Next Article in Journal
Divergent Responses of Leaf Area Index to Abiotic Drivers Across Abies Forest Types in China
Previous Article in Journal
Climate Change and Ecological Restoration Synergies Shape Ecosystem Services on the Southeastern Tibetan Plateau
Previous Article in Special Issue
Dynamic Interactions of Stand Characteristics and Site on Quercus spp. Volume in China Under Climate Change
 
 
Font Type:
Arial Georgia Verdana
Font Size:
Aa Aa Aa
Line Spacing:
Column Width:
Background:
Article

Species-Specific Allometric Models for Biomass and Carbon Stock Estimation in Silver Oak (Grevillea robusta) Plantation Forests in Thailand: A Pilot-Scale Destructive Study

by
Yannawut Uttaruk
1,2,
Teerawong Laosuwan
2,3,*,
Satith Sangpradid
2,4,*,
Jay H. Samek
5,
Chetpong Butthep
2,
Tanutdech Rotjanakusol
2,3,
Siritorn Dumrongsukit
2 and
Yongyut Rouylarp
6
1
Department of Biology, Faculty of Science, Mahasarakham University, Maha Sarakham 44150, Thailand
2
Greenhouse Gas Research Center and Operations, Faculty of Science, Mahasarakham University, Maha Sarakham 44150, Thailand
3
Department of Physics, Faculty of Science, Mahasarakham University, Maha Sarakham 44150, Thailand
4
Department of Geoinformatics, Faculty of Informatics, Mahasarakham University, Maha Sarakham 44150, Thailand
5
Global Observatory for Ecosystem Services, Department of Forestry, Michigan State University, East Lansing, MI 48823, USA
6
AVA FARM 888 LIMITED PARTNERSHIP, 888 Moo. 5, Phaya Yen Subdistrict, Pak Chong District, Nakhon Ratchasima 30320, Thailand
*
Authors to whom correspondence should be addressed.
Forests 2026, 17(1), 100; https://doi.org/10.3390/f17010100
Submission received: 1 December 2025 / Revised: 7 January 2026 / Accepted: 9 January 2026 / Published: 12 January 2026

Abstract

Accurate biomass and carbon estimation in tropical plantation forests requires species-specific allometric models. Silver Oak (Grevillea robusta A. Cunn. ex R. Br.), cultivar “AVAONE,” is widely planted in northeastern Thailand, yet locally calibrated equations remain limited. This study developed species- and site-specific allometric models using destructive sampling of eight trees (n = 8) aged 2–9 years from a single plantation in Pak Chong District, Nakhon Ratchasima Province, without independent validation. Each tree was separated into stem, branches, leaves, and roots to determine fresh and dry biomass, and carbon concentrations were measured using a LECO CHN628 analyzer in an ISO/IEC 17025-accredited laboratory. Aboveground biomass increased from 17.49 kg at age 2 to 860.42 kg at age 9, with the most rapid gains occurring between ages 6 and 9. Tree height stabilized at approximately 19–20 m after age 7, while diameter continued to increase. Stems accounted for the largest proportion of dry biomass, followed by branches and roots. Carbon concentrations ranged from 45.561% to 48.704%, close to the IPCC default value of 47%. Power-law models based on D2H showed clear relationships with biomass, with R2 values ranging from 0.7365 to 0.9372 for individual components and 0.8409 for aboveground biomass. These locally derived equations provide preliminary, site-specific relationships for estimating biomass and carbon stocks in Silver Oak AVAONE plantations and offer a baseline for future studies with expanded sampling and independent validation.

1. Introduction

Forest ecosystems play an important role in the global carbon cycle by storing carbon in living biomass [1,2]. Reliable estimates of forest biomass are therefore essential for understanding carbon dynamics, supporting greenhouse gas inventories, and informing carbon accounting frameworks [3,4,5]. Because forests act as a major sink for atmospheric carbon dioxide, uncertainties in biomass estimation can directly affect assessments of carbon stocks and mitigation potential [6,7,8]. In forest ecosystems, direct measurement of biomass through destructive sampling is costly and often impractical. For this reason, allometric equations are widely used to estimate tree biomass from easily measured attributes, such as diameter at breast height (DBH) and total tree height [9,10,11,12,13,14,15]. Pantropical allometric models have provided important global benchmarks for biomass estimation. For example, Chave et al. (2014) [16] developed updated pantropical equations that incorporate DBH, tree height, and wood density across a wide range of tropical forest conditions. However, several studies have shown that the performance of generalized models can vary substantially when applied to specific species, sites, or management systems.
Feldpausch et al. (2012) [17] demonstrated that height–diameter relationships differ markedly among forest types and regions, and that ignoring such variation can introduce systematic bias in biomass estimates. At finer spatial and taxonomic scales, Goodman et al. (2013) [18] showed that differences in tree architecture and crown structure further limit the transferability of generic allometric equations. Together, these studies indicate that differences in wood density, branching architecture, growth rates, soil conditions, and stand management can introduce substantial bias when large-scale equations are applied across species or sites [19,20,21]. This issue is particularly evident in plantation forests, where fast-growing species often exhibit biomass allocation patterns that differ from those assumed by generalized models. Accordingly, species-specific and locally calibrated allometric equations are increasingly recognized as essential for improving biomass estimation and carbon stock assessment in plantation systems [22,23,24].
Silver Oak (Grevillea robusta A. Cunn. ex R. Br.), cultivar “Silver Oak AVAONE,” exemplifies the need for such targeted allometric approaches. Native to Australia, G. robusta has been widely introduced into tropical and subtropical regions for timber production, agroforestry, and environmental uses. In Thailand, the AVAONE cultivar is valued for its rapid growth, adaptability to diverse soil conditions, and tolerance to climatic stress. Large-scale plantations have been established in the northeastern region, particularly in Nakhon Ratchasima Province, where the species is regarded as an important resource for commercial wood production and long-term carbon storage.
Previous research in Thailand includes the study by Laosuwan et al. [25], who developed allometric equations for Pak Chong F1 Silky Oak using D2H (DBH2 × height) as the main predictor variable. Their equations were stratified by age classes (2, 3–4, and 7 years) and by tree components (stem, branches, leaves, and roots). While this approach provides valuable component-level information, its application in mixed-age plantation stands is limited. In practice, forest managers and carbon assessors often require unified equations that can be applied consistently across different growth stages.
The compound variable D2H has been widely used in tree allometry as a proxy for stem volume and overall tree size, integrating both radial growth and height development. Incorporating height alongside diameter can reduce bias associated with variation in tree form and stand structure, particularly in fast-growing plantation species. In contrast, models based on DBH alone may overlook differences in height growth across age classes and sites, which can lead to systematic under- or overestimation of biomass. By explicitly accounting for both diameter expansion and vertical growth, D2H provides a more balanced representation of tree size and helps reduce bias associated with the use of DBH as a single predictor. In this study, D2H was therefore selected a priori as a primary predictor to better capture biomass variation across age classes and developmental stages, rather than relying on DBH alone or purely empirical model selection.
The importance of species-specific allometry has been demonstrated across a range of forest types. Ketterings et al. [26] reported substantial underestimation of biomass when non-local equations were applied to secondary tropical forests, whereas locally derived models significantly reduced uncertainty. Similar findings were reported by Litton and Kauffman [27] in Hawaiian forests, where species-specific equations improved aboveground biomass estimates. Picard et al. [28] further emphasized that species-specific models generally outperform pantropical equations, particularly when site characteristics and species traits are considered. Evidence from Central Africa supports these conclusions, with studies documenting large biases associated with generalized models and improved performance of species-specific approaches [29,30].
Taken together, these findings indicate that species-specific and locally calibrated allometric equations are critical for reducing uncertainty in biomass and carbon stock estimates. Despite advances for other tree species, Silver Oak AVAONE in Thailand remains underrepresented in biomass modeling, particularly with respect to unified equations applicable across multiple age classes. The stratified equations developed by Laosuwan et al. [25] provide an important foundation, but an integrated model would offer both scientific and operational advantages. Such a model would enable more consistent estimation of biomass across developmental stages and support carbon accounting relevant to Thailand’s long-term climate commitments, including the national goal of net-zero greenhouse gas emissions by 2065 (TGO, 2025) [31]. The objective of this study is therefore to develop and refine unified, species-specific allometric equations for estimating biomass and carbon stocks of Silver Oak (Grevillea robusta) cultivar AVAONE in plantation forests in Pak Chong District, Nakhon Ratchasima Province, Thailand.

2. Materials and Methods

2.1. Study Area

The study area is located in Nakhon Ratchasima Province, Thailand (Figure 1), where plantations of Silver Oak (Grevillea robusta A. Cunn. ex R. Br.), cultivar Silver Oak AVAONE, have been established within the AVA Farm 888 complex at 14°33′1.30″ N and 101°17′0.30″ E. This region lies on the northeastern plateau and is characterized by gently undulating uplands and low rolling hills. The dominant soils belong to the Pak Chong series (Pc), consisting of clay to clay-loam textures with moderate drainage and medium to low fertility. These site conditions offer a representative environment for evaluating biomass accumulation and carbon storage potential in Silver Oak plantations.
Pak Chong District has a tropical savanna climate (Köppen Aw), influenced by both southwest and northeast monsoon systems. Three seasons are distinct: a hot season from March to May, a rainy season from June to September, and a cool season from October to February. Annual rainfall ranges from 1000 to 1200 mm, and mean annual temperature is about 27.7 °C. The hottest months are April and May, while December and January can be cool, with temperatures in highland areas occasionally dropping below 10 °C. The dry, windy cool season contrasts with the lush vegetation of the rainy period. These climatic patterns favor the rapid growth of Silver Oak AVAONE, supporting continuous canopy development and stable biomass accumulation through most of the year. Alternating dry and wet periods also enhance physiological adaptation, strengthening root development and improving water-use efficiency—factors that contribute to long-term carbon sequestration in plantation systems of northeastern Thailand.
The plantation is located on relatively uniform soils across the study area, with no obvious variation in soil type or topography within the sampled stands. All sampled trees were drawn from a single plantation block managed under the same land-use history and silvicultural practices. Although detailed soil chemical properties were not measured in this study, the site is characterized by consistent soil conditions, which minimizes confounding effects of soil heterogeneity on biomass allocation across the sampled age classes.

2.2. Sampling and Destructive Harvest

Tree sampling was conducted in Silver Oak (Grevillea robusta) plantations within the AVA Farm 888 complex. Sampling was designed to cover the available age classes and typical stand conditions within the plantation. Plantation spacing was 3 × 3 m (approximately 1000 trees ha−1) under uniform management. One Silver Oak AVAONE tree was destructively sampled from each age class between 2 and 9 years. Within each age class, trees were first assessed in the field to characterize the observed distribution of diameter at breast height (DBH). The sampled tree was then selected to have a DBH close to the median of the observed distribution, representing a typical individual within that age class. Trees with obvious defects, suppressed growth, or extreme sizes were avoided. Before harvesting, DBH was measured at 1.30 m above ground level, and total tree height was recorded for each sampled tree.
An overview of felling and field measurements is provided in Figure 2. Each sampled tree was felled using a chainsaw and cut approximately 0.30 m above ground level. After felling, total tree height was re-measured from the base to the top of the crown under clear sight conditions. Stems were delimbed, and all leaves were removed and collected separately. The stem was sectioned starting from breast height (1.30 m) into segments of 1–2 m length, depending on tree size. Each stem section was labeled with tree identification and height position (e.g., 1.3 m, 3.3 m, 5.3 m) to ensure consistent segmentation and accurate tracking during subsequent processing. The entire root system was excavated, washed to remove adhering soil and debris, and air-dried under shade conditions to avoid rapid dehydration. Fresh mass of stem, branch, leaf, and root components was recorded separately for each tree.
In total, eight AVAONE trees were destructively harvested, representing age classes from 2 to 9 years (one tree per age). This sample size reflects the high economic and ethical costs associated with destructive sampling in commercial plantations. The one-tree-per-age design limits statistical replication within age classes and prevents quantification of within-age variance. However, such constraints are common in high-value plantation studies and are consistent with Tier 3 practice under IPCC (2006) guidance [32], where locally measured, component-level data are prioritized. The present dataset therefore represents a Tier 3 pilot study that provides foundational allometric information for G. robusta AVAONE, consistent with recommendations by Picard et al. [28]. Future work will expand sampling across additional trees and plantation sites to enable full calibration and independent validation of the models. This sampling strategy reflects practical and ethical constraints associated with destructive harvesting in commercial plantations and is intended to provide an initial, Tier 3 dataset rather than a fully replicated experimental design.
The entire root system of each sampled tree was excavated manually as far as practicable, including the main taproot and visible lateral roots, and cleaned to remove adhering soil. Nevertheless, some fine roots were likely lost during excavation and washing, as commonly reported in destructive sampling studies. Consequently, belowground biomass estimates may underestimate the contribution of fine roots, particularly in younger trees. This limitation is inherent to field-based root excavation and should be considered when interpreting belowground and total biomass values.

2.3. Component Separation and Subsampling

After each sample tree was felled and the basic measurements were completed, the entire tree was separated into four components: stem, branches, leaves, and roots. Each component was weighed fresh to obtain its total fresh mass. The procedures for separating components, taking subsamples, and recording fresh weights are shown in Figure 3. Stem sections were processed first. From the lower end of each stem segment, a disk about 2–4 cm thick (or weighing roughly 100–1000 g) was cut and labeled with the tree number and segment ID. All samples were sealed in labeled sample bags and weighed immediately using a precision digital scale.
Branches were sorted into four diameter classes (>10 cm, 5–10 cm, 2–5 cm, and <2 cm) to account for variation in moisture content among size groups. From each class, representative subsamples of approximately 500–1000 g were collected, labeled, and weighed. Leaves were sampled by collecting a representative subset of the entire leaf mass, typically between 500 and 1000 g; if leaf quantity was limited, the full set of leaves was used. Root samples were taken from the three structural categories: primary roots, secondary roots, and fine roots. For each category, small segments 2–5 cm long were cut from several representative roots (3–5 pieces per category). Every piece was labeled with the tree ID and the root group. Fresh weights of all subsamples were recorded using a laboratory precision scale. All stem, branch, leaf, and root subsamples were catalogued individually and placed into labeled containers for transport to the laboratory. These subsamples were later used to determine moisture content and dry mass conversion factors for each tree component.

2.4. Oven Drying and Dry Weight Determination

Fresh biomass of each tree component was measured in the field using calibrated digital scales. Subsamples were oven-dried at 105 °C to constant mass and weighed using a precision analytical balance. Dry mass was considered constant when consecutive measurements differed by less than 0.01 g. All subsamples collected in the field were transported to the laboratory for oven drying to determine moisture content and dry mass. The drying procedures are illustrated in Figure 4. Each subsample, including stem disks, branch segments, leaf material, and root pieces, was placed in a hot-air oven at 105 °C for an initial period of 48 h to remove free moisture. After this initial drying period, samples were weighed, returned to the oven for an additional 24 h, and reweighed. This cycle was repeated until successive measurements showed no further change in mass, indicating that constant dry mass had been achieved.
Once drying was complete, all samples were transferred to a desiccator containing silica gel to cool and stabilize their moisture conditions. Each sample was then weighed using a high-precision analytical balance, and the final dry weights were recorded in the same data sheets used for field measurements. These dry weights served as the basis for calculating moisture content and for converting total fresh mass of each tree component into dry biomass.

2.5. Moisture Content and Biomass Calculation

Moisture content was determined separately for each tree component (stems, branches, leaves, and roots) using fresh and oven-dry weights obtained from representative subsamples. Moisture content was calculated on an oven-dry basis (dry-basis), which is commonly applied in wood and biomass studies, using Equation (1):
M C O D   % = F W D W F W × 100
where FW and DW denote the fresh weight and oven-dry weight of each subsample, respectively.
The moisture content values obtained from Equation (1) were subsequently used to convert the total fresh mass of each tree component to dry biomass. Based on the oven-dry basis definition, dry weight was calculated using Equation (2):
D W = 100 × F W 100 + M C O D
Dry biomass was calculated independently for stems, branches, leaves, and roots, and all values were expressed in kilograms. Aboveground biomass (AGB) was obtained by summing the dry masses of stems, branches, and leaves, while total biomass was calculated as the sum of AGB and belowground biomass (BGB). These component-level dry biomass estimates were subsequently used as the empirical dataset for the development of species-specific allometric equations described in Section 2.6. For clarity, all dry biomass, carbon stock estimates, and allometric model inputs reported in this study were derived consistently using the oven-dry basis formulation described above.

2.6. Development of Allometric Equations

Dry biomass data derived from field measurements and laboratory analysis were used to develop species-specific allometric equations for silver oak (Grevillea robusta) cultivated in AVACONE. The aim was to relate biomass to simple tree measurements so that future estimates can be made without further destructive sampling. Diameter at breast height D and total tree height H were evaluated as predictors for stem Ws, branch Wb, leaf Wl, root Wr, aboveground biomass (AGB), and total biomass Wt. In addition, the compound variable D2H was also evaluated. Following common practice in tropical forest biomass studies [33], a power-law model was selected as the general form of the allometric relationship.
Y = a × D 2 H b
where Y is the biomass (kg) of the corresponding tree component, D is diameter at breast height (DBH, cm), H is total tree height (m), and a and b are regression coefficients. For convenience in statistical fitting, the model was also expressed in logarithmic form, as shown in Equation (4). Bias associated with logarithmic transformation was corrected using a smearing correction. Specifically, the smearing factor was calculated as the mean of the exponentiated residuals from the fitted log-linear model and applied to all back-transformed biomass predictions.
ln Y = ln a + b × ln D 2 H
Model parameters were estimated using ordinary least squares regression. Residuals were examined to check normality and homoscedasticity. To reduce bias introduced by logarithmic transformation, back-transformed predictions were adjusted using a smearing correction. Separate equations were developed for each biomass component as well as for total aboveground biomass. Model performance was assessed using coefficients of determination (R2) and inspection of residual patterns. In general, stem and root biomass showed stronger agreement with the fitted models, while leaf biomass exhibited greater variability.
Because the sample size was limited (n = 8) and all trees were harvested from a single plantation site, an independent validation dataset was not available. As a result, no external model validation was conducted. The equations presented here are therefore based solely on the available destructive sampling data and should be regarded as preliminary, site-specific relationships. They are most appropriately applied to G. robusta AVAONE plantations within the observed age range of 2–9 years and under site conditions and management practices similar to those of the study area. Use of these equations outside this range or in contrasting plantation conditions should be undertaken with caution.
To justify predictor selection, we compared alternative model forms using DBH-only (D), DBH with height (D and H), and the compound variable D2H. Models were fitted in the same power-law framework and compared using goodness-of-fit statistics (R2) and error metrics (e.g., RMSE/MAE on the original scale). Across components, D2H provided equal or better fit than DBH-only models and reduced residual structure related to differences in height growth among age classes. Therefore, D2H was retained as the primary predictor in the final equations reported in Section 3.
Given the small sample size (n = 8) and the absence of an independent validation dataset, model predictive performance was evaluated using leave-one-out cross-validation (LOOCV). For each iteration, one tree was excluded, the model was refitted using the remaining observations, and biomass of the excluded tree was predicted on the original scale after smearing correction. Model performance was quantified using root mean square error (RMSE) and mean absolute error (MAE). Diagnostic plots, including residuals versus fitted values, normal Q–Q plots, and leverage diagnostics, are provided in Figure S1.

2.7. Carbon Analysis

Samples of stems, branches, leaves, and roots were subjected to carbon determination in accordance with procedures of a laboratory operating under ISO/IEC 17025 accreditation. The oven-dried materials (Section 2.5) were further dried at 80 ± 2 °C following the volatile-correction principles of ASTM D1102-84 [34] to minimize the loss of nitrogen and other volatile compounds. Each sample was then ground to a fine powder, homogenized, and sieved through a 250-µm mesh to obtain a uniform particle size suitable for analysis. All samples were labeled with the corresponding tree number and component type to ensure full traceability during processing.
Carbon concentration was measured using a CHN elemental analyzer (LECO CHN628; LECO Corporation, St. Joseph, MI, USA) following the manufacturer’s standard combustion protocol [34]. Instrument calibration was performed using certified reference materials provided by the manufacturer. Analytical precision was assessed through routine quality-control checks and triplicate measurements for each component, with repeatability better than ±0.2% for carbon concentration. All analyses were conducted in an ISO/IEC 17025-accredited laboratory. The analyzer quantified total carbon (%C) through complete combustion and thermal detection, providing species- and site-specific carbon fractions for stems, branches, leaves, and roots. These carbon fractions were multiplied by the dry biomass of each component to calculate carbon mass at both the component and whole-tree levels. The use of laboratory-measured carbon fractions, rather than a default conversion factor, enabled more accurate and locally calibrated estimates of carbon stocks in Silver Oak AVAONE plantations.

3. Results

3.1. Aboveground Biomass Accumulation

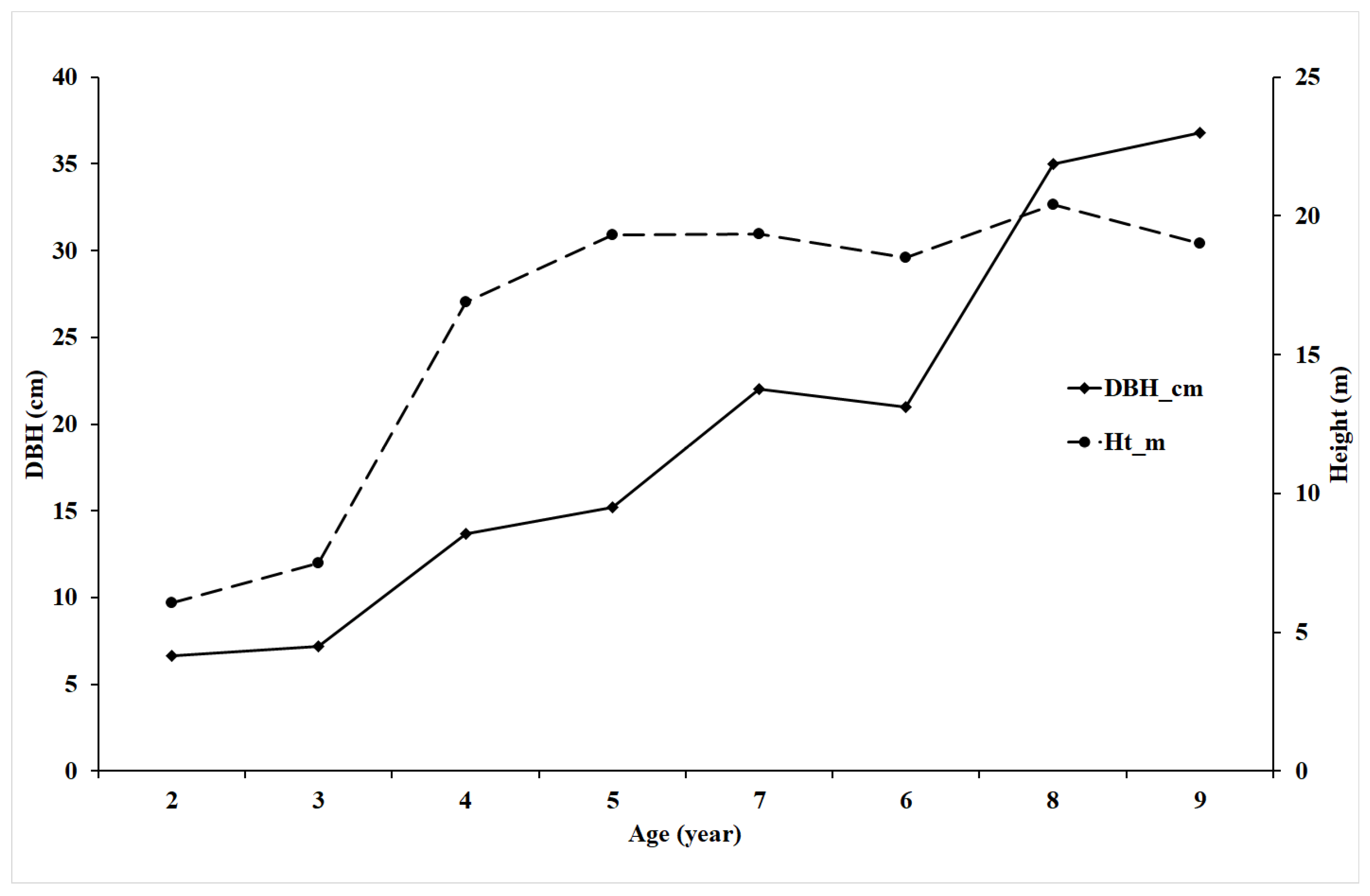
Growth measurements across the eight age classes (2–9 years) showed clear increases in tree size and biomass as Silver Oak AVAONE matured. The relationship between diameter at breast height (DBH) and total height exhibited distinct growth phases (Figure 5). During the early years (ages 2–5), increases in DBH and height were relatively slow; however, once trees exceeded five years of age, growth accelerated markedly. The most rapid expansion occurred between ages 6 and 9, when both DBH and fresh biomass increased sharply. Although data for the transition between ages 5 and 6 were limited, the overall pattern indicated a strong shift toward rapid structural development in mid- to late-age classes. Fresh weight measurements of stems, branches, leaves, and roots also increased with age, reflecting continuous and accelerating biomass accumulation (Table 1). Stem biomass increased substantially in older trees, particularly at ages 8 and 9, indicating a strong contribution of stem-wood formation to aboveground biomass. Branch biomass followed a similar trend, showing pronounced expansion during the later stages of growth. Leaf biomass also increased steadily, although at a lower rate than stems and branches. Root biomass rose from 12.60 kg at age 2 to a peak of 206.30 kg at age 8 before declining slightly to 174.30 kg at age 9, suggesting a physiological shift in belowground allocation as trees aged.
As shown in Table 1, tree size and biomass increased sharply with age, reflecting an overall accelerating growth pattern. Height rose from 6.65 m at age 2 to 20.40 m at age 8, after which height growth began to level off. In contrast, DBH continued to expand throughout the entire age range, increasing from 6.05 cm to 36.80 cm by age 9—more than a sixfold increase in seven years. This indicates that radial growth becomes the dominant structural change as trees mature. Biomass components showed a similar and pronounced upward trend, especially between ages 6 and 9. Stem biomass increased from 18.40 kg at age 2 to 1075.87 kg at age 9, representing nearly a 58-fold increase. Branch biomass rose from 11.20 kg to 497.00 kg, showing rapid canopy expansion during later growth stages. Leaf biomass increased from 4.85 kg to 46.20 kg, a steady rise consistent with greater photosynthetic capacity. Root biomass grew from 12.60 kg at age 2 to a peak of 206.30 kg at age 8 before slightly declining to 174.30 kg at age 9, suggesting a shift in belowground allocation as trees reach maturity. These patterns show that DBH is the strongest predictor of biomass accumulation in Silver Oak AVAONE. The rapid increases in stem and branch biomass align closely with DBH expansion, while height growth stabilizes in older classes. This highlights the importance of radial growth in driving aboveground biomass in this species.

3.2. Moisture Content of Tree Components

Moisture content varied across stems, branches, leaves, and roots of Silver Oak AVAONE and showed distinct numerical patterns as trees aged (Table 2). When expressed on an oven-dry basis, stems generally maintained relatively high moisture values at all ages, exceeding 85% and reaching a maximum of 129.05% at age 3. Leaves also exhibited elevated moisture content, remaining consistently above 87% and peaking at 122.47% at age 7. These comparatively high values indicate substantial water content relative to dry matter in tissues associated with canopy structure and function during different developmental stages.
Branches showed more moderate moisture values, ranging from 64.57% to 95.80%, reflecting lower water content per unit dry mass relative to stems and leaves. Roots exhibited the lowest moisture content among all components, with a pronounced decline beginning at age 6, when root moisture decreased sharply to 49.83%. In older trees (ages 8–9), root moisture remained relatively low (54%–59%), indicating reduced relative water content per unit dry matter in belowground tissues as stand development progressed.
Overall, these patterns suggest age-related differences in the distribution of water content relative to dry biomass among tree components. As Silver Oak AVAONE matures, comparatively higher moisture values are increasingly observed in stems and leaves than in roots. When interpreted on an oven-dry basis, this trend reflects compositional and structural differences among tissues and developmental stages, rather than direct measures of absolute water storage or internal water pools. The observed changes therefore highlight shifts in relative water content per unit dry matter among aboveground and belowground components as plantations age, consistent with the species’ rapid growth and increasing allocation to aboveground biomass.

3.3. Dry Biomass Analysis for Allometric Equation Development

Dry biomass measurements of Silver Oak AVAONE provided the quantitative basis for developing species-specific allometric equations. The dataset, obtained from eight destructively sampled trees aged 2–9 years, included dry weights of stems, branches, leaves, and roots, as well as aboveground biomass (AGB). These values were analyzed alongside structural variables—DBH, tree height, and the composite parameter DBH2Ht—to evaluate growth patterns and their relationship to biomass accumulation. Tree growth during the early years was modest. At ages 2–3 (SO02–SO03), trees reached heights of only 6.65–7.50 m and DBH values of 6.05–7.16 cm, producing stem dry weights of 8.11–8.83 kg and AGB values below 18 kg. Growth accelerated sharply after age 4. Trees aged 4–5 (SO04–SO05) increased in height to 16.90–19.30 m, while DBH expanded to 13.70–15.20 cm. This change produced a substantial rise in stem dry biomass—62.27 kg at age 4 and 79.14 kg at age 5—reflecting the onset of rapid wood formation.
The strongest biomass gains occurred during ages 6–9. DBH reached 21.00–36.80 cm in this period, while tree height stabilized near 19–20 m, indicating a developmental shift from vertical growth to radial expansion. As a result, stem biomass increased sharply to 111.80 kg at age 7 and peaked at 574.58 kg at age 9 (SO09). Branch biomass also expanded quickly during these years, rising from 21.72 kg at age 6 to 262.60 kg at age 9. Leaf biomass remained comparatively small but increased consistently with age, from 2.18 kg at age 2 to 23.24 kg at age 9. Root biomass followed a similar trend, rising steadily to 122.97 kg at age 8 before declining slightly to 103.90 kg at age 9—likely reflecting a physiological shift toward greater allocation aboveground. Aboveground biomass (AGB) showed a pronounced age-dependent increase. AGB increased from only 17.49 kg at age 2 to 860.42 kg at age 9. The greatest change occurred between ages 6 and 9, during which AGB increased more than fourfold (198.22 → 860.42 kg). This pattern is consistent with the rapid expansion of stem and branch components and the stabilization of height growth in older trees. Dry biomass values and their associated structural variables are summarized in Table 3.
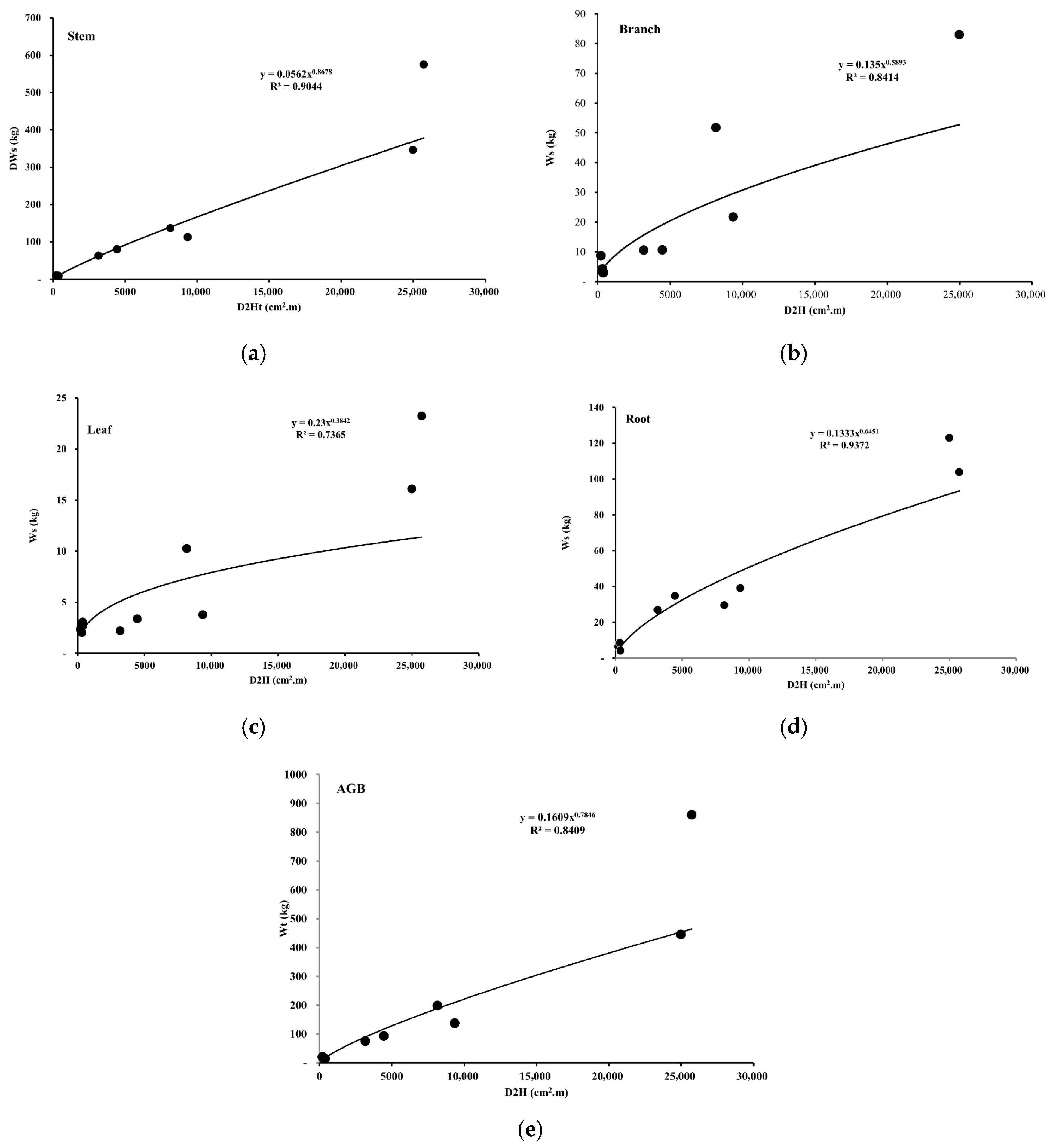
Analysis of Table 3 shows that D2H is strongly associated with biomass accumulation. Trees with low D2H values—267.14 cm2·m (SO02) and 384.49 cm2·m (SO03)—had AGB values of only 17.49 and 13.94 kg. In contrast, trees with very high D2H values, such as 24,990 cm2·m (SO08) and 25,730.56 cm2·m (SO09), accumulated 444.77 and 860.42 kg of AGB. This sharp contrast highlights the nonlinear growth response typical of fast-growing plantation species. Among tree components, the stem accounted for the largest proportion of biomass in all age classes, reflecting its central role in carbon storage and structural development. Branch biomass became increasingly important in older trees with well-developed canopies, such as SO07 and SO09, which accumulated 51.80 and 262.60 kg of dry branch biomass, respectively. Although smaller in magnitude, root biomass continued to rise across most age classes and played a key role in anchorage and resource uptake.
The progression of D2H values across the dataset also reveals clear developmental stages: early-age trees exhibited low structural mass, while mid- and late-age classes showed exponential gains as diameter expansion accelerated. The rapid rise in stem and branch biomass between SO06 and SO09 underscores a pronounced shift toward wood formation and crown enlargement—traits characteristic of trees entering full productive maturity. Meanwhile, leaf biomass remained comparatively small but stable, consistent with the sclerophyllous leaf traits of Grevillea that limit excessive foliage mass. The growing divergence between AGB and belowground biomass in older trees further indicates a strategic reallocation of resources toward aboveground structural growth. Taken together, these quantitative patterns provide strong empirical justification for using D2H-driven power-law functions and confirm its suitability as the core predictor for constructing species-specific allometric equations for Silver Oak AVAONE. These relationships are illustrated in Figure 6a–e and the corresponding regression parameters and R2 values are summarized in Table 4.
Table 4 shows that the fitted allometric equations provide strong predictive relationships between D2H and the dry biomass of Silver Oak AVAONE. The root biomass model achieved the highest explanatory power (R2 = 0.9372), indicating that belowground biomass responds strongly and consistently to increases in D2H. The stem equation also performed well (R2 = 0.9044), reflecting the dominant contribution of stem wood to total biomass as trees age. Branch biomass exhibited substantial but slightly lower predictability (R2 = 0.8414), consistent with greater structural variability in crown development. Leaf biomass showed the lowest coefficient of determination (R2 = 0.7365), which is expected for a component subject to seasonal turnover and environmental fluctuations. The model for total aboveground biomass (AGB) demonstrated high overall accuracy (R2 = 0.8409), confirming that D2H is a reliable scaling variable for predicting whole-tree biomass accumulation. Collectively, these quantitative patterns verify that species-specific power-law equations calibrated to D2H provide robust and biologically meaningful predictions across different components of Silver Oak AVAONE.

3.4. Model Performance and Cross-Validation Results

To further evaluate model performance beyond goodness-of-fit, leave-one-out cross-validation (LOOCV) was applied to all allometric equations. Coefficients of determination (R2) were retained from the original model fits, while predictive error metrics—root mean square error (RMSE) and mean absolute error (MAE)—were calculated based on LOOCV and are summarized in Table 5.
Table 5 shows that the fitted allometric models exhibit relatively high explanatory power, with R2 values ranging from 0.7365 to 0.9372 across biomass components. However, predictive uncertainty varied among components when evaluated using LOOCV. Aboveground biomass (AGB) showed the largest prediction error (RMSE = 206.91 kg; MAE = 97.71 kg), indicating strong sensitivity to individual observations. In contrast, stem and leaf biomass exhibited lower absolute errors (RMSE = 12.67 kg and 2.23 kg, respectively), suggesting comparatively more stable predictions within the observed size range. Diagnostic plots based on LOOCV residuals (Figure S1) indicate no pronounced systematic pattern in residual distributions. Nevertheless, the largest individual (SO09) exerted high leverage, particularly in the AGB model, contributing disproportionately to prediction error. This leverage effect, combined with the small sample size (n = 8) and the power-law formulation, highlights the preliminary and site-specific nature of the proposed equations. Accordingly, these models should be interpreted as baseline relationships suitable for local application rather than as broadly predictive allometric models.

3.5. Carbon Fraction Analysis of Silver Oak AVAONE Biomass

Carbon concentrations of Silver Oak AVAONE (Grevillea robusta A. Cunn. ex R. Br.) were analyzed using the LECO method with a CHN Elemental Analyzer (LECO CHN628) in an ISO/IEC 17025-accredited laboratory to ensure analytical precision and traceability. The analysis covered the four major biomass components—stem, branch, leaf, and root—and revealed clear differences in carbon fractions across tissues (Table 6).
The stem exhibited the highest and most stable carbon fraction, ranging from 46.973%–48.704% with a mean of 48.063%, reflecting the high proportion of structural carbon typically stored in woody tissues. Branch carbon fractions were lower and less variable, ranging from 45.561%–45.992% (mean 45.781%), consistent with the lower lignin content and greater heterogeneity of branch tissues. Leaf samples showed a broader carbon range of 45.561%–48.516% (mean 47.678%), which aligns with their mixed composition of metabolic and structural compounds. Root tissues contained 46.015%–48.428% carbon, averaging 47.019%, indicating belowground carbon storage comparable to stem wood.
Across all components, carbon fractions fell within 45.561%–48.704%, closely matching the 47% default carbon fraction recommended by the IPCC [33]. This alignment confirms that the use of laboratory-measured carbon fractions provides accurate species- and site-specific parameters without deviating from established international guidelines. The data further suggest that carbon concentrations tend to rise gradually with tree age, particularly in stems and roots, as structural development progresses. Because sampled trees were relatively young (2–9 years), their carbon fractions may still be below the stable values typically found in mature stands. As Silver Oak AVAONE matures, both carbon fraction and total carbon storage are expected to increase before stabilizing at later developmental stages.
Overall, the laboratory results demonstrate that Silver Oak AVAONE possesses a strong inherent capacity for carbon storage, with carbon fractions highly consistent with global forest biomass norms. These results suggest the potential suitability of Silver Oak AVAONE for carbon-accounting applications, subject to expanded sampling, uncertainty analysis, and independent validation.

3.6. Interpretation and Implications of Carbon Fraction Patterns in Silver Oak AVAONE

The carbon fractions measured in Silver Oak AVAONE provide additional descriptive context that complements the analytical results presented in Section 3.5. Across all biomass components, carbon concentrations clustered within a relatively narrow range around the IPCC default value of 47%, indicating compositional consistency that is typical of fast-growing tropical hardwood species. This limited variability suggests broadly similar carbon composition across tissues and age classes within the sampled range. Differences among tree components were evident. Stems and roots exhibited slightly higher carbon fractions than branches and leaves, reflecting their greater proportion of structural tissues with higher lignin and cellulose content. Branch tissues showed lower carbon concentrations, consistent with their higher proportion of bark and parenchymatous tissues, while leaves exhibited intermediate but more variable values, reflecting their mixed structural and metabolic composition. These component-level differences are consistent with patterns reported in other woody plantation species.
When considered in the context of stand development, the observed carbon fraction patterns suggest that increasing biomass allocation to woody tissues with age may be accompanied by relatively stable carbon concentrations at the tissue level. Because the sampled trees represent young plantations (2–9 years), these values should be interpreted as indicative of early to mid-rotation conditions rather than mature stand characteristics.
From a carbon-accounting perspective, the close alignment between measured carbon fractions and the IPCC default value supports the continued use of a 0.47 carbon fraction where component-specific measurements are unavailable, while highlighting the added value of laboratory-derived, species- and site-specific data. The application of higher generic values (e.g., 0.50) would likely overestimate carbon stocks. Where dry biomass is available by component, the use of weighted carbon fractions may help reduce uncertainty in carbon stock estimation. Overall, the observed carbon fraction patterns indicate consistency with widely applied forest biomass assumptions and suggest potential relevance for future carbon-accounting applications under frameworks such as T-VER, VERRA, and Gold Standard, subject to expanded sampling, uncertainty analysis, and independent validation, rather than demonstrating methodological compliance.

4. Discussion

This study provides detailed insights into biomass accumulation and allocation patterns of Silver Oak AVAONE under tropical plantation conditions in Pak Chong, Nakhon Ratchasima Province, Thailand. Clear age-related trends were observed across all biomass components, with tree size variables playing a dominant role in explaining biomass variation. The use of the composite variable D2H as a predictor produced coherent and biologically meaningful relationships among biomass components, highlighting its suitability for describing biomass scaling and allocation in plantation-grown Silver Oak AVAONE. These findings are consistent with previous studies demonstrating that species-specific allometric equations can reduce bias relative to generic or pan-tropical models, particularly for fast-growing plantation species with distinct growth trajectories.
Despite these strengths, the results must be interpreted with appropriate caution. The allometric equations were developed from a very limited dataset comprising only eight destructively sampled trees from a single plantation, and no independent validation dataset was available. Consequently, the derived equations should be regarded as preliminary and site-specific rather than broadly applicable predictive models. To reflect these constraints, statements implying consistent performance across all biomass components have been moderated in the revised manuscript. An additional source of uncertainty arises from the propagation of measurement errors in DBH and tree height through the allometric equations. Because biomass scales nonlinearly with predictors such as D2H, even small field measurement errors can be amplified in biomass estimates, particularly for larger trees. Although formal uncertainty propagation was not quantified due to data limitations, this potential source of error should be considered when applying the equations. Although formal uncertainty propagation (e.g., Monte Carlo simulation or analytical error propagation) was not conducted due to the limited sample size (n = 8) and lack of replicated measurements, typical field measurement uncertainties for DBH (±0.1 cm) and tree height (±0.3 m) can be expected to translate into proportionally larger uncertainty in biomass estimates because of the nonlinear power-law relationship with D2H. Consequently, biomass estimates for larger trees are likely associated with higher absolute uncertainty than those for smaller individuals. This limitation further reinforces that the proposed equations should be interpreted as exploratory, site-specific relationships rather than operational prediction tools.
Comparisons with previously published allometric studies for Grevilleia robusta remain limited. Studies conducted outside Thailand have reported rapid increases in aboveground biomass during early to mid-rotation stages, followed by a developmental shift from height growth to diameter expansion as stands mature. A similar pattern was observed in the present study, particularly the pronounced increase in stem and branch biomass after six years of age. However, direct comparison of allometric coefficients across studies is constrained by differences in age range, site conditions, management practices, and sampling design. At present, no published allometric equations for G. robusta in Thailand span a continuous age range comparable to the 2–9 years examined here. The present results therefore provide initial reference information for young Silver Oak AVAONE plantations under Thai conditions, while broader regional or species-wide generalizations remain premature. An important methodological issue related to moisture content and dry-mass conversion was identified during revision. This issue has now been fully corrected by applying a consistent oven-dry basis (dry-basis) formulation throughout the analysis. All equations, tables, and interpretations were aligned under this convention, ensuring internal consistency in dry biomass and carbon stock estimation. Following correction, the observed increase in aboveground biomass between six and nine years of age remains robust, indicating strong growth during early to mid-rotation stages. This growth pattern suggests that Silver Oak AVAONE has potential for plantation forestry and reforestation under suitable site conditions.
Measured carbon fractions ranged from 45.6% to 48.7%, which is close to the commonly applied IPCC default value of 0.47. While this finding supports the use of default values when component-specific data are unavailable, such assumptions should still be treated cautiously. Tissue-level variation in carbon concentration may contribute to uncertainty in carbon stock estimates, and the use of component-specific carbon fractions may help reduce this uncertainty in future studies. Beyond descriptive patterns and goodness-of-fit statistics, the inclusion of leave-one-out cross-validation (LOOCV) provides additional insight into the predictive behavior of the proposed allometric equations. Although coefficients of determination (R2) from the original model fits indicate high explanatory power across biomass components, LOOCV results demonstrate that predictive uncertainty varies substantially. Aboveground biomass exhibited the largest prediction error, reflecting the combined effects of small sample size and the disproportionate influence of large individuals. In particular, the largest tree (SO09) exerted high leverage on model predictions, a common characteristic of power-law allometric models calibrated with limited destructive-sampling data. Such leverage effects underscore the sensitivity of allometric predictions to extreme size classes when sample size is constrained.
Diagnostic evaluation further supports a cautious interpretation of model performance. Although residual patterns do not indicate pronounced systematic bias, the influence of high-leverage observations highlights the limitations of predictive generalization under the current sampling design. LOOCV provides a useful internal assessment of predictive uncertainty; however, it does not substitute for independent validation across additional sites or environmental gradients. Accordingly, the proposed equations should be interpreted as baseline, site-specific relationships that capture local biomass–structure scaling rather than as broadly predictive allometric models. From a practical perspective, the present study nonetheless offers valuable baseline information for young Silver Oak AVAONE plantations in Thailand. The combination of strong explanatory power, transparent acknowledgment of uncertainty, and explicit discussion of limitations makes these equations suitable for exploratory biomass estimation and stand-level assessments within similar plantation contexts. Future work incorporating expanded sampling, additional plantation sites, wider age ranges, and independent validation will be essential to strengthen model robustness and extend applicability for biomass estimation, carbon accounting, and monitoring frameworks.

5. Conclusions

This study provides detailed field-based information on biomass growth and carbon allocation of Silver Oak AVAONE under tropical plantation conditions in Pak Chong, Nakhon Ratchasima. By separating trees into stems, branches, leaves, and roots and measuring both fresh and dry weights, we developed a component-level dataset describing early biomass development across age classes from two to nine years. The allometric relationships derived from this dataset show clear trends with D2H, indicating that tree size variables are useful for explaining biomass variation in this plantation context.
However, the results should be interpreted with caution. The study was based on a limited number of destructively sampled trees (n = 8) collected from a single plantation site, and no independent validation was conducted. For these reasons, the proposed allometric equations should be regarded as preliminary and site-specific rather than accurate or reliable for general application. An important methodological issue related to moisture content and dry-mass conversion was identified and corrected during revision. All biomass and carbon stock estimates presented here are based on the corrected calculations, highlighting the sensitivity of destructive-sampling studies to assumptions related to moisture content and dry biomass estimation.
Despite these limitations, the observed increase in aboveground biomass during mid-age stages reflects the fast growth of Silver Oak AVAONE under the studied conditions. Measured carbon fractions were close to commonly used default values, although the use of component-specific carbon fractions may help reduce uncertainty in future work. Overall, this study provides a baseline dataset and initial allometric relationships for Silver Oak AVAONE plantations in Thailand. With expanded sampling across more trees, additional sites, older age classes, and independent validation, future studies can build on this foundation to improve biomass and carbon assessments and support applications aligned with long-term monitoring objectives.

Supplementary Materials

The following supporting information can be downloaded at: https://www.mdpi.com/article/10.3390/f17010100/s1, Figure S1. Diagnostic plots for the LOOCV-based allometric models, including (a) residuals versus fitted values, (b) normal Q–Q plots of residuals, and (c) leverage versus residuals. The largest individual (SO09) exhibits high leverage, contributing disproportionately to prediction error, particularly for the aboveground biomass model.

Author Contributions

Conceptualization, Y.U. and T.L.; methodology, Y.U., T.L., S.S., J.H.S., C.B., T.R. and S.D.; validation, Y.U., T.L., S.S., J.H.S., C.B., T.R. and S.D., formal analysis, Y.U., T.L., S.S., J.H.S., C.B. and S.D.; resources, Y.R.; data curation, Y.U., T.L., S.S., C.B., T.R., S.D. and Y.R.; funding acquisition, Y.R.; writing—review and editing, T.L. and Y.U.; project administration, T.L. All authors have read and agreed to the published version of the manuscript.

Funding

This research was financially supported by AVA FARM 888 LIMITED PARTNERSHIP (https://avafarm888.com/). The funder did not provide a specific grant number.

Data Availability Statement

Data are available on request.

Acknowledgments

The authors sincerely thank AVA FARM 888 Limited Partnership for providing Silver Oak AVAONE samples (aged 2–9 years) and for the valuable field assistance that made this research possible.

Conflicts of Interest

The authors declare no conflicts of interest. The authors further clarify that Yongyut Rouylarp is affiliated with AVA FARM 888 LIMITED PARTNERSHIP. All other authors confirm that this research was conducted independently and without any commercial or financial relationships that could be construed as a potential conflict of interest.

References

  1. Houghton, R.A.; Hall, F.; Goetz, S.J. Importance of biomass in the global carbon cycle. J. Geophys. Res. Biogeosciences 2009, 114, G00E03. [Google Scholar] [CrossRef]
  2. D’Andrea, E.; Micali, M.; Sicuriello, F.; Cammarano, M.; Ferlan, M.; Skudnik, M.; Mali, B.; Čater, M.; Simončič, P.; De Cinti, B.; et al. Improving carbon sequestration and stocking as a function of forestry. Ital. J. Agron. 2016, 11, 56–60. [Google Scholar] [CrossRef]
  3. Mkuzi, H.T.; Ocansey, C.M.; Maghanga, J.; Gulyás, M.; Penksza, K.; Szentes, S.; Michéli, E.; Fuchs, M.; Boros, N. A Review of Biomass Estimation Methods for Forest Ecosystems in Kenya: Techniques, Challenges, and Future Perspectives. Land 2025, 14, 1873. [Google Scholar] [CrossRef]
  4. Ispikoudis, S.; Zianis, D.; Tziolas, E.; Damianidis, C.; Rapti, D.; Tsiros, E.; Michalakis, D.; Karteris, A. Assessment of Forest Biomass and Carbon Storage in Habitat 9340 Quercus ilex L. to Support Management Decisions for Climate Change Mitigation. Sustainability 2024, 16, 1403. [Google Scholar] [CrossRef]
  5. Awichin, P.; Laosuwan, T.; Sangpradid, S.; Uttaruk, Y.; Phoophathong, T.; Leammanee, S.; Nuchthapho, J. UAV multispectral indices and linear regression for estimating biomass and carbon in rubber plantations. IEEE Access 2025, 13, 215845. [Google Scholar] [CrossRef]
  6. Kabir, M.; Habiba, U.E.; Khan, W.; Shah, A.; Rahim, S.; De los Rios-Escalante, P.R.; Farooqi, Z.-U.-R.; Ali, L.; Shafiq, M. Climate change due to increasing concentration of carbon dioxide and its impacts on environment in the 21st century: A mini review. J. King Saud Univ. Sci. 2023, 35, 102693. [Google Scholar] [CrossRef]
  7. Troncoso, M.; Fleming, Z.L.; Figueroa, F.L.; Korbee, N.; Durán, R.; Navarrete, C.; Rivera, C.; Celis-Plá, P.S.M. Environmental stressors modulating seasonal and daily carbon dioxide assimilation and productivity in Lessonia spicata. Plants 2025, 14, 2341. [Google Scholar] [CrossRef]
  8. Su, L.; Huang, R.; Fu, D.; Chen, Y.; Zhang, X.; Chen, Y.; Liu, C.; Hu, T.; Ma, C. Effects of combined salt and heat stress on agronomic traits, photosynthetic parameters, and physiological biochemistry in six alfalfa (Medicago sativa L.) cultivars. Plants 2025, 14, 2479. [Google Scholar] [CrossRef] [PubMed]
  9. Mahmood, H.; Siddique, M.R.H.; Costello, L.; Birigazzi, L.; Abdullah, S.M.R.; Henry, M.; Siddiqui, B.N.; Aziz, T.; Ali, S.; Al Mamun, A.; et al. Allometric models for estimating biomass, carbon and nutrient stock in the Sal zone of Bangladesh. iForest–Biogeosciences For. 2019, 12, 69–75. [Google Scholar] [CrossRef]
  10. Kuyah, S.; Dietz, J.; Muthuri, C.; Jamnadass, R.; Mwangi, P.; Coe, R.; Neufeldt, H. Allometric equations for estimating biomass in agricultural landscapes: I. Aboveground biomass. Agric. Ecosyst. Environ. 2012, 158, 216–224. [Google Scholar] [CrossRef]
  11. Affleck, D.L.R.; Diéguez-Aranda, U. Additive nonlinear biomass equations: A likelihood-based approach. For. Sci. 2016, 62, 129–140. [Google Scholar] [CrossRef]
  12. Wang, X.; Zhao, D.; Liu, G.; Yang, C.; Teskey, R.O. Additive tree biomass equations for Betula platyphylla Suk. plantations in Northeast China. Ann. For. Sci. 2018, 75, 60. [Google Scholar] [CrossRef]
  13. Baskent, E.Z.; Kašpar, J.; Baskent, H. Implications of carbon management with forest plantation on understocked, degraded, and bare forests: Simulated long-term dynamics between timber production and carbon sequestration. Renew. Energy 2025, 242, 122437. [Google Scholar] [CrossRef]
  14. Yu, L.; Fan, L.; Ciais, P.; Xiao, J.; Frappart, F.; Sitch, S.; Chen, J.; Xiao, X.; Fensholt, R.; Chang, Z.; et al. Forest degradation contributes more to carbon loss than forest cover loss in North American boreal forests. Int. J. Appl. Earth Obs. Geoinf. 2024, 128, 103729. [Google Scholar] [CrossRef]
  15. Kasawani, I.; Mohd-Zaki, A.; Onrizal, O.; Hamzah, Z. Estimation of aboveground biomass using allometric relationship between DBH and height for mixed mangrove forest in Setiu Wetland, Terengganu, Malaysia. IOP Conf. Ser. Earth Environ. Sci. 2021, 842, 012042. [Google Scholar] [CrossRef]
  16. Chave, J.; Réjou-Méchain, M.; Búrquez, A.; Chidumayo, E.; Colgan, M.S.; Delitti, W.B.; Duque, A.; Eid, T.; Fearnside, P.M.; Goodman, R.C.; et al. Improved allometric models to estimate the aboveground biomass of tropical trees. Glob. Change Biol. 2014, 20, 3177–3190. [Google Scholar] [CrossRef]
  17. Feldpausch, T.R.; Lloyd, J.; Lewis, S.L.; Brienen, R.J.W.; Gloor, M.; Monteagudo Mendoza, A.; Lopez-Gonzalez, G.; Banin, L.; Abu Salim, K.; Affum-Baffoe, K.; et al. Improved pantropical allometric models to estimate aboveground biomass of tropical trees from diameter, height and wood density data. Biogeosciences 2012, 9, 3381–3403. [Google Scholar] [CrossRef]
  18. Goodman, R.C.; Phillips, O.L.; Del Castillo Torres, D.; Freitas, L.; Cortese, S.T.; Monteagudo, A.; Baker, T.R. Amazon palm biomass and allometry. For. Ecol. Manag. 2013, 310, 994–1004. [Google Scholar] [CrossRef]
  19. Bazrgar, A.B.; Thevathasan, N.; Gordon, A.; Simpson, J. Allometric equations for estimating aboveground biomass carbon in five tree species grown in an intercropping agroforestry system in southern Ontario, Canada. Agrofor. Syst. 2024, 98, 739–749. [Google Scholar] [CrossRef]
  20. Pati, P.K.; Kaushik, P.; Khan, M.L.; Khare, P.K. Allometric equations for biomass and carbon stock estimation of small-diameter woody species from tropical dry deciduous forests: Support to REDD+. Trees For. People 2022, 9, 100289. [Google Scholar] [CrossRef]
  21. Brown, S.; Gillespie, A.J.R.; Lugo, A.E. Biomass estimation methods for tropical forests with applications to forest inventory data. For. Sci. 1989, 35, 881–902. [Google Scholar] [CrossRef]
  22. Djomo, A.N.; Ibrahima, A.; Saborowski, J.; Gravenhorst, G. Allometric equations for biomass estimations in Cameroon and pan moist tropical equations including biomass data from Africa. For. Ecol. Manag. 2010, 260, 1873–1885. [Google Scholar] [CrossRef]
  23. Jundang, W.; Puangchit, L.; Diloksumpun, S. Carbon storage of dry dipterocarp forest and eucalypt plantation at Mancha Khiri Plantation, Khon Kaen Province. Thai J. For. 2010, 29, 36. [Google Scholar]
  24. Aneseyee, A.B.; Soromessa, T.; Elias, E.; Addi, A. Allometric equations for selected Acacia species (Vachellia and Senegalia genera) of Ethiopia. Carbon Balance Manag. 2021, 16, 34. [Google Scholar] [CrossRef] [PubMed]
  25. Laosuwan, T.; Uttaruk, Y.; Sangpradid, S.; Butthep, C.; Leammanee, S. The carbon sequestration potential of Silky Oak (Grevillea robusta A.Cunn. ex R.Br.), a high-value economic wood in Thailand. Forests 2023, 14, 1824. [Google Scholar] [CrossRef]
  26. Ketterings, Q.M.; Coe, R.; van Noordwijk, M.; Ambagau, Y.; Palm, C.A. Reducing uncertainty in the use of allometric biomass equations for predicting above-ground tree biomass in mixed secondary forests. For. Ecol. Manag. 2001, 146, 199–209. [Google Scholar] [CrossRef]
  27. Litton, C.M.; Kauffman, J.B. Allometric models for predicting aboveground biomass in two widespread woody plants in Hawaii. Biotropica 2008, 40, 313–320. [Google Scholar] [CrossRef]
  28. Picard, N.; Saint-André, L.; Henry, M. Manual for Building Tree Volume and Biomass Allometric Equations: From Field Measurement to Prediction; FAO: Rome, Italy; CIRAD: Montpellier, France, 2012; ISBN 978-92-5-107347-6. [Google Scholar]
  29. Kasekete, D.K.; Ligot, G.; Mweru, J.-P.M.; Drouet, T.; Rousseau, M.; Moango, A.; Bourland, N. Growth, productivity, biomass and carbon stock in Eucalyptus saligna and Grevillea robusta plantations in North Kivu, Democratic Republic of the Congo. Forests 2022, 13, 1508. [Google Scholar] [CrossRef]
  30. Banik, B.; Deb, D.; Deb, S.; Datta, B.K. Assessment of biomass and carbon stock in Sal (Shorea robusta Gaertn.) forests under two management regimes in Tripura, Northeast India. J. For. Environ. Sci. 2018, 34, 209–223. [Google Scholar] [CrossRef]
  31. Thailand Greenhouse Gas Management Organization (TGO). Thailand Voluntary Emission Reduction Program (T-VER): Overview. Available online: https://tver.tgo.or.th/index.php/en/en-about/en-overview (accessed on 9 September 2025).
  32. IPCC. 2006 IPCC Guidelines for National Greenhouse Gas Inventories; Institute for Global Environmental Strategies (IGES): Tokyo, Japan, 2006; Available online: https://www.ipcc-nggip.iges.or.jp/public/2006gl/ (accessed on 12 November 2025).
  33. Ogawa, H.; Yoda, K.; Ogino, K.; Kira, T. Comparative Ecological Studies on Three Main Types of Forest Vegetation in Thailand II. Plant Biomass. Nat. Life Southeast Asia 1965, 4, 49–80. [Google Scholar]
  34. ASTM D1102-84; Standard Test Method for Ash in Wood. ASTM International: West Conshohocken, PA, USA, 2021.
Figure 1. AVA Farm888, Pak Chong District, Nakhon Ratchasima Province, Thailand.
Figure 1. AVA Farm888, Pak Chong District, Nakhon Ratchasima Province, Thailand.
Forests 17 00100 g001
Figure 2. Field protocol for tree felling, sectioning, and component-level biomass measurement.
Figure 2. Field protocol for tree felling, sectioning, and component-level biomass measurement.
Forests 17 00100 g002
Figure 3. Tree component separation and subsampling procedures.
Figure 3. Tree component separation and subsampling procedures.
Forests 17 00100 g003
Figure 4. The procedure for drying and weighing the oven-dried samples of Silver Oak AVAONE was carried out to obtain data for analyzing moisture content and biomass.
Figure 4. The procedure for drying and weighing the oven-dried samples of Silver Oak AVAONE was carried out to obtain data for analyzing moisture content and biomass.
Forests 17 00100 g004
Figure 5. Trend of changes in diameter at breast height (DBH) and tree height of Silver Oak AVAONE across plantation age classes.
Figure 5. Trend of changes in diameter at breast height (DBH) and tree height of Silver Oak AVAONE across plantation age classes.
Forests 17 00100 g005
Figure 6. Relationship between observed and predicted biomass based on the independent variable D2H for each component (ad) and total AGB (e).
Figure 6. Relationship between observed and predicted biomass based on the independent variable D2H for each component (ad) and total AGB (e).
Forests 17 00100 g006
Table 1. Fresh biomass accumulation of Silver Oak AVAONE across eight age classes.
Table 1. Fresh biomass accumulation of Silver Oak AVAONE across eight age classes.
Tree IDAge (Year)Height (m)DBH (cm)Fresh Weight (kg)—StemBranchLeafRoot
SO0226.656.0518.4011.204.8512.60
SO0337.507.1616.905.106.406.90
SO04416.9013.70116.6020.004.4045.20
SO05519.3015.20148.1920.056.7058.30
SO06619.3422.00209.3541.107.5065.50
SO07718.5021.00283.6089.6022.8050.30
SO08820.4035.00647.24157.1032.00206.30
SO09919.0036.801075.87497.0046.20174.30
Table 2. Moisture percentage (%) in stems, branches, leaves, and roots of Silver Oak AVAONE across age classes.
Table 2. Moisture percentage (%) in stems, branches, leaves, and roots of Silver Oak AVAONE across age classes.
Tree IDAge (Year)Stem (%)Branch (%)Leaf (%)Root (%)
SO02292.6788.4578.9988.21
SO033129.0564.57104.3068.07
SO04487.2489.2698.8067.76
SO05588.4695.3696.2968.94
SO06690.9888.18100.8749.83
SO077108.2672.99122.4769.84
SO08883.2181.22100.9458.94
SO09990.4495.8087.7554.30
Table 3. Structural variables (D2H) and dry biomass components of Silver Oak AVAONE.
Table 3. Structural variables (D2H) and dry biomass components of Silver Oak AVAONE.
Tree IDAge (Year)Height (m)DBH (cm)D2H (cm2·m)Stem (kg)Branch (kg)Leaf (kg)Root (kg)AGB (kg)
SO0226.656.05267.148.836.472.187.4217.49
SO0337.507.16384.498.112.952.884.0613.94
SO04416.9013.703171.9662.2710.572.2126.9475.05
SO05519.3015.204459.0779.1410.593.3734.7593.11
SO06619.3422.009360.56111.8021.723.7739.04137.29
SO07718.5021.008158.50136.1751.8010.2529.62198.22
SO08820.4035.0024,990.00345.6783.0116.10122.97444.77
SO09919.0036.8025,730.56574.58262.6023.24103.90860.42
Table 4. Allometric equations relating D2H to dry biomass of different tree components of Silver Oak AVAONE from AVA Farm 888, Pak Chong District, Nakhon Ratchasima Province.
Table 4. Allometric equations relating D2H to dry biomass of different tree components of Silver Oak AVAONE from AVA Farm 888, Pak Chong District, Nakhon Ratchasima Province.
Tree ComponentAllometric EquationR2
StemWs = 0.0562 (D2H)0.86780.9044
BranchWb = 0.1350 (D2H)0.58930.8414
LeafWl = 0.2300 (D2H)0.38420.7365
RootWr = 0.1333 (D2H)0.64510.9372
AGB (total aboveground biomass)WAGB = 0.1609 (D2H)0.78460.8409
Note: Ws, Wb, Wl, Wr, and WAGB denote the dry biomass (kg) of stem, branch, leaf, root, and total aboveground biomass, respectively. D is diameter at breast height (DBH, cm), H is total tree height (m), and D2H = DBH2 × H.
Table 5. Performance statistics of D2H-based allometric models for Silver Oak AVAONE.
Table 5. Performance statistics of D2H-based allometric models for Silver Oak AVAONE.
Biomass ComponentR2 (Original Model)RMSE (kg, LOOCV)MAE (kg, LOOCV)
Stem biomass0.904412.679.12
Branch biomass0.841428.8716.53
Leaf biomass0.73652.232.09
Root biomass0.937212.679.12
Aboveground biomass (AGB)0.8409206.9197.71
Table 6. Elemental composition of carbon (C), hydrogen (H), and nitrogen (N) in the biomass of Silver Oak AVAONE analyzed by the LECO method.
Table 6. Elemental composition of carbon (C), hydrogen (H), and nitrogen (N) in the biomass of Silver Oak AVAONE analyzed by the LECO method.
Part of TreeSample IDCarbon %Hydrogen %Nitrogen %
StemS04_S46.9737.160.06
S05_S47.7327.2870.156
S06_S48.7047.370.053
S08_S48.5827.3230.058
S09_S48.3247.3990.039
Average 48.0637.3080.073
BranchS04_B45.5617.1340.34
S05_B45.7147.1030.554
S06_B45.9927.1970.463
S08_B45.7117.1160.36
S09_B45.9287.1930.313
Average 45.7817.1490.406
LeafS04_L45.5617.2981.321
S05_L48.517.281.273
S06_L47.7587.1891.44
S08_L48.0477.3661.257
S09_L48.5167.3081.02
Average 47.6787.2881.262
RootS094R46.4907.3500.053
S05_R46.0157.2450.192
S06_R47.1937.2470.21
S08_R46.9687.2730.179
S09_R48.4287.3750.106
Average 47.0197.2980.148
Average all parts 47.1357.2610.472
Disclaimer/Publisher’s Note: The statements, opinions and data contained in all publications are solely those of the individual author(s) and contributor(s) and not of MDPI and/or the editor(s). MDPI and/or the editor(s) disclaim responsibility for any injury to people or property resulting from any ideas, methods, instructions or products referred to in the content.

Share and Cite

MDPI and ACS Style

Uttaruk, Y.; Laosuwan, T.; Sangpradid, S.; Samek, J.H.; Butthep, C.; Rotjanakusol, T.; Dumrongsukit, S.; Rouylarp, Y. Species-Specific Allometric Models for Biomass and Carbon Stock Estimation in Silver Oak (Grevillea robusta) Plantation Forests in Thailand: A Pilot-Scale Destructive Study. Forests 2026, 17, 100. https://doi.org/10.3390/f17010100

AMA Style

Uttaruk Y, Laosuwan T, Sangpradid S, Samek JH, Butthep C, Rotjanakusol T, Dumrongsukit S, Rouylarp Y. Species-Specific Allometric Models for Biomass and Carbon Stock Estimation in Silver Oak (Grevillea robusta) Plantation Forests in Thailand: A Pilot-Scale Destructive Study. Forests. 2026; 17(1):100. https://doi.org/10.3390/f17010100

Chicago/Turabian Style

Uttaruk, Yannawut, Teerawong Laosuwan, Satith Sangpradid, Jay H. Samek, Chetpong Butthep, Tanutdech Rotjanakusol, Siritorn Dumrongsukit, and Yongyut Rouylarp. 2026. "Species-Specific Allometric Models for Biomass and Carbon Stock Estimation in Silver Oak (Grevillea robusta) Plantation Forests in Thailand: A Pilot-Scale Destructive Study" Forests 17, no. 1: 100. https://doi.org/10.3390/f17010100

APA Style

Uttaruk, Y., Laosuwan, T., Sangpradid, S., Samek, J. H., Butthep, C., Rotjanakusol, T., Dumrongsukit, S., & Rouylarp, Y. (2026). Species-Specific Allometric Models for Biomass and Carbon Stock Estimation in Silver Oak (Grevillea robusta) Plantation Forests in Thailand: A Pilot-Scale Destructive Study. Forests, 17(1), 100. https://doi.org/10.3390/f17010100

Note that from the first issue of 2016, this journal uses article numbers instead of page numbers. See further details here.

Article Metrics

Back to TopTop