Practical Implementation of the Backstepping Sliding Mode Controller MPPT for a PV-Storage Application
Abstract
1. Introduction
2. Modelling of the PV System
2.1. Modelling of PV Module
2.2. Modelling of the DC–DC Boost Converter
3. Controller Design and Stability Analysis
3.1. Adaptive P&O–FLC
3.2. Observer Design
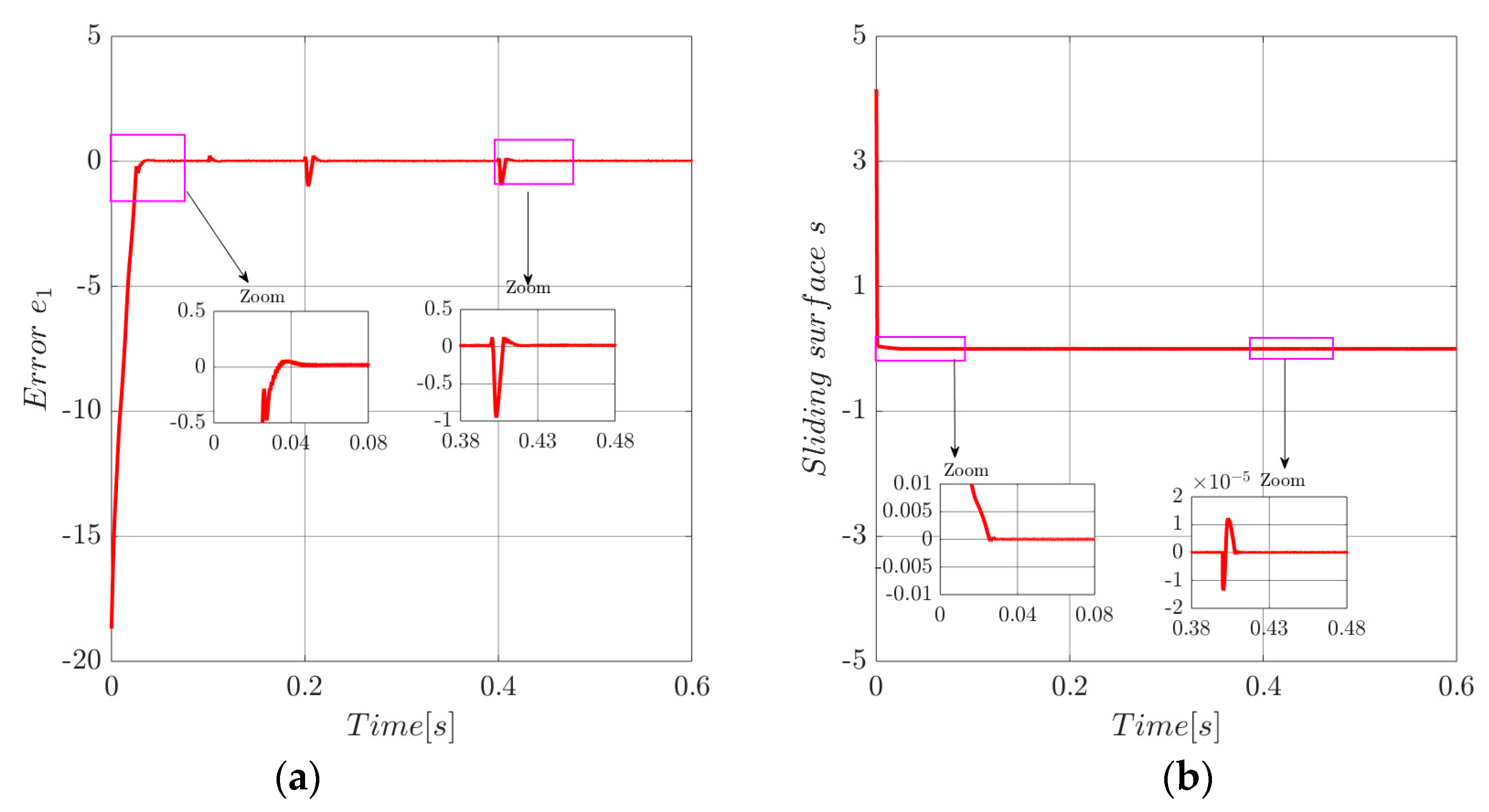
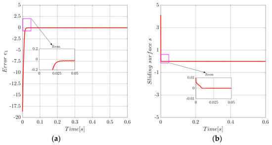
3.3. Backstepping Sliding Mode Controller Design
3.4. Stability Analysis
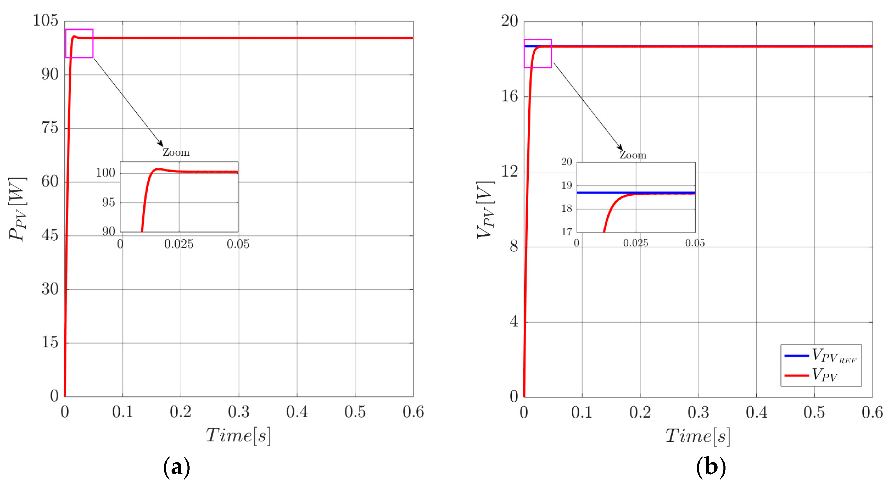
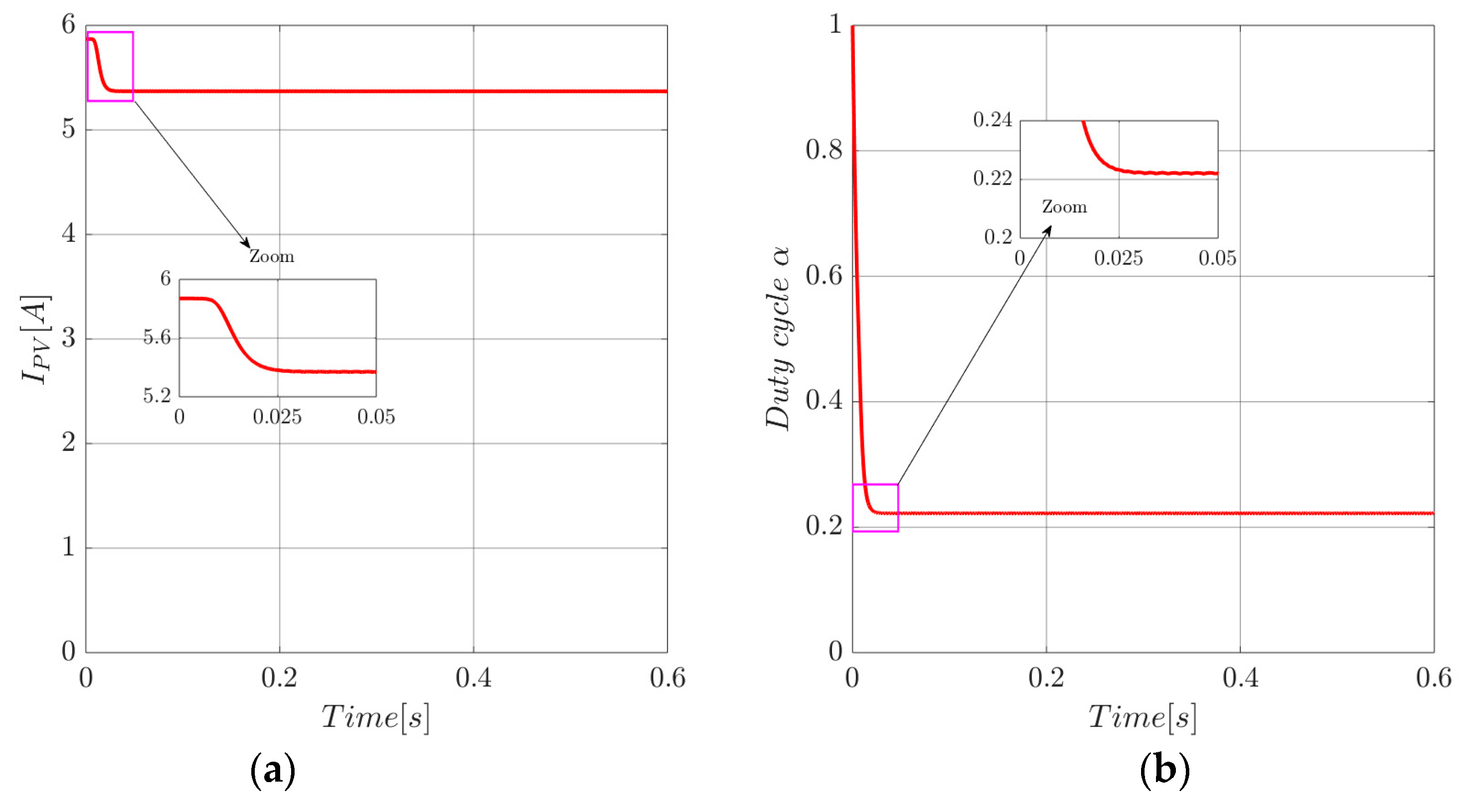
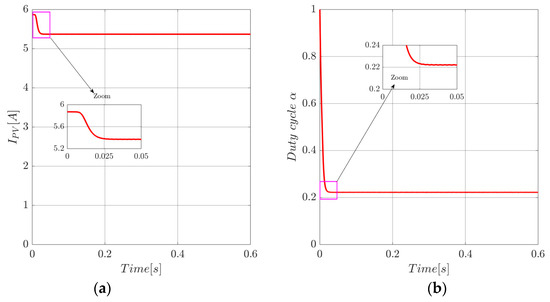
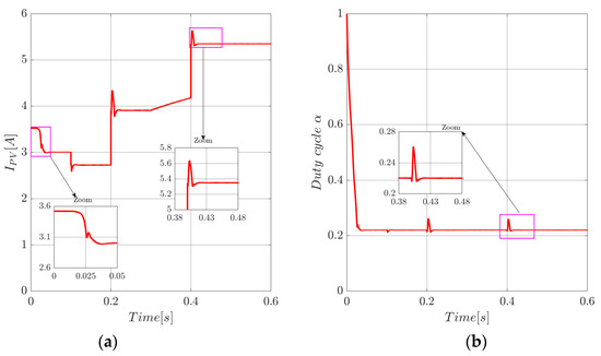
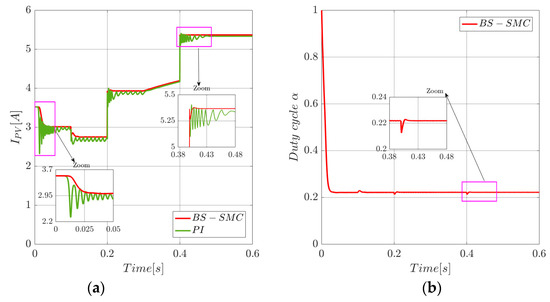
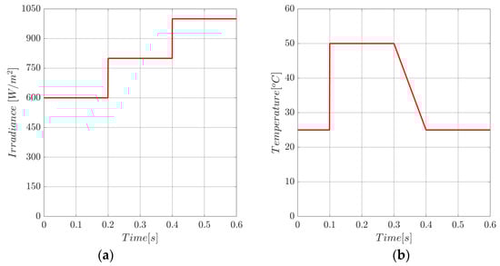
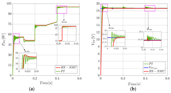
4. Simulation Results
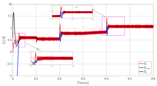
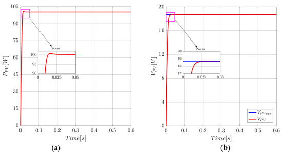
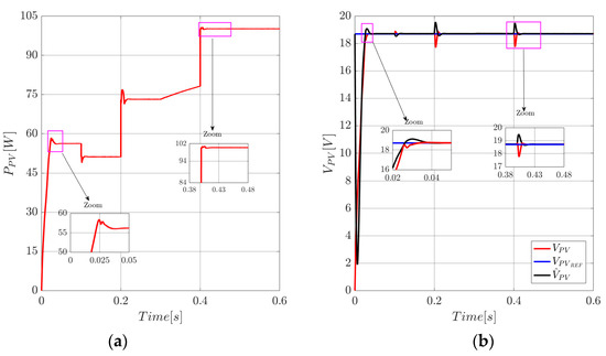
5. Experimental Results and Discussion
6. Conclusions
Author Contributions
Funding
Conflicts of Interest
References
- Zaouche, F.; Rekioua, D.; Gaubert, J.-P.; Mokrani, Z. Supervision and control strategy for photovoltaic generators with battery storage. Int. J. Hydrogen Energy 2017, 42, 19536–19555. [Google Scholar] [CrossRef]
- Mohapatra, A.; Nayak, B.; Das, P.; Mohanty, K.B. A review on MPPT techniques of PV system under partial shading condition. Renew. Sustain. Energy Rev. 2017, 80, 854–867. [Google Scholar] [CrossRef]
- Ali, N.; Armghan, H.; Ahmad, I.; Armghan, A.; Khan, S.; Arsalan, M. Backstepping based non-linear control for maximum power point tracking in photovoltaic system. Sol. Energy 2018, 159, 134–141. [Google Scholar]
- Azzollini, I.A.; Di Felice, V.; Fraboni, F.; Cavallucci, L.; Breschi, M.; Rosa, A.D.; Zini, G. Lead-Acid Battery Modeling Over Full State of Charge and Discharge Range. IEEE Trans. Power Syst. 2018, 33, 6422–6429. [Google Scholar] [CrossRef]
- Spanos, C.; Turney, D.E.; Fthenakis, V. Life-cycle analysis of flow-assisted nickel zinc-, manganese dioxide-, and valve-regulated lead-acid batteries designed for demand-charge reduction. Renew. Sustain. Energy Rev. 2015, 43, 478–494. [Google Scholar] [CrossRef]
- Rezkallah, M.; Hamadi, A.; Chandra, A.; Singh, B.; Hamadi, A. Design and Implementation of Active Power Control With Improved P&O Method for Wind-PV-Battery-Based Standalone Generation System. IEEE Trans. Ind. Electron. 2018, 65, 5590–5600. [Google Scholar]
- Kihal, A.; Krim, F.; Laib, A.; Talbi, B.; Afghoula, H. An improved MPPT scheme employing adaptive integral derivative sliding mode control for photovoltaic systems under fast irradiation changes. ISA Trans. 2018, 87, 297–306. [Google Scholar] [CrossRef]
- Zakzouk, N.E.; Williams, B.W.; Helal, A.A.; Elsaharty, M.A.; Abdelsalam, A.K. Improved performance low-cost incremental conductance PV MPPT technique. IET Renew. Power Gener. 2016, 10, 561–574. [Google Scholar] [CrossRef]
- Bounechba, H.; Bouzid, A.; Snani, H.; Lashab, A. Real time simulation of MPPT algorithms for PV energy system. Int. J. Electr. Power Energy Syst. 2016, 83, 67–78. [Google Scholar] [CrossRef]
- Koohi-Kamali, S.; Rahim, N.; Mokhlis, H. Smart power management algorithm in microgrid consisting of photovoltaic, diesel, and battery storage plants considering variations in sunlight, temperature, and load. Energy Convers. Manag. 2014, 84, 562–582. [Google Scholar] [CrossRef]
- Messalti, S.; Harrag, A.; Loukriz, A. A new variable step size neural networks MPPT controller: Review, simulation and hardware implementation. Renew. Sustain. Energy Rev. 2017, 68, 221–233. [Google Scholar] [CrossRef]
- Mhamed, F.; Mohamed Larbi, E.; Smail, Z. Hardware implementation of the fuzzy logic MPPT in an Arduino card using a Simulink Support Package for photovoltaic application. IET Renew. Power Gener. 2018, 13, 510–518. [Google Scholar]
- Reddy, K.J.; Sudhakar, N. ANFIS-MPPT control algorithm for a PEMFC system used in electric vehicle applications. Int. J. Hydrogen Energy 2019, 44, 15355–15369. [Google Scholar] [CrossRef]
- Shah, N.; Rajagopalan, C. Experimental evaluation of a partially shaded photovoltaic system with a fuzzy logic-based peak power tracking control strategy. IET Renew. Power Gener. 2016, 10, 98–107. [Google Scholar] [CrossRef]
- Farajdadian, S.; Hosseini, S.H. Design of an optimal fuzzy controller to obtain maximum power in solar power generation system. Sol. Energy 2019, 182, 161–178. [Google Scholar] [CrossRef]
- Ahmad Khateb, M.N. Fuzzy logic controller based sepic converter for maximum power point tracking. IEEE Trans. Ind. Appl. 2016, 50, 2349–2358. [Google Scholar] [CrossRef]
- El Khazane, J.; Tissir, E.H. Achievement of MPPT by finite time convergence sliding mode control for photovoltaic pumping system. Sol. Energy 2018, 166, 13–20. [Google Scholar] [CrossRef]
- Ya-Ting, L.; Chian-Song, C.; Tse-Wei, C. Maximum power point tracking of grid-tied photovoltaic power systems. In Proceedings of the 2014 International Power Electronics Conference, Hiroshima, Japan, 18–21 May 2014; pp. 440–444. [Google Scholar]
- Yatimi, H.; Aroudam, E. Assessment and control of a photovoltaic energy storage system based on the robust sliding mode MPPT controller. Sol. Energy 2016, 139, 557–568. [Google Scholar] [CrossRef]
- Yasin, A.R.; Ashraf, M.; Bhatti, A.I. A Novel Filter Extracted Equivalent Control Based Fixed Frequency Sliding Mode Approach for Power Electronic Converters. Energies 2019, 12, 853. [Google Scholar] [CrossRef]
- Yang, B.; Yu, T.; Shu, H.; Zhu, D.; An, N.; Sang, Y.; Jiang, L. Perturbation observer based fractional-order sliding-mode controller for MPPT of grid-connected PV inverters: Design and real-time implementation. Control Eng. Pract. 2018, 79, 105–125. [Google Scholar] [CrossRef]
- Keshari, K.; Neeli, S.; Vijayakumar, K. Design of a sliding-mode-controlled dc-dc converter for MPPT in grid-connected PV System. In Proceedings of the 2017 IEEE International Conference on Electrical, Instrumentation and Communication Engineering (ICEICE), Karur, India, 27–28 April 2017; pp. 1–8. [Google Scholar]
- Pradhan, R.; Subudhi, B. Double Integral Sliding Mode MPPT Control of a Photovoltaic System. IEEE Trans. Control Syst. Technol. 2016, 24, 1. [Google Scholar] [CrossRef]
- Belkaid, A.; Gaubert, J.-P.; Gherbi, A. Design and implementation of a high-performance technique for tracking PV peak power. IET Renew. Power Gener. 2017, 11, 92–99. [Google Scholar] [CrossRef]
- Cortajarena, J.A.; Barambones, O.; Alkorta, P.; De Marcos, J. Sliding mode control of grid-tied single-phase inverter in a photovoltaic MPPT application. Sol. Energy 2017, 155, 793–804. [Google Scholar] [CrossRef]
- Montoya, D.G.; Ramos-Paja, C.A.; Giral, R.; Ramos, C. Improved design of sliding mode controllers based on the requirements of MPPT techniques. IEEE Trans. Power Electron. 2016, 31, 1. [Google Scholar] [CrossRef]
- Dahech, K.; Allouche, M.; Damak, T.; Tadeo, F. Backstepping sliding mode control for maximum power point tracking of a photovoltaic system. Electr. Power Syst. Res. 2017, 143, 182–188. [Google Scholar] [CrossRef]
- Das, D.; Madichetty, S.; Singh, B.; Mishra, S. Luenberger Observer Based Current Estimated Boost Converter for PV Maximum Power Extraction-A Current Sensorless Approach. IEEE J. Photovolt. 2019, 9, 278–286. [Google Scholar] [CrossRef]
- Kumari, S. Decentralized SoC based Droop with Sliding Mode Current Controller for DC Microgrid. In Proceedings of the 2018 5th IEEE Uttar Pradesh Section International Conference on Electrical, Electronics and Computer Engineering (UPCON), Gorakhpur, India, 2–4 November 2018. [Google Scholar]
- Chen, F.; Jiang, R.; Zhang, K.; Jiang, B.; Tao, G. Robust Backstepping Sliding Mode Control and Observer-based Fault Estimation for a Quadrotor UAV. IEEE Trans. Ind. Electron. 2016, 63, 5044–5056. [Google Scholar] [CrossRef]
- Arsalan, M.; Iftikhar, R.; Ahmad, I.; Hasan, A.; Sabahat, K.; Javeria, A. MPPT for photovoltaic system using nonlinear backstepping controller with integral action. Sol. Energy 2018, 170, 192–200. [Google Scholar] [CrossRef]
- Kchaou, A.; Naamane, A.; Koubaa, Y.; M’Sirdi, N. Second order sliding mode-based MPPT control for photovoltaic applications. Sol. Energy 2017, 155, 758–769. [Google Scholar] [CrossRef]
- Bjaoui, M.; Khiari, B.; Benadli, R.; Memni, M.; Sellami, A. Maximum Power Point Tracking of a photovoltaic pumping system with PSO controller design. In Proceedings of the 4th International Conference on Green Energy and Environmental Engineering (GEEE), Sousse, Tunisia, 22–24 April 2017. [Google Scholar]
- Abu Eldahab, Y.E.; Saad, N.H.; Zekry, A. Enhancing the design of battery charging controllers for photovoltaic systems. Renew. Sustain. Energy Rev. 2016, 58, 646–655. [Google Scholar] [CrossRef]
- Viloria-Porto, J.; Robles-Algarín, C.; Restrepo-Leal, D. A Novel Approach for an MPPT Controller Based on the ADALINE Network Trained with the RTRL Algorithm. Energies 2018, 11, 3407. [Google Scholar] [CrossRef]
- Zainuri, M.A.A.M.; Rahim, N.A.; Soh, A.C.; Radzi, M.A.M. Development of adaptive perturb and observe-fuzzy control maximum power point tracking for photovoltaic boost dc–dc converter. IET Renew. Power Gener. 2014, 8, 183–194. [Google Scholar] [CrossRef]
- Yilmaz, U.; Kircay, A.; Borek+ci, S. PV system fuzzy logic MPPT method and PI control as a charge controller. Renew. Sustain. Energy Rev. 2018, 81, 994–1001. [Google Scholar] [CrossRef]
- Cho, H.; Yoo, S.J.; Kwak, S. State observer based sensor less control using Lyapunov’s method for boost converters. IET Power Electron. 2015, 8, 11–19. [Google Scholar] [CrossRef]
- Cimini, G.; Ippoliti, G.; Orlando, G.; Longhi, S.; Miceli, R. A unified observer for robust sensorless control of DC–DC converters. Control Eng. Pract. 2017, 61, 21–27. [Google Scholar] [CrossRef]
- Anto, E.K.; Asumadu, J.A.; Okyere, P.Y. PID control for improving P&O-MPPT performance of a grid-connected solar PV system with Ziegler-Nichols tuning method. In Proceedings of the 2016 IEEE 11th Conference on Industrial Electronics and Applications (ICIEA), Hefei, China, 5–7 June 2016; pp. 1847–1852. [Google Scholar]

























| Parameter | Name | Value |
|---|---|---|
| Maximum Power | 100 Wp | |
| Voltage at maximum power | 18.7 V | |
| Current at maximum power | 5.39 A | |
| Open circuit voltage | 21.6 V | |
| Short circuit current | 5.87 A | |
| Temperature coefficient of ISC | 1.73 mA/°C | |
| Number of cells per module | 60 |
| Parameter | Name | Value |
|---|---|---|
| Input capacitor | 2200 μF | |
| Inductor | 5 mH | |
| Output capacitor | 4700 μF | |
| MOSFET switching frequency | 25 kHz | |
| sliding surface | 10 | |
| sliding surface | 1 | |
| Gain of observer | 60 | |
| Gain of observer | 20 |
| Parameter | Name | Value |
|---|---|---|
| Nominal capacity | 390 Ah | |
| Internal resistor | 0.64*12(7.68 mΩ) | |
| Nominal voltage | 12*2 V(24 V) |
| Controller | Power Overshoot (%) | Power Ripple (W) | Response Time (ms) | Power Extraction Efficiency (%) |
|---|---|---|---|---|
| PI | 1.68 | 6.1575 | 47.775 | 98 |
| BS-SMC | 1.6 | 2.8825 | 10.95 | 99.4 |
| Algorithm | Power Overshoot (%) | Power Ripple (W) | Response Time (ms) | Power Extraction Efficiency (%) |
|---|---|---|---|---|
| BS-SMC | 3.44 | 2.745 | 9.75 | 99.79 |
| Power Overshoot | Power Ripple | |
|---|---|---|
| PV power | 1.5% | 2.2 W |
| PV voltage | 0.7% | 0.32 V |
© 2019 by the authors. Licensee MDPI, Basel, Switzerland. This article is an open access article distributed under the terms and conditions of the Creative Commons Attribution (CC BY) license (http://creativecommons.org/licenses/by/4.0/).
Share and Cite
Bjaoui, M.; Khiari, B.; Benadli, R.; Memni, M.; Sellami, A. Practical Implementation of the Backstepping Sliding Mode Controller MPPT for a PV-Storage Application. Energies 2019, 12, 3539. https://doi.org/10.3390/en12183539
Bjaoui M, Khiari B, Benadli R, Memni M, Sellami A. Practical Implementation of the Backstepping Sliding Mode Controller MPPT for a PV-Storage Application. Energies. 2019; 12(18):3539. https://doi.org/10.3390/en12183539
Chicago/Turabian StyleBjaoui, Marwen, Brahim Khiari, Ridha Benadli, Mouad Memni, and Anis Sellami. 2019. "Practical Implementation of the Backstepping Sliding Mode Controller MPPT for a PV-Storage Application" Energies 12, no. 18: 3539. https://doi.org/10.3390/en12183539
APA StyleBjaoui, M., Khiari, B., Benadli, R., Memni, M., & Sellami, A. (2019). Practical Implementation of the Backstepping Sliding Mode Controller MPPT for a PV-Storage Application. Energies, 12(18), 3539. https://doi.org/10.3390/en12183539
