Sputtering Deposited CuCrO2 and CuCrO2-ZnSnN2 Heterojunctions
Abstract
1. Introduction
2. Experiments
2.1. Material and Device Fabrication
2.2. Material and Device Characterization
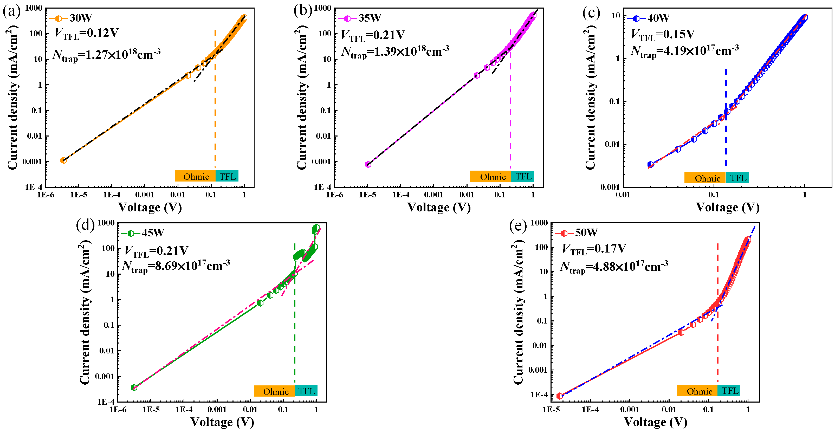
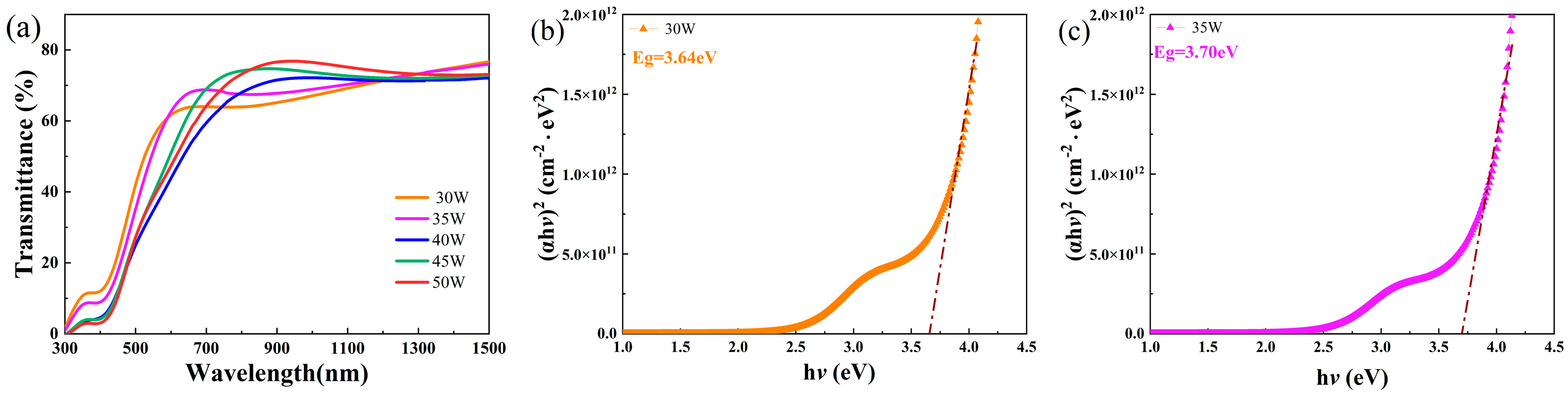
3. Results and Discussion
4. Conclusions
Author Contributions
Funding
Data Availability Statement
Conflicts of Interest
References
- Pk, J.S.; Shah, M.; Pradyumnan, P.P. Tailoring Structure and Nanoscale Surface Topography in Mg–N doped CuCrO2 Thin Films via Post Deposition Annealing for Optothermoelectric Application. Opt. Mater. 2024, 147, 114703. [Google Scholar] [CrossRef]
- Sanal, K.C.; Jayaraj, M.K. Room Temperature Deposited P-Channel Amorphous Cu1−xCrxO2−δ Thin Film Transistors. Appl. Surf. Sci. 2014, 315, 274–278. [Google Scholar] [CrossRef]
- Zhang, H.; Wang, H.; Zhu, H.; Chueh, C.; Chen, W.; Yang, S.; Jen, A.K.Y. Low-Temperature Solution-Processed CuCrO2 Hole-Transporting Layer for Efficient and Photostable Perovskite Solar Cells. Adv. Energy Mater. 2018, 8, 1702762. [Google Scholar] [CrossRef]
- Wang, S.; Wang, L.; Liu, C.; Shan, Y.; Li, F.; Sun, L. Spray Pyrolysis Deposition of CuCrO2 Films as Promising Inorganic Hole Transport Layers for Highly Efficient Perovskite Solar Cells. Energy Technol. 2022, 10, 2200518. [Google Scholar] [CrossRef]
- Sreeram, S.; Bharath, A.H.; Sundaram, K.B. Effect of Annealing Temperature on Radio Frequency Sputtered p-Type Delafossite Copper Chromium Oxide (CuCrO2) Thin Films and Investigation of Diode Characteristics Forming Transparent pn-Heterojunction. Coatings 2023, 13, 263. [Google Scholar] [CrossRef]
- Rabhi, S.; Hidouri, T.; Goumri-Said, S.; Alathlawi, H.J.; Alsulaim, G.M.; Waqas Alam, M. Bifacial Perovskite Solar Cells with >21% Efficiency: Computational Insights into Novel Htls Materials and Architectures. Sol. Energy 2024, 284, 113083. [Google Scholar] [CrossRef]
- Sun, C.; Tsai, D.; Chang, Z.; Chen, E.; Shieu, F. Structural. Optical, and Electrical Properties of Conducting P-Type Transparent Cu–Cr–O Thin Films. Ceram. Int. 2016, 42, 13697–13703. [Google Scholar] [CrossRef]
- Yu, R.; Wu, C. Characteristics of P-Type Transparent Conductive CuCrO2 Thin Films. Appl. Surf. Sci. 2013, 282, 92–97. [Google Scholar] [CrossRef]
- Cheng, W.; Cheng, P.; Sun, C.; Tian, Y.; Zhang, Y.; He, Y. Solution-Driven Epitaxial Structure Formation of the Delafossite CuCrO2 Thin Film. Cryst. Growth Des. 2025, 25, 4700–4704. [Google Scholar] [CrossRef]
- Li, Y.; Lin, J.; Tian, C.; Wang, X.; Wei, S.; Zhang, G.; Zhang, F.; Yang, W. First Demonstration of CuCrO2/β-Ga2O3 p-n Heterojunction Diode With High Breakdown Voltage and Low Leakage Current. IEEE Trans. Electron. Devices 2025, 72, 4005–4010. [Google Scholar] [CrossRef]
- Shah, A.A.; Parveen, A.; Alvi, P.A.; Azam, A. Low Temperature Synthesis and Effect of Co Doping on Structural, Optical and Dielectric Properties of CuCrO2 Hexagonal Nanoplates. Ceram. Int. 2020, 46, 19827–19834. [Google Scholar] [CrossRef]
- Arca, E.; Fioretti, A.; Lany, S.; Tamboli, A.C.; Teeter, G.; Melamed, C.; Pan, J.; Wood, K.N.; Toberer, E.; Zakutayev, A. Band Edge Positions and Their Impact on the Simulated Device Performance of ZnSnN2-Based Solar Cells. IEEE J. Photovolt. 2018, 8, 110–117. [Google Scholar] [CrossRef]
- Laidouci, A.; Aissat, A.; Vilcot, J.P. Numerical Study of Solar Cells Based on ZnSnN2 Structure. Sol. Energy 2020, 211, 237–243. [Google Scholar] [CrossRef]
- Ghadhab, B.N.M.; Bahrami, A. A Comprehensive Study on ZnSnN2-Based Solar Cells with Different Cu-Based Delafossite as Buffer Layers: A Numerical Analysis Using Scaps-1d. Sol. Energy Mater. Sol. Cells 2025, 289, 113675. [Google Scholar] [CrossRef]
- Punya, A.; Paudel, T.R.; Lambrecht, W.R.L. Electronic and Lattice Dynamical Properties of II-IV-N2 Semiconductors. Phys. Status Solidi C 2011, 8, 2492–2499. [Google Scholar] [CrossRef]
- Lewis, N.S. Research Opportunities to Advance Solar Energy Utilization. Science 2016, 351, 1920. [Google Scholar] [CrossRef]
- Quayle, P.C.; He, K.; Shan, J.; Kash, K. Synthesis, Lattice Structure, and Band Gap of ZnSnN2. MRS Commun. 2013, 3, 135–138. [Google Scholar] [CrossRef]
- Cai, X.; Wang, B.; Ye, F.; Vaithinathan, K.; Zeng, J.; Zhang, D.; Fan, P.; Roy, V.A.L. Tuning the Photoluminescence, Conduction Mechanism and Scattering Mechanism of ZnSnN2. J. Alloys Compd. 2019, 779, 237–243. [Google Scholar] [CrossRef]
- Ye, F.; He, C.; Wu, T.; Chen, S.; Su, Z.; Zhang, X.; Cai, X.; Liang, G. Sputtering Deposited and Energy Band Matched ZnSnN2 Buffer Layers for Highly Efficient Cd-Free Cu2ZnSnS4 Solar Cells. Adv. Funct. Mater. 2024, 34, 2402762. [Google Scholar] [CrossRef]
- Skrylev, A.; Nezhdanov, A.; Usanov, D.; Shestakov, D.; Baratta, M.; De Filpo, G.; Mashin, A. Raman Spectroscopy Study of Disorder in Cation Sublattice of Nonstoichiometric and Annealed ZnSnN2. Opt. Mater. 2024, 156, 116035. [Google Scholar] [CrossRef]
- Ye, F.; Zhao, Z.; He, C.; Liang, J.; Gao, Q.; Xie, Y.; Zhang, D.; Cai, X. Capacitance Characterization and Current Transport Mechanism of ZnSnN2 Heterojunctions. Appl. Phys. Lett. 2024, 125, 242102. [Google Scholar] [CrossRef]
- Kim, J.H.; Hwang, J.; Yoon, S.J.; Kim, J.; Lee, Y.K.; Park, K.; Lee, H.E. Monolithic Green-sensitive Photodetectors Enabled by a ZnSnN2/GaN Nanorods/Silicon Double Heterojunction. Inorg. Chem. Front. 2025, 12, 1958–1968. [Google Scholar] [CrossRef]
- Katayama-Yoshida, H.; Koyanagi, T.; Funashima, H.; Harima, H.; Yanase, A. Engineering of Nested Fermi Surface and Transparent Conducting p-type Delafossite CuAlO2: Possible Lattice Instability or Transparent Superconductivity? Solid State Commun. 2003, 126, 135–139. [Google Scholar] [CrossRef]
- Katayama-Yoshida, H.; Sato, K.; Kizaki, H.; Funashima, H.; Hamada, I.; Fukushima, T.; Dinh, V.A.; Toyoda, M. Ab Initio Materials Design for Transparent-Conducting-Oxide-Based New-Functional Materials. Appl. Phys. A 2007, 89, 19–27. [Google Scholar] [CrossRef]
- Banerjee, A.N.; Ghosh, C.K.; Chattopadhyay, K.K. Effect of Excess Oxygen on the Electrical Properties of Transparent p-type Conducting CuAlO2+x Thin Films. Sol. Energy Mater. Sol. Cells 2005, 89, 75–83. [Google Scholar] [CrossRef]
- Sun, H.; Arab Pour Yazdi, M.; Briois, P.; Pierson, J.F.; Sanchette, F.; Billard, A. Towards Delafossite Structure of Cu–Cr–O Thin Films Deposited by Reactive Magnetron Sputtering: Influence of Substrate Temperature on Optoelectronics Properties. Vacuum 2015, 114, 101–107. [Google Scholar] [CrossRef]
- Yu, R.; Wang, M. Plasma Annealing Effects on the Material Characteristics of Sputtering Deposited CuCrO2 Thin Films. ECS J. Solid State Sci. Technol. 2016, 5, 641–645. [Google Scholar] [CrossRef]
- Tsai, D.; Chang, Z.; Kuo, B.; Chen, C.; Chen, E.; Shieu, F. Influence of Chemical Composition on Phase Transformation and Optoelectronic Properties of Cu–Cr–O Thin Films by Reactive Magnetron Sputtering. J. Mater. Res. Technol. 2019, 8, 690–696. [Google Scholar] [CrossRef]
- Hegedus, S.S.; Shafarman, W.N. Thin-film Solar Cells: Device Measurements and Analysis. Prog. Photovolt. Res. Appl. 2004, 12, 155–176. [Google Scholar] [CrossRef]
- Tseberlidis, G.; Hasan Husien, A.; Riva, S.; Frioni, L.; Le Donne, A.; Acciarri, M.; Binetti, S. Semi-Transparent Cu2ZnSnS4 Solar Cells by Drop-Casting of Sol-Gel Ink. Sol. Energy 2021, 224, 134–141. [Google Scholar] [CrossRef]
- Buyukbas-Ulusan, A.; Altındal-Yerişkin, S.; Tataroğlu, A. Forward and Reverse Bias Current–Voltage (I–V) Characteristics in the Metal–Ferroelectric–Semiconductor (Au/SrTiO3/n-Si) Structures at Room temperature. J. Mater. Sci. Mater. Electron. 2018, 29, 16740–16746. [Google Scholar] [CrossRef]
- Huang, M.; Wang, Y.; Zhang, H.; Mao, M.; Cen, B.; Wang, T.; Zhang, Z.; Li, Q.; Liu, K.; Kong, P.; et al. O, N Co-doped CuCrO2 as Efficient Hole Transport Layer for High-Performance Ultraviolet Photodetectors. J. Alloys Compd. 2024, 971, 172743. [Google Scholar] [CrossRef]
- Roul, B.; Bhat, T.N.; Kumar, M.; Rajpalke, M.K.; Sinha, N.; Kalghatgi, A.T.; Krupanidhi, S.B. Barrier Height Inhomogeneities in InN/GaN Heterostructure Based Schottky Junctions. Solid State Commun. 2011, 151, 1420–1423. [Google Scholar] [CrossRef]
- Sinnarasa, I.; Thimont, Y.; Presmanes, L.; Barnabe, A.; Tailhades, P. Thermoelectric and Transport Properties of Delafossite CuCrO2:Mg Thin Films Prepared by RF Magnetron Sputtering. Nanomaterials 2017, 7, 157. [Google Scholar] [CrossRef]
- Werner, J.H.; Güttler, H.H. Barrier Inhomogeneities at Schottky Contacts. J. Appl. Phys. 1991, 69, 1522–1533. [Google Scholar] [CrossRef]
- Simmons, J.G. Generalized Formula for the Electric Tunnel Effect between Similar Electrodes Separated by a Thin Insulating Film. J. Appl. Phys. 1963, 34, 1793–1803. [Google Scholar] [CrossRef]
- Ye, F.; Hong, R.; Qiu, Y.; Xie, Y.; Zhang, D.; Fan, P.; Cai, X. Nanocrystalline ZnSnN2 Prepared by Reactive Sputtering, Its Schottky Diodes and Heterojunction Solar Cells. Nanomaterials 2023, 13, 178. [Google Scholar] [CrossRef]
- Javaid, K.; Yu, J.; Wu, W.; Wang, J.; Zhang, H.; Gao, J.; Zhuge, F.; Liang, L.; Cao, H. Thin Film Solar Cell Based on ZnSnN2/SnO Heterojunction. Phys. Status Solidi RRL 2018, 12, 1700332. [Google Scholar] [CrossRef]










| Sputtering Power (W) | G (mS·cm−2) | (mA·cm−2) | R (Ω·cm2) | A |
|---|---|---|---|---|
| 30 | 114 | 6.35 × 10−1 | 1.64 | 1.11 |
| 35 | 114 | 6.90 × 10−1 | 1.30 | 1.14 |
| 40 | 0.10 | 4.51 × 10−2 | 21.76 | 7.30 |
| 50 | 1.49 | 4.82 × 10−2 | 1.37 | 3.52 |
Disclaimer/Publisher’s Note: The statements, opinions and data contained in all publications are solely those of the individual author(s) and contributor(s) and not of MDPI and/or the editor(s). MDPI and/or the editor(s) disclaim responsibility for any injury to people or property resulting from any ideas, methods, instructions or products referred to in the content. |
© 2026 by the authors. Licensee MDPI, Basel, Switzerland. This article is an open access article distributed under the terms and conditions of the Creative Commons Attribution (CC BY) license.
Share and Cite
Cai, X.-M.; Mei, Y.-F.; Liang, J.-L.; Xiong, W.-F.; Ye, F. Sputtering Deposited CuCrO2 and CuCrO2-ZnSnN2 Heterojunctions. Nanomaterials 2026, 16, 416. https://doi.org/10.3390/nano16070416
Cai X-M, Mei Y-F, Liang J-L, Xiong W-F, Ye F. Sputtering Deposited CuCrO2 and CuCrO2-ZnSnN2 Heterojunctions. Nanomaterials. 2026; 16(7):416. https://doi.org/10.3390/nano16070416
Chicago/Turabian StyleCai, Xing-Min, Yu-Feng Mei, Jian-Lin Liang, Wan-Fang Xiong, and Fan Ye. 2026. "Sputtering Deposited CuCrO2 and CuCrO2-ZnSnN2 Heterojunctions" Nanomaterials 16, no. 7: 416. https://doi.org/10.3390/nano16070416
APA StyleCai, X.-M., Mei, Y.-F., Liang, J.-L., Xiong, W.-F., & Ye, F. (2026). Sputtering Deposited CuCrO2 and CuCrO2-ZnSnN2 Heterojunctions. Nanomaterials, 16(7), 416. https://doi.org/10.3390/nano16070416
