Sign in to use this feature.

Years

Between: -

Subjects

remove_circle_outline
remove_circle_outline
remove_circle_outline
remove_circle_outline
remove_circle_outline
remove_circle_outline
remove_circle_outline

Journals

Article Types

Countries / Regions

Search Results (13)

Search Parameters:
Keywords = adaptive backstepping sliding mode control (SMC)

Order results
Result details
Results per page
Select all
Export citation of selected articles as:
38 pages, 3723 KB  
Review
Sliding Mode Controller for Quadcopter UAVs: A Comprehensive Survey
by Asifa Yesmin and Arpita Sinha
Drones 2025, 9(9), 625; https://doi.org/10.3390/drones9090625 - 5 Sep 2025
Viewed by 2284
Abstract
This paper provides a comprehensive investigation of nonlinear robust control methodologies, with a specific emphasis on the development of sliding mode controllers (SMCs) for quadcopter unmanned aerial vehicles (UAVs). Quadcopters are highly interconnected and underactuated and, thus, pose challenges in controlling them, especially [...] Read more.
This paper provides a comprehensive investigation of nonlinear robust control methodologies, with a specific emphasis on the development of sliding mode controllers (SMCs) for quadcopter unmanned aerial vehicles (UAVs). Quadcopters are highly interconnected and underactuated and, thus, pose challenges in controlling them, especially in the presence of disturbances like wind. SMC is a widely employed approach that proves practical for managing the intricate nonlinear dynamics of UAVs with substantial coupling. The principal merit of SMC lies in its remarkable capability to reject external perturbations and uncertainties. This paper offers an extensive survey on robust control design techniques, specifically focusing on SMC design for quadcopter UAVs. This paper also delves into different SMC design approaches, such as classical SMC, super-twisting SMC (ST-SMC), terminal SMC(TSMC), adaptive SMC, backstepping SMC, event-triggered SMC, and neural network-based SMCs for quadcopters. This paper provides a detailed study of the different SMC designs to achieve various objectives for the UAV in the presence of uncertainties and disturbances. Simulations of the various SMCs are presented that demonstrate the comparative performance of the UAVs for different objectives. Finally, this article serves as an information foundation that covers various aspects of the SMC design for quadcopters. Full article
Show Figures

Figure 1

17 pages, 2136 KB  
Article
Mitigating Intermittency in Offshore Wind Power Using Adaptive Nonlinear MPPT Control Techniques
by Muhammad Waqas Ayub, Inam Ullah Khan, George Aggidis and Xiandong Ma
Energies 2025, 18(15), 4041; https://doi.org/10.3390/en18154041 - 29 Jul 2025
Viewed by 627
Abstract
This paper addresses the challenge of maximizing power extraction in offshore wind energy systems through the development of an enhanced maximum power point tracking (MPPT) control strategy. Offshore wind energy is inherently intermittent, leading to discrepancies between power generation and electricity demand. To [...] Read more.
This paper addresses the challenge of maximizing power extraction in offshore wind energy systems through the development of an enhanced maximum power point tracking (MPPT) control strategy. Offshore wind energy is inherently intermittent, leading to discrepancies between power generation and electricity demand. To address this issue, we propose three advanced control algorithms to perform a comparative analysis: sliding mode control (SMC), the Integral Backstepping-Based Real-Twisting Algorithm (IBRTA), and Feed-Back Linearization (FBL). These algorithms are designed to handle the nonlinear dynamics and aerodynamic uncertainties associated with offshore wind turbines. Given the practical limitations in acquiring accurate nonlinear terms and aerodynamic forces, our approach focuses on ensuring the adaptability and robustness of the control algorithms under varying operational conditions. The proposed strategies are rigorously evaluated through MATLAB/Simulink 2024 A simulations across multiple wind speed scenarios. Our comparative analysis demonstrates the superior performance of the proposed methods in optimizing power extraction under diverse conditions, contributing to the advancement of MPPT techniques for offshore wind energy systems. Full article
(This article belongs to the Section A3: Wind, Wave and Tidal Energy)
Show Figures

Figure 1

14 pages, 5429 KB  
Article
Trajectory Tracking of Delta Parallel Robot via Adaptive Backstepping Fractional-Order Non-Singular Sliding Mode Control
by Dachang Zhu, Yonglong He and Fangyi Li
Mathematics 2024, 12(14), 2236; https://doi.org/10.3390/math12142236 - 18 Jul 2024
Cited by 5 | Viewed by 1598
Abstract
The utilization of the Delta parallel robot in high-speed and high-precision applications has been extensive, with motion stability being a critical performance measure. To address the inherent inaccuracies of the model and minimize the impact of external disturbances on motion stability, we propose [...] Read more.
The utilization of the Delta parallel robot in high-speed and high-precision applications has been extensive, with motion stability being a critical performance measure. To address the inherent inaccuracies of the model and minimize the impact of external disturbances on motion stability, we propose an adaptive backstepping fractional-order non-singular terminal sliding mode control (ABF-NTSMC). Initially, by employing a backstepping algorithm, we select the virtual control for subsystems as the state variable function in joint space while incorporating a calculus operator to enhance fractional-order sliding mode control (SMC). Subsequently, we describe factors such as model uncertainty and external disturbance using a lumped uncertainty function and estimate its upper bound through an adaptive control law. Ultimately, we demonstrate system stability for our proposed control approach and provide an analysis of finite convergence time. The effectiveness of this presented scheme is demonstrated through simulation and experimental research. Full article
Show Figures

Figure 1

16 pages, 580 KB  
Article
Adaptive Backstepping Integral Sliding Mode Control of a MIMO Separately Excited DC Motor
by Roohma Afifa, Sadia Ali, Mahmood Pervaiz and Jamshed Iqbal
Robotics 2023, 12(4), 105; https://doi.org/10.3390/robotics12040105 - 16 Jul 2023
Cited by 58 | Viewed by 3793
Abstract
This research proposes a robust nonlinear hybrid control approach to the speed control of a multi-input-and-multi-output separately excited DC motor (SEDCM). The motor that was under consideration experienced parametric uncertainties and load disturbances in the weak field region. The proposed technique aims to [...] Read more.
This research proposes a robust nonlinear hybrid control approach to the speed control of a multi-input-and-multi-output separately excited DC motor (SEDCM). The motor that was under consideration experienced parametric uncertainties and load disturbances in the weak field region. The proposed technique aims to merge the benefits of adaptive backstepping (AB) and integral sliding mode control (ISMC) to enhance the overall system’s robustness. The unknown parameters with load disturbances are estimated using an adaptation law. These estimated parameters are incorporated into the controller design, to achieve a highly robust controller. The theoretical stability of the system is proved using the Lyapunov stability criteria. The effectiveness of the proposed AB–ISMC was demonstrated by simulation, to track the reference speed under parametric uncertainties and load disturbances. The control performance of the proposed technique was compared to that of feedback linearization (FBL), conventional sliding mode control (SMC), and AB control laws without and with the adaptation law. Regression parameters, such as integral square error, integral absolute error, and integral time absolute error, were calculated to quantitatively analyze the tracking performance and robustness of the implemented nonlinear control techniques. The simulation results demonstrated that the proposed controller could accurately track the reference speed and exhibited robustness, with steady-state error accuracy. Moreover, AB–ISMC overperformed, compared to the FBL, SMC, AB controller without adaptation law and AB controller with adaptation law, in reducing the settling time by factors of 27%, 67%, 23%, and 21%, respectively, thus highlighting the superior performance of the proposed controller. Full article
(This article belongs to the Special Issue New Trends in Robotics and Mechatronic Technologies)
Show Figures

Figure 1

20 pages, 5597 KB  
Article
An Improved Sliding Mode Controller for MPP Tracking of Photovoltaics
by Fatemeh Jamshidi, Mohammad Reza Salehizadeh, Reza Yazdani, Brian Azzopardi and Vibhu Jately
Energies 2023, 16(5), 2473; https://doi.org/10.3390/en16052473 - 5 Mar 2023
Cited by 21 | Viewed by 3305
Abstract
Maximum power point tracking (MPPT) through an effective control strategy increases the efficiency of solar panels under rapidly changing atmospheric conditions. Due to the nonlinearity of the I–V characteristics of the PV module, the Sliding Mode Controller (SMC) is considered one of the [...] Read more.
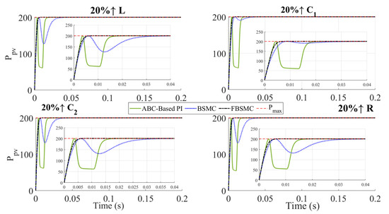
Maximum power point tracking (MPPT) through an effective control strategy increases the efficiency of solar panels under rapidly changing atmospheric conditions. Due to the nonlinearity of the I–V characteristics of the PV module, the Sliding Mode Controller (SMC) is considered one of the commonly used control approaches for MPPT in the literature. This paper proposed a Backstepping SMC (BSMC) method that ensures system stability using Lyapunov criteria. A fuzzy inference system replaces the saturation function, and a modified SMC is used for MPPT to ensure smooth behavior. The proposed Fuzzy BSMC (FBSMC) parameters are optimized using a Particle Swarm Optimization (PSO) approach. The proposed controller is tested through various case studies on account of MPP’s dependence on temperature and solar radiation. The controller performance is assessed in partial shading conditions as well. The simulation results show that less settling time, a small error, and enhanced power extraction capability are achieved by applying the PSO-based FBSMC approach compared to the conventional BSMC- and ABC-based PI control presented in previous research in different scenarios. Moreover, the proposed approach provides faster adaptation to temperature and solar radiation variation, ensuring faster convergence to the MPP. Finally, the robustness of the proposed controller is validated by providing variation within the system components. The result of the proposed controller clearly indicates the lowest value of RMSE measured between PV voltage and the reference voltage, as well as the RMSE between PV power and maximum power. The results also show that the proposed MPPT controller exhibits the highest dynamic efficiency and mean power. Full article
Show Figures

Figure 1

21 pages, 11808 KB  
Article
A High-Performance Compound Control Method for a Three-Axis Inertially Stabilized Platform under Multiple Disturbances
by Xusheng Lei, Fa Fu and Rui Wang
Symmetry 2022, 14(9), 1848; https://doi.org/10.3390/sym14091848 - 5 Sep 2022
Cited by 7 | Viewed by 2389
Abstract
Symmetry is presented in the frame structure, modeling, and disturbance analysis of the three-axis inertially stabilized platform (ISP), which affects the control performance of the ISP. To realize high-performance control for the ISP, a nonlinear dynamic model based on the geographic coordinates and [...] Read more.
Symmetry is presented in the frame structure, modeling, and disturbance analysis of the three-axis inertially stabilized platform (ISP), which affects the control performance of the ISP. To realize high-performance control for the ISP, a nonlinear dynamic model based on the geographic coordinates and a compound control method based on the adaptive extended state observer (ESO) and adaptive back-stepping integral sliding mode control (SMC) are proposed. The nonlinear dynamic model based on geographic coordinates could avoid the degradation of measurement and control performance due to complex coordinate transformations. An adaptive ESO (AESO) has been developed to estimate the unknown disturbances of ISP. With the information from the ISP system, the adaptive bandwidth of AESO can deal with the peaking phenomenon without introducing excessive noise. Furthermore, based on the integral sliding mode, the adaptation laws of parameter uncertainty and disturbance estimation compensation have been developed for the back-stepping integral SMC method, which can reduce the estimation burden and improve the disturbance estimation accuracy of AESO. The asymptotic stability of the compound control method has been proven by the Lyapunov stability theory. Through a series of simulations and experiments, the effectiveness of the compound method is validated. Full article
Show Figures

Figure 1

20 pages, 62210 KB  
Article
Adaptive Sliding Mode Control Integrating with RBFNN for Proton Exchange Membrane Fuel Cell Power Conditioning
by Xuelian Xiao, Jianguo Lv, Yuhua Chang, Jinzhou Chen and Hongwen He
Appl. Sci. 2022, 12(6), 3132; https://doi.org/10.3390/app12063132 - 18 Mar 2022
Cited by 7 | Viewed by 2574
Abstract
Proton exchange membrane fuel cells (PEMFC) are considered a promising solution for renewable energy application. To meet industrial requirements, the power source consisting of PEMFC is required to be power regulator to generate a stable and desired current and/or voltage under various working [...] Read more.
Proton exchange membrane fuel cells (PEMFC) are considered a promising solution for renewable energy application. To meet industrial requirements, the power source consisting of PEMFC is required to be power regulator to generate a stable and desired current and/or voltage under various working conditions. In this article, the adaptive sliding mode control integrating with the radial basis function neural network (RBFNN) approach for DC/DC buck converter-based PEMFC is presented to address perturbations from inner parameters as well as external disturbances in terms of power conditioning. Sliding mode control (SMC) and backstepping schemes are integrated to tackle the nonlinear and coupled outputs resulting in large control errors and slow response caused by PEMFC characteristics. To accurately estimate the parametric uncertainties and disturbance injections, such as buck converter parameter varying and PEMFC operation point changing, the RBFNN adaptive law is developed according to the defined Lyapunov and Gaussian functions overcoming the limitations of non-/linear parameter estimating. Simulations and experiments on the PEMFC power supply prototype governed by the DS1104 board are carried out. The comparative results indicate that the proposed RBFNN estimation associated with the backstepping SMC can reduce up to 7.5% overshoot and smooth PEMFC voltage and inductor current when disturbance changes in a voltage regulation experiment. Thus, the proposed method can regulate the current or voltage of a PEMFC power supply with robustness, adaptivity, and no chattering phenomenon. Full article
Show Figures

Figure 1

18 pages, 971 KB  
Article
Adaptive Sliding Mode Attitude-Tracking Control of Spacecraft with Prescribed Time Performance
by Runze Chen, Zhenling Wang and Weiwei Che
Mathematics 2022, 10(3), 401; https://doi.org/10.3390/math10030401 - 27 Jan 2022
Cited by 9 | Viewed by 3571
Abstract
In this article, a novel finite-time attitude-tracking control scheme is proposed by using the prescribed performance control (PPC) method for the spacecraft system under the external disturbance and an uncertain inertia matrix. First, a novel polynomial finite-time performance function (FTPF) was used to [...] Read more.
In this article, a novel finite-time attitude-tracking control scheme is proposed by using the prescribed performance control (PPC) method for the spacecraft system under the external disturbance and an uncertain inertia matrix. First, a novel polynomial finite-time performance function (FTPF) was used to avoid the complex calculation of exponential function from conventional FTPF. Then, a simpler error transformation was introduced to guarantee that the attitude-tracking error converges to a preselected region in prescribed time. Subsequently, a robust adaptive controller was proposed by using the backstepping method and the sliding mode control (SMC) technique. Unlike the existing attitude-tracking control results, the proposed PPC scheme guarantees the performance of spacecraft system under the static and transient conditions. Meanwhile, the state trajectory of system can be completely drawn into the designed sliding surface. The stability of the control scheme is proven rigorously by the Lyapunov’s theory of stability. Finally, the simulations show that the convergence rate and the convergence accuracy are better for the tracking errors of spacecraft system under the proposed control scheme. Full article
(This article belongs to the Special Issue Mathematical Method and Application of Machine Learning)
Show Figures

Figure 1

22 pages, 348 KB  
Article
A Review on Comparative Remarks, Performance Evaluation and Improvement Strategies of Quadrotor Controllers
by Rupal Roy, Maidul Islam, Nafiz Sadman, M. A. Parvez Mahmud, Kishor Datta Gupta and Md Manjurul Ahsan
Technologies 2021, 9(2), 37; https://doi.org/10.3390/technologies9020037 - 17 May 2021
Cited by 49 | Viewed by 8894
Abstract
The quadrotor is an ideal platform for testing control strategies because of its non-linearity and under-actuated configuration, allowing researchers to evaluate and verify control strategies. Several control strategies are used, including Proportional-Integral-Derivative (PID), Linear Quadratic Regulator (LQR), Backstepping, Feedback Linearization Control (FLC), Sliding [...] Read more.
The quadrotor is an ideal platform for testing control strategies because of its non-linearity and under-actuated configuration, allowing researchers to evaluate and verify control strategies. Several control strategies are used, including Proportional-Integral-Derivative (PID), Linear Quadratic Regulator (LQR), Backstepping, Feedback Linearization Control (FLC), Sliding Mode Control (SMC), and Model Predictive Control (MPC), Neural Network, H-infinity, Fuzzy Logic, and Adaptive Control. However, due to several drawbacks, such as high computation, a large amount of training data, approximation error, and the existence of uncertainty, the commercialization of those control technologies in various industrial applications is currently limited. This paper conducts a thorough analysis of the current literature on the effects of multiple controllers on quadrotors, focusing on two separate approaches: (i) controller hybridization and (ii) controller development. Besides, the limitations of the previous works are discussed, challenges and opportunities to work in this field are assessed, and potential research directions are suggested. Full article
Show Figures

Figure 1

22 pages, 9839 KB  
Article
Practical Implementation of the Backstepping Sliding Mode Controller MPPT for a PV-Storage Application
by Marwen Bjaoui, Brahim Khiari, Ridha Benadli, Mouad Memni and Anis Sellami
Energies 2019, 12(18), 3539; https://doi.org/10.3390/en12183539 - 16 Sep 2019
Cited by 33 | Viewed by 5875
Abstract
This study presents a design and an implementation of a robust Maximum Power Point Tracking (MPPT) for a stand-alone photovoltaic (PV) system with battery storage. A new control scheme is applied for the boost converter based on the combination of the adaptive perturb [...] Read more.
This study presents a design and an implementation of a robust Maximum Power Point Tracking (MPPT) for a stand-alone photovoltaic (PV) system with battery storage. A new control scheme is applied for the boost converter based on the combination of the adaptive perturb and observe fuzzy logic controller (P&O-FLC) MPPT technique and the backstepping sliding mode control (BS-SMC) approach. The MPPT controller design was used to accurately track the PV operating point to its maximum power point (MPP) under changing climatic conditions. The presented MPPT based on the P&O-FLC technique generates the reference PV voltage and then a cascade control loop type, based on the BS-SMC approach is used. The aims of this approach are applied to regulate the inductor current and then the PV voltage to its reference values. In order to reduce system costs and complexity, a high gain observer (HGO) was designed, based on the model of the PV system, to estimate online the real value of the boost converter’s inductor current. The performance and the robustness of the BS-SMC approach are evaluated using a comparative simulation with a conventional proportional integral (PI) controller implemented in the MATLAB/Simulink environment. The obtained results demonstrate that the proposed approach not only provides a near-perfect tracking performance (dynamic response, overshoot, steady-state error), but also offers greater robustness and stability than the conventional PI controller. Experimental results fitted with dSPACE software reveal that the PV module could reach the MPP and achieve the performance and robustness of the designed BS-SMC MPPT controller. Full article
Show Figures

Figure 1

29 pages, 14705 KB  
Article
Adaptive Fuzzy Backstepping Sliding Mode Control for a 3-DOF Hydraulic Manipulator with Nonlinear Disturbance Observer for Large Payload Variation
by Hoai Vu Anh Truong, Duc Thien Tran, Xuan Dinh To, Kyoung Kwan Ahn and Maolin Jin
Appl. Sci. 2019, 9(16), 3290; https://doi.org/10.3390/app9163290 - 11 Aug 2019
Cited by 51 | Viewed by 5889
Abstract
The paper proposes an adaptive fuzzy position control for a 3-DOF hydraulic manipulator with large payload variation. The hydraulic manipulator uses electrohydraulic actuators as primary torque generators to enhance carrying payload of the manipulator. The proposed control combines backstepping sliding mode control, fuzzy [...] Read more.
The paper proposes an adaptive fuzzy position control for a 3-DOF hydraulic manipulator with large payload variation. The hydraulic manipulator uses electrohydraulic actuators as primary torque generators to enhance carrying payload of the manipulator. The proposed control combines backstepping sliding mode control, fuzzy logic system (FLS), and a nonlinear disturbance observer. The backstepping sliding mode control includes a sliding mode control for manipulator dynamics and a PI control for actuator dynamics. The fuzzy logic system is utilized to adjust the control gain and robust gain of the sliding mode control (SMC) based on the output of the nonlinear disturbance observer to compensate the payload. The Lyapunov approach and backstepping technique are used to prove the stability and robustness of the whole system. Some simulations are implemented, and the results are compared to other controllers to exhibit the effectiveness of the proposed control. Full article
(This article belongs to the Special Issue The Application of Sliding Mode Control in Robots)
Show Figures

Figure 1

18 pages, 3867 KB  
Article
RBF Neural Network Based Backstepping Control for an Electrohydraulic Elastic Manipulator
by Duc-Thien Tran, Minh-Nhat Nguyen and Kyoung Kwan Ahn
Appl. Sci. 2019, 9(11), 2237; https://doi.org/10.3390/app9112237 - 30 May 2019
Cited by 16 | Viewed by 3548
Abstract
An electrohydraulic elastic manipulator (EEM) is a kind of variable stiffness system (VSS). The equilibrium position and stiffness controller are the two main problems which must be considered in the VSS. When the system stiffness is changed for a specific application, the system [...] Read more.
An electrohydraulic elastic manipulator (EEM) is a kind of variable stiffness system (VSS). The equilibrium position and stiffness controller are the two main problems which must be considered in the VSS. When the system stiffness is changed for a specific application, the system dynamics are significantly altered, which is a challenge in controlling equilibrium position. This paper presents adaptive robust control for controlling the equilibrium position of the EEM under the presence of the variable stiffness. The proposed control includes sliding mode controls (SMCs), radial basis function neural network (RBFNN), and backstepping technique. The RBFNN is employed to compensate for the uncertainties and the variant stiffness in mechanical dynamics and hydraulic dynamics. The Lyapunov approach and projection algorithm are used to derive the adaptive laws of the RBFNN and to prove the stability and robustness of the entire EEM. Finally, some experiments are implemented and compared with other controllers to prove the effectiveness of the proposed method with the variant stiffness. Full article
Show Figures

Figure 1

21 pages, 3263 KB  
Article
Disturbance-Estimated Adaptive Backstepping Sliding Mode Control of a Pneumatic Muscles-Driven Ankle Rehabilitation Robot
by Qingsong Ai, Chengxiang Zhu, Jie Zuo, Wei Meng, Quan Liu, Sheng Q. Xie and Ming Yang
Sensors 2018, 18(1), 66; https://doi.org/10.3390/s18010066 - 28 Dec 2017
Cited by 50 | Viewed by 6953
Abstract
A rehabilitation robot plays an important role in relieving the therapists’ burden and helping patients with ankle injuries to perform more accurate and effective rehabilitation training. However, a majority of current ankle rehabilitation robots are rigid and have drawbacks in terms of complex [...] Read more.
A rehabilitation robot plays an important role in relieving the therapists’ burden and helping patients with ankle injuries to perform more accurate and effective rehabilitation training. However, a majority of current ankle rehabilitation robots are rigid and have drawbacks in terms of complex structure, poor flexibility and lack of safety. Taking advantages of pneumatic muscles’ good flexibility and light weight, we developed a novel two degrees of freedom (2-DOF) parallel compliant ankle rehabilitation robot actuated by pneumatic muscles (PMs). To solve the PM’s nonlinear characteristics during operation and to tackle the human-robot uncertainties in rehabilitation, an adaptive backstepping sliding mode control (ABS-SMC) method is proposed in this paper. The human-robot external disturbance can be estimated by an observer, who is then used to adjust the robot output to accommodate external changes. The system stability is guaranteed by the Lyapunov stability theorem. Experimental results on the compliant ankle rehabilitation robot show that the proposed ABS-SMC is able to estimate the external disturbance online and adjust the control output in real time during operation, resulting in a higher trajectory tracking accuracy and better response performance especially in dynamic conditions. Full article
(This article belongs to the Special Issue Assistance Robotics and Biosensors)
Show Figures

Figure 1

Back to TopTop