
|---|---|---|---|
| Group C | Group ES | All Patients | |
| VAS | <0.0001 (****) | 0.0005 (***) | <0.0001 (****) |
| VISA-A | 0.0118 (*) | <0.0001 (****) | <0.0001 (****) |
Disclaimer/Publisher’s Note: The statements, opinions and data contained in all publications are solely those of the individual author(s) and contributor(s) and not of MDPI and/or the editor(s). MDPI and/or the editor(s) disclaim responsibility for any injury to people or property resulting from any ideas, methods, instructions or products referred to in the content. |
© 2025 by the authors. Licensee MDPI, Basel, Switzerland. This article is an open access article distributed under the terms and conditions of the Creative Commons Attribution (CC BY) license (https://creativecommons.org/licenses/by/4.0/).
Share and Cite
Mișcă, O.-M.; Mișcă, L.-C.; Huzum, B.; Neamţu, A.-A.; Cerbu, S.; Chioibaș, D.-R.; Crăiniceanu, P.Z.; Motoc, A.G.M. A Prospective Randomized Pilot Study on the Efficacy of a Dietary Supplementation Regimen of Vitamin E and Selenium for the Prevention of Fluoroquinolone-Induced Tendinopathy. Pharmaceuticals 2025, 18, 575. https://doi.org/10.3390/ph18040575
Mișcă O-M, Mișcă L-C, Huzum B, Neamţu A-A, Cerbu S, Chioibaș D-R, Crăiniceanu PZ, Motoc AGM. A Prospective Randomized Pilot Study on the Efficacy of a Dietary Supplementation Regimen of Vitamin E and Selenium for the Prevention of Fluoroquinolone-Induced Tendinopathy. Pharmaceuticals. 2025; 18(4):575. https://doi.org/10.3390/ph18040575
Chicago/Turabian StyleMișcă, Oana-Maria, Liviu-Coriolan Mișcă, Bogdan Huzum, Andreea-Adriana Neamţu, Simona Cerbu, Daniel-Raul Chioibaș, Petrișor Zorin Crăiniceanu, and Andrei Gheorghe Marius Motoc. 2025. "A Prospective Randomized Pilot Study on the Efficacy of a Dietary Supplementation Regimen of Vitamin E and Selenium for the Prevention of Fluoroquinolone-Induced Tendinopathy" Pharmaceuticals 18, no. 4: 575. https://doi.org/10.3390/ph18040575
APA StyleMișcă, O.-M., Mișcă, L.-C., Huzum, B., Neamţu, A.-A., Cerbu, S., Chioibaș, D.-R., Crăiniceanu, P. Z., & Motoc, A. G. M. (2025). A Prospective Randomized Pilot Study on the Efficacy of a Dietary Supplementation Regimen of Vitamin E and Selenium for the Prevention of Fluoroquinolone-Induced Tendinopathy. Pharmaceuticals, 18(4), 575. https://doi.org/10.3390/ph18040575

