Sliding Mode Controller for Quadcopter UAVs: A Comprehensive Survey
Abstract
1. Introduction
- A survey on the different SMC designs, their advantages, the effect of disturbances, and results analysis.
- The detailed analysis of the design of the different SMCs for the quadcopter.
- The advantages of the different SMCs, and the simulation results on the quadcopter for classical SMC, adaptive ST-SMC, ST-SMC, and TSMC.
2. Methodology
3. Background and Preliminaries
3.1. System Model and Dynamics
3.2. Design of the Sliding Mode Control
3.2.1. Super-Twisting Sliding Mode Control (ST-SMC)
3.2.2. Terminal Sliding Mode Control (TSMC)
3.2.3. Integral Sliding Mode Control (ISMC)
3.2.4. Other SMC Types
3.2.5. Adaptive SMC
4. Control Problem Addressed Using SMC
- Attitude (P1): The main objective is to design a controller for tracking the attitude—represented by the Euler angles [, , ]—of the quadcopter, minimizing the tracking error regardless of the presence or absence of disturbances. Also, the objective is to ensure the stabilization of the attitude defined by Euler angles [, , ] to the origin.
- Attitude and positions (P2): The control objective is to design a controller for the tracking/stabilization of the quadcopter for the inner loop attitude (, , ) and the outer loop positions and altitude (x, y, z).
- Attitude and altitude (P3): This problem aims to design a controller to track the attitude and altitude of the quadcopter in the presence of external disturbance.
4.1. Attitude Control (P1)
4.2. Attitudes, Positions, and Altitude Control (P2)
4.3. Attitude and Altitude (P3)
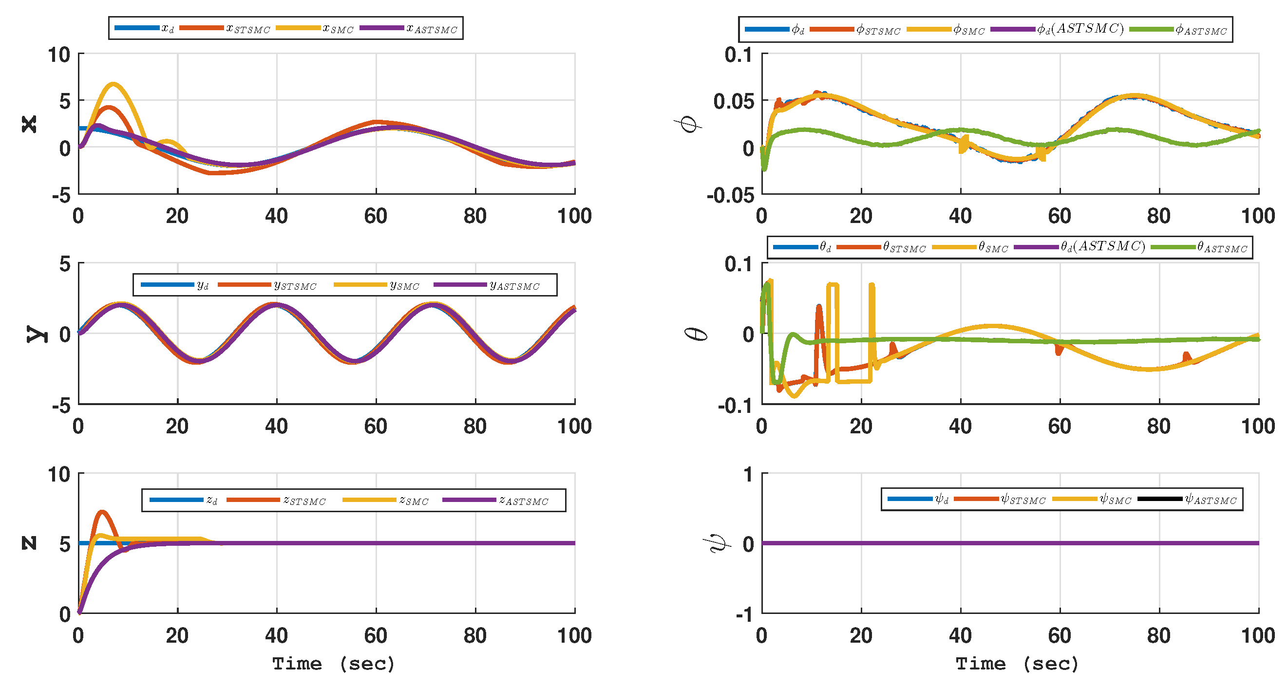
5. Simulation Results and Analysis
6. Challenges and Prospects for Future Endeavors
- Sliding mode predictive control (SMPC) [188] represents a novel fusion of SMC and MPC. Unlike many existing SMC approaches in the literature, SMPC addresses a notable gap by incorporating considerations for constraints and optimization, which are areas often overlooked in conventional SMC methods. While MPC has gained widespread acceptance in process control for its adeptness at achieving optimal control within constraint-laden environments, SMPC leverages the strengths of both SMC and MPC. The resultant approach, SMPC, combines robustness, straightforward implementation, and adaptability to both matched and unmatched disturbances and uncertainties—characteristics typical of SMC and MPC. Notably, SMPC also integrates optimization capabilities and the ability to handle constraints, making it well-suited for application in dynamic environments. Despite these advantages, the application of SMPC to the design and implementation of control systems for UAVs remains an open challenge.
- One of the important aspects within the robotics community revolves around the transport of loads via quadcopters, highlighted in the survey conducted by Villa et al. (2020) [189]. This interest has particularly heightened in today’s context, primarily driven by the demand for efficient package delivery in urban settings, the need for precise agricultural practices such as targeted pesticide application, and the facilitation of supply transport in conflict zones. This spans a wide spectrum of interests across commercial, military, and civilian domains. In the realm of load transportation, two primary approaches have been utilized: suspending the load using cables or directly attaching the cargo to the quadrotor’s body. Notably, affixing the load to the quadcopter introduces increased complexity to its stability, posing a more challenging task for stabilization. The design and implementation of SMC in such scenarios remain open problems, requiring further exploration and development.
- Regardless of the essentiality of the control signal, the time-driven controller consistently supplies it to the actuators. The event-driven controller diminishes the exertion of the actuators, thereby conserving computational time and power. Given the limited computing capacity onboard real systems, it becomes crucial to minimize processing costs, especially since only limited battery power is available, while still upholding control performance. Thus, the event-triggered SMC [190], which can ensure minimum resource utilization with robustness toward external perturbations, can be explored for the quadcopters. In particular, network-related challenges such as delays, packet dropouts, and jitter remain unexplored in the context of SMC design for quadcopter systems. Moreover, the design of various triggering policies for quadcopters is still an open research problem.
- By integrating artificial intelligence (AI) [191] techniques such as machine learning and neural networks into SMC frameworks, researchers will be able to develop controllers that not only improve robustness against disturbances but also adapt to complex and dynamic environments. AI-based SMC systems leverage predictive models and real-time data to fine-tune control strategies, making them more responsive to varying flight conditions and unforeseen disturbances. This approach will enable quadcopters to achieve higher precision in navigation and stability, even in challenging scenarios like fluctuating wind conditions or unexpected obstacles. The incorporation of AI into SMC for quadcopters will present a significant leap forward, offering more sophisticated and resilient control solutions that can handle a broader range of operational complexities. Also, chattering is a common issue in traditional SMC implementations. Machine learning techniques, like neural networks or reinforcement learning, can be applied to design smoother control laws, learning optimal switching strategies to minimize or eliminate chattering. Also, exploring model-free controller designs for quadcopters could provide a promising platform for further research investigation.
7. Conclusions
Funding
Conflicts of Interest
Abbreviations
| IE | inertia external | AM | aerodynamic moment |
| AF | aerodynamic force | M | moment, external |
| MU | model uncertainty | MI | moment of inertia |
| M | mass | DO | disturbance observer |
| APP | adaptive prescribed performance | GM | gyroscopic moment |
| AIB | adaptive integral backstepping | NS | non-singular |
| SMO | sliding mode observer | ST | super-twisting |
| WG | wind gust | NN | neural network |
| FESO | fuzzy extended state observer | FO | fractional order |
| ET | event-triggered | ESO | extended state observer |
| USDE | unknown system dynamics estimator | S | simulation |
| WGN | white Gaussian noise | AF | actuator fault |
| D | discrete | WN | white noise |
| I | integral | SITL | software-in-the-loop |
| A | adaptive | T | terminal |
| B | backstepping | AI | artificial intelligence |
| PP | prescribed performance | II | immersion and invariance approach |
| SMC | sliding mode control | TSMC | terminal sliding mode control |
| ST-SMC | super-twisting sliding mode control | ASMC | adaptive sliding mode control |
| FOSMC | fractional order sliding mode control |
References
- Shraim, H.; Awada, A.; Youness, R. A survey on quadrotors: Configurations, modeling and identification, control, collision avoidance, fault diagnosis and tolerant control. IEEE Aerosp. Electron. Syst. Mag. 2018, 33, 14–33. [Google Scholar] [CrossRef]
- Alaimo, A.; Artale, V.; Milazzo, C.; Ricciardello, A.; Trefiletti, L. Mathematical modeling and control of a hexacopter. In Proceedings of the 2013 International Conference on Unmanned Aircraft Systems (ICUAS), Atlanta, GA, USA, 28–31 May 2013; IEEE: Piscataway, NJ, USA, 2013; pp. 1043–1050. [Google Scholar]
- Gautam, A.; Sujit, P.; Saripalli, S. A survey of autonomous landing techniques for UAVs. In Proceedings of the 2014 International Conference on Unmanned Aircraft Systems (ICUAS), Orlando, FL, USA, 27–30 May 2014; IEEE: Piscataway, NJ, USA, 2014; pp. 1210–1218. [Google Scholar]
- Lee, H.; Kim, H.J. Trajectory tracking control of multirotors from modelling to experiments: A survey. Int. J. Control Autom. Syst. 2017, 15, 281–292. [Google Scholar] [CrossRef]
- Fang, Z.; Savkin, A.V. Strategies for Optimized UAV Surveillance in Various Tasks and Scenarios: A Review. Drones 2024, 8, 193. [Google Scholar] [CrossRef]
- Luo, J.; Tian, Y.; Wang, Z. Research on Unmanned Aerial Vehicle Path Planning. Drones 2024, 8, 51. [Google Scholar] [CrossRef]
- Sun, J.; Yuan, G.; Song, L.; Zhang, H. Unmanned Aerial Vehicles (UAVs) in Landslide Investigation and Monitoring: A Review. Drones 2024, 8, 30. [Google Scholar] [CrossRef]
- Amarasingam, N.; Salgadoe, A.S.A.; Powell, K.; Gonzalez, L.F.; Natarajan, S. A review of UAV platforms, sensors, and applications for monitoring of sugarcane crops. Remote Sens. Appl. Soc. Environ. 2022, 26, 100712. [Google Scholar] [CrossRef]
- Daud, S.M.S.M.; Yusof, M.Y.P.M.; Heo, C.C.; Khoo, L.S.; Singh, M.K.C.; Mahmood, M.S.; Nawawi, H. Applications of drone in disaster management: A scoping review. Sci. Justice 2022, 62, 30–42. [Google Scholar] [CrossRef]
- Burgués, J.; Marco, S. Environmental chemical sensing using small drones: A review. Sci. Total Environ. 2020, 748, 141172. [Google Scholar] [CrossRef]
- Librán-Embid, F.; Klaus, F.; Tscharntke, T.; Grass, I. Unmanned aerial vehicles for biodiversity-friendly agricultural landscapes-A systematic review. Sci. Total Environ. 2020, 732, 139204. [Google Scholar] [CrossRef]
- Gupte, S.; Mohandas, P.I.T.; Conrad, J.M. A survey of quadrotor unmanned aerial vehicles. In Proceedings of the 2012 Proceedings of IEEE Southeastcon, Orlando, FL, USA,, 15–18 March 2012; pp. 1–6. [Google Scholar]
- Deepak, B.; Singh, P. A survey on design and development of an unmanned aerial vehicle (quadcopter). Int. J. Intell. Unmanned Syst. 2016, 4, 70–106. [Google Scholar]
- Shakhatreh, H.; Sawalmeh, A.H.; Al-Fuqaha, A.; Dou, Z.; Almaita, E.; Khalil, I.; Othman, N.S.; Khreishah, A.; Guizani, M. Unmanned Aerial Vehicles (UAVs): A Survey on Civil Applications and Key Research Challenges. IEEE Access 2019, 7, 48572–48634. [Google Scholar] [CrossRef]
- de Oliveira Evald, P.J.D.; Aoki, V.M.; da Silva, C.B.; Cardoso, D.S.; Pinheiro, P.M.; da Costa Botelho, S.S.; Junior, P.L.J.D. A review on quadrotor attitude control strategies. Int. J. Intell. Robot. Appl. 2024, 8, 230–250. [Google Scholar] [CrossRef]
- Wei, X.; Ye, D.; Zhang, Z.; Hu, S. A review of quadrotor control methods. Adv. Eng. Technol. Res. 2023, 7, 495. [Google Scholar] [CrossRef]
- Saviolo, A.; Loianno, G. Learning quadrotor dynamics for precise, safe, and agile flight control. Annu. Rev. Control 2023, 55, 45–60. [Google Scholar] [CrossRef]
- Sarkar, N.I.; Gul, S. Artificial intelligence-based autonomous UAV networks: A survey. Drones 2023, 7, 322. [Google Scholar] [CrossRef]
- Telli, K.; Kraa, O.; Himeur, Y.; Ouamane, A.; Boumehraz, M.; Atalla, S.; Mansoor, W. A comprehensive review of recent research trends on unmanned aerial vehicles (uavs). Systems 2023, 11, 400. [Google Scholar] [CrossRef]
- Kanistras, K.; Martins, G.; Rutherford, M.J.; Valavanis, K.P. A survey of unmanned aerial vehicles (UAVs) for traffic monitoring. In Proceedings of the 2013 International Conference on Unmanned Aircraft Systems (ICUAS), Atlanta, GA, USA, 28–31 May 2013; IEEE: Piscataway, NJ, USA, 2013; pp. 221–234. [Google Scholar]
- Yu, Y.; Yang, S.; Wang, M.; Li, C.; Li, Z. High performance full attitude control of a quadrotor on SO3. In Proceedings of the 2015 IEEE International Conference on Robotics and Automation (ICRA), Seattle, WA, USA, 26–30 May 2015; IEEE: Piscataway, NJ, USA, 2015; pp. 1698–1703. [Google Scholar]
- Rinaldi, F.; Chiesa, S.; Quagliotti, F. Linear quadratic control for quadrotors UAVs dynamics and formation flight. J. Intell. Robot. Syst. 2013, 70, 203–220. [Google Scholar] [CrossRef]
- Choi, Y.C.; Ahn, H.S. Nonlinear control of quadrotor for point tracking: Actual implementation and experimental tests. IEEE/ASME Trans. Mechatron. 2014, 20, 1179–1192. [Google Scholar] [CrossRef]
- Shtessel, Y.; Edwards, C.; Fridman, L.; Levant, A. Sliding Mode Control and Observation; Springer: New York, NY, USA, 2014; Volume 10. [Google Scholar]
- Hafez, A.T.; Marasco, A.J.; Givigi, S.N.; Iskandarani, M.; Yousefi, S.; Rabbath, C.A. Solving multi-UAV dynamic encirclement via model predictive control. IEEE Trans. Control Syst. Technol. 2015, 23, 2251–2265. [Google Scholar] [CrossRef]
- Bouabdallah, S.; Siegwart, R. Backstepping and sliding-mode techniques applied to an indoor micro quadrotor. In Proceedings of the 2005 IEEE International Conference on Robotics and Automation, Barcelona, Spain, 18–22 April 2005; IEEE: Piscataway, NJ, USA, 2005; pp. 2247–2252. [Google Scholar]
- Espinoza, T.; Dzul, A.; Lozano, R.; Parada, P. Backstepping-sliding mode controllers applied to a fixed-wing UAV. J. Intell. Robot. Syst. 2014, 73, 67–79. [Google Scholar] [CrossRef]
- Hervas, J.R.; Kayacan, E.; Reyhanoglu, M.; Tang, H. Sliding mode control of fixed-wing uavs in windy environments. In Proceedings of the 2014 13th International Conference on Control Automation Robotics & Vision (ICARCV), Singapore, 10–12 December 2014; IEEE: Piscataway, NJ, USA, 2014; pp. 986–991. [Google Scholar]
- Zheng, Z.; Jin, Z.; Sun, L.; Zhu, M. Adaptive sliding mode relative motion control for autonomous carrier landing of fixed-wing unmanned aerial vehicles. IEEE Access 2017, 5, 5556–5565. [Google Scholar] [CrossRef]
- Beard, R.W.; McLain, T.W. Small Unmanned Aircraft: Theory and Practice; Princeton University Press: Princeton, NJ, USA, 2012. [Google Scholar]
- Amin, R.; Aijun, L.; Shamshirband, S. A review of quadrotor UAV: Control methodologies and performance evaluation. Int. J. Autom. Control 2016, 10, 87–103. [Google Scholar] [CrossRef]
- Farid, G.; Hongwei, M.; Ali, S.M.; Liwei, Q. A review on linear and nonlinear control techniques for position and attitude control of a quadrotor. Control Intell. Syst. 2017, 45, 43–57. [Google Scholar]
- Rubí, B.; Pérez, R.; Morcego, B. A survey of path following control strategies for UAVs focused on quadrotors. J. Intell. Robot. Syst. 2020, 98, 241–265. [Google Scholar] [CrossRef]
- Kangunde, V.; Jamisola Jr, R.S.; Theophilus, E.K. A review on drones controlled in real-time. Int. J. Dyn. Control 2021, 9, 1832–1846. [Google Scholar] [CrossRef]
- Sonugür, G. A Review of quadrotor UAV: Control and SLAM methodologies ranging from conventional to innovative approaches. Robot. Auton. Syst. 2023, 161, 104342. [Google Scholar] [CrossRef]
- Rinaldi, M.; Primatesta, S.; Guglieri, G. A comparative study for control of quadrotor UAVs. Appl. Sci. 2023, 13, 3464. [Google Scholar] [CrossRef]
- Idrissi, M.; Salami, M.; Annaz, F. A review of quadrotor unmanned aerial vehicles: Applications, architectural design and control algorithms. J. Intell. Robot. Syst. 2022, 104, 22. [Google Scholar] [CrossRef]
- Khalid, A.; Mushtaq, Z.; Arif, S.; Zeb, K.; Khan, M.A.; Bakshi, S. Control schemes for quadrotor UAV: Taxonomy and survey. ACM Comput. Surv. 2023, 56, 124. [Google Scholar] [CrossRef]
- Abitha, M.; Saleem, A. Quadrotor Modeling Approaches and Trajectory Tracking Control Algorithms: A Review. Int. J. Robot. Control Syst. 2024, 4, 401–426. [Google Scholar]
- Abdelmaksoud, S.I.; Mailah, M.; Abdallah, A.M. Control strategies and novel techniques for autonomous rotorcraft unmanned aerial vehicles: A review. IEEE Access 2020, 8, 195142–195169. [Google Scholar] [CrossRef]
- Lopez-Sanchez, I.; Moreno-Valenzuela, J. PID control of quadrotor UAVs: A survey. Annu. Rev. Control 2023, 56, 100900. [Google Scholar] [CrossRef]
- Tripathi, V.K.; Kamath, A.K.; Behera, L.; Verma, N.K.; Nahavandi, S. An Adaptive Fast Terminal Sliding-Mode Controller with Power Rate Proportional Reaching Law for Quadrotor Position and Altitude Tracking. IEEE Trans. Syst. Man, Cybern. Syst. 2021, 52, 3612–3625. [Google Scholar] [CrossRef]
- Kamath, A.K.; Tripathi, V.K.; Behera, L. Vision-based autonomous control schemes for quadrotor unmanned aerial vehicle. In Unmanned Robotic Systems and Applications; IntechOpen: London, UK, 2019. [Google Scholar]
- Yesmin, A.; Kumari, K.; Borkar, A.V.; Sinha, A.; Arya, H. Software-In-The-Loop validation of super twisting based sliding mode control for quadcopters. IFAC-PapersOnLine 2022, 55, 123–128. [Google Scholar] [CrossRef]
- Levant, A. Sliding order and sliding accuracy in sliding mode control. Int. J. Control 1993, 58, 1247–1263. [Google Scholar] [CrossRef]
- Moreno, J.A.; Osorio, M. A Lyapunov approach to second-order sliding mode controllers and observers. In Proceedings of the 2008 47th IEEE Conference on Decision and Control, Cancun, Mexico, 9–11 December 2008; IEEE: Piscataway, NJ, USA, 2008; pp. 2856–2861. [Google Scholar]
- Polyakov, A.; Poznyak, A. Reaching time estimation for “super-twisting” second order sliding mode controller via Lyapunov function designing. IEEE Trans. Autom. Control 2009, 54, 1951–1955. [Google Scholar] [CrossRef]
- Yu, X.; Feng, Y.; Man, Z. Terminal sliding mode control–an overview. IEEE Open J. Ind. Electron. Soc. 2020, 2, 36–52. [Google Scholar] [CrossRef]
- Zak, M. Terminal attractors for addressable memory in neural networks. Phys. Lett. A 1988, 133, 18–22. [Google Scholar] [CrossRef]
- Venkataraman, S.; Gulati, S. Control of nonlinear systems using terminal sliding modes. J. Dyn. Sys. Meas. Control 1993, 115, 554–560. [Google Scholar] [CrossRef]
- Tang, Y. Terminal sliding mode control for rigid robots. Automatica 1998, 34, 51–56. [Google Scholar] [CrossRef]
- Feng, Y.; Yu, X.; Man, Z. Non-singular terminal sliding mode control of rigid manipulators. Automatica 2002, 38, 2159–2167. [Google Scholar] [CrossRef]
- Chiu, C.S. Derivative and integral terminal sliding mode control for a class of MIMO nonlinear systems. Automatica 2012, 48, 316–326. [Google Scholar] [CrossRef]
- Utkin, V.; Shi, J. Integral sliding mode in systems operating under uncertainty conditions. In Proceedings of the 35th IEEE Conference on Decision and Control, Kobe, Japan, 13 December 1996; IEEE: Piscataway, NJ, USA, 1996; Volume 4, pp. 4591–4596. [Google Scholar]
- Ullah, S.; Mehmood, A.; Khan, Q.; Rehman, S.; Iqbal, J. Robust integral sliding mode control design for stability enhancement of under-actuated quadcopter. Int. J. Control Autom. Syst. 2020, 18, 1671–1678. [Google Scholar] [CrossRef]
- Li, S.; Wang, Y.; Tan, J.; Zheng, Y. Adaptive RBFNNs/integral sliding mode control for a quadrotor aircraft. Neurocomputing 2016, 216, 126–134. [Google Scholar] [CrossRef]
- Wang, J.; Alattas, K.A.; Bouteraa, Y.; Mofid, O.; Mobayen, S. Adaptive finite-time backstepping control tracker for quadrotor UAV with model uncertainty and external disturbance. Aerosp. Sci. Technol. 2023, 133, 108088. [Google Scholar] [CrossRef]
- Utkin, V.I.; Poznyak, A.S. Adaptive sliding mode control. In Advances in Sliding Mode Control: Concept, Theory and Implementation; Springer: Berlin/Heidelberg, Germany, 2013; pp. 21–53. [Google Scholar]
- Abbas, N.; Abbas, Z.; Liu, X. Adaptive recursive sliding mode control (ARSMC)-Based UAV control for future smart cities. Appl. Sci. 2023, 13, 6790. [Google Scholar] [CrossRef]
- Bandyopadhyay, B.; Behera, A.K. Event-triggered sliding mode control. Stud. Syst. Decis. Control 2018, 139, 6837–6847. [Google Scholar]
- Hou, M.; Wang, Y. Data-driven adaptive terminal sliding mode control with prescribed performance. Asian J. Control 2021, 23, 774–785. [Google Scholar] [CrossRef]
- Ye, X.; Song, F.; Zhang, Z.; Zeng, Q. A review of small UAV navigation system based on multi-source sensor fusion. IEEE Sens. J. 2023. [Google Scholar] [CrossRef]
- Gupta, A.; Fernando, X. Simultaneous localization and mapping (slam) and data fusion in unmanned aerial vehicles: Recent advances and challenges. Drones 2022, 6, 85. [Google Scholar] [CrossRef]
- Irfan, M.; Dalai, S.; Trslic, P.; Santos, M.C.; Riordan, J.; Dooly, G. LGVINS: LiDAR-GPS-Visual and Inertial System Based Multi-Sensor Fusion for Smooth and Reliable UAV State Estimation. IEEE Trans. Intell. Veh. 2024. [Google Scholar] [CrossRef]
- Yesmin, A.; Nath, K.; Bera, M.K. Design and Performance Analysis of Different Event-Triggering Policies with Sliding Mode Control Strategy. In Emerging Electronics and Automation: Select Proceedings of E2A 2021; Springer: Singapore, 2022; pp. 67–79. [Google Scholar]
- Wang, J.; Shao, C.; Chen, Y.Q. Fractional order sliding mode control via disturbance observer for a class of fractional order systems with mismatched disturbance. Mechatronics 2018, 53, 8–19. [Google Scholar] [CrossRef]
- Tang, Y.; Zhang, X.; Zhang, D.; Zhao, G.; Guan, X. Fractional order sliding mode controller design for antilock braking systems. Neurocomputing 2013, 111, 122–130. [Google Scholar] [CrossRef]
- Pouzesh, M.; Mobayen, S. Event-triggered fractional-order sliding mode control technique for stabilization of disturbed quadrotor unmanned aerial vehicles. Aerosp. Sci. Technol. 2022, 121, 107337. [Google Scholar] [CrossRef]
- Labbadi, M.; Cherkaoui, M. Adaptive fractional-order nonsingular fast terminal sliding mode based robust tracking control of quadrotor UAV with Gaussian random disturbances and uncertainties. IEEE Trans. Aerosp. Electron. Syst. 2021, 57, 2265–2277. [Google Scholar] [CrossRef]
- Shtessel, Y.B.; Moreno, J.A.; Plestan, F.; Fridman, L.M.; Poznyak, A.S. Super-twisting adaptive sliding mode control: A Lyapunov design. In Proceedings of the 49th IEEE Conference on Decision and Control (CDC), Atlanta, GA, USA, 15–17 December 2010; IEEE: Piscataway, NJ, USA, 2010; pp. 5109–5113. [Google Scholar]
- Levant, A. Chattering analysis. IEEE Trans. Autom. Control 2010, 55, 1380–1389. [Google Scholar] [CrossRef]
- Lee, H.; Utkin, V.I.; Malinin, A. Chattering reduction using multiphase sliding mode control. Int. J. Control 2009, 82, 1720–1737. [Google Scholar] [CrossRef]
- Wang, F.; Gao, H.; Wang, K.; Zhou, C.; Zong, Q.; Hua, C. Disturbance observer-based finite-time control design for a quadrotor UAV with external disturbance. IEEE Trans. Aerosp. Electron. Syst. 2020, 57, 834–847. [Google Scholar] [CrossRef]
- Luque-Vega, L.; Castillo-Toledo, B.; Loukianov, A.G. Robust block second order sliding mode control for a quadrotor. J. Frankl. Inst. 2012, 349, 719–739. [Google Scholar] [CrossRef]
- Xu, G.; Xia, Y.; Zhai, D.H.; Ma, D. Adaptive prescribed performance terminal sliding mode attitude control for quadrotor under input saturation. IET Control Theory Appl. 2020, 14, 2473–2480. [Google Scholar] [CrossRef]
- Ginting, A.H.; Wahyunggoro, O.; Cahyadi, A.I. Attitude control of quadrotor using PD plus feedforward controller on SO (3). Int. J. Electr. Comput. Eng. (IJECE) 2018, 8, 566–575. [Google Scholar] [CrossRef]
- Kuantama, E.; Vesselenyi, T.; Dzitac, S.; Tarca, R. PID and Fuzzy-PID control model for quadcopter attitude with disturbance parameter. Int. J. Comput. Commun. Control 2017, 12, 519–532. [Google Scholar] [CrossRef]
- Njinwoua, B.J.; Wouwer, A.V. Cascade attitude control of a quadcopter in presence of motor asymmetry. IFAC-PapersOnLine 2018, 51, 113–118. [Google Scholar] [CrossRef]
- Chen, L.; Liu, Z.; Gao, H.; Wang, G. Robust adaptive recursive sliding mode attitude control for a quadrotor with unknown disturbances. ISA Trans. 2022, 122, 114–125. [Google Scholar] [CrossRef]
- Nguyen, L.V.; Phung, M.D.; Ha, Q.P. Iterative Learning Sliding Mode Control for UAV Trajectory Tracking. Electronics 2021, 10, 2474. [Google Scholar] [CrossRef]
- Xiong, J.; Pan, J.; Chen, G.; Zhang, X.; Ding, F. Sliding mode dual-channel disturbance rejection attitude control for a quadrotor. IEEE Trans. Ind. Electron. 2021, 69, 10489–10499. [Google Scholar] [CrossRef]
- Rodríguez-Mata, A.; Flores, G.; Martínez-Vásquez, A.; Mora-Felix, Z.; Castro-Linares, R.; Amabilis-Sosa, L. Discontinuous High-Gain Observer in a Robust Control UAV Quadrotor: Real-Time Application for Watershed Monitoring. Math. Probl. Eng. 2018, 2018, 4940360. [Google Scholar] [CrossRef]
- Hassani, H.; Mansouri, A.; Ahaitouf, A. Backstepping-based supertwisting sliding mode attitude control for a quadrotor aircraft subjected to wind disturbances: Experimental validation. Int. J. Dyn. Control 2023, 11, 1285–1296. [Google Scholar] [CrossRef]
- Li, Z.; Ma, X.; Li, Y. Finite-time attitude stabilization control of a quadrotor with parametric uncertainties and disturbances. In Proceedings of the 2019 IEEE International Conference on Robotics and Biomimetics (ROBIO), Dali, China, 6–8 December 2019; IEEE: Piscataway, NJ, USA, 2019; pp. 2654–2659. [Google Scholar]
- Xu, L.; Shao, X.; Zhang, W. USDE-based continuous sliding mode control for quadrotor attitude regulation: Method and application. IEEE Access 2021, 9, 64153–64164. [Google Scholar] [CrossRef]
- Dong, T.; Chai, R.; Yao, F.; Tsourdos, A.; Chai, S.; Garcia, M. Terminal sliding mode attitude tracking control for unmanned vehicle with predefined-time stability. Aerosp. Sci. Technol. 2023, 142, 108669. [Google Scholar] [CrossRef]
- Hassani, H.; Mansouri, A.; Ahaitouf, A. Design and real-time implementation of a robust backstepping non-singular integral terminal sliding mode attitude control for a quadrotor aircraft. J. Vib. Control 2024, 10775463241240641. [Google Scholar] [CrossRef]
- Tao, M.; He, X.; Xie, S.; Chen, Q. RBFNN-based singularity-free terminal sliding mode control for uncertain quadrotor UAVs. Comput. Intell. Neurosci. 2021, 2021, 3576783. [Google Scholar] [CrossRef] [PubMed]
- Yu, G.; Chen, Y.; Chen, Z.; Wu, H.; Cheng, L. Design of terminal sliding mode controller for a quadrotor UAV with disturbance observer. In Proceedings of the 2020 39th Chinese Control Conference (CCC), Shenyang, China, 27–29 July 2020; IEEE: Piscataway, NJ, USA, 2020; pp. 2072–2077. [Google Scholar]
- Li, B.; Gong, W.; Yang, Y.; Xiao, B.; Ran, D. Appointed Fixed Time Observer-Based Sliding Mode Control for a Quadrotor UAV Under External Disturbances. IEEE Trans. Aerosp. Electron. Syst. 2021, 58, 290–303. [Google Scholar] [CrossRef]
- Lin, Z.; Li, P. Nonsingular Fast Terminal Sliding Mode Attitude Control for a Quadrotor Based on Fuzzy Extended State Observer. In Proceedings of the 2021 33rd Chinese Control and Decision Conference (CCDC), Kunming, China, 22–24 May 2021; IEEE: Piscataway, NJ, USA, 2021; pp. 6919–6924. [Google Scholar]
- Cui, L.; Hou, X.; Zuo, Z.; Yang, H. An adaptive fast super-twisting disturbance observer-based dual closed-loop attitude control with fixed-time convergence for UAV. J. Frankl. Inst. 2022, 359, 2514–2540. [Google Scholar] [CrossRef]
- Wu, X.; Xiao, B.; Qu, Y. Modeling and sliding mode-based attitude tracking control of a quadrotor UAV with time-varying mass. ISA Trans. 2022, 124, 436–443. [Google Scholar] [CrossRef]
- Coates, E.M.; Griffiths, J.B.; Johansen, T.A. Robust Reduced-Attitude Control of Fixed-Wing UAVs Using a Generalized Multivariable Super-Twisting Algorithm. In Proceedings of the 2021 International Conference on Unmanned Aircraft Systems (ICUAS), Athens, Greece, 15–18 June 2021; IEEE: Piscataway, NJ, USA, 2021; pp. 454–464. [Google Scholar]
- Gao, Z.; Wang, J.; Tian, Y. Finite-time attitude control for quadrotor with input constraints and disturbances. Math. Probl. Eng. 2020, 2020, 5493686. [Google Scholar] [CrossRef]
- Xu, L.; Qin, K.; Tang, F.; Shi, M.; Lin, B. A Novel Attitude Control Strategy for a Quadrotor Drone with Actuator Dynamics Based on a High-Order Sliding Mode Disturbance Observer. Drones 2024, 8, 131. [Google Scholar] [CrossRef]
- Baek, J.; Kang, M. A synthesized sliding-mode control for attitude trajectory tracking of quadrotor UAV systems. IEEE/Asme Trans. Mechatron. 2023, 28, 2189–2199. [Google Scholar] [CrossRef]
- Shi, D.; Wu, Z.; Chou, W. Super-twisting extended state observer and sliding mode controller for quadrotor uav attitude system in presence of wind gust and actuator faults. Electronics 2018, 7, 128. [Google Scholar] [CrossRef]
- Yeh, F.K. Attitude controller design of mini-unmanned aerial vehicles using fuzzy sliding-mode control degraded by white noise interference. IET Control Theory Appl. 2012, 6, 1205–1212. [Google Scholar] [CrossRef]
- Lian, S.; Meng, W.; Lin, Z.; Shao, K.; Zheng, J.; Li, H.; Lu, R. Adaptive attitude control of a quadrotor using fast nonsingular terminal sliding mode. IEEE Trans. Ind. Electron. 2021, 69, 1597–1607. [Google Scholar] [CrossRef]
- Wang, Q.; Wang, W.; Suzuki, S. UAV trajectory tracking under wind disturbance based on novel antidisturbance sliding mode control. Aerosp. Sci. Technol. 2024, 149, 109138. [Google Scholar] [CrossRef]
- Perozzi, G.; Efimov, D.; Biannic, J.M.; Planckaert, L. Trajectory tracking for a quadrotor under wind perturbations: Sliding mode control with state-dependent gains. J. Frankl. Inst. 2018, 355, 4809–4838. [Google Scholar] [CrossRef]
- Besnard, L.; Shtessel, Y.B.; Landrum, B. Quadrotor vehicle control via sliding mode controller driven by sliding mode disturbance observer. J. Frankl. Inst. 2012, 349, 658–684. [Google Scholar] [CrossRef]
- Islam, S.; Faraz, M.; Ashour, R.; Cai, G.; Dias, J.; Seneviratne, L. Adaptive sliding mode control design for quadrotor unmanned aerial vehicle. In Proceedings of the 2015 International Conference on Unmanned Aircraft Systems (ICUAS), Denver, CO, USA, 9–12 June 2015; IEEE: Piscataway, NJ, USA, 2015; pp. 34–39. [Google Scholar]
- Zhao, B.; Xian, B.; Zhang, Y.; Zhang, X. Nonlinear robust sliding mode control of a quadrotor unmanned aerial vehicle based on immersion and invariance method. Int. J. Robust Nonlinear Control 2015, 25, 3714–3731. [Google Scholar] [CrossRef]
- Xiong, J.J.; Zhang, G. Discrete-time sliding mode control for a quadrotor UAV. Optik 2016, 127, 3718–3722. [Google Scholar] [CrossRef]
- Ríos, H.; Falcón, R.; González, O.A.; Dzul, A. Continuous sliding-mode control strategies for quadrotor robust tracking: Real-time application. IEEE Trans. Ind. Electron. 2018, 66, 1264–1272. [Google Scholar] [CrossRef]
- Tripathi, V.K.; Kamath, A.K.; Verma, N.K.; Behera, L. Fast terminal sliding mode super twisting controller for position and altitude tracking of the quadrotor. In Proceedings of the 2019 International Conference on Robotics and Automation (ICRA), Montreal, QC, Canada, 20–24 May 2019; IEEE: Piscataway, NJ, USA, 2019; pp. 6468–6474. [Google Scholar]
- Labbadi, M.; Boukal, Y.; Cherkaoui, M. Path following control of quadrotor UAV with continuous fractional-order super twisting sliding mode. J. Intell. Robot. Syst. 2020, 100, 1429–1451. [Google Scholar] [CrossRef]
- Zhao, J.; Xie, Z.; Xiao, M.; Xu, F.; Gao, Z. A sliding mode control algorithm based on improved super-twisting and its application to quadrotors. J. Control Decis. 2023, 10, 433–442. [Google Scholar] [CrossRef]
- Mofid, O.; Mobayen, S.; Zhang, C.; Esakki, B. Desired tracking of delayed quadrotor UAV under model uncertainty and wind disturbance using adaptive super-twisting terminal sliding mode control. ISA Trans. 2022, 123, 455–471. [Google Scholar] [CrossRef]
- Seyed Gogani, N.; Behnamgol, V.; Hakimi, S.; Derakhshan, G. Finite Time Back Stepping Supper Twisting Controller Design for a Quadrotor. Eng. Lett. 2022, 30, 674–680. [Google Scholar]
- Qin, X.; Zhao, Z.; Huang, P.; Li, J. Multiple Feedback Recurrent Neural Network Based Super-Twisting Predefined-Time Nonsingular Terminal Sliding Mode Control for Quad-rotor UAV. Aerosp. Sci. Technol. 2024, 151, 109282. [Google Scholar] [CrossRef]
- Zheng, E.H.; Xiong, J.J.; Luo, J.L. Second order sliding mode control for a quadrotor UAV. ISA Trans. 2014, 53, 1350–1356. [Google Scholar] [CrossRef]
- Jayakrishnan, H. Position and attitude control of a quadrotor UAV using super twisting sliding mode. IFAC-PapersOnLine 2016, 49, 284–289. [Google Scholar] [CrossRef]
- Eliker, K.; Grouni, S.; Tadjine, M.; Zhang, W. Practical finite time adaptive robust flight control system for quad-copter UAVs. Aerosp. Sci. Technol. 2020, 98, 105708. [Google Scholar] [CrossRef]
- Mofid, O.; Mobayen, S.; Fekih, A. Adaptive integral-type terminal sliding mode control for unmanned aerial vehicle under model uncertainties and external disturbances. IEEE Access 2021, 9, 53255–53265. [Google Scholar] [CrossRef]
- Hassani, H.; Mansouri, A.; Ahaitouf, A. Robust autonomous flight for quadrotor UAV based on adaptive nonsingular fast terminal sliding mode control. Int. J. Dyn. Control 2021, 9, 619–635. [Google Scholar] [CrossRef]
- Mahmoud, M.S.; Maaruf, M. Robust adaptive multilevel control of a quadrotor. IEEE Access 2020, 8, 167684–167692. [Google Scholar] [CrossRef]
- Alattas, K.A.; Mofid, O.; Alanazi, A.K.; Abo-Dief, H.M.; Bartoszewicz, A.; Bakouri, M.; Mobayen, S. Barrier Function Adaptive Nonsingular Terminal Sliding Mode Control Approach for Quad-Rotor Unmanned Aerial Vehicles. Sensors 2022, 22, 909. [Google Scholar] [CrossRef]
- Labbadi, M.; Cherkaoui, M.; Guisser, M. Modeling and robust integral sliding mode control for a quadrotor unmanned aerial vehicle. In Proceedings of the 2018 6th International Renewable and Sustainable Energy Conference (IRSEC), Rabat, Morocco, 5–8 December 2018; IEEE: Piscataway, NJ, USA, 2018; pp. 1–6. [Google Scholar]
- Hassani, H.; Mansouri, A.; Ahaitouf, A. Robust trajectory tracking control of an uncertain quadrotor via a novel adaptive nonsingular sliding mode control. Arab. J. Sci. Eng. 2024, 49, 6773–6797. [Google Scholar] [CrossRef]
- Han, G.; Mofid, O.; Mobayen, S.; Khooban, M.H. Adaptive prescribed performance based on recursive nonsingular terminal sliding mode control for quad-rotor systems under uncertainty and disturbance: Real-time validation. Aerosp. Sci. Technol. 2024, 147, 109028. [Google Scholar] [CrossRef]
- Mawanza, J.; Agee, J.; Bhero, E. Finite-time control for a quadcopter UAV in the application of wildfire monitoring. IET Control Theory Appl. 2024, 18, 1540–1558. [Google Scholar] [CrossRef]
- Ghadiri, H.; Emami, M.; Khodadadi, H. Adaptive super-twisting non-singular terminal sliding mode control for tracking of quadrotor with bounded disturbances. Aerosp. Sci. Technol. 2021, 112, 106616. [Google Scholar] [CrossRef]
- Wentao, X.; Shaojun, T.; Hui, Y. Robust trajectory tracking control for a quadrotor based on a composite sliding mode control method. In Proceedings of the 2018 37th Chinese Control Conference (CCC), Wuhan, China, 25–27 July 2018; IEEE: Piscataway, NJ, USA, 2018; pp. 919–924. [Google Scholar]
- Eliker, K.; Zhang, W. Finite-time adaptive integral backstepping fast terminal sliding mode control application on quadrotor UAV. Int. J. Control Autom. Syst. 2020, 18, 415–430. [Google Scholar] [CrossRef]
- Wang, H.; Ye, X.; Tian, Y.; Zheng, G.; Christov, N. Model-free–based terminal SMC of quadrotor attitude and position. IEEE Trans. Aerosp. Electron. Syst. 2016, 52, 2519–2528. [Google Scholar] [CrossRef]
- El-Sousy, F.F.; Alattas, K.A.; Mofid, O.; Mobayen, S.; Asad, J.H.; Skruch, P.; Assawinchaichote, W. Non-Singular Finite Time Tracking Control Approach Based on Disturbance Observers for Perturbed Quadrotor Unmanned Aerial Vehicles. Sensors 2022, 22, 2785. [Google Scholar] [CrossRef]
- Zhao, Z.; Li, T.; Cao, D. Trajectory tracking control for quadrotor uavs based on composite nonsingular terminal sliding mode method. In Proceedings of the IECON 2020 The 46th Annual Conference of the IEEE Industrial Electronics Society, Singapore, 18–21 October 2020; IEEE: Piscataway, NJ, USA, 2020; pp. 5110–5115. [Google Scholar]
- Nekoukar, V.; Dehkordi, N.M. Robust path tracking of a quadrotor using adaptive fuzzy terminal sliding mode control. Control Eng. Pract. 2021, 110, 104763. [Google Scholar] [CrossRef]
- Xiong, J.J.; Zheng, E.H. Position and attitude tracking control for a quadrotor UAV. ISA Trans. 2014, 53, 725–731. [Google Scholar] [CrossRef]
- Xiong, J.J.; Zhang, G.B. Global fast dynamic terminal sliding mode control for a quadrotor UAV. ISA Trans. 2017, 66, 233–240. [Google Scholar] [CrossRef]
- Zheng, E.; Xiong, J. Quad-rotor unmanned helicopter control via novel robust terminal sliding mode controller and under-actuated system sliding mode controller. Optik 2014, 125, 2817–2825. [Google Scholar] [CrossRef]
- Xu, L.X.; Ma, H.J.; Guo, D.; Xie, A.H.; Song, D.L. Backstepping sliding-mode and cascade active disturbance rejection control for a quadrotor UAV. IEEE/ASME Trans. Mechatron. 2020, 25, 2743–2753. [Google Scholar] [CrossRef]
- Labbadi, M.; Boukal, Y.; Taleb, M.; Cherkaoui, M. Fractional order sliding mode control for the tracking problem of Quadrotor UAV under external disturbances. In Proceedings of the 2020 European Control Conference (ECC), Petersburg, Russia, 12–15 May 2020; pp. 1595–1600. [Google Scholar]
- Labbadi, M.; El Houm, Y.; Abbou, A.; Cherkaoui, M. Robust adaptive global nonlinear sliding mode controller for a quadrotor under external disturbances and uncertainties. Adv. Mech. Eng. 2020, 12, 1687814020975237. [Google Scholar] [CrossRef]
- Shi, X.; Cheng, Y.; Yin, C.; Zhong, S.; Huang, X.; Chen, K.; Qiu, G. Adaptive fractional-order SMC controller design for unmanned quadrotor helicopter under actuator fault and disturbances. IEEE Access 2020, 8, 103792–103802. [Google Scholar] [CrossRef]
- Ramirez-Rodriguez, H.; Parra-Vega, V.; Sanchez-Orta, A.; Garcia-Salazar, O. Robust backstepping control based on integral sliding modes for tracking of quadrotors. J. Intell. Robot. Syst. 2014, 73, 51–66. [Google Scholar] [CrossRef]
- Shi, X.; Cheng, Y.; Yin, C.; Dadras, S.; Huang, X. Design of fractional-order backstepping sliding mode control for quadrotor UAV. Asian J. Control 2019, 21, 156–171. [Google Scholar] [CrossRef]
- Wu, X.; Zheng, W. Adaptive sliding mode finite-time control for quadrotor UAV with unknown external disturbances and drag coefficients. In Proceedings of the 2021 40th Chinese Control Conference (CCC), Shanghai, China, 26–28 July 2021; IEEE: Piscataway, NJ, USA, 2021; pp. 520–525. [Google Scholar]
- Davoudi Dehkordi, M.; Danesh, M. Positionable Rotor Quadrotor: Dynamic Modeling and Adaptive Finite-Time Sliding-Mode Controller Design. J. Guid. Control. Dyn. 2022, 45, 424–433. [Google Scholar] [CrossRef]
- Zhang, Z.; Wang, F.; Guo, Y.; Hua, C. Multivariable sliding mode backstepping controller design for quadrotor UAV based on disturbance observer. Sci. China Inf. Sci. 2018, 61, 112207. [Google Scholar] [CrossRef]
- Eltayeb, A.; Rahmat, M.F.; Basri, M.A.M.; Eltoum, M.M.; El-Ferik, S. An improved design of an adaptive sliding mode controller for chattering attenuation and trajectory tracking of the quadcopter UAV. IEEE Access 2020, 8, 205968–205979. [Google Scholar] [CrossRef]
- Eltayeb, A.; Rahmat, M.F.; Basri, M.A.M.; Eltoum, M.M.; Mahmoud, M.S. Integral Adaptive Sliding Mode Control for Quadcopter UAV Under Variable Payload and Disturbance. IEEE Access 2022, 10, 94754–94764. [Google Scholar] [CrossRef]
- Shevidi, A.; Hashim, H.A. Quaternion-based adaptive backstepping fast terminal sliding mode control for quadrotor UAVs with finite time convergence. Results Eng. 2024, 23, 102497. [Google Scholar] [CrossRef]
- Liu, B.; Wang, Y.; Mofid, O.; Mobayen, S.; Khooban, M.H. Barrier function-based backstepping fractional-order sliding mode control for quad-rotor unmanned aerial vehicle under external disturbances. IEEE Trans. Aerosp. Electron. Syst. 2023. [Google Scholar] [CrossRef]
- Mofid, O.; Mobayen, S. Robust fractional-order sliding mode tracker for quad-rotor UAVs: Event-triggered adaptive backstepping approach under disturbance and uncertainty. Aerosp. Sci. Technol. 2024, 146, 108916. [Google Scholar] [CrossRef]
- Fethalla, N.; Saad, M.; Michalska, H.; Ghommam, J. Robust observer-based dynamic sliding mode controller for a quadrotor UAV. IEEE Access 2018, 6, 45846–45859. [Google Scholar] [CrossRef]
- Shi, W.; Yang, W.; Gong, L. Trajectory Tracking Control for a QUAV Based on Second Order Sliding Mode. In Proceedings of the 2020 Chinese Control And Decision Conference (CCDC), Hefei, China, 22–24 August 2020; IEEE: Piscataway, NJ, USA, 2020; pp. 5079–5083. [Google Scholar]
- Li, T.T.; Xiong, J.J.; Zheng, E.H. Improved Sliding Mode Control for Robust Trajectory Tracking of a Quadrotor UAV. In Proceedings of the 2020 7th International Conference on Information Science and Control Engineering (ICISCE), Changsha, China, 18–20 December 2020; IEEE: Piscataway, NJ, USA, 2020; pp. 1908–1912. [Google Scholar]
- Noordin, A.; Mohd Basri, M.A.; Mohamed, Z.; Mat Lazim, I. Adaptive PID controller using sliding mode control approaches for quadrotor UAV attitude and position stabilization. Arab. J. Sci. Eng. 2021, 46, 963–981. [Google Scholar] [CrossRef]
- Mofid, O.; Mobayen, S. Adaptive sliding mode control for finite-time stability of quad-rotor UAVs with parametric uncertainties. ISA Trans. 2018, 72, 1–14. [Google Scholar] [CrossRef]
- Yogi, S.C.; Kamath, A.K.; Singh, P.; Behera, L. Trajectory Tracking Control of a Quadrotor UAV using an Auto-tuning Robust Sliding Mode Controller. In Proceedings of the 2022 International Conference on Unmanned Aircraft Systems (ICUAS), Dubrovnik, Croatia, 21–24 June 2022; IEEE: Piscataway, NJ, USA, 2022; pp. 345–353. [Google Scholar]
- Zou, X.; Liu, Z.; Gao, H.; Zhao, W. Trajectory tracking control of quadrotor under variable payloads with model-free controller and sliding mode control technology. Aircr. Eng. Aerosp. Technol. 2021, 93, 1533–1546. [Google Scholar] [CrossRef]
- Wang, T.; Parwana, H.; Umemoto, K.; Endo, T.; Matsuno, F. Non-cascade adaptive sliding mode control for quadrotor UAVs under parametric uncertainties and external disturbance with indoor experiments. J. Intell. Robot. Syst. 2021, 102, 1–21. [Google Scholar] [CrossRef]
- Yogi, S.C.; Tripathi, V.K.; Behera, L. Adaptive integral sliding mode control using fully connected recurrent neural network for position and attitude control of quadrotor. IEEE Trans. Neural Netw. Learn. Syst. 2021, 32, 5595–5609. [Google Scholar] [CrossRef]
- Alqaisi, W.K.; Brahmi, B.; Ghommam, J.; Saad, M.; Nerguizian, V. Adaptive sliding mode control based on RBF neural network approximation for quadrotor. In Proceedings of the 2019 IEEE International Symposium on Robotic and Sensors Environments (ROSE), Ottawa, ON, Canada, 17–18 June 2019; IEEE: Piscataway, NJ, USA, 2019; pp. 1–7. [Google Scholar]
- Zhang, J.; Ren, Z.; Deng, C.; Wen, B. Adaptive fuzzy global sliding mode control for trajectory tracking of quadrotor UAVs. Nonlinear Dyn. 2019, 97, 609–627. [Google Scholar] [CrossRef]
- Li, Z.; Ma, X.; Li, Y. Robust tracking control strategy for a quadrotor using RPD-SMC and RISE. Neurocomputing 2019, 331, 312–322. [Google Scholar] [CrossRef]
- Razmi, H.; Afshinfar, S. Neural network-based adaptive sliding mode control design for position and attitude control of a quadrotor UAV. Aerosp. Sci. Technol. 2019, 91, 12–27. [Google Scholar] [CrossRef]
- Li, J.; Wan, L.; Li, J.; Hou, K. Adaptive backstepping control of quadrotor UAVs with output constraints and input saturation. Appl. Sci. 2023, 13, 8710. [Google Scholar] [CrossRef]
- Efe, M.Ö. Battery power loss compensated fractional order sliding mode control of a quadrotor UAV. Asian J. Control 2012, 14, 413–425. [Google Scholar] [CrossRef]
- Labbadi, M.; Cherkaoui, M. Robust integral terminal sliding mode control for quadrotor UAV with external disturbances. Int. J. Aerosp. Eng. 2019, 2019, 2016416. [Google Scholar] [CrossRef]
- Eliker, K.; Grouni, S.; Tadjine, M.; Zhang, W. Quadcopter nonsingular finite-time adaptive robust saturated command-filtered control system under the presence of uncertainties and input saturation. Nonlinear Dyn. 2021, 104, 1363–1387. [Google Scholar] [CrossRef]
- Weng, F.; Wei, H.; Hu, J.; Zeng, L.; Wen, R. ASMC and ARSMC cascaded controller design for QUAVs with time-varying load and unknown disturbances. IEEE Access 2024. [Google Scholar] [CrossRef]
- Thanh, H.L.N.N.; Hong, S.K. Quadcopter robust adaptive second order sliding mode control based on PID sliding surface. IEEE Access 2018, 6, 66850–66860. [Google Scholar] [CrossRef]
- Chen, X.; Xue, W.; Qiu, H.; Ye, H. A moving target tracking control and obstacle avoidance of quadrotor UAV based on sliding mode control using artificial potential field and RBF neural networks. In Proceedings of the 2020 39th Chinese Control Conference (CCC), Shenyang, China, 27–29 July 2020; IEEE: Piscataway, NJ, USA, 2020; pp. 3828–3833. [Google Scholar]
- Labbadi, M.; Cherkaoui, M. Robust adaptive global time-varying sliding-mode control for finite-time tracker design of quadrotor drone subjected to Gaussian random parametric uncertainties and disturbances. Int. J. Control Autom. Syst. 2021, 19, 2213–2223. [Google Scholar] [CrossRef]
- Wang, Z.; Zhao, T. Based on robust sliding mode and linear active disturbance rejection control for attitude of quadrotor load UAV. Nonlinear Dyn. 2022, 108, 3485–3503. [Google Scholar] [CrossRef]
- Abci, B.; Zheng, G.; Efimov, D.; El Najjar, M.E.B. Robust altitude and attitude sliding mode controllers for quadrotors. IFAC-PapersOnLine 2017, 50, 2720–2725. [Google Scholar] [CrossRef]
- Maqsood, H.; Qu, Y. Nonlinear disturbance observer based sliding mode control of quadrotor helicopter. J. Electr. Eng. Technol. 2020, 15, 1453–1461. [Google Scholar] [CrossRef]
- Huang, T.; Huang, D.; Wang, Z.; Dai, X.; Shah, A. Generic adaptive sliding mode control for a quadrotor UAV system subject to severe parametric uncertainties and fully unknown external disturbance. Int. J. Control Autom. Syst. 2021, 19, 698–711. [Google Scholar] [CrossRef]
- Kuchwa-Dube, C.; Pedro, J.O. Quadrotor-based aerial manipulator altitude and attitude tracking using adaptive super-twisting sliding mode control. In Proceedings of the 2019 International Conference on Unmanned Aircraft Systems (ICUAS), Atlanta, GA, USA, 11–14 June 2019; IEEE: Piscataway, NJ, USA, 2019; pp. 144–151. [Google Scholar]
- Shao, S.; Wang, S.; Zhao, Y. Fixed time robust trajectory tracking control for quadrotor UAV with disturbances. In Proceedings of the 2020 39th Chinese Control Conference (CCC), Shenyang, China, 27–29 July 2020; IEEE: Piscataway, NJ, USA, 2020; pp. 6887–6892. [Google Scholar]
- Gao, P.; Wang, G.; Ji, Y.; Li, Q.; Zhang, J.; Shen, Y.; Li, P. Event-Triggered Tracking Control Scheme for Quadrotors with External Disturbances: Theory and Validations. In Proceedings of the 2022 International Conference on Robotics and Automation (ICRA), Philadelphia, PA, USA, 23–27 May 2022; IEEE: Piscataway, NJ, USA, 2022; pp. 8929–8935. [Google Scholar]
- González-Hernández, I.; Salazar, S.; Rodriguez-Mata, A.E.; Mu noz-Palacios, F.; López, R.; Lozano, R. Enhanced robust altitude controller via integral sliding modes approach for a quad-rotor aircraft: Simulations and real-time results. J. Intell. Robot. Syst. 2017, 88, 313–327. [Google Scholar] [CrossRef]
- Mu noz, F.; González-Hernández, I.; Salazar, S.; Espinoza, E.S.; Lozano, R. Second order sliding mode controllers for altitude control of a quadrotor UAS: Real-time implementation in outdoor environments. Neurocomputing 2017, 233, 61–71. [Google Scholar] [CrossRef]
- Shen, W.; Li, Z. Backstepping sliding mode RBF network adaptive control for quadrotor UAV. In Proceedings of the 2019 Chinese Automation Congress (CAC), Hangzhou, China, 22–24 November 2019; IEEE: Piscataway, NJ, USA, 2019; pp. 4086–4091. [Google Scholar]
- Perozzi, G.; Efimov, D.; Biannic, J.M.; Planckaert, L.; Coton, P. On sliding mode control design for UAV using realistic aerodynamic coefficients. In Proceedings of the 2017 IEEE 56th Annual Conference on Decision and Control (CDC), Melbourne, Australia, 12–15 December 2017; IEEE: Piscataway, NJ, USA, 2017; pp. 5403–5408. [Google Scholar][Green Version]
- Hassani, H.; Mansouri, A.; Ahaitouf, A. Model-Based Robust Tracking Attitude and Altitude Control of an Uncertain Quadrotor Under Disturbances. Int. J. Aeronaut. Space Sci. 2024, 25, 1464–1478. [Google Scholar] [CrossRef]
- Ha, L.N.N.T.; Hong, S.K. Robust dynamic sliding mode control-based PID–super twisting algorithm and disturbance observer for second-order nonlinear systems: Application to UAVs. Electronics 2019, 8, 760. [Google Scholar] [CrossRef]
- Thanh, H.; Lee, C.H.; Hong, S.K. An effective robust adaptive sliding mode control for quadcopter UAVs. Int. J. Eng. Technol. (IJET-IJENS) 2020, 20, 23–34. [Google Scholar]
- Maqsood, H.; Qu, Y.; Taimoor, M.; Yang, B. Robust control design with novel extended disturbance observer for quadrotor vehicle. In Proceedings of the 2020 Chinese Control And Decision Conference (CCDC), Hefei, China, 22–24 August 2020; IEEE: Piscataway, NJ, USA, 2020; pp. 2715–2720. [Google Scholar]
- Niu, Y.; Ban, H.; Zhang, H.; Gong, W.; Yu, F. Nonsingular Terminal Sliding Mode Based Finite-Time Dynamic Surface Control for a Quadrotor UAV. Algorithms 2021, 14, 315. [Google Scholar] [CrossRef]
- Lin, X.; Wang, Y.; Liu, Y. Neural-network-based robust terminal sliding-mode control of quadrotor. Asian J. Control 2022, 24, 427–438. [Google Scholar] [CrossRef]
- Huang, T.; Li, B.; Shah, A.; Qin, N.; Huang, D. Fuzzy sliding mode control for a quadrotor UAV. In Proceedings of the 2019 IEEE 8th Data Driven Control and Learning Systems Conference (DDCLS), Dali, China, 24–27 May 2019; IEEE: Piscataway, NJ, USA, 2019; pp. 672–677. [Google Scholar]
- Xiao, H.; Zhao, D.; Gao, S.; Spurgeon, S.K. Sliding mode predictive control: A survey. Annu. Rev. Control 2022, 54, 148–166. [Google Scholar] [CrossRef]
- Villa, D.K.; Brandao, A.S.; Sarcinelli-Filho, M. A survey on load transportation using multirotor UAVs. J. Intell. Robot. Syst. 2020, 98, 267–296. [Google Scholar] [CrossRef]
- Tian, B.; Cui, J.; Lu, H.; Liu, L.; Zong, Q. Attitude control of UAVs based on event-triggered supertwisting algorithm. IEEE Trans. Ind. Inform. 2020, 17, 1029–1038. [Google Scholar] [CrossRef]
- Caballero-Martin, D.; Lopez-Guede, J.M.; Estevez, J.; Gra na, M. Artificial Intelligence Applied to Drone Control: A State of the Art. Drones 2024, 8, 296. [Google Scholar] [CrossRef]











| References | Contributions |
|---|---|
| [1] | Presents system configuration, collision avoidance algorithm, and fault tolerant control. |
| [3] | Provides a broad
perspective on the status of the landing control problem and controller design. |
| [4] | Dynamic analysis and strategies. |
| [5] | Presents navigation algorithms and artificial intelligence technologies with UAV surveillance as well as the challenges of operating in complex environments. |
| [6] | Discusses the advantages, disadvantages, application challenges, and notable outcomes of each path-planning algorithm. |
| [7] | Addresses regulatory hurdles, hover time limitations, 3D reconstruction accuracy, and potential integration with technologies like UAV swarms. |
| [8] | Presents a method for sugarcane monitoring and management to improve yield and quality. |
| [9] | Deploys drones in mass disasters to empower and inspire possible future work. |
| [10] | Presents sensing platforms and algorithms as gas concentration mappings, source localization, and flux estimations. |
| [11] | UAV-based imagery, estimation of biomass, monitoring crop plant health and stress, detects pest or pathogen infestations. |
| [12] | Presents localization and navigation techniques. |
| [13] | Dynamic model, configuration, and design analysis, |
| [14] | Presents the key challenges, including charging challenges, collision avoidance, swarming challenges, networking, and security-related challenges. |
| [17] | Discusses drawbacks of classic physic-based dynamic modeling, control techniques, and challenges to augment or replace classic techniques with data-driven approaches. |
| [18] | Focuses on UAV autonomous features, network resource management, channel access, routing protocols, security, and privacy management. |
| [19] | Explores potential area communication, artificial intelligence, remote sensing, miniaturization, swarming, and cooperative control. |
| [20] | Explores UAV-based systems for traffic monitoring and management. |
| References | Contributions |
|---|---|
| [31] | Presents a brief overview of different control strategies, |
| [32] | Presents different linear and nonlinear control strategies, |
| [33] | Discusses control-oriented and geometric algorithms for the path following of UAVs. |
| [34] | Discusses real-time aspects of drone control as well as possible implementation of real-time flight control systems. |
| [35] | Discusses control strategies and details about simultaneous localization and mapping algorithms. |
| [36] | Comparative study of the control strategies (PID, LQR, MPC, SMC, FL) for attitude stabilization with simulations. |
| [37] | UAV architectures and different control strategies. |
| [38] | Presents different control strategies. |
| [39] | Presents a comprehensive analysis of control algorithms for quadrotor trajectory tracking. |
| [15] | Presents various robust attitude control strategies. |
| [16] | Brief discusses different linear and nonlinear control strategies. |
| [39] | Presents control strategies and challenges for rotorcraft. |
| [40] | Presents a detailed discussion on PID controllers for quadcopter UAVs. |
| Control Scheme | Advantages | Disadvantages |
|---|---|---|
| Classical SMC | Simple, easy to implement | Chattering phenomena, discontinuous control |
| ST-SMC | Reduced chattering, continuous control | Complex design |
| TSMC | Finite-time stability | Singularity, nonlinear sliding surface design |
| ISMC | Sensitive to disturbance from initial state | Design of nominal control and switching control |
| Adaptive SMC | Relaxation of switching gain based on the bound of disturbance | Judicial choice of the adaptive parameter, extra computation |
| Event-triggered SMC | Minimal usage of resources | Extra hardware |
| NN SMC | Adaptability on the control gain, disturbance | Consumes more power-complex computations |
| Backstepping SMC | Improves tracking performance | The design of the SMC and backstepping control is more complex |
| Approach | Ref. | Year | Method | Disturbances | Validation |
|---|---|---|---|---|---|
| SMC | [81] [93] [99] [82] | 2021 2022 2012 2018 | C C Fuzzy C | M-WG-E M-E WN W | RS S S RS |
| ST-SMC | [83] [94] [98] | 2022 2021 2018 | Backstepping multivariable ESO | wind-gust-E WG WG-AF | RS S RS |
| TSMC | [75] [79] [92] [88] [100] [90] [84] [86] | 2020 2022 2022 2021 2018 2021 2019 2023 | A-PP A-recursive Fast-DO ESO-NN-NS A-NS A-NS Adaptive NS TSMC | E E E MU-E WG E WG-E E | S RS S S RS S RS RS |
| Advance SMC | [80] [91] [85] [96] [87] [97] | 2021 2021 2021 2024 2024 2023 | Iterative learning FESO-NS USDE H B-NS-I A | MU E E E W-E W-E | RS S RS S RS RS |
| Approach | Ref. | Year | Method | Disturbances | Validation |
|---|---|---|---|---|---|
| SMC | [150] [151] [155] [142] [145] [101] [114] [102] [103] | 2020 2020 2021 2022 2022 2024 2014 2018 2012 | C C C C C C second C C-O | I-E E M-E E E W-E E W-E WG | S S RS S S RS S RS S |
| ST-SMC | [110] [74] [111] [109] [112] [115] | 2023 2012 2022 2020 2022 2016 | T - T FO-Order B ST | E AM-AF-M’ MU,E M-MI-E MU-E E | S S S S S S |
| TSMC | [126] [116] [127] [73] [154] [128] [117] [118] [69] [89] [125] [132] [133] [134] [164] [120] [129] [107] [42] [108] [119] [130] [95] [131] [165] [122] [124] | 2018 2020 2020 2020 2022 2016 2021 2021 2021 2020 2021 2014 2017 2014 2019 2022 2022 2018 2021 2019 2020 2020 2020 2021 2021 2024 2024 | NS B-Fast A-IB Fast DO-NS - Model Free A-I A-NS A-FO-NS SMO-NS A-ST-NS - Global Fast - I A-NS DO-NS SMO A-Fast Fast-ST A-DO- NN NS Fuzzy-NS A-Fuzzy A-NS A-NT NT | M-I-E E AM-GM-E E MU-E E E E M-MI-E E E E AM-AF-E E E E E MU-WG-E WG-E E MU-E E E E WGN E E | S S S S RS S S S S S S S S S S S S RS RS RS S S S RS S S S |
| Approach | Ref. | Year | Method | Disturbances | Validation |
|---|---|---|---|---|---|
| Advance SMC | [146] [166] [56] [161] [57] [147] [148] [123] [113] [162] [106] [149] [140] [163] [105] [104] [157] [143] [141] [144] [121] [136] [137] [138] [152] [68] [153] [135] [158] [167] [139] [168] [159] [160] | 2024 2024 2016 2019 2023 2023 2024 2024 2024 2023 2016 2018 2019 2012 2015 2015 2021 2018 2021 2020 2018 2020 2020 2020 2021 2022 2018 2020 2019 2018 2014 2020 2019 2019 | A-B A- Recursive A-NN-I A-NN B B-FO A-B-ET-FO A-PP-R-NS NN-ST-NT B-NN D B FO-B FO C-II A A-Int-NN B-DO A-DO A Int FO A A-FO Adaptive-PID ET-FO A B A-NN A B-Int APF-NN Adaptive-fuzzy NN | E E AF-M-MU MU-E E E MU-E E E A W-E W-E E A E E MU E E M-E E E E WG MU-WG-E E MU WG E E WD-E AF-E E WD-E | RS S S S S SITL S RS S S S RS S S HIL RS S S S S S S S S S S S RS S S S S S S |
| Approach | Ref. | Year | Method | Disturbances | Validation |
|---|---|---|---|---|---|
| SMC | [170] [169] [172] [171] [180] | 2022 2021 2020 2027 2017 | C | M-E I-E Mo-E E E | S S S S S |
| ST-SMC | [182] [183] [174] | 2019 2020 2019 | DO Adaptive DO | E E E E | S S S S |
| TSMC | [184] [185] [186] | 2020 2021 2022 | DO NS NN | E MU-E E | S S RS |
| Adaptive SMC | [187] [181] | 2019 2024 | Fuzzy B-NS | Absent E | S S |
| Model parameters | Nm, Nm Nm, kg, |
| SMC | , , , , . , , , , , |
| ST-SMC | , , , and |
| AST-SMC | , |
| TSMC | , , , , and . |
Disclaimer/Publisher’s Note: The statements, opinions and data contained in all publications are solely those of the individual author(s) and contributor(s) and not of MDPI and/or the editor(s). MDPI and/or the editor(s) disclaim responsibility for any injury to people or property resulting from any ideas, methods, instructions or products referred to in the content. |
© 2025 by the authors. Licensee MDPI, Basel, Switzerland. This article is an open access article distributed under the terms and conditions of the Creative Commons Attribution (CC BY) license (https://creativecommons.org/licenses/by/4.0/).
Share and Cite
Yesmin, A.; Sinha, A. Sliding Mode Controller for Quadcopter UAVs: A Comprehensive Survey. Drones 2025, 9, 625. https://doi.org/10.3390/drones9090625
Yesmin A, Sinha A. Sliding Mode Controller for Quadcopter UAVs: A Comprehensive Survey. Drones. 2025; 9(9):625. https://doi.org/10.3390/drones9090625
Chicago/Turabian StyleYesmin, Asifa, and Arpita Sinha. 2025. "Sliding Mode Controller for Quadcopter UAVs: A Comprehensive Survey" Drones 9, no. 9: 625. https://doi.org/10.3390/drones9090625
APA StyleYesmin, A., & Sinha, A. (2025). Sliding Mode Controller for Quadcopter UAVs: A Comprehensive Survey. Drones, 9(9), 625. https://doi.org/10.3390/drones9090625
