Sign in to use this feature.

Years

Between: -

Subjects

remove_circle_outline
remove_circle_outline
remove_circle_outline
remove_circle_outline
remove_circle_outline
remove_circle_outline
remove_circle_outline
remove_circle_outline
remove_circle_outline

Journals

Article Types

Countries / Regions

Search Results (67)

Search Parameters:
Keywords = anchor node optimization

Order results
Result details
Results per page
Select all
Export citation of selected articles as:
19 pages, 4105 KB  
Essay
HIPACO: An RSSI Indoor Positioning Algorithm Based on Improved Ant Colony Optimization Algorithm
by Yiying Zhao and Baohua Jin
Algorithms 2025, 18(10), 654; https://doi.org/10.3390/a18100654 - 16 Oct 2025
Viewed by 216
Abstract
Aiming at the shortcomings of traditional ACO algorithms in indoor localization applications, a high-performance improved ant colony algorithm (HIPACO) based on dynamic hybrid pheromone strategy is proposed. The algorithm divides the ant colony into worker ants (local exploitation) and soldier ants (global exploration) [...] Read more.
Aiming at the shortcomings of traditional ACO algorithms in indoor localization applications, a high-performance improved ant colony algorithm (HIPACO) based on dynamic hybrid pheromone strategy is proposed. The algorithm divides the ant colony into worker ants (local exploitation) and soldier ants (global exploration) through a division of labor mechanism, in which the worker ants use a pheromone-weighted learning strategy for refined search, and the soldier ants perform Gaussian perturbation-guided global exploration. At the same time, an adaptive pheromone attenuation model (elite particle enhancement, ordinary particle attenuation) and a dimensional balance strategy (sinusoidal modulation function) are designed to dynamically optimize the searching process; moreover, a hybrid guidance mechanism is introduced to apply adaptive Gaussian perturbation guidance on successive failed particles to dynamically optimize the searching process. A hybrid guidance mechanism is introduced to enhance the robustness of the algorithm by applying adaptive Gaussian perturbation to successive failed particles. The experimental results show that in the 3D localization scenario with four beacon nodes, the average localization error of HIPACO is 0.82 ± 0.35 m, which is 42.3% lower than that of the traditional ACO algorithm, the convergence speed is improved by 2.1 times, and the optimal performance is maintained under different numbers of anchor nodes and spatial scales. This study provides an efficient solution to the indoor localization problem in the presence of multipath effect and non-line-of-sight propagation. Full article
Show Figures

Figure 1

45 pages, 2840 KB  
Article
Accurate and Scalable DV-Hop-Based WSN Localization with Parameter-Free Fire Hawk Optimizer
by Doğan Yıldız
Mathematics 2025, 13(20), 3246; https://doi.org/10.3390/math13203246 - 10 Oct 2025
Viewed by 258
Abstract
Wireless Sensor Networks (WSNs) have emerged as a foundational technology for monitoring and data collection in diverse domains such as environmental sensing, smart agriculture, and industrial automation. Precise node localization plays a vital role in WSNs, enabling effective data interpretation, reliable routing, and [...] Read more.
Wireless Sensor Networks (WSNs) have emerged as a foundational technology for monitoring and data collection in diverse domains such as environmental sensing, smart agriculture, and industrial automation. Precise node localization plays a vital role in WSNs, enabling effective data interpretation, reliable routing, and spatial context awareness. The challenge intensifies in range-free settings, where a lack of direct distance data demands efficient indirect estimation methods, particularly in large-scale, energy-constrained deployments. This work proposes a hybrid localization framework that integrates the distance vector-hop (DV-Hop) range-free localization algorithm with the Fire Hawk Optimizer (FHO), a nature-inspired metaheuristic method inspired by the predatory behavior of fire hawks. The proposed FHODV-Hop method enhances location estimation accuracy while maintaining low computational overhead by inserting the FHO into the third stage of the DV-Hop algorithm. Extensive simulations are conducted on multiple topologies, including random, circular, square-grid, and S-shaped, under various network parameters such as node densities, anchor rates, population sizes, and communication ranges. The results show that the proposed FHODV-Hop model achieves competitive performance in Average Localization Error (ALE), localization ratio, convergence behavior, computational, and runtime efficiency. Specifically, FHODV-Hop reduces the ALE by up to 35% in random deployments, 25% in circular networks, and nearly 45% in structured square-grid layouts compared to the classical DV-Hop. Even under highly irregular S-shaped conditions, the algorithm achieves around 20% improvement. Furthermore, convergence speed is accelerated by approximately 25%, and computational time is reduced by nearly 18%, demonstrating its scalability and practical applicability. Therefore, these results demonstrate that the proposed model offers a promising balance between accuracy and practicality for real-world WSN deployments. Full article
Show Figures

Figure 1

18 pages, 443 KB  
Article
Low-Rank Matrix Completion via Nonconvex Rank Approximation for IoT Network Localization
by Nana Li, Ling He, Die Meng, Chuang Han and Qiang Tu
Electronics 2025, 14(19), 3920; https://doi.org/10.3390/electronics14193920 - 1 Oct 2025
Viewed by 367
Abstract
Accurate node localization is essential for many Internet of Things (IoT) applications. However, incomplete and noisy distance measurements often degrade the reliability of the Euclidean Distance Matrix (EDM), which is critical for range-based localization. To address this issue, a Low-Rank Matrix Completion approach [...] Read more.
Accurate node localization is essential for many Internet of Things (IoT) applications. However, incomplete and noisy distance measurements often degrade the reliability of the Euclidean Distance Matrix (EDM), which is critical for range-based localization. To address this issue, a Low-Rank Matrix Completion approach based on nonconvex rank approximation (LRMCN) is proposed to recover the true EDM. First, the observed EDM is decomposed into a low-rank matrix representing the true distances and a sparse matrix capturing noise. Second, a nonconvex surrogate function is used to approximate the matrix rank, while the l1-norm is utilized to model the sparsity of the noise component. Third, the resulting optimization problem is solved using the Alternating Direction Method of Multipliers (ADMMs). This enables accurate recovery of a complete and denoised EDM from incomplete and corrupted measurements. Finally, relative node locations are estimated using classical multi-dimensional scaling, and absolute coordinates are determined based on a small set of anchor nodes with known locations. The experimental results show that the proposed method achieves superior performance in both matrix completion and localization accuracy, even in the presence of missing and corrupted data. Full article
(This article belongs to the Section Networks)
Show Figures

Figure 1

28 pages, 41726 KB  
Article
Robust Unsupervised Feature Selection Algorithm Based on Fuzzy Anchor Graph
by Zhouqing Yan, Ziping Ma, Jinlin Ma and Huirong Li
Entropy 2025, 27(8), 827; https://doi.org/10.3390/e27080827 - 4 Aug 2025
Viewed by 679
Abstract
Unsupervised feature selection aims to characterize the cluster structure of original features and select the optimal subset without label guidance. However, existing methods overlook fuzzy information in the data, failing to model cluster structures between data effectively, and rely on squared error for [...] Read more.
Unsupervised feature selection aims to characterize the cluster structure of original features and select the optimal subset without label guidance. However, existing methods overlook fuzzy information in the data, failing to model cluster structures between data effectively, and rely on squared error for data reconstruction, exacerbating noise impact. Therefore, a robust unsupervised feature selection algorithm based on fuzzy anchor graphs (FWFGFS) is proposed. To address the inaccuracies in neighbor assignments, a fuzzy anchor graph learning mechanism is designed. This mechanism models the association between nodes and clusters using fuzzy membership distributions, effectively capturing potential fuzzy neighborhood relationships between nodes and avoiding rigid assignments to specific clusters. This soft cluster assignment mechanism improves clustering accuracy and the robustness of the graph structure while maintaining low computational costs. Additionally, to mitigate the interference of noise in the feature selection process, an adaptive fuzzy weighting mechanism is presented. This mechanism assigns different weights to features based on their contribution to the error, thereby reducing errors caused by redundant features and noise. Orthogonal tri-factorization is applied to the low-dimensional representation matrix. This guarantees that each center represents only one class of features, resulting in more independent cluster centers. Experimental results on 12 public datasets show that FWFGFS improves the average clustering accuracy by 5.68% to 13.79% compared with the state-of-the-art methods. Full article
(This article belongs to the Section Information Theory, Probability and Statistics)
Show Figures

Figure 1

18 pages, 847 KB  
Article
Predictive Factors Aiding in the Estimation of Intraoperative Resources in Gastric Cancer Oncologic Surgery
by Alexandru Blidișel, Mihai-Cătălin Roșu, Andreea-Adriana Neamțu, Bogdan Dan Totolici, Răzvan-Ovidiu Pop-Moldovan, Andrei Ardelean, Valentin-Cristian Iovin, Ionuț Flaviu Faur, Cristina Adriana Dehelean, Sorin Adalbert Dema and Carmen Neamțu
Cancers 2025, 17(12), 2038; https://doi.org/10.3390/cancers17122038 - 18 Jun 2025
Viewed by 619
Abstract
Background/Objectives: Operating rooms represent valuable and pivotal units of any hospital. Therefore, their management affects healthcare service delivery through rescheduling, staff shortage/overtime, cost inefficiency, and patient dissatisfaction, among others. To optimize scheduling, we aim to assess preoperative evaluation criteria that influence the prediction [...] Read more.
Background/Objectives: Operating rooms represent valuable and pivotal units of any hospital. Therefore, their management affects healthcare service delivery through rescheduling, staff shortage/overtime, cost inefficiency, and patient dissatisfaction, among others. To optimize scheduling, we aim to assess preoperative evaluation criteria that influence the prediction of surgery duration for gastric cancer (GC) patients. In GC, radical surgery with curative intent is the ideal treatment. Nevertheless, the intervention sometimes must be palliative if the patient’s status and tumor staging prove too advanced. Methods: A 6-year retrospective cohort study was performed in a tertiary care hospital, including all cases diagnosed with GC (ICD-10 code C16), confirmed through histopathology, and undergoing surgical treatment (N = 108). Results: The results of our study confirm male predominance (63.89%) among GC surgery candidates while bringing new perspectives on patient evaluation criteria and choice of surgical intervention (curative—Group 1, palliative—Group 2). Surgery duration, including anesthesiology (175.19 [95% CI (157.60–192.77)] min), shows a direct correlation with the number of lymph nodes dissected (Surgical duration [min] = 10.67 × No. of lymph nodes removed − 32.25). Interestingly, the aggressiveness of the tumor based on histological grade (highly differentiated being generally less aggressive than poorly differentiated) shows differential correlation with surgery duration among curative and palliative surgery candidates. Similarly, TNM staging indicates the need for a longer surgical duration (pTNM stage IIA, IIB, and IIIA) for curative interventions in patients with less advanced stages, as opposed to shorter surgery duration for palliative interventions (pTNM stage IIIC and IV). Conclusions: The study quantitatively presents the resources needed for the optimal surgical treatment of different groups of GC patients, as the disease coding systems in use regard the treatment of each pathology as “standard” in terms of patient management. The results obtained are anchored in the global perspectives of surgical outcomes and aim to improve the management of operating room scheduling, staff, and resources. Full article
(This article belongs to the Special Issue State-of-the-Art Research on Gastric Cancer Surgery)
Show Figures

Figure 1

15 pages, 327 KB  
Article
A Modified Differential Evolution for Source Localization Using RSS Measurements
by Yunjie Tao, Lincan Li and Shengming Chang
Sensors 2025, 25(12), 3787; https://doi.org/10.3390/s25123787 - 17 Jun 2025
Viewed by 585
Abstract
In wireless sensor networks, evolutionary algorithms have emerged as pivotal tools for addressing complex localization challenges inherent in non-convex and nonlinear maximum likelihood estimation problems associated with received signal strength (RSS) measurements. While differential evolution (DE) has demonstrated notable efficacy in optimizing multimodal [...] Read more.
In wireless sensor networks, evolutionary algorithms have emerged as pivotal tools for addressing complex localization challenges inherent in non-convex and nonlinear maximum likelihood estimation problems associated with received signal strength (RSS) measurements. While differential evolution (DE) has demonstrated notable efficacy in optimizing multimodal cost functions, conventional implementations often grapple with suboptimal convergence rates and susceptibility to local optima. To overcome these limitations, this paper proposes a novel enhancement of DE by integrating opposition-based learning (OBL) principles. The proposed method introduces an adaptive scaling factor that dynamically balances global exploration and local exploitation during the evolutionary process, coupled with a penalty-augmented cost function to effectively utilize boundary information while eliminating explicit constraint handling. Comparative evaluations against state-of-the-art techniques—including semidefinite programming, linear least squares, and simulated annealing—reveal significant improvements in both convergence speed and positioning precision. Experimental results under diverse noise conditions and network configurations further validate the robustness and superiority of the proposed approach, particularly in scenarios characterized by high environmental uncertainty or sparse anchor node deployments. Full article
Show Figures

Figure 1

23 pages, 2732 KB  
Article
Leveraging Attribute Interaction and Self-Training for Graph Alignment via Optimal Transport
by Songyang Chen, Youfang Lin, Ziyuan Zeng and Mengyang Xue
Mathematics 2025, 13(12), 1971; https://doi.org/10.3390/math13121971 - 15 Jun 2025
Viewed by 670
Abstract
Unsupervised alignment of two attributed graphs finds the node correspondence between them without any known anchor links. The recently proposed optimal transport (OT)-based approaches tackle this problem via Gromov–Wasserstein distance and joint learning of graph structures and node attributes, which achieve better accuracy [...] Read more.
Unsupervised alignment of two attributed graphs finds the node correspondence between them without any known anchor links. The recently proposed optimal transport (OT)-based approaches tackle this problem via Gromov–Wasserstein distance and joint learning of graph structures and node attributes, which achieve better accuracy and stability compared to previous embedding-based methods. However, it remains largely unexplored under the OT framework to fully utilize both structure and attribute information. We propose an Optimal Transport-based Graph Alignment method with Attribute Interaction and Self-Training (PORTRAIT), with the following two contributions. First, we enable the interaction of different dimensions of node attributes in the Gromov–Wasserstein learning process, while simultaneously integrating multi-layer graph structural information and node embeddings into the design of the intra-graph cost, which yields more expressive power with theoretical guarantee. Second, the self-training strategy is integrated into the OT-based learning process to significantly enhance node alignment accuracy with the help of confident predictions. Extensive experimental results validate the efficacy of the proposed model. Full article
Show Figures

Figure 1

18 pages, 1289 KB  
Article
Topology-Aware Anchor Node Selection Optimization for Enhanced DV-Hop Localization in IoT
by Haixu Niu, Yonghai Li, Shuaixin Hou, Tianfei Chen, Lijun Sun, Mingyang Gu and Muhammad Irsyad Abdullah
Future Internet 2025, 17(6), 253; https://doi.org/10.3390/fi17060253 - 8 Jun 2025
Viewed by 564
Abstract
Node localization is a critical challenge in Internet of Things (IoT) applications. The DV-Hop algorithm, which relies on hop counts for localization, assumes that network nodes are uniformly distributed. It estimates actual distances between nodes based on the number of hops. However, in [...] Read more.
Node localization is a critical challenge in Internet of Things (IoT) applications. The DV-Hop algorithm, which relies on hop counts for localization, assumes that network nodes are uniformly distributed. It estimates actual distances between nodes based on the number of hops. However, in practical IoT networks, node distribution is often non-uniform, leading to complex and irregular topologies that significantly reduce the localization accuracy of the original DV-Hop algorithm. To improve localization performance in non-uniform topologies, we propose an enhanced DV-Hop algorithm using Grey Wolf Optimization (GWO). First, the impact of non-uniform node distribution on hop count and average hop distance is analyzed. A binary Grey Wolf Optimization algorithm (BGWO) is then applied to develop an optimal anchor node selection strategy. This strategy eliminates anchor nodes with high estimation errors and selects a subset of high-quality anchors to improve the localization of unknown nodes. Second, in the multilateration stage, the traditional least square method is replaced by a continuous GWO algorithm to solve the distance equations with higher precision. Simulated experimental results show that the proposed GWO-enhanced DV-Hop algorithm significantly improves localization accuracy in non-uniform topologies. Full article
(This article belongs to the Special Issue Convergence of IoT, Edge and Cloud Systems)
Show Figures

Figure 1

20 pages, 6268 KB  
Article
Three-Dimensional Localization of Underwater Nodes Using Airborne Visible Light Beams
by Jaeed Bin Saif, Mohamed Younis and Fow-Sen Choa
Photonics 2025, 12(5), 503; https://doi.org/10.3390/photonics12050503 - 18 May 2025
Viewed by 521
Abstract
Localizing underwater nodes when they cannot be tethered or float on the surface presents significant challenges, primarily due to node mobility and the absence of fixed anchors with known coordinates. This paper advocates a strategy for tackling such a challenge by using visible [...] Read more.
Localizing underwater nodes when they cannot be tethered or float on the surface presents significant challenges, primarily due to node mobility and the absence of fixed anchors with known coordinates. This paper advocates a strategy for tackling such a challenge by using visible light communication (VLC) from an airborne unit. A novel localization method is proposed where VLC transmissions are made towards the water surface; each transmission is encoded with the Global Positioning System (GPS) coordinates with the incident point of the corresponding light beam. Existing techniques deal with the problem in 2D by assuming that the underwater node has a pressure sensor to measure its depth. The proposed method avoids this limitation and utilizes the intensity of VLC signals to estimate the 3D position of the underwater node. The idea is to map the light intensity at the underwater receiver for airborne light beams and devise an error optimization formulation to estimate the 3D coordinates of the underwater node. Extensive simulations validate the effectiveness of the proposed method and capture its performance across various parameters. Full article
Show Figures

Figure 1

20 pages, 22376 KB  
Article
Constrained Optimization for the Buckle and Anchor Cable Forces Under One-Time Tension in Long Span Arch Bridge Construction
by Xiaoyu Zhang, Xuming Ma, Wei Chen, Wei Xu, Yuan Kang and Yonghong Wu
Buildings 2025, 15(9), 1529; https://doi.org/10.3390/buildings15091529 - 2 May 2025
Viewed by 706
Abstract
During long-span arch bridge construction, repeated adjustments of large cantilevered segments and nonuniform cable tensions can lead to deviations from the desired arch profile, reducing structural efficiency and increasing labor and material costs. To precisely control the process of cable-stayed buckle construction in [...] Read more.
During long-span arch bridge construction, repeated adjustments of large cantilevered segments and nonuniform cable tensions can lead to deviations from the desired arch profile, reducing structural efficiency and increasing labor and material costs. To precisely control the process of cable-stayed buckle construction in long-span arch bridges and achieve an optimal arch formation state, a constrained optimization for the buckle and anchor cable forces under one-time tension is developed in this paper. First, by considering the coupling effect of the cable-stayed buckle system with the buckle tower and arch rib structure, the control equations between the node displacement and cable force after tensioning are derived based on the influence matrix method. Then, taking the cable force size, arch rib closure joint alignment, upstream and downstream side arch rib alignment deviation, tower deviation, and the arch formation alignment displacement after loosening the cable as the constraint conditions, the residual sum of squares between the arch rib alignment and the target alignment during the construction stage is regarded as the optimization objective function, to solve the cable force of the buckle and anchor cables that satisfy the requirements of the expected alignment. Applied to a 310 m asymmetric steel truss arch bridge, the calculation of arch formation alignment is consistent with the ideal arch alignment, with the largest vertical displacement difference below 5 mm; the maximum error between the measured and theoretical cable forces during construction is 4.81%, the maximum difference between the measured and theoretical arch rib alignments after tensioning is 3.4 cm, and the maximum axial deviation of the arch rib is 5 cm. The results showed the following: the proposed optimization method can effectively control fluctuations of arch rib alignment, tower deviation, and cable force during construction to maintain the optimal arch shape and calculate the buckle and anchor cable forces at the same time, avoiding iterative calculations and simplifying the analysis process. Full article
(This article belongs to the Section Building Structures)
Show Figures

Figure 1

23 pages, 5703 KB  
Article
Localization of Sensor Nodes in 3D Wireless Sensor Networks with a Single Anchor by an Improved Adaptive Artificial Bee Colony (iaABC) Algorithm
by Dursun Ekmekci and Hüseyin Altınkaya
Appl. Sci. 2025, 15(7), 3548; https://doi.org/10.3390/app15073548 - 24 Mar 2025
Viewed by 2152
Abstract
In terms of optimization, one of the core challenges in Wireless Sensor Networks is determining the locations of nodes. While simulating this problem in a 3D environment instead of the traditional 2D increases problem complexity, it is crucial for accurately representing real-world scenarios. [...] Read more.
In terms of optimization, one of the core challenges in Wireless Sensor Networks is determining the locations of nodes. While simulating this problem in a 3D environment instead of the traditional 2D increases problem complexity, it is crucial for accurately representing real-world scenarios. Furthermore, the success of locating moving nodes in a 3D space is closely linked to the overall efficiency of the network. This study proposes a solution that can detect the locations of target nodes at various levels using a single anchor node. The method employs the Improved Adaptive Artificial Bee Colony (iaABC) algorithm, a model of the classical ABC algorithm. This improvement updates the control parameter values during the scanning, allowing the algorithm to focus its search direction on better exploitation. The performance of the search and convergence of this method was tested on CEC 2022 test suits. The CEC 2022 benchmark functions have more up-to-date content and are fairer because they utilize the same initial solutions for each competing algorithm. Subsequently, the approach was used to determine node locations. The results demonstrated that iaABC can locate 100 target nodes with a single anchor in a 3D environment. Full article
Show Figures

Figure 1

23 pages, 1574 KB  
Article
An Underwater Localization Algorithm Based on the Internet of Vessels
by Ziqi Wang, Ying Guo, Fei Li, Yuhang Chen and Jiyan Wei
J. Mar. Sci. Eng. 2025, 13(3), 535; https://doi.org/10.3390/jmse13030535 - 11 Mar 2025
Viewed by 664
Abstract
Localization is vital and fundamental for underwater sensor networks. However, the field still faces several challenges, such as the difficulty of accurately deploying beacon nodes, high deployment costs, imprecise underwater ranging, and limited node energy. To overcome these challenges, we propose a crowdsensing-based [...] Read more.
Localization is vital and fundamental for underwater sensor networks. However, the field still faces several challenges, such as the difficulty of accurately deploying beacon nodes, high deployment costs, imprecise underwater ranging, and limited node energy. To overcome these challenges, we propose a crowdsensing-based underwater localization algorithm (CSUL) by leveraging the computational and localization resources of vessels. The algorithm is composed of three stages: crowdsensing, denoising, and aggregation-based optimization. In the crowdsensing stage, nodes transmit localization requests, which are received by vessels and broadcasted to nearby vessels. Using concentric circle calculations, the localization problem is transformed from a three-dimensional space to a two-dimensional plane. An initial set of potential node locations, termed the concentric circle center set, is derived based on a time threshold. The denoising stage employs a Density-Based Noise Removal (DBNR) algorithm to eliminate noise caused by vessel mobility, environmental complexity, and the time threshold, thereby improving localization accuracy. Finally, in the aggregation-based optimization stage, the denoised node location set is refined using a centroid-based approximate triangulation (CBAT) algorithm to determine the final node location. Simulation results indicate that the proposed method achieves high localization coverage without requiring anchor nodes and significantly improves localization accuracy. Additionally, since all localization computations are carried out by vessels, node energy consumption is greatly reduced, effectively extending the network’s lifetime. Full article
(This article belongs to the Special Issue Advances in Underwater Positioning and Navigation Technology)
Show Figures

Figure 1

23 pages, 1378 KB  
Article
Design and Implementation of an Indoor Localization System Based on RSSI in IEEE 802.11ax
by Roberto Gaona Juárez, Abel García-Barrientos, Jesus Acosta-Elias, Enrique Stevens-Navarro, César G. Galván, Alessio Palavicini and Ernesto Monroy Cruz
Appl. Sci. 2025, 15(5), 2620; https://doi.org/10.3390/app15052620 - 28 Feb 2025
Cited by 5 | Viewed by 2540
Abstract
This article describes the design, implementation, and evaluation of an indoor localization system based on Received Signal Strength Indicator (RSSI) measurements in wireless sensor networks. While the majority of the literature uses the IEEE 802.15 standard for this type of system, all of [...] Read more.
This article describes the design, implementation, and evaluation of an indoor localization system based on Received Signal Strength Indicator (RSSI) measurements in wireless sensor networks. While the majority of the literature uses the IEEE 802.15 standard for this type of system, all of the measurements in this study were performed using a test bench operating under the IEEE 802.11ax standard in the 2.4 GHz band. RSSI is widely used due to its simplicity and availability; however, its accuracy is limited by signal attenuation, electromagnetic interference, and environmental variability. To mitigate these limitations, the present work proposes the implementation of advanced techniques, including weighted averages and positioning algorithms such as Min–Max, Maximum Likelihood, and trilateration, aiming to achieve an accuracy of 2 m in controlled conditions. The design also included a specialized test bench to calculate the coordinates and estimate the location of unknown nodes using anchor node positioning. This approach combines the simplicity of RSSI with optimized algorithms, providing a robust and practical solution for indoor localization. The results validate the system’s effectiveness and highlight its potential for future applications in real-world environments, opening new possibilities for optimizing wireless sensor networks and addressing the current challenges in localization systems. Full article
(This article belongs to the Special Issue Advances in Wireless Sensor Networks and Communication Technology)
Show Figures

Figure 1

23 pages, 4825 KB  
Article
A Bluetooth-Based Automated Agricultural Machinery Positioning System
by Wentao Bian, Yanyi Liu and Yin Wu
Electronics 2024, 13(24), 4902; https://doi.org/10.3390/electronics13244902 (registering DOI) - 12 Dec 2024
Cited by 2 | Viewed by 1109
Abstract
With the rapid advancement of technology, precision agriculture, as a modern agricultural production model, has seen significant progress in recent years. Its widespread adoption is gradually transforming traditional farming methods, providing strong support for the modernization of global agriculture. In particular, the application [...] Read more.
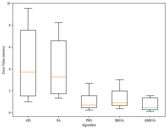
With the rapid advancement of technology, precision agriculture, as a modern agricultural production model, has seen significant progress in recent years. Its widespread adoption is gradually transforming traditional farming methods, providing strong support for the modernization of global agriculture. In particular, the application of positioning technology plays a crucial role in precision agriculture. This paper focuses on an automated agricultural machinery positioning system based on Bluetooth technology. The system uses Bluetooth at the 2.4 GHz frequency for transmission, processing Constant Tone Extension (CTE) and Received Signal Strength Indicator (RSSI) signals collected from blind nodes. The Propagator Direct Data Acquisition (PDDA) algorithm is employed to calculate angle information from CTE signals, while the Two-Ray Ground Reflection Model is applied to manage the correlation between RSSI and distance, making it suitable for outdoor environments. These two types of data are fused for positioning, with an optimized objective function converting the positioning task into an optimization problem. An Adaptive Secretary Bird Optimization Algorithm (ASBOA) is introduced to enhance the accuracy and efficiency of the positioning process. In the simulation, anchor and blind nodes are deployed to simulate a real farm environment. Anchor nodes receive CTE and RSSI signals from blind nodes. Considering that the tags mounted on agricultural machinery are set at a fixed height in real scenarios, the simulation also fixes the tags at this height. We then compare the accuracy of five algorithms in both static and dynamic tracking. The final simulation results indicate that ASBOA achieves satisfactory high-precision positioning, both for static points and dynamic tracking, theoretically meeting the needs for continuous positioning and laying a solid foundation for future field trials. Full article
Show Figures

Figure 1

30 pages, 672 KB  
Article
Enhanced Localization in Wireless Sensor Networks Using a Bat-Optimized Malicious Anchor Node Prediction Algorithm
by Balachandran Nair Premakumari Sreeja, Gopikrishnan Sundaram, Marco Rivera and Patrick Wheeler
Sensors 2024, 24(24), 7893; https://doi.org/10.3390/s24247893 - 10 Dec 2024
Viewed by 1172
Abstract
The accuracy of node localization plays a crucial role in the performance and reliability of wireless sensor networks (WSNs), which are widely utilized in fields like security systems and environmental monitoring. The integrity of these networks is often threatened by the presence of [...] Read more.
The accuracy of node localization plays a crucial role in the performance and reliability of wireless sensor networks (WSNs), which are widely utilized in fields like security systems and environmental monitoring. The integrity of these networks is often threatened by the presence of malicious nodes that can disrupt the localization process, leading to erroneous positioning and degraded network functionality. To address this challenge, we propose the security-aware localization using bat-optimized malicious anchor prediction (BO-MAP) algorithm. This approach utilizes a refined bat optimization algorithm to improve both the precision of localization and the security of WSNs. By integrating advanced optimization with density-based clustering and probabilistic analysis, BO-MAP effectively identifies and isolates malicious nodes. Our comprehensive simulation results reveal that BO-MAP significantly surpasses six current state-of-the-art methods—namely, the Secure Localization Algorithm, Enhanced DV-Hop, Particle Swarm Optimization-Based Localization, Range-Free Localization, the Robust Localization Algorithm, and the Sequential Probability Ratio Test—across various performance metrics, including the true positive rate, false positive rate, localization accuracy, energy efficiency, and computational efficiency. Notably, BO-MAP achieves an impressive true positive rate of 95% and a false positive rate of 5%, with an area under the receiver operating characteristic curve of 0.98. Additionally, BO-MAP exhibits consistent reliability across different levels of attack severity and network conditions, highlighting its suitability for deployment in practical WSN environments. Full article
(This article belongs to the Section Sensor Networks)
Show Figures

Figure 1

Back to TopTop