Next Article in Journal
Remaining Useful Life Prediction of Lithium-Ion Batteries Based on Neural Network and Adaptive Unscented Kalman Filter
Previous Article in Journal
A Compact, Low-Power, and Low-Jitter Fractional-N Phase-Locked Loop with a Single-Ended Ring Voltage-Controlled Oscillator in a 12 nm CMOS FinFET
Previous Article in Special Issue
Joint Packet Length and Power Optimization for Covert Short-Packet D2D Communications
 
 
Font Type:
Arial Georgia Verdana
Font Size:
Aa Aa Aa
Line Spacing:
Column Width:
Background:
Article

Analysis on the Performance of Reconfigurable Intelligent Surface-Equipped Unmanned Aerial Vehicles in Dual-Hop Emergency Wireless Communication Systems under the Jamming of Reconfigurable Intelligent Surface-Equipped Unmanned Aerial Vehicles

1
Information and Navigation College, Air Force Engineering University, Xi’an 710077, China
2
School of Information and Communication, National University of Defense Technology, Wuhan 430030, China
*
Authors to whom correspondence should be addressed.
Electronics 2024, 13(13), 2618; https://doi.org/10.3390/electronics13132618
Submission received: 3 June 2024 / Revised: 28 June 2024 / Accepted: 1 July 2024 / Published: 4 July 2024
(This article belongs to the Special Issue Covert Wireless Communication with Multi-Domain Uncertainties)

Abstract

This paper investigates dual-hop Reconfigurable Intelligent Surface (RIS) wireless communication systems with malicious jamming, where the destination node faces jamming from a malicious jammer with a RIS-Equipped Unmanned Aerial Vehicle (UAV) relay. We model the channel gains for Tx-RIS and Jammer-RIS links with a Rician distribution, while the RIS-Rx link follows a Nakagami-m distribution, and the jamming status is modeled as a Bernoulli-distributed random variable. We derived and provided closed-form expressions for the probability density functions (PDFs) of the legitimate channel and jamming channel in RIS-Equipped UAV wireless communication systems. Additionally, a new closed-form expression for the PDF of the received signal-to-jamming ratio (SJR) is derived. Using the Gauss–Laguerre Approximation method, we calculate the Average Bit Error Rate (ABER) under Binary Phase Shift Keying (BPSK) and Quadrature Amplitude Modulation (QAM) schemes. We analyze the effects of jamming probability, the location of the legitimate RIS, and different channel conditions on ABER performance through theoretical analyses and simulation results. Our theoretical analyses and simulation results indicate that an increase in the probability of malicious jamming significantly raises the ABER. For example, under favorable channel conditions, the ABER for BPSK modulation was observed to be as low as 10 5 , whereas under poor channel conditions, the ABER increased to 10 2 . Additionally, by reducing the distance between the transmitter and the RIS, the ABER can be improved. The legitimate RIS performs better when closer to the transmitter. These findings highlight the critical impact of channel conditions and the deployment of the RIS on the overall system’s performance. Our results offer valuable insights into designing and evaluating the performance of RIS-Equipped UAV wireless communication systems in the presence of malicious jamming, aiding in the development of countermeasures to enhance system resilience and security. The derived expressions are validated through Monte Carlo simulations.

1. Introduction

In recent years, the rapid advancements in Reconfigurable Intelligent Surfaces (RISs) have significantly transformed wireless communication systems, enhancing their capacity and efficiency by intelligently reconfiguring the wireless propagation environment [1,2]. The RIS, developed from metamaterial technology, is an artificial electromagnetic surface structure with real-time programmable electromagnetic characteristics, which are composed of a wide range of passive reflecting elements and can intelligently manipulate electromagnetic waves, thereby enhancing signal propagation and coverage [1,3]. By smartly adjusting the phase shifts of the signals reflected from their surfaces, RISs can markedly enhance the performance of communication channels [4,5] because of their light weight, low cost, and programmable and easy deployment, which makes them a highly attractive solution for modern RF communication systems [6]. Extensive studies have demonstrated the potential of RISs to mitigate interference, boost signal strength, and improve overall network efficiency [7,8,9]. Researchers have explored the capacity of proactively adjustable intelligent surfaces to boost wireless energy-enabled communication networks, catering to the growing connectivity demands of IoT devices [10]. An innovative method for optimizing the beamwidth of RISs to alleviate intra-beam interference has been introduced [11]. An examination of the communication frameworks pertaining to Reconfigurable Intelligent Surfaces, traversing from the electromagnetic properties of the surfaces to the enhancement of wireless network performance, has been reviewed [12]. The dynamic adaptability of RISs to different communication environments represents a significant advancement in wireless technology, and it is expected to serve as a notable part of sixth-generation (6G) wireless communication networks [9,13,14,15,16].
A significant quantity of research has been concentrated on RIS-aided wireless communication systems. Channel characterization and modeling matters have been dealt with in [17], and sparsity-aware channel estimations for fully passive RIS-aided systems were attained in [18]. Further, channel modeling for RIS-aided 6G communications was analyzed in [19]. In the realm of interference in RIS-aided wireless communication systems, most existing research concentrates on managing interference between legitimate users. For instance, Sikri A et al. analyzed the joint impact of mobile jamming on RIS-aided systems using the κ–μ fading model in [20]. A statistical characterization of cascaded channels with evaluations of outage probability (OP) and Average Bit Error Rate (ABER) was proposed in [21]. Closed-form expressions for an active STAR-RIS-aided two-user downlink communication system are achieved for the OP in both the coupled and independent phase-shift circumstances [22]. This study was conducted on the robust transmission design for an RIS-assisted secure communication system when there are transceiver hardware impairments [23]. The study in reference [24] scrutinized the operational effectiveness of multi-hop systems that integrate Free Space Optics (FSO) with Radio Frequency (RF) communications, aided by RISs. The above research mainly focuses on how to utilize RISs to improve the performance of wireless communication while not involving the interference issues of RIS-assisted wireless communication.
Current research primarily focuses on jamming between legitimate users in RIS-aided systems. Although [24] analyzed malicious jamming, the proposed use of a fixed RIS as a relay is impractical in harsh environments, such as military scenarios. The study of Unmanned Aerial Vehicle (UAV)-assisted wireless communication is evolving rapidly, driven by the unique capabilities of UAVs to provide flexible and dynamic support across various scenarios. UAVs enhance connectivity, extend coverage, and improve overall network performance, especially in challenging environments [25,26,27,28]. Recent research emphasized the integration of UAV-assisted wireless communication systems with RISs, where UAVs equipped with RISs intelligently relay and manipulate signals to enhance link quality [24,29]. The authors carried out a comprehensive examination of RIS-assisted UAV systems with consideration given to multiple aspects like optimization, communication methods, deep reinforcement learning, secrecy performance, efficiency improvement, and the Internet of Things [30]. For RIS-assisted relay wireless communication, the above studies did not analyze the performance impact of malicious jamming using Unmanned Aerial Vehicles (UAVs) on the RIS-assisted dual-hop system.
Motivated by the above discussion, this study investigates a dual-hop wireless communication system with a RIS-Equipped UAV, where the receiver is jammed by a malicious jammer with a RIS-Equipped UAV. These systems have significant applications in various fields, such as the military and defense for security, and in areas affected by natural disasters to maintain connections. To the authors’ greatest knowledge, no work has investigated RIS-Equipped UAV dual-hop wireless communication systems when there is a RIS-Equipped UAV jamming. The main contributions of this work are presented as follows:
  • We derived and presented a closed-form expression for the probability density function (PDF) of the legitimate channel and jamming channel in the RIS-Equipped UAV dual-hop wireless communication systems. Additionally, we derived a novel closed-form expression for the PDF of the received signal-to jamming ratio (SJR).
  • Using the Gauss–Laguerre Approximation, we derived expressions for the ABER under BPSK and QAM modulation.
  • We analyzed the effects of jamming probability, the location of the legitimate RIS, and different channel conditions on the performance of the ABER through analytical and simulation results.
The subsequent sections in this paper are organized as follows: Section 2 presents an overview of wireless communication systems, including the jammer and relevant channel models. Section 3 focuses on deriving the closed-form expressions for the ABER under both the BPSK and QAM schemes. Section 4 presents the numerical results and corresponding discussions, and Section 5 concludes this paper.

2. System and Channel Models

We consider a RIS-Equipped UAV wireless communication system in an emergency scenario where a malicious jammer employs a RIS-Equipped UAV to disrupt legitimate signals. The legitimate signal is transmitted from the transmitter (Tx) and relayed through the RIS to reach the receiver (Rx). The signal from the jammer is relayed via a RIS-Equipped UAV, jamming the legitimate signal at the Rx. The system model is shown in Figure 1.
In the considered system, the RIS is composed of N passive reflective units. Assuming that the RIS can fully adjust phase shifts, the received signal, denoted as y , at the Rx can be formulated as follows:
y = P s d S R ε d R D ε [ i = 1 N α i β i ] x s + P J d J U ε d U D ε [ t = 1 N η t μ t ] Λ x J + n
where P s is the transmission power of the source; x s represents the normalized transmitted signal with unit power; n ( 0 , N 0 ) indicates additive white Gaussian noise; P J is the jammer transmission power; and x J is the jamming signal symbol. d S R , d R D , d J U , and d U D are the distances from the Tx to the RIS 1, the RIS 1 to the Rx, the jammer to the RIS 2, and the RIS 2 to the destination, respectively, with ε being the path loss exponent.
The channel gains α i and η t follow the Rician distribution [21], whereas β i and μ t follow the Nakagami-m distribution [24]. As a result, the signal-to-jamming-noise ratio (SJNR) at the Rx can be expressed as follows:
γ S J N R = P s d S R ε d R D ε [ i = 1 N α i β i ] 2 P J d J U ε d U D ε [ t = 1 N η t μ t ] 2 + N 0
where Λ stands for the state of jamming, which is modeled by means of a Bernoulli-distributed random variable [31,32]. Hence, the probability distribution of Λ is provided as follows:
{ P ( Λ = 1 ) = ρ P ( Λ = 0 ) = 1 ρ
where ρ denotes the probability of jamming. The average jamming power E J is defined as P J = E J / ρ .
Let H S = [ i = 1 N α i β i ] 2 and H J = [ t = 1 N η t μ t ] 2 . Here, H S G a m m a ( a S + 1 , b S ) and H J G a m m a ( a J + 1 , b J ) , where a S + 1 and a J + 1 are shape parameters, and b S and b J are the scale parameters of the Gamma distribution [24]. Thus the PDF of H x is calculated as follows:
f H x ( h x ) = h x g x 1 exp ( h x b x ) b x g x Γ ( g x )
where x { S , J } , g S = a S + 1 , and g J = a J + 1 .
From Equation (2), assuming the dominance of jamming power, it can be obtained that the SJR is:
γ S J R = P s d S R ε d R D ε [ i = 1 N α i β i ] 2 P J d J U ε d U D ε [ t = 1 N η t μ t ] 2 = D γ ¯ [ i = 1 N α i β i ] 2 ρ [ t = 1 N η t μ t ] 2
where D = d J U ε d U D ε d S R ε d R D ε and γ ¯ = P s E J is the average SJR.
Remark 1. 
It can be observed from Equation (5) that as D increases, the γ S J R also increases accordingly.
If we set Z = H S H J , the SJR can be represented as follows:
γ S J R = D γ ¯ Z / ρ
where Z is the ratio of two Gamma-distributed variables [33], and we obtained the following:
f Z ( Z ) = 0 H J f H S ( Z H J ) f H J ( H J ) d H J
Substituting Equation (4) into Equation (6), the PDF of Z is given as follows:
f Z ( z ) = ( g S b S ) g S ( g J b J ) g J z g S 1 B ( g S , g J ) ( g S b S z + g J b J ) g S + g J ,   z 0
Therefore, the PDF of γ S J R is as follows:
f γ S J R ( γ ) = ρ D γ ¯ f Z ( ρ γ D γ ¯ )

3. ABER Analysis

In this part, we evaluate the ABER performance across various modulation techniques, including BPSK and QAM.

3.1. BPSK

From [34], the ABER calculation expression for BPSK modulation can be obtained as follows:
P e = 0 Q ( 2 x ) f γ S J R ( x ) d x
where Q ( x ) = 1 2 e r f c ( x 2 ) .
Substituting Equations (7) and (8) into Equation (9), and by using Gauss–Laguerre to carry out integration, the following can be obtained:
P e B P S K = ( g S b S ) g S ρ ( g J b J ) g J 2 D γ ¯ B ( g S , g J ) i = 1 n w i e x i ( ρ x i D γ ¯ ) g S 1 e r f c ( x i ) ( g S b S ρ x i D γ ¯ + g J b J ) g S + g J
where w i signifies the weight factor, while x i corresponds to the i t h zero of the Laguerre polynomial.
Proof. 
Refer to Appendix A for the proof. □

3.2. QAM

When the modulation mode of the system is QAM, from [35], it can be obtained that the ABER is as follows:
P e Q A M 4 log 2 M ( 1 1 M ) 0 Q ( 3 log 2 M M 1 x ) f γ S J R ( x ) d x
Substituting Equations (7) and (8) into Equation (11), and by using Gauss–Laguerre to carry out integration, the following can be obtained:
P e Q A M = 4 ρ ( 1 1 M ) D γ ¯ log 2 M ( g S b S ) g S ( g J b J ) g J B ( g S , g J ) i = 1 n w i e x i ( ρ x i D γ ¯ ) g S 1 Q ( 3 log 2 M 2 ( M 1 ) x i ) ( g S b S ( ρ x i D γ ¯ ) + g J b J ) g S + g J
Proof. 
Refer to Appendix B for the proof. □
Remark 2. 
The Gauss–Laguerre approximation used in Equations (10) and (12) converges to the exact integral values in Equations (9) and (11), respectively, when n is finite. In the simulations, we considered n = 60 .
Remark 3. 
From Equations (10) and (12), it can be observed that the ABER in both Equations (10) and (12) increases with the probability of jamming ρ . As γ ¯ increases, the ABER decreases.

4. Numerical Results and Discussion

Unless otherwise specified, we set d S R = d R D = 2   km , d J U = d U D = 1   km [21], g S = g J = 5.88 , b S = b J = 0.4472 [33], and ε = 2.5 [21]. In the following simulations, we employed Monte Carlo methods, conducting a total of 10 8 simulation iterations.
Figure 2 shows the impact of malicious jamming probability on the ABER in BPSK modulation. It can be seen that the ABER declines with an increase in the SJR, and conversely, it escalates with a higher probability of jamming events. At a high SJR, the probability of jamming occurrence has a greater influence on the ABER. For example, when SJR = 10 dB, ρ = 0.01; SJR = 10 dB, ρ = 0.5; SJR = 40 dB, ρ = 0.01; and SJR = 40 dB, ρ = 0.5, the ABER is 2.8 × 10 7 , 1.5 × 10 3 , 1.6 × 10 24 , and 7.1 × 10 17 , respectively. As the jamming probability increases, the ABER correspondingly rises. Since detecting random jamming is more challenging compared to continuous jamming, it is more suitable for practical jamming scenarios. Therefore, we propose that our jamming probability model is more effective for real-world applications than the model presented by [24]. From Figure 2, it is observable that the simulation outcomes are in close alignment with the outcomes derived from theoretical analysis.
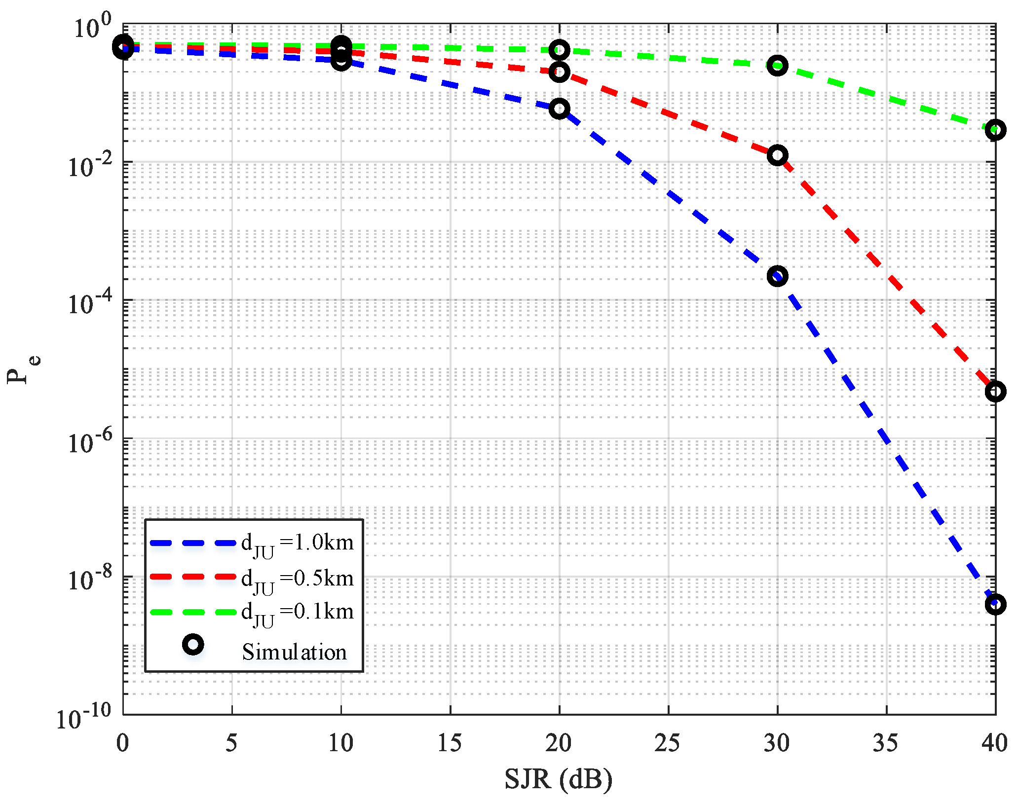
Figure 3 and Figure 4 analyze the effect of the location of the RIS on the system performance in the case when the jamming probability is one. As d S R decreases, the ABER decreases accordingly; meanwhile, as d J U decreases, the ABER increases accordingly. This indicates that the closer the RIS is to the transmitter, the better the performance of the system, since the stronger the jamming signal, the higher the ABER. Therefore, the farther the jamming RIS is from the jammer, the better the ABER performance. This is because the closer it is to the transmitter, the more it can effectively collect and transmit signals. Additionally, from Figure 4, it can be observed that as the SJR increases, the position of the jamming RIS has a more significant impact on the ABER. For instance, when the SJR = 20 dB, the ABER at d J U = 1 km and d J U = 0.1 km are 0.05 and 0.41, respectively, differing by one order of magnitude. When the SJR = 40 dB, the ABER values are 3.94 × 10 9 and 0.02, respectively, differing by seven orders of magnitude.
We analyzed the influence of diverse channel environments on the ABER using g S and g J , as shown in Figure 5. g S and g J represent the degree of fluctuation in the received signal power. A larger shape parameter indicates less power fluctuation and a more stable channel condition. By analyzing Figure 5, it can be observed that as the values of g S and g J increase, the ABER decreases accordingly. At the same time, it can be found that when the values of g S and g J are greater than five, the improvement in the ABER at a high SJR is relatively significant. The ABER for BPSK modulation was observed to be as low as 10 5 , whereas under poor channel conditions, the ABER increased to 10 2 . This is because the channel condition is better and the signal intensity fluctuation is smaller. However, when the values of g S and g J are around one, the ABER performance is poorer, which is because the channel condition is worse and the signal fluctuation is larger now.
Similarly, Figure 6 also analyzes the effect of the jamming parameter b J on the ABER of the system. Both b S and b J represent the average power or intensity of the received signal. A larger scale parameter indicates a higher average power of the signal. From Figure 5, it can be observed that when b S = 1 , the ABER is inversely proportional to b J . And when b S = 0.1 and b J = 1.0 , the jamming power accounts for the main component of the Rx and, therefore, has a relatively large impact on the ABER.
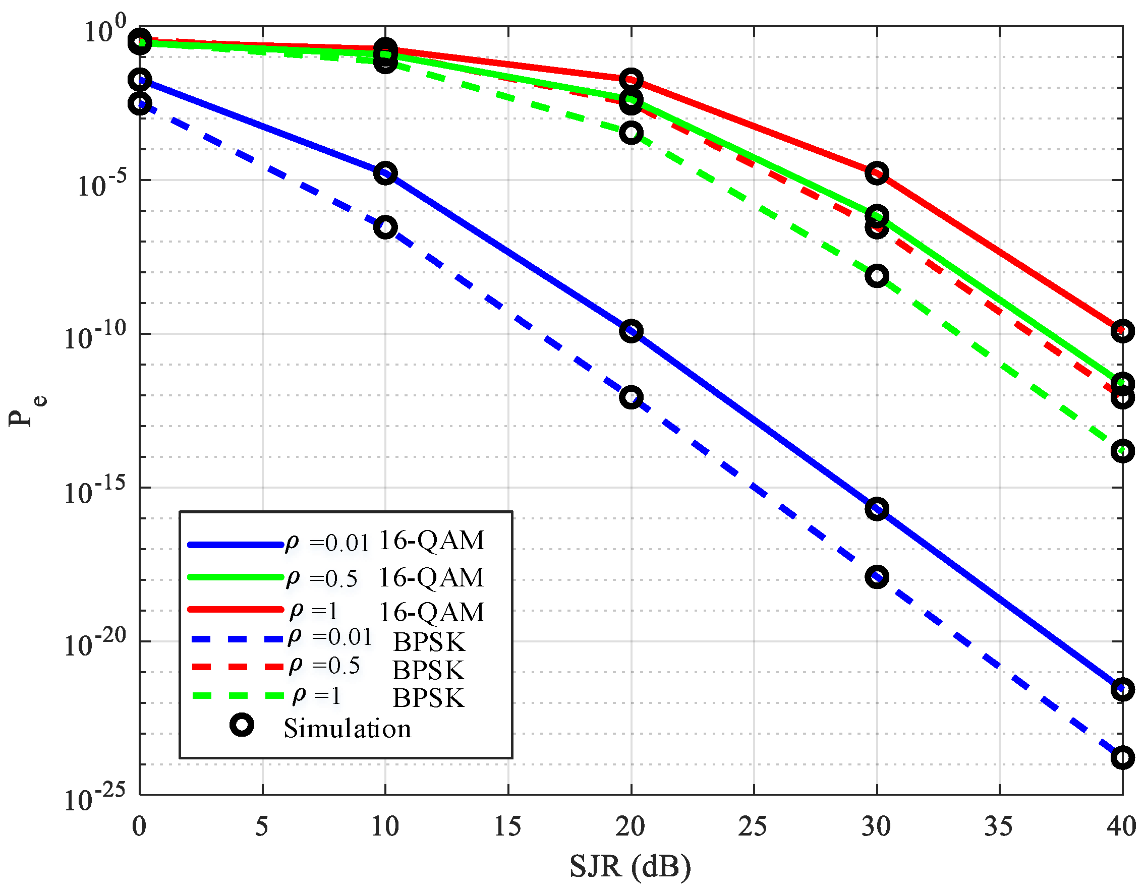
Figure 7 presents a comparison analysis of the effect of different jamming probabilities on the ABER under BPSK and 16-QAM modulation. As shown in Figure 7, under the same jamming probability, the ABER performance of the BPSK modulation is superior to that of the 16-QAM modulation. This is because, although the QAM modulation can effectively increase the transmission rate, it demands a higher channel quality compared to BPSK. Additionally, it is evident that the presence of jamming significantly influences the system’s ABER. Additionally, the impact of jamming probability on the ABER varies between the two modulation schemes. When the probability of jamming is identical, a higher SJR has a more significant impact on the performance of 16-QAM compared to BPSK. For example, when SJR = 30 dB and ρ = 0.5 , the ABER values for 16-QAM and BPSK are 6.6 × 10 7 and 7.5 × 10 9 , respectively, differing by two orders of magnitude.
Figure 8 illustrates an analysis of the influence that the positioning of the legitimate RIS has on the ABER across distinct modulation schemes, specifically 16-QAM and BPSK. Figure 8 analyzes the impact of the position of the legitimate RIS on the ABER under different modulation schemes (16-QAM and BPSK). From Figure 3 and Figure 7, it can be concluded that regardless of whether the system employs QAM modulation or BPSK modulation, the closer the legitimate RIS is to the Tx, the better the system’s ABER performance. As observed in Figure 8, the ABER performance of BPSK modulation is superior to that of 16-QAM.

5. Conclusions

In this work, we have performed a performance analysis of RIS-equipped UAV wireless communication systems under the influence of RIS-equipped UAV malicious jamming. First, we proposed the system and channel models and derived the closed-form expressions for the PDFs of both the legitimate and jamming channels. Next, we derived novel closed-form expressions for the PDF of the received SJR. Using the Gauss-Laguerre approximation, we further derived the expressions for the ABERs under BPSK and QAM modulation. We analyzed the effects of jamming probability, the location of the legitimate RIS, and different channel conditions on ABER performance through theoretical research and simulation results. Our simulations indicated that an increase in the probability of malicious jamming significantly raises the ABER. Moreover, the results show that the legitimate RIS is closer to the transmitter, so the system performs better. Furthermore, this study reveals that system performance varies under different channel conditions. Our study indicates that the system’s performance is significantly influenced by channel conditions. For instance, under favorable channel conditions, the ABER for BPSK modulation was observed to be as low as 10 5 , whereas under poor channel conditions, the ABER increased to 10 2 . Additionally, we found that by reducing the distance between the transmitter and the RIS, the ABER could be improved. These findings highlight the critical impact of channel conditions and the placement of the RIS on the overall system performance. Last, when the channel conditions are poor, it is advisable to prioritize the use of BPSK modulation, and when jamming is active, minimizing the distance between the transmitter and the RIS can help optimize the system’s ABER performance.

Author Contributions

Conceptualization, J.L. (Juan Li) and G.W.; methodology, J.L. (Juan Li); software, J.L. (Jiong Liu); validation, D.W., and H.J.; formal analysis, J.L. (Juan Li); investigation, J.Z.; resources, D.W.; data curation, G.W.; writing—original draft preparation, J.L. (Juan Li); writing—review and editing, G.W.; visualization, J.L. (Jiong Liu); supervision, G.W.; project administration, H.J.; funding acquisition, D.W. All authors have read and agreed to the published version of the manuscript.

Funding

This research was funded by National Science Foundation of China, grant number 62301599.

Data Availability Statement

The data presented in this study are available in this article.

Conflicts of Interest

The authors declare no conflicts of interest.

Appendix A

In practical terms, the Gauss–Laguerre quadrature method can efficiently compute integrals of the form [36]:
0 e x f ( x ) d x i = 1 n w i f ( x i )
where f ( x ) is a function that may be complex or difficult to integrate directly. This method relies on choosing appropriate nodes and weights associated with the Laguerre polynomials to achieve accurate numerical results with relatively few function evaluations [36].
Substituting Equations (7) and (8) into Equation (9), and then simplifying, we obtain the following:
P e B P S K = ( g S b S ) g S ( g J b J ) g J 2 D ρ γ ¯ B ( g S , g J ) 0 ( x D ρ γ ¯ ) g S 1 e r f c ( x 2 ) ( g S b S ( x D ρ γ ¯ ) + g J b J ) g S + g J d x
The following can be obtained from Equations (A1) and (A2):
f ( x ) = e x ( x D ρ γ ¯ ) g S 1 e r f c ( x 2 ) ( g S b S ( x D ρ γ ¯ ) + g J b J ) g S + g J
By integrating Equations (A2) and (A3) using (A1), we obtain Equation (10).

Appendix B

Substituting Equations (7) and (8) into Equation (11), and then simplifying, we obtain the following:
P e Q A M = 4 ( 1 1 M ) D ρ γ ¯ log 2 M ( g S b S ) g S ( g J b J ) g J B ( g S , g J ) 0 Q ( 3 log 2 M M 1 x ) ( x D ρ γ ¯ ) g S 1 ( g S b S ( x D ρ γ ¯ ) + g J b J ) g S + g J d x
Similar to the derivation process of Equation (10), by integrating Equation (A4) using (A1), we obtain Equation (12).

References

  1. Jian, M.; Alexandropoulos, G.C.; Basar, E.; Huang, C.; Liu, R.; Liu, Y.; Yuen, C. Reconfigurable intelligent surfaces for wireless communications: Overview of hardware designs, channel models, and estimation techniques. Intell. Converg. Netw. 2022, 3, 1–32. [Google Scholar] [CrossRef]
  2. Wang, J.; Gao, D.; Li, J.; Huang, L.; Ding, H.; Zhou, S. Analysis and Mitigating Methods for Jamming in the Optical Reconfigurable Intelligent Surfaces-Assisted Dual-Hop FSO Communication Systems. Electronics 2024, 13, 1730. [Google Scholar] [CrossRef]
  3. Yuan, X.; Zhang, Y.-J.A.; Shi, Y.; Yan, W.; Liu, H. Reconfigurable-intelligent-surface empowered wireless communications: Challenges and opportunities. IEEE Wirel. Commun. 2021, 28, 136–143. [Google Scholar]
  4. Cao, K.; Ding, H.; Lv, L.; Su, Z.; Tao, J.; Gong, F.; Wang, B. Physical Layer Security for Intelligent Reflecting Surface aided Wireless Powered Communication. IEEE Internet Things J. 2023, 10, 18097–18110. [Google Scholar] [CrossRef]
  5. Chen, Q.; Guo, Z.; Meng, W.; Han, S.; Li, C.; Quek, T.Q. A Survey on Resource Management in Joint Communication and Computing-Embedded SAGIN. arXiv 2024, arXiv:2403.17400. [Google Scholar] [CrossRef]
  6. Khoshafa, M.H.; Maraqa, O.; Moualeu, J.M.; Aboagye, S.; Ngatched, T.; Ahmed, M.H.; Gadallah, Y.; Di Renzo, M. RIS-Assisted Physical Layer Security in Emerging RF and Optical Wireless Communication Systems: A Comprehensive Survey. arXiv 2024, arXiv:2403.10412. [Google Scholar]
  7. Basharat, S.; Hassan, S.A.; Pervaiz, H.; Mahmood, A.; Ding, Z.; Gidlund, M. Reconfigurable intelligent surfaces: Potentials, applications, and challenges for 6G wireless networks. IEEE Wirel. Commun. 2021, 28, 184–191. [Google Scholar] [CrossRef]
  8. ElMossallamy, M.A.; Zhang, H.; Song, L.; Seddik, K.G.; Han, Z.; Li, G.Y. Reconfigurable intelligent surfaces for wireless communications: Principles, challenges, and opportunities. IEEE Trans. Cogn. Commun. Netw. 2020, 6, 990–1002. [Google Scholar] [CrossRef]
  9. Pan, C.; Zhou, G.; Zhi, K.; Hong, S.; Wu, T.; Pan, Y.; Ren, H.; Di Renzo, M.; Swindlehurst, A.L.; Zhang, R. An overview of signal processing techniques for RIS/IRS-aided wireless systems. IEEE J. Sel. Top. Signal Process. 2022, 16, 883–917. [Google Scholar] [CrossRef]
  10. Hameed, I.; Koo, I. Enhancing Throughput in IoT Networks: The Impact of Active RIS on Wireless Powered Communication Systems. Electronics 2024, 13, 1402. [Google Scholar] [CrossRef]
  11. Sikander, M.; Butt, F.A.; Chattha, J.N.; Naqvi, I.H. Improving Wireless Communication through Beamwidth Optimization in Reconfigurable Intelligent Surfaces. In Proceedings of the 2023 10th International Conference on Wireless Networks and Mobile Communications (WINCOM), Istanbul, Turkey, 26–28 October 2023; pp. 1–5. [Google Scholar]
  12. Renzo, M.D.; Danufane, F.H.; Tretyakov, S. Communication Models for Reconfigurable Intelligent Surfaces: From Surface Electromagnetics to Wireless Networks Optimization. Proc. IEEE 2022, 110, 1164–1209. [Google Scholar] [CrossRef]
  13. Dao, N.-N.; Pham, Q.-V.; Tu, N.H.; Thanh, T.T.; Bao, V.N.Q.; Lakew, D.S.; Cho, S. Survey on aerial radio access networks: Toward a comprehensive 6G access infrastructure. IEEE Commun. Surv. Tutor. 2021, 23, 1193–1225. [Google Scholar] [CrossRef]
  14. Nguyen, V.-L.; Lin, P.-C.; Cheng, B.-C.; Hwang, R.-H.; Lin, Y.-D. Security and privacy for 6G: A survey on prospective technologies and challenges. IEEE Commun. Surv. Tutor. 2021, 23, 2384–2428. [Google Scholar] [CrossRef]
  15. Rodriguez, J.; Verikoukis, C.; Vardakas, J.S.; Passas, N. Enabling 6G Mobile Networks; Springer: New York, NY, USA, 2022. [Google Scholar]
  16. Saqib, N.U.; Haroon, M.S.; Lee, H.Y.; Park, K.; Song, H.-G.; Jeon, S.-W. THz Communications: A Key Enabler for Future Cellular Networks. IEEE Access 2023, 11, 117474–117493. [Google Scholar] [CrossRef]
  17. Huang, J.; Wang, C.-X.; Sun, Y.; Feng, R.; Huang, J.; Guo, B.; Zhong, Z.; Cui, T.J. Reconfigurable intelligent surfaces: Channel characterization and modeling. Proc. IEEE 2022, 110, 1290–1311. [Google Scholar] [CrossRef]
  18. Amri, M.M.; Tran, N.M.; Park, J.H.; Kim, D.I.; Choi, K.W. Sparsity-Aware Channel Estimation for Fully Passive RIS-Based Wireless Communications: Theory to Experiments. IEEE Internet Things J. 2022, 10, 8046–8067. [Google Scholar] [CrossRef]
  19. Fu, X.; Peng, R.; Liu, G.; Wang, J.; Yuan, W.; Kadoch, M. Channel modeling for RIS-assisted 6G communications. Electronics 2022, 11, 2977. [Google Scholar] [CrossRef]
  20. Sikri, A.; Mathur, A.; Kaddoum, G. Joint impact of phase error, transceiver hardware impairments, and mobile interferers on RIS-aided wireless system over κ-μ fading channels. IEEE Commun. Lett. 2022, 26, 2312–2316. [Google Scholar] [CrossRef]
  21. Yang, L.; Li, P.; Yang, Y.; Li, S.; Trigui, I.; Ma, R. Performance analysis of RIS-aided networks with co-channel interference. IEEE Commun. Lett. 2021, 26, 49–53. [Google Scholar] [CrossRef]
  22. Xu, J.; Zuo, J.; Zhou, J.T.; Liu, Y. Active Simultaneously Transmitting and Reflecting (STAR)-RISs: Modeling and Analysis. IEEE Commun. Lett. 2023, 27, 2466–2470. [Google Scholar] [CrossRef]
  23. Zhou, G.; Pan, C.; Ren, H.; Wang, K.; Peng, Z. Secure Wireless Communication in RIS-Aided MISO System with Hardware Impairments. IEEE Wirel. Commun. Lett. 2021, 10, 1309–1313. [Google Scholar] [CrossRef]
  24. Sikri, A.; Mathur, A.; Verma, G.; Kaddoum, G. Distributed RIS-based dual-hop mixed FSO-RF systems with RIS-aided jammer. In Proceedings of the 2021 IEEE 94th Vehicular Technology Conference (VTC2021-Fall) (IEEE2021), Virtual, 27–30 September 2021; pp. 1–5. [Google Scholar]
  25. Adoni, W.Y.H.; Lorenz, S.; Fareedh, J.S.; Gloaguen, R.; Bussmann, M. Investigation of autonomous multi-UAV systems for target detection in distributed environment: Current developments and open challenges. Drones 2023, 7, 263. [Google Scholar] [CrossRef]
  26. Mohsan, S.A.H.; Othman, N.Q.H.; Li, Y.; Alsharif, M.H.; Khan, M.A. Unmanned aerial vehicles (UAVs): Practical aspects, applications, open challenges, security issues, and future trends. Intell. Serv. Robot. 2023, 16, 109–137. [Google Scholar] [CrossRef] [PubMed]
  27. Saif, A.; Dimyati, K.; Noordin, K.A.; Mosali, N.A.; Deepak, G.; Alsamhi, S.H. Skyward bound: Empowering disaster resilience with multi-UAV-assisted B5G networks for enhanced connectivity and energy efficiency. Internet Things 2023, 23, 100885. [Google Scholar] [CrossRef]
  28. Sharma, A.; Vanjani, P.; Paliwal, N.; Basnayaka, C.M.W.; Jayakody, D.N.K.; Wang, H.-C.; Muthuchidambaranathan, P. Communication and networking technologies for UAVs: A survey. J. Netw. Comput. Appl. 2020, 168, 102739. [Google Scholar] [CrossRef]
  29. Qi, W.; Yang, C.; Song, Q.; Guan, Y.; Guo, L.; Jamalipour, A. Minimizing Age of Information for Hybrid UAV-RIS-Assisted Vehicular Networks. IEEE Internet Things J. 2024, 11, 17886–17895. [Google Scholar] [CrossRef]
  30. Pogaku, A.C.; Do, D.T.; Lee, B.M.; Nguyen, N.D. UAV-Assisted RIS for Future Wireless Communications: A Survey on Optimization and Performance Analysis. IEEE Access 2022, 10, 16320–16336. [Google Scholar] [CrossRef]
  31. Nikjah, R.; Beaulieu, N.C. Antijamming capacity and performance analysis of multiple access spread spectrum systems in AWGN and fading environments. In Proceedings of the 2006 IEEE International Conference on Communications (IEEE2006), Istanbul, Turkey, 11–15 June 2006; pp. 5153–5159. [Google Scholar]
  32. Park, S.; Stark, W.E. Performance analysis of concatenated convolutional codes for STBC systems in pulse jamming. In Proceedings of the 2014 IEEE Military Communications Conference (IEEE2014), Baltimore, MA, USA, 6–8 October 2014; pp. 1510–1515. [Google Scholar]
  33. Chen, Y.; Cheng, W.; Zhang, W. Reconfigurable Intelligent Surface Equipped UAV in Emergency Wireless Communications: A New Fading–Shadowing Model and Performance Analysis. IEEE Trans. Commun. 2024, 72, 1821–1834. [Google Scholar] [CrossRef]
  34. Arthur, A.G.; Allen, H.L. Digital Communications BER Performance in AWGN (BPSK in Fading). In Modeling of Digital Communication Systems Using SIMULINK; Wiley: New York, NY, USA, 2015; pp. 119–140. [Google Scholar]
  35. Ke, X.; Lu, N.; Lu, Z. The simulation of QAM modulation/demodulation and the performance analyse in the RoFSO system. Laser J. 2010, 31, 21–23. [Google Scholar]
  36. Abramowitz, M.; Stegun, I.A. Handbook of Mathematical Functions with Formulas, Graphs, and Mathematical Tables; US Govt. Print: Washington, DC, USA, 2006. [Google Scholar]
Figure 1. The system model.
Figure 1. The system model.
Electronics 13 02618 g001
Figure 2. ABER versus SJR (dB) curves for a wireless system with a varying ρ .
Figure 2. ABER versus SJR (dB) curves for a wireless system with a varying ρ .
Electronics 13 02618 g002
Figure 3. ABER versus SJR (dB) curves for a wireless system with a varying d S R .
Figure 3. ABER versus SJR (dB) curves for a wireless system with a varying d S R .
Electronics 13 02618 g003
Figure 4. ABER versus SJR (dB) curves for a wireless system with a varying d J U .
Figure 4. ABER versus SJR (dB) curves for a wireless system with a varying d J U .
Electronics 13 02618 g004
Figure 5. ABER versus SJR (dB) curves for a wireless system with a varying g S and g J .
Figure 5. ABER versus SJR (dB) curves for a wireless system with a varying g S and g J .
Electronics 13 02618 g005
Figure 6. ABER versus SJR (dB) curves for a wireless communication system with a varying b S and b J .
Figure 6. ABER versus SJR (dB) curves for a wireless communication system with a varying b S and b J .
Electronics 13 02618 g006
Figure 7. A comparison of the relationship between the jamming probability and ABER under BPSK and 16-QAM modulations.
Figure 7. A comparison of the relationship between the jamming probability and ABER under BPSK and 16-QAM modulations.
Electronics 13 02618 g007
Figure 8. ABER versus SJR (dB) curves for a wireless communication system with varying legitimate RIS positions under 16-QAM and BPSK modulations.
Figure 8. ABER versus SJR (dB) curves for a wireless communication system with varying legitimate RIS positions under 16-QAM and BPSK modulations.
Electronics 13 02618 g008
Disclaimer/Publisher’s Note: The statements, opinions and data contained in all publications are solely those of the individual author(s) and contributor(s) and not of MDPI and/or the editor(s). MDPI and/or the editor(s) disclaim responsibility for any injury to people or property resulting from any ideas, methods, instructions or products referred to in the content.

Share and Cite

MDPI and ACS Style

Li, J.; Wang, G.; Liu, J.; Wang, D.; Jin, H.; Zhou, J. Analysis on the Performance of Reconfigurable Intelligent Surface-Equipped Unmanned Aerial Vehicles in Dual-Hop Emergency Wireless Communication Systems under the Jamming of Reconfigurable Intelligent Surface-Equipped Unmanned Aerial Vehicles. Electronics 2024, 13, 2618. https://doi.org/10.3390/electronics13132618

AMA Style

Li J, Wang G, Liu J, Wang D, Jin H, Zhou J. Analysis on the Performance of Reconfigurable Intelligent Surface-Equipped Unmanned Aerial Vehicles in Dual-Hop Emergency Wireless Communication Systems under the Jamming of Reconfigurable Intelligent Surface-Equipped Unmanned Aerial Vehicles. Electronics. 2024; 13(13):2618. https://doi.org/10.3390/electronics13132618

Chicago/Turabian Style

Li, Juan, Gang Wang, Jiong Liu, Dan Wang, Hengzhou Jin, and Jing Zhou. 2024. "Analysis on the Performance of Reconfigurable Intelligent Surface-Equipped Unmanned Aerial Vehicles in Dual-Hop Emergency Wireless Communication Systems under the Jamming of Reconfigurable Intelligent Surface-Equipped Unmanned Aerial Vehicles" Electronics 13, no. 13: 2618. https://doi.org/10.3390/electronics13132618

APA Style

Li, J., Wang, G., Liu, J., Wang, D., Jin, H., & Zhou, J. (2024). Analysis on the Performance of Reconfigurable Intelligent Surface-Equipped Unmanned Aerial Vehicles in Dual-Hop Emergency Wireless Communication Systems under the Jamming of Reconfigurable Intelligent Surface-Equipped Unmanned Aerial Vehicles. Electronics, 13(13), 2618. https://doi.org/10.3390/electronics13132618

Note that from the first issue of 2016, this journal uses article numbers instead of page numbers. See further details here.

Article Metrics

Back to TopTop