Sign in to use this feature.

Years

Between: -

Subjects

remove_circle_outline
remove_circle_outline
remove_circle_outline
remove_circle_outline
remove_circle_outline
remove_circle_outline
remove_circle_outline

Journals

Article Types

Countries / Regions

Search Results (16)

Search Parameters:
Keywords = amplitude probability density function (PDF)

Order results
Result details
Results per page
Select all
Export citation of selected articles as:
17 pages, 3650 KB  
Article
Response Control and Bifurcation Phenomenon of a Tristable Rayleigh–Duffing System with Fractional Inertial Force Under Recycling Noises
by Yajie Li, Guoguo Tian, Zhiqiang Wu, Yongtao Sun, Ying Hao, Xiangyun Zhang and Shengli Chen
Symmetry 2025, 17(11), 1874; https://doi.org/10.3390/sym17111874 - 5 Nov 2025
Viewed by 351
Abstract
This study investigates stochastic bifurcation in a generalized tristable Rayleigh–Duffing oscillator with fractional inertial force under both additive and multiplicative recycling noises. The system’s dynamic behavior is influenced by its inherent spatial symmetry, represented by the potential function, as well as by temporal [...] Read more.
This study investigates stochastic bifurcation in a generalized tristable Rayleigh–Duffing oscillator with fractional inertial force under both additive and multiplicative recycling noises. The system’s dynamic behavior is influenced by its inherent spatial symmetry, represented by the potential function, as well as by temporal symmetry breaking caused by fractional memory effects and recycling noise. First, an approximate integer-order equivalent system is derived from the original fractional-order model using a harmonic balance method, with minimal mean square error (MSE). The steady-state probability density function (sPDF) of the amplitude is then obtained via stochastic averaging. Using singularity theory, the conditions for stochastic P bifurcation (SPB) are identified. For different fractional derivative’s orders, transition set curves are constructed, and the sPDF is qualitatively analyzed within the regions bounded by these curves—especially under tristable conditions. Theoretical results are validated through Monte Carlo simulations and the Radial Basis Function Neural Network (RBFNN) approach. The findings offer insights for designing fractional-order controllers to improve system response control. Full article
Show Figures

Figure 1

22 pages, 6779 KB  
Article
Unveiling the Responses’ Feature of Composites Subjected to Fatigue Loadings—Part 1: Theoretical and Experimental Fatigue Response Under the Strength-Residual Strength-Life Equal Rank Assumption (SRSLERA) and the Equivalent Residual Strength Assumption (ERSA)
by Alberto D’Amore and Luigi Grassia
J. Compos. Sci. 2025, 9(10), 528; https://doi.org/10.3390/jcs9100528 - 1 Oct 2025
Viewed by 1027
Abstract
This paper discusses whether the principal response features of composites subjected to fatigue loadings, including residual strength and lifetime statistics under variable amplitude (VA) loadings, can be resolved based on constant amplitude (CA) fatigue life data. The approach is based on the strength-residual [...] Read more.
This paper discusses whether the principal response features of composites subjected to fatigue loadings, including residual strength and lifetime statistics under variable amplitude (VA) loadings, can be resolved based on constant amplitude (CA) fatigue life data. The approach is based on the strength-residual strength-life equal-rank assumption (SRSLERA), providing a statistical correspondence between the static strength, residual strength, and fatigue life distribution functions under CA loadings. Under VA loadings, the strength degradation progression and then the fatigue lifetime are calculated by dividing the loading spectrum into a sequence of CA block loadings of given extents (including one cycle), and assuming that the strength at the end of a generic block loading equals the strength at the start of the consecutive one, namely the equivalent residual strength assumption (ERSA). The consequences of SRSLERA and ERSA are first discussed by re-elaborating a series of uniaxial, statistically sound CA residual strength and fatigue life data obtained under different loading ratios, R, ranging from pure tension to mixed tension–compression to pure compression. It is shown that the static strength Weibull’s shape and scale parameters, as well as the fatigue formulation parameters recovered under pure compression or tension loadings, represent the fingerprint of composite materials subjected to fatigue and characterize their uniqueness. The residual strength statistics, fatigue probability density functions (PDFs), and constant life diagram (CLD) construction are theoretically reported. Then, based on ERSA, the statistical lifetimes under VA loadings and the cycle-by-cycle damage progressions of block repeated loadings are analyzed, and a residual strength-based damage rule is compared to Miner’s rule. Full article
(This article belongs to the Special Issue Characterization and Modelling of Composites, Volume III)
Show Figures

Figure 1

23 pages, 10395 KB  
Article
Data-Driven Estimation of End-to-End Delay Probability Density Function for Time-Sensitive WiFi Networks
by Jianyu Cao, Yujun Dai, Shuping Huang and Minghe Zhang
Electronics 2025, 14(12), 2324; https://doi.org/10.3390/electronics14122324 - 6 Jun 2025
Viewed by 1235
Abstract
Time-sensitive applications require the End-to-End (E2E) delay of wireless networks to be deterministic. For example, control signals in industrial automation, intelligent transportation, and telemedicine must be transmitted to their destinations within the millisecond range, with delay jitter controlled within the microsecond range. To [...] Read more.
Time-sensitive applications require the End-to-End (E2E) delay of wireless networks to be deterministic. For example, control signals in industrial automation, intelligent transportation, and telemedicine must be transmitted to their destinations within the millisecond range, with delay jitter controlled within the microsecond range. To formulate effective policies for maintaining E2E delay within a small deterministic range, it is essential to estimate the probability density function (PDF) of E2E delay. Data-driven methods based on mixture density networks have been employed to estimate the PDF of E2E delay in wireless networks. However, in WiFi networks, the estimation results produced by existing methods exhibit significant discrepancies and fluctuations when compared to actual measurements. Motivated by this, an improved estimation method is proposed, where the delay PDF is divided into three segments with different functional expressions that are coupled together. Moreover, the parameter estimation process is implemented in two stages. First, the two division thresholds for the three segments of the PDF are calculated based on the variation trend of E2E delay measurements. Second, the remaining parameters are obtained through training using an improved mixture density network. Experimental results indicate that the E2E delay PDF obtained by the proposed method exhibits a smaller gap compared to actual measurements than existing methods. Specifically, the mean absolute errors and average fluctuation amplitudes of tail probabilities at certain delay values decrease by at least one order of magnitude. Moreover, the multiple-segmentation feature of the proposed method enhances its robustness in situations where measurement data are affected by low levels of Gaussian noise. Full article
Show Figures

Figure 1

12 pages, 3614 KB  
Article
Analysis on the Performance of Reconfigurable Intelligent Surface-Equipped Unmanned Aerial Vehicles in Dual-Hop Emergency Wireless Communication Systems under the Jamming of Reconfigurable Intelligent Surface-Equipped Unmanned Aerial Vehicles
by Juan Li, Gang Wang, Jiong Liu, Dan Wang, Hengzhou Jin and Jing Zhou
Electronics 2024, 13(13), 2618; https://doi.org/10.3390/electronics13132618 - 4 Jul 2024
Cited by 1 | Viewed by 1861
Abstract
This paper investigates dual-hop Reconfigurable Intelligent Surface (RIS) wireless communication systems with malicious jamming, where the destination node faces jamming from a malicious jammer with a RIS-Equipped Unmanned Aerial Vehicle (UAV) relay. We model the channel gains for Tx-RIS and Jammer-RIS links with [...] Read more.
This paper investigates dual-hop Reconfigurable Intelligent Surface (RIS) wireless communication systems with malicious jamming, where the destination node faces jamming from a malicious jammer with a RIS-Equipped Unmanned Aerial Vehicle (UAV) relay. We model the channel gains for Tx-RIS and Jammer-RIS links with a Rician distribution, while the RIS-Rx link follows a Nakagami-m distribution, and the jamming status is modeled as a Bernoulli-distributed random variable. We derived and provided closed-form expressions for the probability density functions (PDFs) of the legitimate channel and jamming channel in RIS-Equipped UAV wireless communication systems. Additionally, a new closed-form expression for the PDF of the received signal-to-jamming ratio (SJR) is derived. Using the Gauss–Laguerre Approximation method, we calculate the Average Bit Error Rate (ABER) under Binary Phase Shift Keying (BPSK) and Quadrature Amplitude Modulation (QAM) schemes. We analyze the effects of jamming probability, the location of the legitimate RIS, and different channel conditions on ABER performance through theoretical analyses and simulation results. Our theoretical analyses and simulation results indicate that an increase in the probability of malicious jamming significantly raises the ABER. For example, under favorable channel conditions, the ABER for BPSK modulation was observed to be as low as 105, whereas under poor channel conditions, the ABER increased to 102. Additionally, by reducing the distance between the transmitter and the RIS, the ABER can be improved. The legitimate RIS performs better when closer to the transmitter. These findings highlight the critical impact of channel conditions and the deployment of the RIS on the overall system’s performance. Our results offer valuable insights into designing and evaluating the performance of RIS-Equipped UAV wireless communication systems in the presence of malicious jamming, aiding in the development of countermeasures to enhance system resilience and security. The derived expressions are validated through Monte Carlo simulations. Full article
(This article belongs to the Special Issue Covert Wireless Communication with Multi-Domain Uncertainties)
Show Figures

Figure 1

11 pages, 2371 KB  
Article
Performance Analysis of Coherent Source SAC OCDMA in Free Space Optical Communication Systems
by Ahmed M. Alhassan, Eithar Issam, Syed Alwee Aljunid, Mohd Rashidi Che Beson, Syed Mohammad Ammar, Norshamsuri Ali and Rosdisham Endut
Symmetry 2023, 15(6), 1152; https://doi.org/10.3390/sym15061152 - 26 May 2023
Cited by 3 | Viewed by 1886
Abstract
In this paper, we investigate the performance of spectral amplitude coding optical code division multiple access (SAC OCDMA) systems under the effect of beat noise and turbulence. Three different multi-laser source configurations are considered in this analysis: shared multi-laser, separate multi-laser, and carefully [...] Read more.
In this paper, we investigate the performance of spectral amplitude coding optical code division multiple access (SAC OCDMA) systems under the effect of beat noise and turbulence. Three different multi-laser source configurations are considered in this analysis: shared multi-laser, separate multi-laser, and carefully controlled center frequency separate multi-laser. We demonstrate through Monte Carlo simulation that the gamma–gamma probability density function (pdf) cannot adequately approximate the measured intensity of overlapping lasers and that an empirical pdf is required. Results also show it is possible to achieve error-free transmission at a symmetrical data rate of 10 Gbps for all active users when only beat noise is taken into account by precisely controlling the center frequencies. However, only 30% of the active users can be supported when both beat noise and turbulence are considered. Full article
Show Figures

Figure 1

17 pages, 4891 KB  
Article
Numerical Gas–Liquid Two-Phase Flow Regime Identification in a Horizontal Pipe Using Dynamic Pressure Data
by Umair Khan, William Pao and Nabihah Sallih
Appl. Sci. 2023, 13(2), 1225; https://doi.org/10.3390/app13021225 - 16 Jan 2023
Cited by 11 | Viewed by 5493
Abstract
Gas–liquid two-phase flow is very common in industrial pipelines. Flow regime identification is the first step to design, analyze, and operate the gas–liquid system successfully. The purpose of this study is to develop a methodology for identification of a two-phase flow regime using [...] Read more.
Gas–liquid two-phase flow is very common in industrial pipelines. Flow regime identification is the first step to design, analyze, and operate the gas–liquid system successfully. The purpose of this study is to develop a methodology for identification of a two-phase flow regime using post signal processing techniques, namely Fast Fourier Transform (FFT) and Probabilistic Density Function (PDF). Three different flow regimes were simulated in a 6 m horizontal pipe with a 0.050 m inner diameter. A Level-Set (LS) method coupled with Volume of Fluid (VOF) method is used to model the air–water interface. After validation of the numerical method, dynamic pressure readings were collected with the intent to identify the associated flow regimes by post-processing of these signals. It was concluded that dynamic pressure signals of different flow regimes show different characteristics (like dominant frequency, FFT amplitude, PDF location and PDF magnitude) in the time and frequency domains. These characteristics can be potentially used as differentiating factors to distinguish different flow regimes. This research is limited to stratified, slug, and annular flow in the horizontal pipe. This paper uses a new approach to identify the flow regime in a horizontal pipe by Fast Fourier Transform and Probability Density Function of dynamic pressure readings obtained by using numerical simulation. Full article
(This article belongs to the Special Issue Multiphase and Granular Flows)
Show Figures

Figure 1

18 pages, 3167 KB  
Article
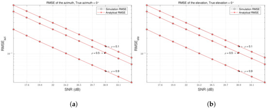
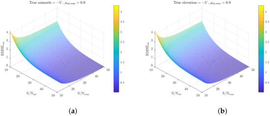
Numerical Integration-Based Performance Analysis of Amplitude-Comparison Monopulse Algorithm in Correlated Noise
by Hyeong-Woo Ham and Joon-Ho Lee
Electronics 2022, 11(11), 1760; https://doi.org/10.3390/electronics11111760 - 1 Jun 2022
Viewed by 2334
Abstract
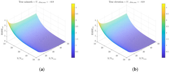
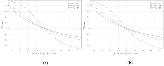
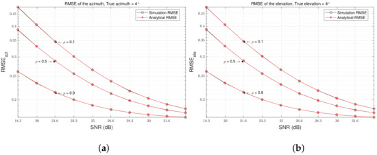
In this paper, the performance analysis of the amplitude-comparison monopulse (ACM) algorithm under a correlated noise effect is dealt with. The noise received by a monopulse antenna is caused by various sources, such as jamming, multipath, clutter, and thermal noise. The noise variables [...] Read more.
In this paper, the performance analysis of the amplitude-comparison monopulse (ACM) algorithm under a correlated noise effect is dealt with. The noise received by a monopulse antenna is caused by various sources, such as jamming, multipath, clutter, and thermal noise. The noise variables caused by these noise sources may be correlated with each other when received by the antenna elements. We explicitly analyzed the angle estimation performance of the monopulse algorithm when a correlated noise is received by deriving the probability density function (PDF) of the channel noise variables. In this process, correlation coefficients between noise variables received by antenna elements are defined, and variance and correlation coefficients of channel noise variables are derived. The performance of the angle estimation is analyzed by calculating the root mean square error (RMSE) for various variances and correlation coefficients of the received noise variables. The expectation operation required for calculating the RMSE is performed via numerical integration. Consequently, the analytically derived RMSE results show excellent agreements with the Monte Carlo simulation-based RMSE result, and it is confirmed that the RMSE decreases as the correlation coefficient between the received noise variables increases. When the SNR is high and on-axis, the RMSE decreases by 20% whenever the correlation coefficient between the reception noise variables increases by 0.2. Full article
(This article belongs to the Section Microwave and Wireless Communications)
Show Figures

Figure 1

19 pages, 10476 KB  
Article
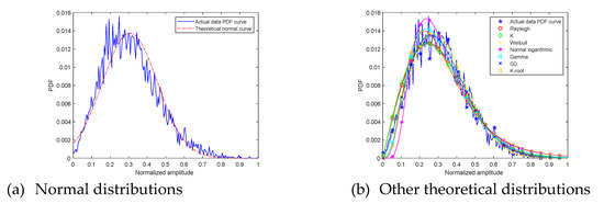
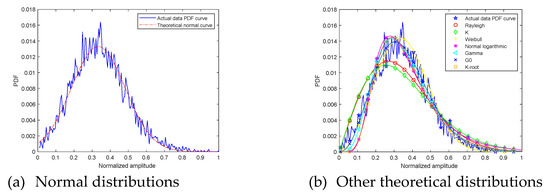
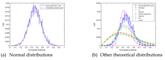
Distribution Characteristics of Ground Echo Amplitude and Recognition of Signal Grazing Angle
by Guangwei Zhang, Ping Li, Guolin Li and Ruili Jia
Sensors 2021, 21(24), 8315; https://doi.org/10.3390/s21248315 - 12 Dec 2021
Cited by 2 | Viewed by 2789
Abstract
With the continuous advancement of electronic technology, terahertz technology has gradually been applied on radar. Since short wavelength causes severe ground clutter, this paper studies the amplitude distribution statistical characteristics of the terahertz radar clutter based on the measured data, and provides technical [...] Read more.
With the continuous advancement of electronic technology, terahertz technology has gradually been applied on radar. Since short wavelength causes severe ground clutter, this paper studies the amplitude distribution statistical characteristics of the terahertz radar clutter based on the measured data, and provides technical support for the radar clutter suppression. Clutter distribution is the function of the radar glancing angle. In order to achieve targeted suppression, in this paper, selected axial integral bispectrum (selected AIB) feature is selected as deep belief network (DBN)input to complete the radar glancing angle recognition and the network structure, network training method, robustness are analyzed also. The ground clutter amplitude distribution can follow normal distribution at 0~45° grazing angles. The Weibull distribution and G0 distribution can describe the amplitude probability density function of ground clutter at grazing angles 85° and 65°. The recognition rate of different signal grazing angles can reach 91% on three different terrains. At the same time, the wide applicability of the selected AIB feature is verified. The analysis results of ground clutter amplitude characteristics play an important role in the suppression of radar ground clutter. Full article
(This article belongs to the Section Optical Sensors)
Show Figures

Figure 1

14 pages, 1503 KB  
Article
Iterative Algorithm for Parameterization of Two-Region Piecewise Uniform Quantizer for the Laplacian Source
by Jelena Nikolić, Danijela Aleksić, Zoran Perić and Milan Dinčić
Mathematics 2021, 9(23), 3091; https://doi.org/10.3390/math9233091 - 30 Nov 2021
Cited by 4 | Viewed by 2412
Abstract
Motivated by the fact that uniform quantization is not suitable for signals having non-uniform probability density functions (pdfs), as the Laplacian pdf is, in this paper we have divided the support region of the quantizer into two disjunctive regions and utilized the simplest [...] Read more.
Motivated by the fact that uniform quantization is not suitable for signals having non-uniform probability density functions (pdfs), as the Laplacian pdf is, in this paper we have divided the support region of the quantizer into two disjunctive regions and utilized the simplest uniform quantization with equal bit-rates within both regions. In particular, we assumed a narrow central granular region (CGR) covering the peak of the Laplacian pdf and a wider peripheral granular region (PGR) where the pdf is predominantly tailed. We performed optimization of the widths of CGR and PGR via distortion optimization per border–clipping threshold scaling ratio which resulted in an iterative formula enabling the parametrization of our piecewise uniform quantizer (PWUQ). For medium and high bit-rates, we demonstrated the convenience of our PWUQ over the uniform quantizer, paying special attention to the case where 99.99% of the signal amplitudes belong to the support region or clipping region. We believe that the resulting formulas for PWUQ design and performance assessment are greatly beneficial in neural networks where weights and activations are typically modelled by the Laplacian distribution, and where uniform quantization is commonly used to decrease memory footprint. Full article
(This article belongs to the Special Issue Coding and Combinatorics)
Show Figures

Figure 1

17 pages, 439 KB  
Article
Improved Approach for the Maximum Entropy Deconvolution Problem
by Shay Shlisel and Monika Pinchas
Entropy 2021, 23(5), 547; https://doi.org/10.3390/e23050547 - 28 Apr 2021
Cited by 3 | Viewed by 2713
Abstract
The probability density function (pdf) valid for the Gaussian case is often applied for describing the convolutional noise pdf in the blind adaptive deconvolution problem, although it is known that it can be applied only at the latter stages of the deconvolution process, [...] Read more.
The probability density function (pdf) valid for the Gaussian case is often applied for describing the convolutional noise pdf in the blind adaptive deconvolution problem, although it is known that it can be applied only at the latter stages of the deconvolution process, where the convolutional noise pdf tends to be approximately Gaussian. Recently, the deconvolutional noise pdf was approximated with the Edgeworth Expansion and with the Maximum Entropy density function for the 16 Quadrature Amplitude Modulation (QAM) input but no equalization performance improvement was seen for the hard channel case with the equalization algorithm based on the Maximum Entropy density function approach for the convolutional noise pdf compared with the original Maximum Entropy algorithm, while for the Edgeworth Expansion approximation technique, additional predefined parameters were needed in the algorithm. In this paper, the Generalized Gaussian density (GGD) function and the Edgeworth Expansion are applied for approximating the convolutional noise pdf for the 16 QAM input case, with no need for additional predefined parameters in the obtained equalization method. Simulation results indicate that improved equalization performance is obtained from the convergence time point of view of approximately 15,000 symbols for the hard channel case with our new proposed equalization method based on the new model for the convolutional noise pdf compared to the original Maximum Entropy algorithm. By convergence time, we mean the number of symbols required to reach a residual inter-symbol-interference (ISI) for which reliable decisions can be made on the equalized output sequence. Full article
Show Figures

Figure 1

14 pages, 3067 KB  
Article
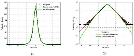
Small-Target Detection between SAR Images Based on Statistical Modeling of Log-Ratio Operator
by Chao Chen, Kuihua Huang and Gui Gao
Sensors 2019, 19(6), 1431; https://doi.org/10.3390/s19061431 - 23 Mar 2019
Cited by 2 | Viewed by 3340
Abstract
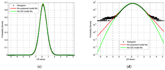
The log-ratio (LR) operator is well suited for change detection in synthetic aperture radar (SAR) amplitude or intensity images. In applying the LR operator to change detection in multi-temporal SAR images, a crucial problem is how to develop precise models for the LR [...] Read more.
The log-ratio (LR) operator is well suited for change detection in synthetic aperture radar (SAR) amplitude or intensity images. In applying the LR operator to change detection in multi-temporal SAR images, a crucial problem is how to develop precise models for the LR statistics. In this study, we first derive analytically the probability density function (PDF) of the LR operator. Subsequently, the PDF of the LR statistics is parameterized by three parameters, i.e., the number of looks, the coherence magnitude, and the true intensity ratio. Then, the maximum-likelihood (ML) estimates of parameters in the LR PDF are also derived. As an example, the proposed statistical model and corresponding ML estimation are used in an operational application, i.e., determining the constant false alarm rate (CFAR) detection thresholds for small target detection between SAR images. The effectiveness of the proposed model and corresponding ML estimation are verified by applying them to measured multi-temporal SAR images, and comparing the results to the well-known generalized Gaussian (GG) distribution; the usefulness of the proposed LR PDF for small target detection is also shown. Full article
(This article belongs to the Section Remote Sensors)
Show Figures

Figure 1

12 pages, 2713 KB  
Article
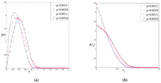
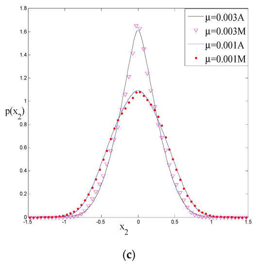
Stochastic Bifurcation of a Strongly Non-Linear Vibro-Impact System with Coulomb Friction under Real Noise
by Li Liu, Wei Xu, Xiaole Yue and Dongmei Huang
Symmetry 2019, 11(1), 4; https://doi.org/10.3390/sym11010004 - 21 Dec 2018
Cited by 12 | Viewed by 3215
Abstract
This manuscript investigated the response of a strongly non-linear vibro-impact (VI) system with Coulomb friction. The impact model is used with classical impact. The excitation is modelled by real noise. First, the VI system is converted into a simplified system without any barrier [...] Read more.
This manuscript investigated the response of a strongly non-linear vibro-impact (VI) system with Coulomb friction. The impact model is used with classical impact. The excitation is modelled by real noise. First, the VI system is converted into a simplified system without any barrier by non-smooth transformation (symmetric transformation). The stochastic averaging method is adopted to obtain the theoretical stationary probability function of the VI system. Next, the Duffing Van der Pol VI system with Coulomb friction is used to verify the validity of the proposed theoretical method compared with numerical simulations. Moreover, the influence of bandwidth, noise intensity, and friction amplitude are further analyzed in detail on the probability density function (PDF) of distribution of the VI system. The P-bifurcation is studied by a qualitative change of friction amplitude and restitution coefficient on the stationary probability distribution, which indicated that these parameters can arouse the emergence of stochastic P-bifurcation. Full article
Show Figures

Figure 1

18 pages, 916 KB  
Article
Time-Dependent Probability Density Functions and Attractor Structure in Self-Organised Shear Flows
by Quentin Jacquet, Eun-jin Kim and Rainer Hollerbach
Entropy 2018, 20(8), 613; https://doi.org/10.3390/e20080613 - 17 Aug 2018
Cited by 11 | Viewed by 4973
Abstract
We report the time-evolution of Probability Density Functions (PDFs) in a toy model of self-organised shear flows, where the formation of shear flows is induced by a finite memory time of a stochastic forcing, manifested by the emergence of a bimodal PDF with [...] Read more.
We report the time-evolution of Probability Density Functions (PDFs) in a toy model of self-organised shear flows, where the formation of shear flows is induced by a finite memory time of a stochastic forcing, manifested by the emergence of a bimodal PDF with the two peaks representing non-zero mean values of a shear flow. Using theoretical analyses of limiting cases, as well as numerical solutions of the full Fokker–Planck equation, we present a thorough parameter study of PDFs for different values of the correlation time and amplitude of stochastic forcing. From time-dependent PDFs, we calculate the information length ( L ), which is the total number of statistically different states that a system passes through in time and utilise it to understand the information geometry associated with the formation of bimodal or unimodal PDFs. We identify the difference between the relaxation and build-up of the shear gradient in view of information change and discuss the total information length ( L = L ( t ) ) which maps out the underlying attractor structures, highlighting a unique property of L which depends on the trajectory/history of a PDF’s evolution. Full article
Show Figures

Figure 1

15 pages, 1261 KB  
Article
Initial Results from SQUID Sensor: Analysis and Modeling for the ELF/VLF Atmospheric Noise
by Huan Hao, Huali Wang, Liang Chen, Jun Wu, Longqing Qiu and Liangliang Rong
Sensors 2017, 17(2), 371; https://doi.org/10.3390/s17020371 - 14 Feb 2017
Cited by 7 | Viewed by 6852
Abstract
In this paper, the amplitude probability density (APD) of the wideband extremely low frequency (ELF) and very low frequency (VLF) atmospheric noise is studied. The electromagnetic signals from the atmosphere, referred to herein as atmospheric noise, was recorded by a mobile low-temperature superconducting [...] Read more.
In this paper, the amplitude probability density (APD) of the wideband extremely low frequency (ELF) and very low frequency (VLF) atmospheric noise is studied. The electromagnetic signals from the atmosphere, referred to herein as atmospheric noise, was recorded by a mobile low-temperature superconducting quantum interference device (SQUID) receiver under magnetically unshielded conditions. In order to eliminate the adverse effect brought by the geomagnetic activities and powerline, the measured field data was preprocessed to suppress the baseline wandering and harmonics by symmetric wavelet transform and least square methods firstly. Then statistical analysis was performed for the atmospheric noise on different time and frequency scales. Finally, the wideband ELF/VLF atmospheric noise was analyzed and modeled separately. Experimental results show that, Gaussian model is appropriate to depict preprocessed ELF atmospheric noise by a hole puncher operator. While for VLF atmospheric noise, symmetric α-stable (SαS) distribution is more accurate to fit the heavy-tail of the envelope probability density function (pdf). Full article
(This article belongs to the Section Physical Sensors)
Show Figures

Figure 1

15 pages, 3045 KB  
Article
Study of Short-Term Photovoltaic Power Forecast Based on Error Calibration under Typical Climate Categories
by Yajing Gao, Jing Zhu, Huaxin Cheng, Fushen Xue, Qing Xie and Peng Li
Energies 2016, 9(7), 523; https://doi.org/10.3390/en9070523 - 8 Jul 2016
Cited by 13 | Viewed by 5048
Abstract
With the increasing permeability of photovoltaic (PV) power production, the uncertainties and randomness of PV power have played a critical role in the operation and dispatch of the power grid and amplified the abandon rate of PV power. Consequently, the accuracy of PV [...] Read more.
With the increasing permeability of photovoltaic (PV) power production, the uncertainties and randomness of PV power have played a critical role in the operation and dispatch of the power grid and amplified the abandon rate of PV power. Consequently, the accuracy of PV power forecast urgently needs to be improved. Based on the amplitude and fluctuation characteristics of the PV power forecast error, a short-term PV output forecast method that considers the error calibration is proposed. Firstly, typical climate categories are defined to classify the historical PV power data. On the one hand, due to the non-negligible diversity of error amplitudes in different categories, the probability density distributions of relative error (RE) are generated for each category. Distribution fitting is performed to simulate probability density function (PDF) curves, and the RE samples are drawn from the fitted curves to obtain the sampling values of the RE. On the other hand, based on the fluctuation characteristic of RE, the recent RE data are utilized to analyze the error fluctuation conditions of the forecast points so as to obtain the compensation values of the RE. The compensation values are adopted to sequence the sampling values by choosing the sampling values closest to the compensation ones to be the fitted values of the RE. On this basis, the fitted values of the RE are employed to correct the forecast values of PV power and improve the forecast accuracy. Full article
(This article belongs to the Special Issue Distributed Renewable Generation)
Show Figures

Graphical abstract

Back to TopTop