Sign in to use this feature.

Years

Between: -

Subjects

remove_circle_outline
remove_circle_outline
remove_circle_outline
remove_circle_outline
remove_circle_outline
remove_circle_outline
remove_circle_outline
remove_circle_outline
remove_circle_outline

Journals

remove_circle_outline
remove_circle_outline
remove_circle_outline
remove_circle_outline

Article Types

Countries / Regions

remove_circle_outline
remove_circle_outline
remove_circle_outline
remove_circle_outline
remove_circle_outline

Search Results (420)

Search Parameters:
Keywords = allometric models

Order results
Result details
Results per page
Select all
Export citation of selected articles as:
12 pages, 1409 KB  
Article
The Wood Density of Pure and Mixed Norway Spruce, Scots Pine, and Silver Birch Stands in Lithuania Using IML Resi
by Benas Šilinskas, Edgaras Linkevičius, Lina Beniušienė, Marius Aleinikovas, Inga Zeleniakienė, Mindaugas Škėma and Karol Tomczak
Forests 2026, 17(3), 376; https://doi.org/10.3390/f17030376 - 18 Mar 2026
Abstract
The transition from pure to mixed-species forest stands is increasingly promoted to enhance ecosystem stability and multifunctionality. The growth conditions may influence the physical and mechanical properties of wood. This study evaluated wood density in pure and mixed stands of silver birch, Norway [...] Read more.
The transition from pure to mixed-species forest stands is increasingly promoted to enhance ecosystem stability and multifunctionality. The growth conditions may influence the physical and mechanical properties of wood. This study evaluated wood density in pure and mixed stands of silver birch, Norway spruce, and Scots pine in Lithuania and analyzed its relationships with tree allometric parameters. Nine study plots representing pure (100%) and mixed (70/30%) stands were established under comparable site conditions. Wood density at breast height was assessed using resistance drilling (IML Resi PD500), and the increment core samples were analyzed with the LIGNOSTATION™ system. The mean values of wood density for silver birch differed by 11%, depending on the wood density determination method used. Differences between pure and mixed stands were insignificant and generally did not exceed 6%–10%. No consistent trend that was attributable to species mixing was identified. The combined data from pure and mixed stands indicate that the mean wood density, converted from microdrilling measurements, was highest in silver birch (546 kg m−3 ± 1.87 kg m−3), followed by Scots pine (476 kg m−3 ± 1.85 kg m−3) and Norway spruce (437 kg m−3 ± 1.66 kg m−3). Resistance drilling showed a moderate relationship with the core samples’ wood density (R2 = 0.59), supporting its suitability as a semi-nondestructive method. Diameter at breast height was the only tree parameter that was consistently significant across all predictive models. The combined model for all species explained up to 43% of wood density variation, while species-specific models had lower explanatory power. Overall, the results indicate that species mixing has a limited effect on wood density under the studied conditions and is unlikely to substantially alter wood quality in terms of wood density. Full article
(This article belongs to the Section Wood Science and Forest Products)
Show Figures

Figure 1

16 pages, 3011 KB  
Article
Edaphic Determinants of Biomass Hyperdominance in Large Trees of the Amazon
by Manuelle Pereira, Jorge Luis Reategui-Betancourt, Robson de Lima, Paulo Bittencourt, Eric Gorgens, Gustavo Abreu, Marcelino Guedes, José Silva, Carla de Sousa, Joselane Priscila da Silva, Elisama de Souza and Diego Armando Silva
Forests 2026, 17(3), 367; https://doi.org/10.3390/f17030367 - 16 Mar 2026
Abstract
Amazonian large trees act as central elements of forest ecosystems, storing a disproportionate fraction of aboveground biomass. However, these trees are not randomly distributed across the landscape, and it is expected that edaphic attributes influence floristic composition, forest structure, and vegetation biomass. In [...] Read more.
Amazonian large trees act as central elements of forest ecosystems, storing a disproportionate fraction of aboveground biomass. However, these trees are not randomly distributed across the landscape, and it is expected that edaphic attributes influence floristic composition, forest structure, and vegetation biomass. In this study, we investigated how variation in soil chemical and physical properties affects the diversity and biomass of large trees. Forest inventories were conducted at five sites within protected areas in the states of Pará and Amapá. Aboveground biomass was estimated using allometric equations, while soil samples were analyzed for their physical and chemical properties. Diversity indices, rarefaction, Redundancy Analysis, and Generalized Additive Models were applied. Edaphic variables such as soil pH, organic matter, phosphorus, and aluminum were associated with floristic composition and the biomass of these individuals. Trees with a diameter at breast height greater than or equal to 70 cm accounted for up to 80% of total biomass, revealing a pattern of biomass hyperdominance. The results indicate that the occurrence of large trees is related to edaphic and structural attributes, such as tree density and size distribution, suggesting that these individuals are not randomly distributed along soil gradients. Understanding these patterns is essential for improving ecological models, biomass extrapolations, and management strategies aimed at conserving the Amazon rainforest. Full article
(This article belongs to the Section Forest Ecology and Management)
Show Figures

Figure 1

14 pages, 2487 KB  
Article
Predictive Models for Lamb Meat Cuts and Carcass Tissue Based on Ultrasonographic Images and Body Weight
by Alexsander Toniazzo de Matos, Tatiane Fernandes, Adriana Sathie Ozaki Hirata, Ingrid Harumi de Souza Fuzikawa, Alexandre Rodrigo Mendes Fernandes, Adrielly Lais Alves da Silva, Rodrigo Andreo Santos, Ariadne Patrícia Leonardo, Aylpy Renan Dutra Santos and Fernando Miranda de Vargas Junior
AgriEngineering 2026, 8(3), 111; https://doi.org/10.3390/agriengineering8030111 - 14 Mar 2026
Abstract
Sheep farming length of stay in the feedlot directly influences system profitability, mainly due to the high cost of feed. Thus, the use of predictive models based on body measurements is an important tool to define the optimal slaughter point and the ideal [...] Read more.
Sheep farming length of stay in the feedlot directly influences system profitability, mainly due to the high cost of feed. Thus, the use of predictive models based on body measurements is an important tool to define the optimal slaughter point and the ideal feedlot period. Thus, the aim was to evaluate predictive models of meat cuts and tissue carcasses concerning weight at slaughter (WS), loin eye area (LEA), and subcutaneous fat thickness (SFT) obtained by ultrasound of the lumbar region of lambs. The WS and ultrasound measurements were obtained from a pre-slaughter collection of 45 lambs, divided into five groups, each weighing 15, 20, 25, 30, or 35 kg, with nine replications per group. Three regression models were evaluated: WS, LEA, and SFT (independent variables) and the cuts yield or tissue composition (dependent variable). Increasing WS resulted in greater carcass weight and commercial cuts. Above 15 kg body weight, bone weight showed little or no increase (allometric coefficient = 0.06), whereas muscle and fat tissues increased steadily, with allometric coefficients of 0.25 and 0.12, respectively. The commercial cuts showed a high and significant correlation with WS and LEA. The muscle and bone proportion of the leg had a significant (p < 0.10) correlation with SFT. For the weight of commercial cuts estimates, the inclusion of LEA and/or SFT with WS did not improve the coefficient of determination but made the predictions equivalent to the measured values. There were high determination coefficients when WS was only used to predict muscle, fat, and bone weight, but it was not efficient in predicting the muscle/fat and muscle/bone ratios and the percentage of tissues. The WS was the variable that best explained the weight and tissue content. The inclusion of LEA and/or SFT made little improvement to the predictive models. Full article
Show Figures

Figure 1

21 pages, 4940 KB  
Article
Estimating Carbon Sequestration Potential of Salix chaenomeloides Using Allometric Models and Stem Analysis
by Jieun Seok, Bong Soon Lim, Seung Jin Joo, Gyu Tae Kang and Chang Seok Lee
Sustainability 2026, 18(5), 2496; https://doi.org/10.3390/su18052496 - 4 Mar 2026
Viewed by 170
Abstract
Allometric equations are essential tools for estimating sustainable biomass and carbon dynamics in riparian tree species. This study derived and validated log–log transformation regression equations that relate diameter at breast height (DBH) to the dry weight, stem volume, and total biomass of Salix [...] Read more.
Allometric equations are essential tools for estimating sustainable biomass and carbon dynamics in riparian tree species. This study derived and validated log–log transformation regression equations that relate diameter at breast height (DBH) to the dry weight, stem volume, and total biomass of Salix chaenomeloides Kimura across five river systems in Korea (Byeongcheon, Andong, Boseong, Topyeong, and Yeongdong). DBH was significantly correlated with biomass components and whole-tree biomass, with explanatory power ranging from 0.47 (Byeongcheon-root) to 0.99 (Topyeong-stem) (R2). Model evaluation metrics (RMSE, MAE, MPE) indicated high predictive accuracy across sites. Using the derived allometric equations, net primary productivity (NPP) of individual was 9.40 kg·tree−1·yr−1 and 2.45 ton C·ha−1·yr−1 at the stand level, with site-specific variability reflecting environmental differences. Biomass conversion coefficients, expansion factors, and root-to-aboveground biomass ratios were also obtained, with mean values of 0.29 (branches/stem), 0.10 (leaves/stem), and 0.25 (roots/AGB), a wood density of 0.63 g·cm−3, and a biomass expansion factor of 1.37. Independently derived NPP estimates based on stem analysis were comparable (9.02 kg tree−1 yr−1 and 2.43 t C ha−1 yr−1 at individual and stand levels, respectively), supporting the robustness of the approach. These findings provide robust, site-calibrated allometric models for S. chaenomeloides, supporting accurate biomass estimation, carbon accounting, and the evaluation of riparian ecosystems in climate change mitigation and restoration contexts. From a sustainability perspective, these results highlight the development of tools for evaluating the carbon budget of riparian vegetation, which are not yet incorporated into the Korean national IPCC report. They also demonstrate progress in carbon budget assessment by integrating both allometry and stem analysis. Full article
Show Figures

Figure 1

35 pages, 1971 KB  
Article
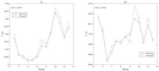
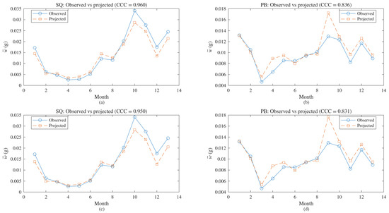
Temporal and Spatial Invariance of Allometric Parameters for Predicting Leaf Biomass in Zostera marina: A Theoretical and Empirical Reassessment
by Cecilia Leal-Ramírez, Héctor Echavarría-Heras, Enrique Villa-Diharce and Abelardo Montesinos-López
Appl. Sci. 2026, 16(5), 2445; https://doi.org/10.3390/app16052445 - 3 Mar 2026
Viewed by 184
Abstract
Anthropogenic pressures and climate change are accelerating the degradation of seagrass ecosystems and the ecological services they provide. In temperate systems, the decline of eelgrass (Zostera marina) has raised noticeable concern, particularly as restoration actions (e.g., transplantation) require accurate, nondestructive estimates [...] Read more.
Anthropogenic pressures and climate change are accelerating the degradation of seagrass ecosystems and the ecological services they provide. In temperate systems, the decline of eelgrass (Zostera marina) has raised noticeable concern, particularly as restoration actions (e.g., transplantation) require accurate, nondestructive estimates of leaf biomass. Allometric power-law models can provide such proxies, but their applied value depends on whether fitted parameters remain transferable across sites and sampling periods. Here, using two extensive and independently collected datasets from San Quintín Bay (SQ) and Punta Banda estuary (PB), we evaluate three formulations: M1 (biomass–length), M2 (biomass–length–width), and M3 (biomass–area surrogate). All three models produced consistent fits in both datasets, and parameter-comparison tests detected no significant between-site differences. Reciprocal cross-projections of monthly mean leaf biomass showed high concordance, supporting practical parameter stability within the SQ–PB domain. A model-selection analysis based on goodness of fit and parsimony further identified the bivariate model M2 as the best-performing proxy across sites. Taken together, these results support a practical interpretation in which eelgrass may express phenotypic plasticity through shifts in trait distributions (length and width), while the scaling relation linking morphology to biomass remains effectively stable. For applied restoration-comparison purposes, we therefore recommend using M2—preferably with site-fitted parameters, or pooled/mean parameters when supported by reproducibility tests—to estimate aerial production non-destructively and cost-effectively. Full article
(This article belongs to the Section Marine Science and Engineering)
Show Figures

Figure 1

21 pages, 2515 KB  
Article
Dose Recommendation of Remimazolam Tosilate for General Anesthesia in Children and Adolescents: Synergistic Combination of PopPK and PBPK Approaches
by Qiong-Yue Liang, Hui-Hui Hu, Nassim Djebli, Yuan-Yuan Huang and Hao Jiang
Pharmaceutics 2026, 18(3), 315; https://doi.org/10.3390/pharmaceutics18030315 - 1 Mar 2026
Viewed by 314
Abstract
Background: Remimazolam tosilate is a novel, ultra-short-acting benzodiazepine. To address the unmet clinical need for safe and controllable general anesthetic options in children and adolescents, both top-down (i.e., population pharmacokinetics—PopPK) and bottom-up (i.e., physiologically based PK—PBPK) modeling approaches were combined to leverage their [...] Read more.
Background: Remimazolam tosilate is a novel, ultra-short-acting benzodiazepine. To address the unmet clinical need for safe and controllable general anesthetic options in children and adolescents, both top-down (i.e., population pharmacokinetics—PopPK) and bottom-up (i.e., physiologically based PK—PBPK) modeling approaches were combined to leverage their respective strengths for dose selection in children and adolescents aged 3–18 years. Methods: Pooled PK data from adult studies were used to develop and verify the adult PopPK and PBPK models. The PopPK model included allometric scaling to describe body weight effects, while the PBPK modeling incorporated the age-dependent physiological and metabolic ontogeny. Potential covariates and intrinsic factors influencing remimazolam exposure were assessed. Both models were then applied to simulate PK and derive exposure metrics in 3–18-year-old children and adolescents. The predictions from both approaches were used to support pediatric dose selection using an adult-matching exposure approach. Results: The PopPK and PBPK model simulations yielded consistent exposure predictions and converged on the same recommended dosing regimens for the pediatric population, providing mutual confirmation of model reliability. Both models indicated that the proposed regimens of remimazolam would achieve systemic exposures in children and adolescents (3–18 years) comparable to those in adults receiving an induction dose of 0.3 mg/kg followed by maintenance infusions of 1.0 or 3.0 mg/kg/h. Two pediatric dosing regimens were recommended: 1. Lower dose group: induction 0.2 mg/kg, initial maintenance 1.0 mg/kg/h, titratable as needed, with a maximum rate of 3.0 mg/kg/h (up to 4.0 mg/kg/h for individuals ≤ 30 kg). 2. Higher dose group: induction 0.3 mg/kg, initial maintenance 2.0 mg/kg/h, titratable as needed, with a maximum rate of 3.0 mg/kg/h (up to 4.0 mg/kg/h for individuals ≤ 30 kg). The model-informed dosing regimens have received regulatory approval from the Center for Drug Evaluation (CDE) in China and are currently being evaluated in an ongoing clinical trial. Conclusions: The integrated PopPK–PBPK approach supports evidence-based dosing recommendations of remimazolam for general anesthesia in children and adolescents aged 3–18 years and provides a reference for dose selection in future clinical studies. Full article
(This article belongs to the Special Issue Recent Advances in Physiologically Based Pharmacokinetics)
Show Figures

Figure 1

14 pages, 1991 KB  
Article
Population Structure and Growth Dynamics of the Invasive Blue Crab Callinectes sapidus in the Loukkos Estuary (Morocco)
by Feirouz Touhami and Hocein Bazairi
Biology 2026, 15(4), 353; https://doi.org/10.3390/biology15040353 - 18 Feb 2026
Viewed by 390
Abstract
This study provides the first insights into the biology of the blue crab Callinectes sapidus in the Loukkos Estuary, based on 461 individuals collected between December 2022 and November 2023. Results indicate a well-structured invasive population. Carapace width ranged from 52 to 201 [...] Read more.
This study provides the first insights into the biology of the blue crab Callinectes sapidus in the Loukkos Estuary, based on 461 individuals collected between December 2022 and November 2023. Results indicate a well-structured invasive population. Carapace width ranged from 52 to 201 mm (mean ± SD: 121.7 ± 25.4 mm) and total weight from 12 to 512 g (128.2 ± 76.6 g). Morphometric analyses revealed pronounced sexual dimorphism, with males larger and heavier than females. Size structure shifted seasonally, with smaller crabs dominating spring–summer samples and larger crabs in winter. Biometric relationships were significant and indicated negative allometric growth in both sexes. The sex ratio was strongly male-biased (M/F = 2.72). Condition factor varied with season and sex, peaking in summer and reaching minima in autumn. Female maturity exhibited marked seasonality: immature females prevailed from spring to autumn, whereas mature females occurred mainly in winter. Logistic modeling estimated size at 50% maturity (L50) at 126.7 mm carapace width in females. Results suggest that Loukkos Estuary functions primarily as a nursery and growth area for C. sapidus and provide essential baseline information for future monitoring and management of this invasive species. Full article
Show Figures

Figure 1

17 pages, 2972 KB  
Article
A Deep Learning-Based Method for Non-Destructive Estimation of Carbonate Carbon Storage in Biogenic Shells on Marine Engineering Materials
by Haonan Huang, Mengting Jia, Qiang Xu, Zhiqiang Cui and Junyu He
Materials 2026, 19(4), 691; https://doi.org/10.3390/ma19040691 - 11 Feb 2026
Viewed by 258
Abstract
Hard-shelled organisms colonizing marine engineering surfaces accumulate carbonate inorganic carbon in their shells, yet quantification typically relies on destructive sampling, hindering long-term monitoring. This study develops a deep learning-based, non-destructive framework to estimate shell carbonate carbon storage from in situ images. Panels of [...] Read more.
Hard-shelled organisms colonizing marine engineering surfaces accumulate carbonate inorganic carbon in their shells, yet quantification typically relies on destructive sampling, hindering long-term monitoring. This study develops a deep learning-based, non-destructive framework to estimate shell carbonate carbon storage from in situ images. Panels of different surface materials were deployed in the nearshore waters of Liuheng Island (Zhoushan) and monitored for five months, yielding 90 panel images from June to October. An improved Mask R-CNN identified barnacles and bivalves and extracted shell dimensions, which were combined with allometric relationships and measured shell carbonate carbon fractions (12.07% for barnacles; 12.14% for bivalves) to estimate carbon storage. Peak colonization occurred on uncoated polyvinyl chloride (PVC) panels in September (~110 individuals per panel), corresponding to 1.061 g carbonate carbon per panel. The model achieved recall/precision of 0.86/0.89 under complex nearshore conditions; image-derived dimensions agreed with manual measurements (R2 = 0.95). Allometric models showed R2 of 0.82 (barnacles) and 0.90 (bivalves), and panel-scale estimation errors were <15%. The method enables non-destructive quantitative characterization and comparison of shell carbonate carbon storage across materials and exposure conditions for long-term monitoring. Full article
(This article belongs to the Section Green Materials)
Show Figures

Figure 1

22 pages, 3419 KB  
Article
Uncovering Spatial Habitat Partitioning of Whiting (Merlangius merlangus) Recruits and Adults in the Southern Black Sea
by Murat Dağtekin
Fishes 2026, 11(2), 112; https://doi.org/10.3390/fishes11020112 - 11 Feb 2026
Viewed by 240
Abstract
The whiting, Merlangius merlangus, is a key cold-temperate demersal species in the Black Sea, yet information on its essential habitats and demographic structure remains limited for effective regional management. This study combined fishery-independent bottom trawl surveys with in situ hydrographic observations to [...] Read more.
The whiting, Merlangius merlangus, is a key cold-temperate demersal species in the Black Sea, yet information on its essential habitats and demographic structure remains limited for effective regional management. This study combined fishery-independent bottom trawl surveys with in situ hydrographic observations to identify autumn hotspots of recruits and adults along the southern Black Sea and to assess their relationships with environmental gradients. A stratified random survey (10–125 m) was conducted in autumn 2024, with data collected from 66 hauls. The population showed a strong female bias, with females comprising 67.9% of individuals (F:M = 2.12:1), significantly deviating from a 1:1 sex ratio. Length–weight relationships indicated positive allometric growth in females (b = 3.16), isometric growth in males (b = 3.03), and overall positive allometry for the combined population (b = 3.15). The relative condition factor (Kn) was close to unity (1.01 ± 0.10), suggesting stable body condition during the survey period. Generalized Additive Models with a Tweedie distribution revealed that depth–temperature interactions were the primary drivers of distribution for both recruits and adults, explaining 74.7% and 69.5% of deviance, respectively. Recruits concentrated at 40–75 m within 10–15 °C, while adults extended beyond 100 m, associated with the upper Cold Intermediate Layer. These findings highlight hydrographically dynamic nursery and feeding habitats, underscoring the need for adaptive, habitat-based spatial management of this shared Black Sea stock. Full article
(This article belongs to the Topic Intersection Between Macroecology and Data Science)
Show Figures

Figure 1

16 pages, 3175 KB  
Article
Allometric and Mobile Terrestrial LiDAR Modeling of Aboveground Woody Biomass of Populus in Coppice Production
by Heidi J. Renninger and Krishna P. Poudel
Forests 2026, 17(2), 227; https://doi.org/10.3390/f17020227 - 7 Feb 2026
Viewed by 215
Abstract
Poplars (Populus spp.) and their hybrids are increasingly being grown in coppice production to generate bioenergy feedstocks at frequent intervals. Allometric equations are re-quired to predict aboveground biomass (AGB) of coppiced individuals with minimal field measurements. Likewise, remote sensing tools like LiDAR [...] Read more.
Poplars (Populus spp.) and their hybrids are increasingly being grown in coppice production to generate bioenergy feedstocks at frequent intervals. Allometric equations are re-quired to predict aboveground biomass (AGB) of coppiced individuals with minimal field measurements. Likewise, remote sensing tools like LiDAR (light detection and ranging) can be used if models are available to predict AGB from point cloud data. Therefore, this study sought to develop equations to predict dry woody AGB from field measurements and LiDAR data from coppiced poplar field trials containing eastern cottonwood (P. del-toides) and hybrid poplar taxa. We found that taxa-specific allometric models containing the summed basal area of the three largest stems in the coppice provided the best predictive model, with stem height and stem count failing to provide additional explanatory power. The best predictive LiDAR-based model was independent of taxa but had slightly lower adjusted R2 and higher RMSE than the allometric model. It contained four parameters including crown volume, leaf area index, variance of height returns, and the top point density (i.e., density metric 9 or the proportion of points in the highest point interval when the point cloud is evenly divided into ten vertical intervals). In total, these models can be used to quickly and efficiently estimate dry woody AGB of Populus coppice systems for bioenergy feedstock production. Full article
(This article belongs to the Section Forest Inventory, Modeling and Remote Sensing)
Show Figures

Figure 1

13 pages, 2714 KB  
Article
Comparing 30 Tree Biomass Models to Estimate Forest Biomass in the Amazon
by Rebecca A. Garcia, Lina M. R. Galvão, Xavier S. Chivale, Thaís C. Almeida, Fabiano R. Pereira, Rorai Pereira Martins-Neto, Carlos R. Sanquetta and Hassan C. David
Forests 2026, 17(2), 213; https://doi.org/10.3390/f17020213 - 4 Feb 2026
Viewed by 394
Abstract
This study tests the performance of 30 tree-level models of literature to predict the aboveground biomass (AGB) of trees in 200 1 ha simulated plots representing the following two successional stages of Amazonian forests: Advanced Secondary Forest (ASF) and Mature Forest (MF). This [...] Read more.
This study tests the performance of 30 tree-level models of literature to predict the aboveground biomass (AGB) of trees in 200 1 ha simulated plots representing the following two successional stages of Amazonian forests: Advanced Secondary Forest (ASF) and Mature Forest (MF). This matters because reliable biomass estimates are fundamental to carbon quantification and climate policy. Ensuring consistency between tree-level and plot-level accuracy strengthens transparency and credibility in global reporting. The aim was twofold: (i) to recommend accurate models to predict biomass in the Amazon and (ii) to detect what characteristics of the model calibration dataset can affect the accuracy of the AGB predicted at the plot level. We considered the characteristics of datasets, sample size, minimum, maximum, and range of tree diameters, as well as the coefficient of determination, root mean square error (RMSE), and number of predictors of the 30 models consulted in the literature. These characteristics were correlated with the biomass error per unit area. We listed 11 models based on their acceptable (overall ± 10%) accuracy, whereas four models overestimated and 15 models underestimated the biomass per unit area beyond the acceptable limit. Our analysis pointed out that the strongest (but moderate) correlation (r) was observed for the RMSE of the models, i.e., precision of model predictions. These correlations were r = 0.60 (p = 0.40) for ASF (kg) and r = 0.40 (p = 0.60) for MF (kg) and r = 0.57 (p = 0.18) for ASF (log) and r = 0.21 (p = 0.64) for MF (log), which means that models with greater uncertainty (higher RMSE) tend to produce larger errors in AGB estimation. As a main conclusion, this study cautions that selecting one model among several based on the lowest RMSE is a misleading practice because the precision of predictions at the tree level is not in agreement with the precision at the plot level. Full article
(This article belongs to the Special Issue Forest Resources Inventory, Monitoring, and Assessment)
Show Figures

Figure 1

29 pages, 1843 KB  
Systematic Review
Deep Learning for Tree Crown Detection and Delineation Using UAV and High-Resolution Imagery for Biometric Parameter Extraction: A Systematic Review
by Abdulrahman Sufyan Taha Mohammed Aldaeri, Chan Yee Kit, Lim Sin Ting and Mohamad Razmil Bin Abdul Rahman
Forests 2026, 17(2), 179; https://doi.org/10.3390/f17020179 - 29 Jan 2026
Viewed by 511
Abstract
Mapping individual-tree crowns (ITCs) along with extracting tree morphological attributes provides the core parameters required for estimating thermal stress and carbon emission functions. However, calculating morphological attributes relies on the prior delineation of ITCs. Using the Preferred Reporting Items for Systematic Reviews and [...] Read more.
Mapping individual-tree crowns (ITCs) along with extracting tree morphological attributes provides the core parameters required for estimating thermal stress and carbon emission functions. However, calculating morphological attributes relies on the prior delineation of ITCs. Using the Preferred Reporting Items for Systematic Reviews and Meta-Analysis (PRISMA) framework, this review synthesizes how deep-learning (DL)-based methods enable the conversion of crown geometry into reliable biometric parameter extraction (BPE) from high-resolution imagery. This addresses a gap often overlooked in studies focused solely on detection by providing a direct link to forest inventory metrics. Our review showed that instance segmentation dominates (approximately 46% of studies), producing the most accurate pixel-level masks for BPE, while RGB imagery is most common (73%), often integrated with canopy-height models (CHM) to enhance accuracy. New architectural approaches, such as StarDist, outperform Mask R-CNN by 6% in dense canopies. However, performance differs with crown overlap, occlusion, species diversity, and the poor transferability of allometric equations. Future work could prioritize multisensor data fusion, develop end-to-end biomass modeling to minimize allometric dependence, develop open datasets to address model generalizability, and enhance and test models like StarDist for higher accuracy in dense forests. Full article
Show Figures

Figure 1

20 pages, 5284 KB  
Article
Species-Specific Allometric Models for Biomass and Carbon Stock Estimation in Silver Oak (Grevillea robusta) Plantation Forests in Thailand: A Pilot-Scale Destructive Study
by Yannawut Uttaruk, Teerawong Laosuwan, Satith Sangpradid, Jay H. Samek, Chetpong Butthep, Tanutdech Rotjanakusol, Siritorn Dumrongsukit and Yongyut Rouylarp
Forests 2026, 17(1), 100; https://doi.org/10.3390/f17010100 - 12 Jan 2026
Viewed by 9704
Abstract
Accurate biomass and carbon estimation in tropical plantation forests requires species-specific allometric models. Silver Oak (Grevillea robusta A. Cunn. ex R. Br.), cultivar “AVAONE,” is widely planted in northeastern Thailand, yet locally calibrated equations remain limited. This study developed species- and site-specific [...] Read more.
Accurate biomass and carbon estimation in tropical plantation forests requires species-specific allometric models. Silver Oak (Grevillea robusta A. Cunn. ex R. Br.), cultivar “AVAONE,” is widely planted in northeastern Thailand, yet locally calibrated equations remain limited. This study developed species- and site-specific allometric models using destructive sampling of eight trees (n = 8) aged 2–9 years from a single plantation in Pak Chong District, Nakhon Ratchasima Province, without independent validation. Each tree was separated into stem, branches, leaves, and roots to determine fresh and dry biomass, and carbon concentrations were measured using a LECO CHN628 analyzer in an ISO/IEC 17025-accredited laboratory. Aboveground biomass increased from 17.49 kg at age 2 to 860.42 kg at age 9, with the most rapid gains occurring between ages 6 and 9. Tree height stabilized at approximately 19–20 m after age 7, while diameter continued to increase. Stems accounted for the largest proportion of dry biomass, followed by branches and roots. Carbon concentrations ranged from 45.561% to 48.704%, close to the IPCC default value of 47%. Power-law models based on D2H showed clear relationships with biomass, with R2 values ranging from 0.7365 to 0.9372 for individual components and 0.8409 for aboveground biomass. These locally derived equations provide preliminary, site-specific relationships for estimating biomass and carbon stocks in Silver Oak AVAONE plantations and offer a baseline for future studies with expanded sampling and independent validation. Full article
Show Figures

Figure 1

13 pages, 1048 KB  
Article
Population Pharmacokinetics Model of Cyclosporin A in Children and Young Adult Renal Transplant Patients: Focus on Haemoglobin Contribution to Exposure Variability
by Maša Roganović, Mirjana Cvetković, Ivana Gojković, Brankica Spasojević, Marija Jovanović, Branislava Miljković and Katarina Vučićević
Pharmaceutics 2026, 18(1), 99; https://doi.org/10.3390/pharmaceutics18010099 - 12 Jan 2026
Viewed by 566
Abstract
Background/Objectives: Cyclosporine A (CsA) is a key immunosuppressant in post-transplantation therapy protocol characterized by large interindividual and intraindividual pharmacokinetic (PK) variability and a narrow therapeutic range necessitating therapeutic drug monitoring (TDM) to prevent graft rejection and minimize side effects. TDM data can [...] Read more.
Background/Objectives: Cyclosporine A (CsA) is a key immunosuppressant in post-transplantation therapy protocol characterized by large interindividual and intraindividual pharmacokinetic (PK) variability and a narrow therapeutic range necessitating therapeutic drug monitoring (TDM) to prevent graft rejection and minimize side effects. TDM data can be used for developing PK models with the objective of identification and quantification of variability factors that contribute to the differences in CsA concentrations. Methods: Retrospectively collected data from medical records of 58 patients (children and young adults) regarding CsA blood concentrations, concomitant medications, and laboratory findings of significance were used for the population PK model development in NONMEM® (version 7.5) with first-order conditional estimation method with interaction (FOCE-I). Simulation of the concentrations and area under the curve (AUC) was performed in the web application e-campsis®. RStudio (version 4.5.0) was used for the purpose of descriptive statistics analysis and graphs plotting. Results: A one-compartment model with first-order absorption and elimination best described the data. Value of clearance (CL/F) was estimated to be 15 L/h, and volume of distribution (V/F) was 71.1 L for a typical patient weighing 40 kg. Interindividual variability (IIV) on CL/F and V/F was 34.91% and 43.05%, respectively. Interoccasional variability (IOV) was 12.25%. Body weight (WT) was introduced allometrically on CL/F and V/F, with the estimated exponent of 0.89 for CL/F and 1 (fixed) for V/F. According to the final model, CL/F decreases with increasing haemoglobin (HGB) value. A difference of almost 22.5% in CL/F was observed among patients’ HGB values reported in the study. Conclusions: Our findings indicate that HGB levels significantly influence CsA PK, particularly minimum concentration (Cmin), highlighting the importance of regular HGB levels monitoring together with CsA levels. Full article
(This article belongs to the Special Issue Population Pharmacokinetics and Its Clinical Applications)
Show Figures

Graphical abstract

26 pages, 9426 KB  
Article
Advancing Concession-Scale Carbon Stock Prediction in Oil Palm Using Machine Learning and Multi-Sensor Satellite Indices
by Amir Noviyanto, Fadhlullah Ramadhani, Valensi Kautsar, Yovi Avianto, Sri Gunawan, Yohana Theresia Maria Astuti and Siti Maimunah
Resources 2026, 15(1), 12; https://doi.org/10.3390/resources15010012 - 6 Jan 2026
Viewed by 902
Abstract
Reliable estimation of oil palm carbon stock is essential for climate mitigation, concession management, and sustainability certification. While satellite-based approaches offer scalable solutions, redundancy among spectral indices and inter-sensor variability complicate model development. This study evaluates machine learning regressors for predicting oil palm [...] Read more.
Reliable estimation of oil palm carbon stock is essential for climate mitigation, concession management, and sustainability certification. While satellite-based approaches offer scalable solutions, redundancy among spectral indices and inter-sensor variability complicate model development. This study evaluates machine learning regressors for predicting oil palm carbon stock at tree (CO_tree, kg C tree−1) and hectare (CO_ha, Mg C ha−1) scales using spectral indices derived from Landsat-8, Landsat-9, and Sentinel-2. Fourteen vegetation indices were screened for multicollinearity, resulting in a lean feature set dominated by NDMI, EVI, MSI, NDWI, and sensor-specific indices such as NBR2 and ARVI. Ten regression algorithms were benchmarked through cross-validation. Ensemble models, particularly Random Forest, Gradient Boosting, and XGBoost, outperformed linear and kernel methods, achieving R2 values of 0.86–0.88 and RMSE of 59–64 kg tree−1 or 8–9 Mg ha−1. Feature importance analysis consistently identified NDMI as the strongest predictor of standing carbon. Spatial predictions showed stable carbon patterns across sensors, with CO_tree ranging from 200–500 kg C tree−1 and CO_ha from 20–70 Mg C ha−1, consistent with published values for mature plantations. The study demonstrates that ensemble learning with sensor-specific index sets provides accurate, dual-scale carbon monitoring for oil palm. Limitations include geographic scope, dependence on allometric equations, and omission of belowground carbon. Future work should integrate age dynamics, multi-year composites, and deep learning approaches for operational carbon accounting. Full article
Show Figures

Figure 1

Back to TopTop