Sign in to use this feature.

Years

Between: -

Subjects

remove_circle_outline
remove_circle_outline
remove_circle_outline
remove_circle_outline
remove_circle_outline

Journals

Article Types

Countries / Regions

Search Results (25)

Search Parameters:
Keywords = anthocyanin degradation enzyme activities

Order results
Result details
Results per page
Select all
Export citation of selected articles as:
19 pages, 10222 KB  
Article
Molecular Hydrogen Improves Blueberry Main Fruit Traits via Metabolic Reprogramming
by Longna Li, Jiaxin Gong, Ke Jiang, Liqin Huang, Lijun Gan, Yan Zeng, Xu Cheng, Didier Pathier and Wenbiao Shen
Plants 2025, 14(14), 2137; https://doi.org/10.3390/plants14142137 - 10 Jul 2025
Viewed by 1014
Abstract
Fruit yield and quality improvement are challenges for researchers and farmers. This study reveals that the main fruit traits of blueberry (Vaccinium ashei ‘Bluegem’) were significantly improved after hydrogen (H2)-based irrigation, assessed by the increased single fruit weight (14.59 ± [...] Read more.
Fruit yield and quality improvement are challenges for researchers and farmers. This study reveals that the main fruit traits of blueberry (Vaccinium ashei ‘Bluegem’) were significantly improved after hydrogen (H2)-based irrigation, assessed by the increased single fruit weight (14.59 ± 6.66%) and fruit equatorial diameter (4.19 ± 2.39%), decreased titratable acidity, increased solid–acid and sugar–acid ratios. The enhancement of fruit quality was confirmed by the increased total volatiles, vitamin C contents, and antioxidant capacity. Using weighted protein co-expression network analysis (WPCNA), proteomic interrogation revealed that serine carboxypeptidase-like proteins I/II (SCPLI/II), ADP ribosylation factor 1/2 (ARF1/2), and UDP-glucosyltransferase 85A (UGT85A) might be functionally associated with the increased fruit weight and size driven by H2. Reduced organic acid accumulation was caused by the regulation of the specific enzymes involved in sucrose metabolism (e.g., α-amylase, endoglucanase, β-glucosidase, etc.). H2 regulation of fatty acid degradation (e.g., acyl CoA oxidase 1 (ACX1), acetyl CoA acyltransferase 1 (ACAA1), etc.) and phenylpropanoid metabolism were used to explain the improved fruit aroma and anthocyanin accumulation. Meanwhile, the upregulated heat shock protein 20/70 matched with the enhanced antioxidant activity. Together, this study provides a novel approach for yield and quality improvement in horticultural crops. Full article
Show Figures

Figure 1

22 pages, 18796 KB  
Article
Genome-Wide Identification and Characterization of the Class III Peroxidase Gene Family in Radish (Raphanus sativus) with Insights into Their Roles in Anthocyanin Metabolism
by Zihao Wei, Weimin Fu, Xianxian Liu, Wenling Xu, Lichun Chang, Chen Liu and Shufen Wang
Int. J. Mol. Sci. 2025, 26(13), 5917; https://doi.org/10.3390/ijms26135917 - 20 Jun 2025
Viewed by 1075
Abstract
Class III peroxidases (PODs) are plant-specific enzymes that play crucial roles in plant growth, development and responses to stress. However, the POD gene family in the radish (Raphanus sativus L.) has not been comprehensively investigated to date. In this study, a total [...] Read more.
Class III peroxidases (PODs) are plant-specific enzymes that play crucial roles in plant growth, development and responses to stress. However, the POD gene family in the radish (Raphanus sativus L.) has not been comprehensively investigated to date. In this study, a total of 95 RsPODs were identified in the radish genome, which were classified into six subgroups based on a phylogenetic analysis. The gene structures and conserved motifs of the RsPODs were highly conserved within each subgroup. An intraspecific collinearity analysis revealed 7 tandem and 40 segmental duplication events. An expression analysis across diverse tissues and developmental stages demonstrated that the RsPODs were functionally involved in radish development. Using a chimeric-colored radish mutant, this study revealed significantly higher POD activity in the green tissues compared to purple tissues. Through transcriptome sequencing, two RsPOD genes (RsPOD14 and RsPOD28) were identified as candidate genes related to the anthocyanin metabolism. Our study provides a genome-wide perspective on the RsPOD genes in the radish and highlights their potential roles in the anthocyanin metabolism. These findings establish a critical foundation for future research aimed at uncovering the functional roles of specific RsPOD genes, with a particular emphasis on elucidating the molecular mechanisms that regulate anthocyanin degradation in the radish. Full article
(This article belongs to the Section Molecular Genetics and Genomics)
Show Figures

Figure 1

17 pages, 6457 KB  
Article
Gene Expression and Enzyme Kinetics of Polyphenol Oxidases in Strawberry and Their Possible Involvement in Enzymatic Browning Reactions in Strawberry Nectar
by Alberto Zavarise, Ibrahim Rabeeah, Christian Molitor, Mahboubeh Davoudi Pahnekolayi, Viktoria Gruber-Schmidt, Andrea Winter, Klaus Olbricht, Christian Haselmair-Gosch, Karl Stich, Manfred Goessinger and Heidi Halbwirth
Foods 2025, 14(12), 2064; https://doi.org/10.3390/foods14122064 - 11 Jun 2025
Cited by 2 | Viewed by 2515
Abstract
The browning of fruit juices and nectars is a common issue in the beverage industry and is a particular problem in strawberry nectars, where it significantly reduces the shelf-life. Polyphenol oxidases (PPOs), which are multicopper enzymes responsible for the oxidation of a wide [...] Read more.
The browning of fruit juices and nectars is a common issue in the beverage industry and is a particular problem in strawberry nectars, where it significantly reduces the shelf-life. Polyphenol oxidases (PPOs), which are multicopper enzymes responsible for the oxidation of a wide plethora of polyphenols in plants, have been widely assumed to be involved in the enzymatic browning of strawberry nectar. To investigate the possible involvement of PPOs, the substrate specificity of four recombinant PPOs and their gene expression pattern in 10 cultivars of Fragaria × ananassa at five ripening stages were determined. This allowed us to obtain adequate amounts of enzymes to study them independently and without interfering matrix effects. All four PPOs possess monophenolase activity, which was particularly high for PPO4. PPO3 did not show sufficient stability for the kinetic studies. The other three showed a high preference for the flavan 3-ol catechin with a 2-fold higher catalytic efficiency compared to dopamine for PPO1 and PPO2. At a neutral pH, they also showed activity with cyanidin but not with pelargonidin, which is the prevalent anthocyanidin type in strawberry. The enzymes showed a high affinity but only low turnover rates for the dihydrochalcone phloretin, resulting in an inhibitory effect that was strong enough to extend the shelf-life of the strawberry nectar by one week if phloretin was added in high concentrations (600 µM). PPO1 and PPO2 were prevalently expressed in all fruit stages. The gene expression of the four PPOs did not correlate with the color stability of the nectars of the 10 varieties and also showed a random expression pattern during fruit development. The limited activity in acidic conditions and the low substrate specificity for pelargonidin does not point to a crucial role for PPOs in the browning of strawberry nectar, but the high catalytic efficiency with catechin as a substrate could contribute to anthocyanin degradation via mechanisms such as copolymerization. Full article
(This article belongs to the Section Food Packaging and Preservation)
Show Figures

Figure 1

21 pages, 3531 KB  
Article
Preservation of Anthocyanins in Postharvest Grapes Through Carboxymethyl Chitosan Films Containing Citrus Essential Oil Emulsion via Enzymatic Regulation
by Xinye Wu, Haiying Wang, Yuan Zhou, Wei Xi, Yiqin Zhang, Shanshan Li, Jiaying Tang, Suqing Li, Qing Zhang, Yaowen Liu, Jingming Li, Mingrui Chen and Wen Qin
Foods 2025, 14(12), 2015; https://doi.org/10.3390/foods14122015 - 6 Jun 2025
Cited by 1 | Viewed by 1009
Abstract
Carboxymethyl chitosan (CMCS) exhibits excellent film-forming capability but suffers from limited water resistance. To enhance hydrophobicity and antimicrobial properties, citrus essential oil was emulsified directly with citrus pectin and dispersed into the CMCS matrix. This study investigated the effects of varying emulsion concentrations [...] Read more.
Carboxymethyl chitosan (CMCS) exhibits excellent film-forming capability but suffers from limited water resistance. To enhance hydrophobicity and antimicrobial properties, citrus essential oil was emulsified directly with citrus pectin and dispersed into the CMCS matrix. This study investigated the effects of varying emulsion concentrations (0, 1, 3, 5, and 7 wt%) on film performance. FT-IR, XRD, and SEM analyses confirmed uniform emulsion distribution within the CMCS matrix with favorable compatibility. Increased emulsion loading improved water resistance, antioxidant activity, and antimicrobial efficacy of the CMCS-based films, with the 3% emulsion concentration achieving optimal mechanical strength (TS: 4.09 MPa, EAB: 144.47%) and water vapor permeability (1.30 × 10−10 g·m·(Pa·s·m2)−1). Applied to grape preservation, the films significantly delayed quality deterioration of grapes. Furthermore, by modulating the activity of enzymes involved in anthocyanin metabolism, the films could effectively extend the shelf life of grapes by suppressing the oxidative degradation of anthocyanins. Full article
Show Figures

Figure 1

19 pages, 1728 KB  
Article
Pomegranate Juices: Analytical and Bio-Toxicological Comparison of Pasteurization and High-Pressure Processing in the Development of Healthy Products
by Francesco Cairone, Stefania Cesa, Irene Arpante, Simonetta Cristina Di Simone, Alejandro Han Mendez, Claudio Ferrante, Luigi Menghini, Antonello Filippi, Caterina Fraschetti, Gokhan Zengin, Simone Carradori, Marialucia Gallorini, Luisa Mannina and Mattia Spano
Foods 2025, 14(2), 315; https://doi.org/10.3390/foods14020315 - 18 Jan 2025
Cited by 2 | Viewed by 3053
Abstract
Two different produced and packaged commercial typologies of pomegranate juice were analyzed for their physicochemical, nutritional, and biological properties. The effects of classical pasteurization (PJ) and high-pressure processing (HP), applied during the productive cycle, were evaluated through several advanced analytical methods, such as [...] Read more.
Two different produced and packaged commercial typologies of pomegranate juice were analyzed for their physicochemical, nutritional, and biological properties. The effects of classical pasteurization (PJ) and high-pressure processing (HP), applied during the productive cycle, were evaluated through several advanced analytical methods, such as CIEL*a*b* colorimetry, HPLC-DAD, DI-ESI-MS and MS/MS, and NMR analyses. Moreover, the exerted biological activity of the two pomegranate juices was monitored through Total Phenolic and Total Flavonoid Contents, antiradical, antioxidant and chelating activity. The potential inhibition of key enzymes of degenerative processes (cholinesterases, tyrosinase) and diabetes (amylase, glucosidase), the allelopathy toward Cichorium intybus, Dicondra repens, and Diplotaxis tenuifolia, and the in vivo toxicity on brine shrimp were also evaluated. The two different applied processing techniques analyzed impacted the bioactive compound’s preservation differently, modifying the phytocomplex profile. HP significantly degrades punicalins and punicalagins, better preserving anthocyanins, if compared to PJ’s impact. Sensory qualities, antioxidant activity, enzymatic inhibition, and ecotoxicological potential were differently impacted by the two applied processes. The obtained results can be beneficial for finding the optimal processing conditions that balance microbial safety with nutritional value preservation, contributing to the development of healthy pomegranate juice products. Full article
Show Figures

Figure 1

13 pages, 2187 KB  
Article
Defense Mechanisms of Xylopia aromatica (Lam.) Mart. in the Dry Season in the Brazilian Savanna
by Felipe Campos, Maria Vieira, Marília Sousa, Letícia Jorge, Gisela Ferreira, Marcia Marques and Carmen Boaro
Life 2024, 14(11), 1416; https://doi.org/10.3390/life14111416 - 2 Nov 2024
Viewed by 1359
Abstract
Water availability and light during the dry and rainy seasons in the Cerrado may influence plants’ stomatal movement and the entry of CO2 for organic synthesis, which is the main electron drain. A lower stomatal conductance may contribute to the energy accumulated [...] Read more.
Water availability and light during the dry and rainy seasons in the Cerrado may influence plants’ stomatal movement and the entry of CO2 for organic synthesis, which is the main electron drain. A lower stomatal conductance may contribute to the energy accumulated in the chloroplasts being directed towards the synthesis of compounds, which contributes to the activity of antioxidant enzymes to neutralize reactive oxygen species. Xylopia aromatica is a characteristic Cerrado species, and it is often recommended for recovering degraded areas. This study aimed to investigate the influence of the dry and rainy seasons on the metabolic adjustments of Xylopia aromatica in a portion of the Brazilian savanna in the state of São Paulo. In the rainy season, better photosynthetic performance led to greater investment in essential oil production. In the dry season, the plants may direct part of their reducing sugars to the syntheses of carotenoids and anthocyanins, which may help the antioxidant enzymes to neutralize reactive oxygen species. Carotenoids assist in the dissipation of photosystem energy, which has the potential to cause oxidative stress. During this season, lower stomatal conductance prevented excessive water loss. These results suggest the acclimatization of this species to the conditions of the Brazilian savanna. Full article
Show Figures

Figure 1

16 pages, 6872 KB  
Article
Salicylic Acid Treatment Ameliorates Postharvest Quality Deterioration in ‘France’ Prune (Prunus domestica L. ‘Ximei’) Fruit by Modulating the Antioxidant System
by Xinling Zhang, Yuxing Liu, Weida Zhang, Wanting Yang, Shuaibing An, Minrui Guo and Guogang Chen
Foods 2024, 13(18), 2871; https://doi.org/10.3390/foods13182871 - 10 Sep 2024
Cited by 16 | Viewed by 2978
Abstract
The potential of salicylic acid (SA) in delaying postharvest fruit senescence has been extensively documented; nevertheless, its effect on antioxidant activity and quality of ‘France’ prune fruit is largely unknown. The study investigated the effects of SA (0.5 mM) on postharvest quality deterioration [...] Read more.
The potential of salicylic acid (SA) in delaying postharvest fruit senescence has been extensively documented; nevertheless, its effect on antioxidant activity and quality of ‘France’ prune fruit is largely unknown. The study investigated the effects of SA (0.5 mM) on postharvest quality deterioration of ‘France’ prune fruit. Results indicated that SA impeded the increase in respiration rate and weight loss, and mitigated the decrease of soluble solids content (SSC), titratable acidity (TA) content, firmness, and hue angle. SA sustained the ascorbate-glutathione cycle by inducing the production of ascorbic acid (AsA) and glutathione (GSH) and attenuates flavonoids, total phenols, and anthocyanins degradation by inhibiting polyphenol oxidase (PPO) activity and PdPPO. Moreover, SA significantly improved superoxide dismutase (SOD), catalase (CAT), ascorbate peroxidase (APX), peroxidase (POD), and glutathione reductase (GR) activities and gene expression levels, sustained higher 2,2′-Azinobis-(3-ethylbenzthiazoline-6-sulphonate) (ABTS) and 1,1-diphenyl-2-picryl-hydrazyl (DPPH) free radical scavenging capacity, ferric reducing antioxidant power (FRAP), and hydroxyl radical (·OH) inhibition capacity, and impeded the production of hydrogen peroxide (H2O2) and superoxide anion (O2•−). Overall, SA improved the antioxidant capacity by inducing the synthesis of defense response-related substances and promoting antioxidant enzyme activities to sustain the storage quality of ‘France’ prune fruit. Full article
Show Figures

Figure 1

13 pages, 2859 KB  
Article
Production of Anthocyanin-Rich Red Rose Petal Extract by Enzymatic Maceration
by Bernardo Dias Ribeiro, Rachel de Moraes Ferreira, Liliana Areia Bastos Coelho and Daniel Weingart Barreto
Biomass 2024, 4(2), 429-441; https://doi.org/10.3390/biomass4020021 - 10 May 2024
Cited by 4 | Viewed by 4953
Abstract
The use of enzymes to hydrolyze the plant cell matrix is a method known for extracting bioactive substances. The current work used this strategy to produce a rose petal extract rich in anthocyanins that is stable in the presence of marine polysaccharides and [...] Read more.
The use of enzymes to hydrolyze the plant cell matrix is a method known for extracting bioactive substances. The current work used this strategy to produce a rose petal extract rich in anthocyanins that is stable in the presence of marine polysaccharides and has a high antioxidant activity. The process evaluation was carried out sequentially, initially comparing water, ethanol, and their mixtures to anthocyanins extracted in the presence or absence of enzymes. Then, a multi-objective desirability function optimized experimental conditions such as solvent and enzyme concentrations. This study is the first report describing the use of a statistical tool, the central composite rotatable design (CCRD), to optimize anthocyanin extraction from rose petals. This method obtained a maximum extraction of 9.99 mg/g of phenols. The stability of the rose petal extract when using marine polysaccharides retained 60% of the anthocyanins over 28 days without deterioration when protected from sunlight but was practically degraded upon exposure to sunlight. The rose petal extract demonstrated a very high antioxidant capacity of 3.19 μg/mL, close to the literature data for citrus compounds, known to be high in antioxidant compounds for cosmetic food purposes. Full article
Show Figures

Figure 1

14 pages, 1674 KB  
Article
Phenolic Compounds Stability of Grumixama (Eugenia brasiliensis) Juice during Processing and Storage
by Elivaldo Nunes Modesto Junior, Rosane Patricia Ferreira Chaves, Mayara Galvão Martins, Gustavo Araujo Pereira, Renan Campos Chisté and Rosinelson da Silva Pena
Beverages 2023, 9(4), 91; https://doi.org/10.3390/beverages9040091 - 7 Nov 2023
Cited by 7 | Viewed by 3162
Abstract
Grumixama is an anthocyanin-rich berry commonly found in South America, yet not widely consumed by Brazilians due to the lack of studies covering its technological properties. Therefore, the stability of anthocyanins and the activity of oxidoreductase enzymes in grumixama juice during thermal treatment [...] Read more.
Grumixama is an anthocyanin-rich berry commonly found in South America, yet not widely consumed by Brazilians due to the lack of studies covering its technological properties. Therefore, the stability of anthocyanins and the activity of oxidoreductase enzymes in grumixama juice during thermal treatment (60 °C to 100 °C) and storage (at 25 °C and 7 °C) were evaluated. As a result, the pasteurization of grumixama juice at 80 °C for 60 s completely inactivated peroxidase (POD) and polyphenol oxidase (PPO), eliminated microorganisms, and induced low degradation of the total anthocyanins (40%) and minimal degradation of the total phenolic compounds. Four anthocyanins were monitored in the pasteurized juice, namely delphinidin 3-glucoside, cyanidin 3-glucoside, and two unidentified anthocyanins. Despite the temperature range, the qualitative chromatographic profile of the anthocyanins did not change, while the contents were affected. The binominal temperature/time of 80 °C/60 s effectively inactivated PPO and POD enzymes, promoted moderate alterations in the contents of total anthocyanins and total phenolic compounds, and ensured the microbiological quality of grumixama juice. Grumixama juice can be used as a health food due to its high content of antioxidant phenolic compounds, especially anthocyanins. Full article
(This article belongs to the Topic Processing and Nutrition of Fruit and Vegetable Juice)
Show Figures

Graphical abstract

19 pages, 2292 KB  
Review
Pharmacological Activities and Chemical Stability of Natural and Enzymatically Acylated Anthocyanins: A Comparative Review
by Jimena Yañez-Apam, Astrid Domínguez-Uscanga, Azucena Herrera-González, Jonhatan Contreras, Luis Mojica, Gail Mahady and Diego A. Luna-Vital
Pharmaceuticals 2023, 16(5), 638; https://doi.org/10.3390/ph16050638 - 23 Apr 2023
Cited by 7 | Viewed by 5881
Abstract
Anthocyanins (ANCs) are naturally occurring water-soluble pigments responsible for conferring red, blue, and purple colors to fruits, vegetables, flowers, and grains. Due to their chemical structure, they are highly susceptible to degradation by external factors, such as pH, light, temperature, and oxygen. Naturally [...] Read more.
Anthocyanins (ANCs) are naturally occurring water-soluble pigments responsible for conferring red, blue, and purple colors to fruits, vegetables, flowers, and grains. Due to their chemical structure, they are highly susceptible to degradation by external factors, such as pH, light, temperature, and oxygen. Naturally acylated anthocyanins have proven to be more stable in response to external factors and exhibit superior biological effects as compared with their non-acylated analogues. Therefore, synthetic acylation represents a viable alternative to make the application of these compounds more suitable for use. Enzyme-mediated synthetic acylation produces derivatives that are highly similar to those obtained through the natural acylation process, with the main difference between these two pathways being the catalytic site of the enzymes involved in the synthesis; acyltransferases catalyze natural acylation, while lipases catalyze synthetic acylation. In both cases, their active sites perform the addition of carbon chains to the hydroxyl groups of anthocyanin glycosyl moieties. Currently, there is no comparative information regarding natural and enzymatically acylated anthocyanins. In this sense, the aim of this review is to compare natural and enzyme-mediated synthetic acylated anthocyanins in terms of chemical stability and pharmacological activity with a focus on inflammation and diabetes. Full article
(This article belongs to the Section Natural Products)
Show Figures

Figure 1

16 pages, 3630 KB  
Article
Juvenile Leaf Color Changes and Physiological Characteristics of Acer tutcheri (Aceraceae) during the Spring Season
by Yating Xie, Nancai Pei, Zezhou Hao, Zhaowan Shi, Lei Chen, Baoying Mai, Qunhui Liu, Jiajie Luo, Mingdao Luo and Bing Sun
Forests 2023, 14(2), 328; https://doi.org/10.3390/f14020328 - 7 Feb 2023
Cited by 6 | Viewed by 2812
Abstract
Leaf color is a key trait that determines the ornamental quality of landscape tree species such as Acer tutcheri, and anthocyanin is the main pigment for red leaf coloration. Red leaf fading significantly reduces the ornamental value of A. tutcheri leaves in [...] Read more.
Leaf color is a key trait that determines the ornamental quality of landscape tree species such as Acer tutcheri, and anthocyanin is the main pigment for red leaf coloration. Red leaf fading significantly reduces the ornamental value of A. tutcheri leaves in the spring; however, the physiological mechanism that causes red leaf discoloration in this species is still unclear. Only the anabolic or degradative metabolism of anthocyanin has been studied in terms of leaf color changes. In this study, leaves from four color-change stages of A. tutcheri during the spring were selected by the average sampling method, which involves measuring and analyzing the pigment content and physiological factors related to anthocyanin metabolism, aiming to clarify the key physiological factors of spring leaf coloration. Our results show that the reduced anthocyanin/chlorophyll ratio was the direct cause of red leaf fading in spring. The carbohydrates synthesized during the growth of juvenile leaves were mainly used for their growth and development, whereas fewer carbon sources were used for the synthesis of anthocyanin. Phenylalanine ammonia-lyase and chalcone isomerase activities increased in the early stages of juvenile leaf development and decreased in the middle and late stages, whereas peroxidase activity continued to increase. The decrease in anthocyanin synthesis-related enzyme activity reduced the accumulation of anthocyanin, whereas the increase in anthocyanin degradation-related enzyme activity accelerated the depletion of anthocyanin. Increasing vacuole pH was a major factor in the degradation of anthocyanin. The physiological characteristics of A. tutcheri leaves during the spring season suggest that anthocyanin is a key factor affecting the presentation of color in juvenile leaves, and red leaf fading in the spring of A. tutcheri is the result of the joint effect of the decrease in anthocyanin anabolic metabolism and the increase in anthocyanin degradative metabolism. Full article
(This article belongs to the Topic Urban Forestry and Sustainable Environments)
Show Figures

Figure 1

16 pages, 3192 KB  
Article
Regulation of Cell Wall Degradation and Energy Metabolism for Maintaining Shelf Quality of Blueberry by Short-Term 1-Methylcyclopropene Treatment
by Han Yan, Rui Wang, Ning Ji, Jiangkuo Li, Chao Ma, Jiqing Lei, Liangjie Ba, Guangzhong Wen and Xiaobo Long
Agronomy 2023, 13(1), 46; https://doi.org/10.3390/agronomy13010046 - 23 Dec 2022
Cited by 6 | Viewed by 2665
Abstract
In order to study a short-term and efficient technology by 1-methylcyclopropene (1-MCP) in blueberry, the fruit was treated with 0, 0.5, 1 and 3 μL/L 1-MCP for 2 h then stored at 25 ± 1 °C with 40–50% relative humidity (RH) for 9 [...] Read more.
In order to study a short-term and efficient technology by 1-methylcyclopropene (1-MCP) in blueberry, the fruit was treated with 0, 0.5, 1 and 3 μL/L 1-MCP for 2 h then stored at 25 ± 1 °C with 40–50% relative humidity (RH) for 9 d. The weight loss, decay incidence, respiration rate, firmness, soluble solid content (SSC), titratable acid (TA), Brix-acid ratio (BAR), sensory evaluation, content of cell wall polysaccharide, activities of cell wall composition-related enzymes and energy metabolism in blueberry were determined during shelf life. The results showed that the weight loss, decay incidence and respiration rate were reduced by 3 μL/L 1-MCP treatment. Compared to other groups, the firmness, the content of TA and anthocyanins were maintained in 3 μL/L 1-MCP-treated blueberry. In contrast, the SSC and BAR were lower compared to those untreated. However, the sensory evaluation of “taste” and “aroma” value showed no differences in all fruits. The content of protopectin, cellulose and hemicellulose was higher in 1-MCP-treated blueberry, accompanied by a decrease in polygalacturonase (PG) and pectin methyl esterase (PME) activity. The content of water-soluble pectin (WSP) was lower in 1-MCP-treated blueberry than untreated ones. The activity of phenylalanine ammonia lyase (PAL), peroxidase (POD), cinnamyl alcohol dehydrogenase (CAD) and 4-coumarate-CoA ligase (4CL) was higher in 1-MCP-treated blueberry than the untreated, which induced more serious lignification. The results of energy metabolism also showed that the 1-MCP treatment could ensure sufficient intracellular energy supply. The 3 μL/L 1-MCP treatment could maintain the shelf quality and retard decomposition of cell wall polysaccharide by ensuring sufficient intracellular energy supply and inhibiting cell wall-degrading enzymes activity. Taken together, this study highlighted an efficient and short-term 1-MCP treatment technique. Full article
(This article belongs to the Special Issue Emerging Research on Adaptive Plants in Karst Ecosystems)
Show Figures

Graphical abstract

17 pages, 2577 KB  
Article
Evaluation of Radio Frequency-Assisted Enzymatic Extraction of Non-Anthocyanin Polyphenols from Akebia trifoliata Flowers and Their Biological Activities Using UPLC-PDA-TOF-ESI-MS and Chemometrics
by Xiaoyong Song, Yongli Jiang, Yu Zhong, Danfeng Wang and Yun Deng
Foods 2022, 11(21), 3410; https://doi.org/10.3390/foods11213410 - 28 Oct 2022
Cited by 9 | Viewed by 2039
Abstract
A new radio frequency heating-assisted enzymatic extraction (RF-E) method is applied for the determination of phenolic compounds in Akebia trifoliata flowers, compared with hot water, acidified ethanol (EtOH), and enzymatic-assisted (EA) extractions. Non-anthocyanin polyphenol profiles, antibacterial, angiotensin-converting enzyme (ACE) inhibitory, anti-inflammatory activities, and [...] Read more.
A new radio frequency heating-assisted enzymatic extraction (RF-E) method is applied for the determination of phenolic compounds in Akebia trifoliata flowers, compared with hot water, acidified ethanol (EtOH), and enzymatic-assisted (EA) extractions. Non-anthocyanin polyphenol profiles, antibacterial, angiotensin-converting enzyme (ACE) inhibitory, anti-inflammatory activities, and structures of extracts are evaluated. Results show no significant differences in the extraction of total flavonoid content (15.85–16.63 mg QEs/g) and ACE inhibitory activity (51.30–52.86%) between RF-E and EA extracts. RF-E extract shows the highest anti-inflammatory activities. FTIR and UV spectra reveal that acidified EtOH treatment has a significant effect on the structure of the extract due to its highest flavonoid content (20.33 mg QEs/g), thus it has the highest antibacterial activity against Staphylococcus aureus and Escherichia coli. Sixteen non-anthocyanin polyphenols are identified by UPLC-PDA-TOF-ESI-MS and RF pre-treatment did not cause significant compound degradation. The chemometric analysis shows that enzymatic hydrolysis significantly increased biological activities, and the presence of non-anthocyanin polyphenols correlates well with ACE inhibitory and anti-inflammatory activities. Accordingly, A trifoliata flowers have potential as reagents for the food and pharmaceutical industries due to their abundant polyphenols that could be extracted efficiently using RF-E. Full article
(This article belongs to the Section Food Analytical Methods)
Show Figures

Graphical abstract

14 pages, 3395 KB  
Article
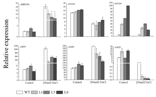
Overexpression of Sweet Potato Carotenoid Cleavage Dioxygenase 4 (IbCCD4) Decreased Salt Tolerance in Arabidopsis thaliana
by Jie Zhang, Liheng He, Jingjing Dong, Cailiang Zhao, Ruimin Tang and Xiaoyun Jia
Int. J. Mol. Sci. 2022, 23(17), 9963; https://doi.org/10.3390/ijms23179963 - 1 Sep 2022
Cited by 13 | Viewed by 2707
Abstract
Salt stress has a serious impact on normal plant growth and yield. Carotenoid cleavage dioxygenase (CCD) degrades carotenoids to produce apocarotenoids, which are involved in plant responses to biotic and abiotic stresses. This study shows that the expression of sweet potato IbCCD4 was [...] Read more.
Salt stress has a serious impact on normal plant growth and yield. Carotenoid cleavage dioxygenase (CCD) degrades carotenoids to produce apocarotenoids, which are involved in plant responses to biotic and abiotic stresses. This study shows that the expression of sweet potato IbCCD4 was significantly induced by salt and dehydration stress. The heterologous expression of IbCCD4 in Arabidopsis was induced to confirm its salt tolerance. Under 200 mM NaCl treatment, compared to wild-type plants, the rosette leaves of IbCCD4-overexpressing Arabidopsis showed increased anthocyanins and carotenoid contents, an increased expression of most genes in the carotenoid metabolic pathway, and increased malondialdehyde (MDA) levels. IbCCD4-overexpressing lines also showed a decreased expression of resistance-related genes and a lower activity of three antioxidant enzymes: peroxidase (POD), superoxide dismutase (SOD), and catalase (CAT). These results indicate that IbCCD4 reduced salt tolerance in Arabidopsis, which contributes to the understanding of the role of IbCCD4 in salt stress. Full article
(This article belongs to the Section Molecular Plant Sciences)
Show Figures

Figure 1

16 pages, 5677 KB  
Article
Effect of Multi-Mode Thermosonication on the Microbial Inhibition and Quality Retention of Strawberry Clear Juice during Storage at Varied Temperatures
by Min Feng, Bimal Chitrakar, Jianan Chen, Md. Nahidul Islam, Benxi Wei, Bo Wang, Cunshan Zhou, Haile Ma and Baoguo Xu
Foods 2022, 11(17), 2593; https://doi.org/10.3390/foods11172593 - 26 Aug 2022
Cited by 25 | Viewed by 2621
Abstract
Strawberry juice, which is rich in nutrients and charming flavor, is favored by consumers. To explore whether multi-mode thermosonication (MTS) can ensure the quality stability of strawberry clear juice (SCJ) during storage, the effects of microbial inhibition, enzyme activity, and physicochemical properties of [...] Read more.
Strawberry juice, which is rich in nutrients and charming flavor, is favored by consumers. To explore whether multi-mode thermosonication (MTS) can ensure the quality stability of strawberry clear juice (SCJ) during storage, the effects of microbial inhibition, enzyme activity, and physicochemical properties of SCJ pretreated by MTS were evaluated during storage at 4, 25, and 37 °C in comparison with thermal pretreatment (TP) at 90 °C for 1 min. The MTS, including dual-frequency energy-gathered ultrasound pretreatment (DEUP) and flat sweep-frequency dispersive ultrasound pretreatment (FSDUP), were conducted at 60 °C for 5 and 15 min, respectively. Results showed that the total phenols, flavonoids, anthocyanins, ascorbic acid, and DPPH free radical scavenging ability of SCJ decreased during the storage period. The control sample of SCJ was able to sage for only 7 days at 4 °C based on the microbiological quality, while the FSDUP and DEUP group extended the storage period up to 21 and 14 days, respectively. The polyphenol oxidase in SCJ pretreated by MTS did not reactivate during the storage period. The MTS remarkably (p < 0.05) reduced the color deterioration, browning degree, and nutrient degradation during the storage period. Moreover, the FSDUP group exhibited the maximum shelf life with a minimum loss of quality, demonstrating that it was the most suitable processing method for obtaining high-quality SCJ. It can be concluded that the MTS has the potential to inhibit enzymatic browning, inactivating microorganisms, preserve original quality attributes, and prolong the shelf life of SCJ. Full article
Show Figures

Figure 1

Back to TopTop