Sign in to use this feature.

Years

Between: -

Subjects

remove_circle_outline
remove_circle_outline
remove_circle_outline
remove_circle_outline
remove_circle_outline
remove_circle_outline
remove_circle_outline
remove_circle_outline
remove_circle_outline

Journals

remove_circle_outline
remove_circle_outline
remove_circle_outline
remove_circle_outline

Article Types

Countries / Regions

remove_circle_outline
remove_circle_outline
remove_circle_outline
remove_circle_outline

Search Results (504)

Search Parameters:
Keywords = active vibration control system

Order results
Result details
Results per page
Select all
Export citation of selected articles as:
15 pages, 2341 KB  
Article
A Current-Frequency Dependent Hysteresis Model for an Entangled Metallic Wire Mesh–Magnetorheological (EMWM-MR) Composite Damper: Characterization and Inertial Flow Dominated Dissipation Mechanism
by Rong Liu, Zhilin Rao and Yiwan Wu
Appl. Sci. 2026, 16(7), 3367; https://doi.org/10.3390/app16073367 (registering DOI) - 31 Mar 2026
Abstract
Accurate modeling of smart composite dampers is crucial for simulation and model-based control. This study focuses on the constitutive modeling of a novel damper that synergistically combines an Entangled Metallic Wire Mesh (EMWM) with a magnetorheological (MR) fluid. Unlike traditional MR dampers, the [...] Read more.
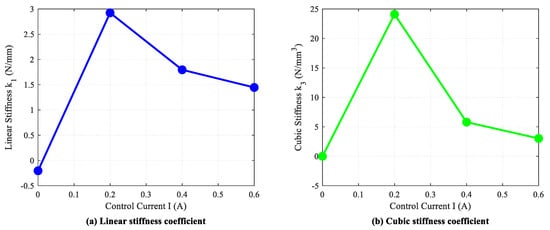
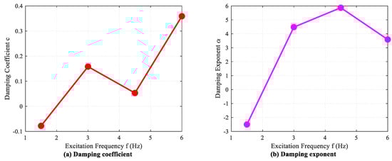
Accurate modeling of smart composite dampers is crucial for simulation and model-based control. This study focuses on the constitutive modeling of a novel damper that synergistically combines an Entangled Metallic Wire Mesh (EMWM) with a magnetorheological (MR) fluid. Unlike traditional MR dampers, the interaction between the field-responsive MR fluid and the rate-sensitive, deformable EMWM matrix introduces strong coupled current–frequency dependence. To capture this essential characteristic, a control-oriented, bivariate (current–frequency) hysteresis model is formulated, wherein all parameters are explicit, continuous functions of both the control current (I) and excitation frequency (f). A systematic two-step identification method is employed to derive these functions from dynamic tests. A key finding is that the identified damping exponent (α) consistently exceeds unity across the tested operational range. This quantitatively indicates a transition from viscous-dominated to inertial-flow-dominated dissipation within the EMWM matrix, a distinctive mechanism attributed to non-Darcian flow in its porous structure. The fully parameterized model demonstrates high fidelity (R2 > 0.99) within the characterized low-frequency, small-amplitude regime and shows reliable predictive capability for interpolated conditions. The presented model serves as a ready-to-use constitutive tool for the simulation and design of low-frequency vibration isolation systems utilizing EMWM-MR composites, and the revealed inertial flow mechanism provides fundamental insight for the development of next-generation adaptive dampers. Full article
Show Figures

Figure 1

27 pages, 6483 KB  
Article
Microcontroller-Based PPF Control of a CFRP–Honeycomb Composite Panel
by Antonio Zippo, Moslem Molaie, Erika Borellini and Francesco Pellicano
Symmetry 2026, 18(4), 588; https://doi.org/10.3390/sym18040588 - 30 Mar 2026
Abstract
In this study, an active vibration control (AVC) strategy is effectively used on a system made of a honeycomb polymer–paper core and carbon fiber-reinforced polymer (CFRP) plates. A cost-effective and practical solution based on an AVC system has been developed and tested using [...] Read more.
In this study, an active vibration control (AVC) strategy is effectively used on a system made of a honeycomb polymer–paper core and carbon fiber-reinforced polymer (CFRP) plates. A cost-effective and practical solution based on an AVC system has been developed and tested using a microcontroller unit (MCU) from Texas Instruments. The control system is studied by applying out-of-plane disturbances to the composite panel via an electrodynamic shaker, by exciting the identified mode shapes obtained through experimental modal analysis, i.e., impact tests. The actuator chosen for the AVC system is a Macro Fiber Composite (MFC) patch. Multiple analog signal processing circuits were developed to scale and shift the signal at the input and output of the MCU. The proposed control algorithm is based on a positive position feedback (PPF) technique. Modal analysis was performed to identify the natural frequencies and mode shapes of the structure, which are essential for the design and tuning of the modal-based PPF controller. This analysis also enabled optimal sensor and actuator placement, ensuring effective targeting and control of the dominant vibration modes. Then, a series of tests were performed using pure sine excitations at frequencies of interest, close to the 2nd and 8th mode at 25.13 Hz and 129 Hz, respectively. The results of the experiments revealed a velocity attenuation of 55.8% to 76.9% and a Power Spectral Density (PSD) attenuation of 5.8 dB to 12.8 dB, depending on the mode under study. Owing to the size and mass properties of the Macro Fiber Composite (MFC) patches, the control system is very much suitable for automobile and aerospace applications. Full article
(This article belongs to the Special Issue Symmetry Breaking in Nonlinear Mechanics)
Show Figures

Figure 1

27 pages, 12956 KB  
Article
Research on Magnetorheological Semi-Active Suspension Control Using RBF Neural Network-Tuned Active Disturbance Rejection Control
by Mei Li, Shuaihang Liu, Shaobo Zhang and Xiaoxi Hu
Actuators 2026, 15(4), 184; https://doi.org/10.3390/act15040184 - 27 Mar 2026
Viewed by 175
Abstract
Magnetorheological (MR) semi-active suspensions offer clear advantages in improving ride comfort and handling stability, yet their engineering applications are often hindered by strong nonlinear hysteresis of the damper, the randomness of road excitations, and the reliance on manual tuning of controller parameters. To [...] Read more.
Magnetorheological (MR) semi-active suspensions offer clear advantages in improving ride comfort and handling stability, yet their engineering applications are often hindered by strong nonlinear hysteresis of the damper, the randomness of road excitations, and the reliance on manual tuning of controller parameters. To address these issues, this paper proposes an integrated framework of “experimental modeling–semi-active implementation–adaptive control.” First, characteristic tests of the MR damper are conducted, based on which a current-dependent Bouc–Wen forward model is established. Tianji’s Horse Racing Optimization (THRO) is then employed for parameter identification to reproduce the hysteresis behavior accurately. Second, a back propagation (BP) neural network-based inverse current model is developed to achieve rapid mapping from “desired damping force” to “driving current,” enabling semi-active actuation. Furthermore, a radial basis function (RBF) neural network is embedded into the active disturbance rejection control (ADRC) structure to estimate the system Jacobian online and to tune key extended state observer (ESO) gains in real time, forming the proposed RBF-ADRC strategy and thereby enhancing disturbance observation and compensation capability. Simulation results under pulse-road and Class-C random-road excitations show that, compared with the passive suspension, the proposed method reduces the root mean square error values of sprung-mass acceleration, suspension dynamic deflection, and tire dynamic load by 25.14%, 18.71%, and 11.61%, respectively, while also outperforming skyhook control and fixed-gain ADRC. Frequency-domain results further show stronger attenuation in the low-frequency band relevant to body vibration. Under pulse excitation, RBF-ADRC yields smaller peak and trough body accelerations and faster post-impact recovery. Under ±30% sprung-mass variations, it achieves the best worst-case and fluctuation-range robustness among the compared strategies and remains close to offline retuning. These results demonstrate that the proposed method improves both control performance and robustness while reducing the need for repeated manual calibration. Full article
(This article belongs to the Section Actuators for Surface Vehicles)
Show Figures

Figure 1

21 pages, 8266 KB  
Article
Proportional–Derivative Output Feedback Vibration Control with Antiresonance for Systems with Time Delay in Actuators
by José Mário Araújo, José Ricardo Bezerra de Araújo, Nelson José Bonfim Dantas and Carlos Eduardo Trabuco Dórea
Processes 2026, 14(7), 1065; https://doi.org/10.3390/pr14071065 - 26 Mar 2026
Viewed by 223
Abstract
Active vibration control is crucial for mitigating harmful resonant vibrations in structures subjected to harmonic loads. While antiresonant (zero-placement) methods are effective for this purpose, existing state-feedback solutions require full state measurement, and output-feedback approaches often prioritize resonance assignment over direct harmonic cancellation. [...] Read more.
Active vibration control is crucial for mitigating harmful resonant vibrations in structures subjected to harmonic loads. While antiresonant (zero-placement) methods are effective for this purpose, existing state-feedback solutions require full state measurement, and output-feedback approaches often prioritize resonance assignment over direct harmonic cancellation. This work bridges this gap by proposing a novel systematic design for a proportional–derivative (PD) output-feedback controller to achieve antiresonance for second-order linear systems with a time delay in the actuators. The method first computes a homogeneous gain solution. It then leverages the parametrization of all antiresonant solutions as a constraint within a genetic algorithm optimization. The algorithm optimizes both the stability margin, characterized by an Ms-disk criterion, and the number of encirclements of the critical point (1,0) in the complex plane, as assessed by the Generalized Nyquist Stability Criterion. The proposed approach provides a practical, optimized output-feedback strategy for precise rejection of harmonic disturbances, as demonstrated through a collection of numerical examples from real-world applications. The results confirm the method’s effectiveness in synthesizing stabilizing controllers that enforce antiresonance while ensuring robust stability margins. Full article
(This article belongs to the Special Issue Stability and Optimal Control of Linear Systems)
Show Figures

Figure 1

27 pages, 4520 KB  
Review
Damping–Positioning Mechanisms in Segmented Mirror Systems: Principle, Integrated Design and Control Methods
by Wuyang Wang, Qichang An and Xiaoxia Wu
Photonics 2026, 13(3), 288; https://doi.org/10.3390/photonics13030288 - 17 Mar 2026
Viewed by 330
Abstract
Segmented telescopes face significant challenges in achieving high segment positioning accuracy under complex disturbances, which directly impact observational sensitivity and resolution. Conventional rigid actuators with limited bandwidth (e.g., Keck ~20 Hz) struggle to maintain control stability. Novel dual-stage actuators combining coarse and fine [...] Read more.
Segmented telescopes face significant challenges in achieving high segment positioning accuracy under complex disturbances, which directly impact observational sensitivity and resolution. Conventional rigid actuators with limited bandwidth (e.g., Keck ~20 Hz) struggle to maintain control stability. Novel dual-stage actuators combining coarse and fine adjustment (e.g., voice coil motors) now achieve <8 nm precision over millimeter-level strokes. Moreover, their higher closed-loop bandwidth (e.g., TMT ~60 Hz) can ensure rapid settling without overshoot and robust suppression of high-frequency disturbances (e.g., pulsating wind and mechanical vibration). In parallel, system-level control strategies have been updated accordingly. Ground-based systems focus on real-time multimodal decoupling, while space-based systems emphasize non-contact vibration isolation and nested multi-loop control to achieve sub-arcsecond pointing stability. This review surveys the design and control strategies of damping–positioning mechanisms for segmented telescopes and discusses the key trade-offs among critical performance metrics, including resolution, stroke, and load capacity. Particular attention is given to the disturbance-sensitivity analysis and active damping techniques (up to ~50% vibration reduction) implemented in the ELT “hard” actuator approach. Future directions include cross-scale collaborative control, smart material applications, and AI-based adaptive parameter optimization, which together provide a technical pathway toward high-precision imaging in next-generation highly segmented telescopes. Full article
Show Figures

Figure 1

20 pages, 4312 KB  
Article
Design and Analysis of a Compact Self-Tuning High-Voltage Controller for MFC
by Qiong Zhu, Qiang Zhang, Hongli Ji and Jinhao Qiu
Actuators 2026, 15(3), 169; https://doi.org/10.3390/act15030169 - 17 Mar 2026
Viewed by 194
Abstract
In aerospace applications, the vibration of aircraft structures results in a reduction in their fatigue life. Vibration-suppression technology utilizing macro fiber composite (MFC) materials constitutes a significant research direction. Aiming at the specific requirements of the MFC actuator operating in the asymmetric high-voltage [...] Read more.
In aerospace applications, the vibration of aircraft structures results in a reduction in their fatigue life. Vibration-suppression technology utilizing macro fiber composite (MFC) materials constitutes a significant research direction. Aiming at the specific requirements of the MFC actuator operating in the asymmetric high-voltage range of −500 V to 1500 V and the miniaturization of the drive system for aircraft, this study designs a compact self-tuning digital high-voltage controller which adopts a discontinuous conduction mode (DCM) flyback topology as the fundamental model for the switching power supply high-voltage controller, uses the STM32G431 chip as the main controller, and incorporates a Type-II digital compensator designed to enhance the system stability under constant parameters. A Backpropagation (BP) neural network is proposed to enable dynamic adjustment of the digital compensator control parameters, thereby achieving self-tuning, while also supporting program download and real-time data transmission. The high-voltage controller effectively addresses the size and weight constraints in vibration active control systems. Laboratory tests demonstrated its excellent transient response and robust load-driving capability. Vibration-suppression experiments on a high-aspect-ratio UAV wing achieved a 74% vibration attenuation rate, validating the effectiveness of the proposed high-voltage controller. Full article
(This article belongs to the Section Aerospace Actuators)
Show Figures

Figure 1

27 pages, 3634 KB  
Article
4-DOF Full-Speed Range Vibration Suppression of an Active–Passive Supported Flywheel Rotor Based on Inverse System Decoupling
by Mingming Hu, Yuan Zeng, Da Li, Hao Luo, Jingbo Wei and Kun Liu
Actuators 2026, 15(3), 157; https://doi.org/10.3390/act15030157 - 8 Mar 2026
Viewed by 203
Abstract
Flywheel energy storage systems exhibit superior performance in electric vehicle regenerative braking, railway traction power supply, and grid frequency regulation due to their high instantaneous power and fast dynamic response. However, systems supported by conventional mechanical bearings face severe radial structural coupling; unbalanced [...] Read more.
Flywheel energy storage systems exhibit superior performance in electric vehicle regenerative braking, railway traction power supply, and grid frequency regulation due to their high instantaneous power and fast dynamic response. However, systems supported by conventional mechanical bearings face severe radial structural coupling; unbalanced excitation and gyroscopic effects drastically amplify vibrations during critical speed traversal, undermining operational reliability and engineering scalability. To tackle this challenge, this paper proposes a full-speed vibration suppression scheme for active–passive supported flywheel energy storage systems integrated with a damping ring, combined with an inverse system decoupling controller to eliminate structural coupling, unbalance-induced vibration, and gyroscopic effects. A dynamic model of the integrated system is established using Lagrange’s equations, and four-degree of freedom decoupling expressions are derived to achieve complete radial decoupling. A speed-stage-based control strategy is further developed for full-speed adaptation. Comprehensive simulations validate the scheme’s decoupling performance, vibration suppression efficacy, and robustness. Results demonstrate that the proposed controller achieves full radial decoupling, reducing the average steady-state tracking error by 99.86%. The segmented control enables stable operation across 100–20,000 rpm and cuts critical speed resonance peaks by 81.23%. Compared with pure mechanical and magnetic bearing systems, the integrated active–passive support reduces resonance peaks by 94.72% and 42.25%, respectively. Under current perturbation and parameter variation, the scheme reduces the average steady-state error by 75.89% relative to the coupled system, confirming its strong engineering applicability. Full article
(This article belongs to the Special Issue Vibration Control Based on Intelligent Actuators and Sensors)
Show Figures

Figure 1

21 pages, 4170 KB  
Article
Real-Time Vibration Energy Prediction for Semi-Active Suspensions Using Inertial Sensors: A Physics-Guided Deep Learning Approach
by Jian Cheng, Fanhua Qin, Leyao Wang and Ruijuan Chi
Sensors 2026, 26(5), 1695; https://doi.org/10.3390/s26051695 - 7 Mar 2026
Viewed by 283
Abstract
Response latency and sensor noise are universal challenges in closed-loop control systems. In the context of semi-active suspensions, these issues also exist and manifest as critical bottlenecks. Due to the highly transient nature of road shocks, the inherent physical actuation delays of the [...] Read more.
Response latency and sensor noise are universal challenges in closed-loop control systems. In the context of semi-active suspensions, these issues also exist and manifest as critical bottlenecks. Due to the highly transient nature of road shocks, the inherent physical actuation delays of the hardware, combined with the phase lag introduced by traditional signal filtering, often cause the control response to significantly lag behind the physical excitation. To address this issue from a predictive perspective, this study proposes a Physics-Informed Gated Convolutional Neural Network (PI-GCNN) designed to predict future multi-modal energy evolution, thereby enabling feedforward control. Unlike traditional feedback mechanisms, the proposed framework employs the Continuous Wavelet Transform (CWT) to convert short-horizon inertial data into time–frequency scalograms, effectively isolating transient shock features from background vibrations. A novel physics-guided gating mechanism is embedded within the network architecture to regulate feature activation. This mechanism is trained using an asymmetric sparse physics loss, which combines L1 regularization with adaptive spectral consistency constraints to enforce noise suppression on flat roads while ensuring sensitivity to impacts. Extensive validation was conducted using high-fidelity heavy truck simulations and the public PVS 9 real-world dataset. The results confirm that the PI-GCNN achieves a predictive phase lead of approximately 100–200 ms over real-time baselines, creating a valuable actuation window for suspension dampers. Furthermore, the model demonstrates exceptional computational efficiency, with a parameter count of 0.10 M and a single-frame inference latency of 0.25 ms, making it highly suitable for deployment on resource-constrained automotive edge computing platforms. Full article
(This article belongs to the Section Physical Sensors)
Show Figures

Figure 1

22 pages, 2865 KB  
Article
Theoretical Analysis of IGAO-Fuzzy PID Fault-Tolerant Control and Performance Optimization for Electro-Hydraulic Active Suspensions Under Internal Leakage Faults
by Haiwu Zheng, Hao Xiong, Dingxuan Zhao, Yufei Zhao, Yinying Ren, Yao Xiao and Yi Han
Actuators 2026, 15(3), 149; https://doi.org/10.3390/act15030149 - 4 Mar 2026
Viewed by 266
Abstract
To address performance degradation and control instability in electro-hydraulic servo active suspension systems due to internal leakage faults arising from wear and aging of hydraulic components, this paper proposes an innovative fuzzy PID fault-tolerant controller based on the Improved Giant Armadillo Optimization (IGAO) [...] Read more.
To address performance degradation and control instability in electro-hydraulic servo active suspension systems due to internal leakage faults arising from wear and aging of hydraulic components, this paper proposes an innovative fuzzy PID fault-tolerant controller based on the Improved Giant Armadillo Optimization (IGAO) algorithm. Specifically, to overcome the limitations of the standard Giant Armadillo Optimization (GAO), which is prone to local optima and exhibits poor convergence performance when handling multi-constraint parameter optimization problems, this study introduces a nonlinear dynamic inertia weight mechanism and a random reflection strategy for out-of-bounds particles to improve the original algorithm’s performance. These enhancements significantly enhance its ability to balance global exploration and local exploitation. Furthermore, this research develops a comprehensive performance evaluation fitness function by quantifying key performance indicators such as body acceleration, suspension dynamic deflection, and tire dynamic load. A quarter-car model incorporating an internal leakage fault was established as a simulation validation platform to demonstrate the reliability of the proposed method. Simulation results indicate that under various road excitation conditions, the proposed IGAO algorithm can rapidly and stably converge to superior parameters for the fuzzy PID controller. Compared to the Particle Swarm Optimization (PSO) and standard GAO algorithm, the control system optimized by IGAO not only significantly more effectively suppresses body vibration and reduces shock amplitude but also exhibits stronger dynamic recovery performance and control robustness under varying degrees of internal leakage faults. This research provides a robust control approach for addressing internal parameter uncertainties in hydraulic systems and offers a new approach to theoretical modeling for enhancing the reliability of design and fault-tolerant control capabilities of active suspension systems. Full article
Show Figures

Figure 1

19 pages, 7614 KB  
Article
Numerical Simulation and Experimental Study of Influence Particles on Controlled Vibration Based on Acoustic Black Hole
by Chabi Christian Monsia, Hao Zan and Huabing Wen
Appl. Sci. 2026, 16(5), 2428; https://doi.org/10.3390/app16052428 - 3 Mar 2026
Viewed by 247
Abstract
Vibrations have long been a critical subject of investigation across engineering disciplines. With the expansion of major manufacturing sectors such as shipbuilding, automotive engineering, aerospace, and railway transport, the challenges associated with noise, environmental impact, and geotechnical stability have become increasingly complex. Mechanical [...] Read more.
Vibrations have long been a critical subject of investigation across engineering disciplines. With the expansion of major manufacturing sectors such as shipbuilding, automotive engineering, aerospace, and railway transport, the challenges associated with noise, environmental impact, and geotechnical stability have become increasingly complex. Mechanical systems inherently dissipate energy through vibration, and this dissipation can significantly influence structural performance, durability, and operational efficiency. Since the early foundational studies on vibration control in the 1980s, substantial progress has been made in developing innovative mitigation techniques. Among these, the acoustic black hole (ABH) concept has emerged as a promising passive method for reducing vibrational energy without adding significant mass. Over the years, researchers have further enhanced ABH structures by incorporating damping layers, which improve their ability to dissipate energy and control structural vibrations. More recently, scientific interest has shifted toward understanding the role of embedded or dispersed particles in vibration attenuation. Particle-based approaches have shown potential for improving energy dissipation mechanisms through micro-scale interactions, yet the underlying physical processes and their influence on vibration behavior remain active topics of research. In this study, we examine the influence of particles on vibration reduction through combined experimental and numerical investigations. The system is subjected to repeated excitation forces of 1 V, 2 V, and 3 V across frequency ranges of 10–1000 Hz and 10–2000 Hz. Two structural models, ABH-ABH and ABH, were considered, with particles embedded at the mid-plane of each configuration. Additionally, sinusoidal translational motion was analyzed at frequencies between 550 and 625 Hz, with a displacement velocity of 0.5 m/s, to determine the loss factor damping. The numerical results show consistent trends with experimental measurements, reinforcing the effectiveness of particle-enhanced ABH structures in vibration control. Full article
Show Figures

Figure 1

19 pages, 3127 KB  
Article
Strategies to Enhance Catalytic Efficiency of ZnO Thin Film Under Solar Light Irradiation
by Teodora Matei, Gabriel Andrisan, Ioana-Laura Velicu, Georgiana Bulai, Mihai Alexandru Ciolan, Felicia Gheorghiu, Marius Dobromir, Roxana Strungaru-Jijie and Vasile Tiron
Catalysts 2026, 16(3), 211; https://doi.org/10.3390/catal16030211 - 26 Feb 2026
Viewed by 520
Abstract
Given the increasing environmental degradation, this study investigates advanced zinc oxide (ZnO)-based materials for the mineralization of toxic compounds through the combined action of photo- and piezocatalysis. Two complementary strategies were employed to enhance catalytic efficiency. First, ZnO1−xNx thin films [...] Read more.
Given the increasing environmental degradation, this study investigates advanced zinc oxide (ZnO)-based materials for the mineralization of toxic compounds through the combined action of photo- and piezocatalysis. Two complementary strategies were employed to enhance catalytic efficiency. First, ZnO1−xNx thin films were deposited by reactive high-power impulse magnetron sputtering (R-HiPIMS) to reduce the band gap energy. Second, flower-like ZnO nanostructures were synthesized using the pulsed thermionic vacuum arc (p-TVA) technique to increase the specific surface area. Both systems were further modified by decoration with Ag2O nanoparticles to improve charge separation. The R-HiPIMS technique offers significant advantages in terms of precise control over processing parameters, enabling accurate tuning of film properties, including microstructure, chemical composition, and electronic structure. However, films produced via R-HiPIMS generally exhibit lower photo-piezocatalytic activity compared to nanostructured counterparts, primarily due to their comparatively reduced effective surface area and limited charge separation efficiency. In contrast, the p-TVA technique enables the synthesis of nanostructured thin films with substantially enhanced photo-piezocatalytic performance. This improvement is attributed to the increased effective surface area and the promotion of more efficient electron–hole pair separation. The materials were comprehensively characterized in terms of optical properties (UV–Vis spectroscopy), chemical composition and bonding (XPS), crystalline structure (XRD), surface morphology (FE-SEM), and photo-piezocatalytic performance. Catalytic activity was evaluated via the degradation of methylene blue (MB) under visible light irradiation and mechanical vibrations. Nitrogen incorporation in ZnO1−xNx thin films led to an increase in photocatalytic efficiency from 20% to 28.7%, while the simultaneous application of light and mechanical stimulation increased efficiency to approximately 50%. Under identical irradiation conditions, Ag2O-decorated ZnO and Ag2O-decorated ZnO1−xNx exhibited photo-degradation reaction rate constants up to 65% higher than bare counterparts, attributed to reduced electron–hole recombination. ZnO nanostructures achieved degradation efficiencies of 59%, rising to 88.3% with Ag2O decoration under solar illumination for 120 min. When combined with mechanical vibrations, after 60 min, the degradation efficiencies reached 93% for ZnO and 98% for Ag2O/ZnO systems. A photodegradation mechanism of Ag2O NPs-decorated ZnO heterostructures was proposed. Full article
Show Figures

Figure 1

17 pages, 2586 KB  
Article
Design and Implementation of Active Brake Pedal Simulator Integrating Force Feedback and Energy Optimization
by Chunrong He, Xiaoxiang Gong, Hong Zhang, Huaiyue Zhang, Yu Liu and Haiquan Ye
World Electr. Veh. J. 2026, 17(2), 109; https://doi.org/10.3390/wevj17020109 - 23 Feb 2026
Viewed by 355
Abstract
Brake pedals and wheel braking units are mechanically decoupled in brake-by-wire systems. This causes the driver to lose the familiar pedal feel. To address this issue, this paper designed an active braking pedal simulator based on the long-travel Halbach-array linear motor. Firstly, this [...] Read more.
Brake pedals and wheel braking units are mechanically decoupled in brake-by-wire systems. This causes the driver to lose the familiar pedal feel. To address this issue, this paper designed an active braking pedal simulator based on the long-travel Halbach-array linear motor. Firstly, this paper conducted both qualitative and quantitative analyses on the pedal characteristics of a traditional hydraulic braking system and used them as a reference. A dual-coil independent control strategy was designed in order to overcome the thrust instability at the junction of the Halbach-array magnetic field. This enables the linear motor to achieve smooth and continuous thrust output throughout the entire travel range. Secondly, this paper also designed a “linear motor + spring” solution to reduce energy consumption and peak motor thrust. By conducting a quantitative analysis of the relationship between the spring stiffness, motor work and peak thrust, the spring stiffness was optimized. The results show that when the spring stiffness is 3.73 N/mm, the motor work can be reduced to 5.92 Joules while significantly reducing the peak thrust. Finally, this paper also established a testing platform. It was used to verify the performance of the proposed pedal simulator under low-intensity, medium-intensity, and high-intensity braking conditions as well as an anti-lock braking system intervention. The testing results show that the pedal simulator can actively adjust the pedal characteristics according to the braking intensity, and it can provide clear vibration feedback during the anti-lock braking system intervention. Therefore, the proposed pedal simulator effectively simulates the pedal feel of hydraulic braking systems while improving energy efficiency and operational stability. It provides a feasible solution for enhancing the driver–vehicle interaction and the driving comfort of brake-by-wire systems. Full article
(This article belongs to the Section Manufacturing)
Show Figures

Figure 1

40 pages, 6632 KB  
Article
Visual–Inertial Fusion Framework for Isolating Seated Human-Body Vibration in Dynamic Vehicular Environments
by Nova Eka Budiyanta, Azizur Rahman, Chi-Tsun Cheng, George Wu and Toh Yen Pang
Sensors 2026, 26(4), 1355; https://doi.org/10.3390/s26041355 - 20 Feb 2026
Viewed by 384
Abstract
Understanding how seat-induced whole-body vibration (WBV) is transmitted to and actively compensated by the human body is essential for accurately assessing discomfort, fatigue, and postural control in vehicle occupants. This study proposes a visual–inertial fusion framework utilizing IMU-RGB-D data to isolate seated human [...] Read more.
Understanding how seat-induced whole-body vibration (WBV) is transmitted to and actively compensated by the human body is essential for accurately assessing discomfort, fatigue, and postural control in vehicle occupants. This study proposes a visual–inertial fusion framework utilizing IMU-RGB-D data to isolate seated human body vibration in dynamic vehicular environments. In real-cabin monitoring systems, measured motion is a superposition of platform vibration, passive transmission through the body, active postural compensation, and camera jitter. Existing WBV and driver monitoring studies typically rely on single modality sensing, such as inertial or visual approaches, without decomposing these components or modelling camera vibration. The framework synchronized three IMUs with RGB-D landmarks. Seat, human body, and camera accelerations are separated, and body vibration velocity is derived from body–seat differential acceleration via band-pass filtering and spectral integration. The 3D landmarks enable rotational-translational Postural Compensation Index metrics, axis-wise energy distributions, and anthropometric consistency checks. The study is held in an in-service urban tram case. Torso vibration is dominated by 40% anteroposterior components, while head postural is predominantly > 50% lateral sway. Near static anthropometric evaluation was also studied, resulting in shoulder width errors that remain within ±10–20 mm. The results show that the framework can distinguish passive ride phases from strongly compensated phases, separate camera jitter from true body motion, and reveal anisotropic postural strategies, providing a structured basis for vibration and posture analysis in in-vehicle monitoring. Full article
Show Figures

Figure 1

20 pages, 2465 KB  
Article
Assessment of Xsens Motion Trackers’ Accuracy to Measure Induced Vibrations During Endurance Running
by Chiara Martina, Andrea Appiani and Diego Scaccabarozzi
J. Funct. Morphol. Kinesiol. 2026, 11(1), 82; https://doi.org/10.3390/jfmk11010082 - 18 Feb 2026
Viewed by 645
Abstract
Background: Research on vibrations induced by running has gained significant attention due to its implications for athletes’ performance, injury prevention, and overall well-being. Distance running exposes the body to repetitive impulsive forces, causing significant vibrations to travel through physiological systems and biomechanical structures. [...] Read more.
Background: Research on vibrations induced by running has gained significant attention due to its implications for athletes’ performance, injury prevention, and overall well-being. Distance running exposes the body to repetitive impulsive forces, causing significant vibrations to travel through physiological systems and biomechanical structures. These vibrations increase fatigue and the risk of injury. Although it has gained importance, research on induced vibration during running and wearable equipment for monitoring is scarce. This study aims to evaluate the performance of a measurement system for monitoring the acceleration levels of induced vibrations during long-distance running, exploring the capability of non-invasive wearable devices to characterise vibration transmissibility and exposure. Moreover, a preliminary quantitative assessment of induced vibration levels for an indoor testing scenario is given. Methods: Metrological characterisation of Xsens Motion Trackers Awinda (MTw), off-the-shelf inertial magnetic motion trackers, was performed by measuring the sensors’ frequency bandwidth in a controlled environment, providing logarithmic sweep sine excitations at different levels (2 g, 5 g, 7 g, where g is meant to be the gravitational acceleration). A testing protocol for indoor testing was derived from the literature, allowing characterisation of the sensors’ behaviour in terms of vibration transmissibility and exposure detection in the intended application. Time domain and frequency domain analyses were conducted by following the ISO 2631 standard guideline for vibration exposure assessment, and measurement uncertainty was defined, either for the dynamic correction of the sensors’ frequency behaviour or for the computed time and frequency domain metrics. In this framework, a treadmill-based test was conducted. The aim was to evaluate the Xsens sensors’ performance in measuring vibration dose exposure and transmissibility. Three MTws were placed on the subject’s right tibia, back, and forehead using elastic bands. A 25-year-old female amateur runner completed a series of tests consisting of walking for 1 min at 3.5 km/h (instrumentation setup), followed by running at two speeds (8 km/h and 11 km/h) for 2–4 min per trial, with 5 min rest periods between tests. Conclusions: The tested measurement system showed promising results due to its capability to assess vibration exposure during sports activities, but dynamic correction was found to be mandatory for accurate vibration level assessment. The main outcome of this study is a method for characterising the accelerometers embedded in the proposed devices, along with an analysis strategy for future testing campaigns. Thanks to the portability of IMUs (inertial measurement units), this approach enables the evaluation of induced vibrations during in-field running measurements. Full article
Show Figures

Figure 1

25 pages, 2116 KB  
Article
Structural Design and Modeling Analysis of an Active Magnetic Levitation Vibration Isolation System
by Chunhui Dai, Cuicui Huang, Xinyu Liu and Xiaolong Li
Actuators 2026, 15(2), 120; https://doi.org/10.3390/act15020120 - 14 Feb 2026
Viewed by 419
Abstract
This paper addresses the stringent requirements of high-precision equipment for broadband, contactless active vibration isolation by tackling three key research gaps: the lack of an integrated design deeply coupling vertical and lateral subsystems, the absence of explicit characterization of the base-to-load vibration transmission [...] Read more.
This paper addresses the stringent requirements of high-precision equipment for broadband, contactless active vibration isolation by tackling three key research gaps: the lack of an integrated design deeply coupling vertical and lateral subsystems, the absence of explicit characterization of the base-to-load vibration transmission chain in dynamic models, and the disconnect between theory and application due to spatial sensor–actuator mismatch. To bridge these gaps, a novel five-degree-of-freedom active magnetic levitation vibration isolation system is proposed. Its core contributions are threefold. First, an electromagnetic-structure co-design method based on the equal magnetic reluctance principle is introduced, enabling a globally optimized, integrated actuator layout that maximizes force density within spatial constraints. Second, a dynamic model incorporating explicit base kinematic excitation is established, clearly revealing the complete physical mechanism of vibration transmission through the suspension gap and providing an accurate foundation for model-based control. Third, a coordinate reconstruction control model is constructed, which transforms the ideal center-of-mass-based dynamics into a design model using only measurable gap signals via systematic coordinate transformations, thereby fundamentally eliminating control deviations from physical spatial mismatch. This work provides a comprehensive theoretical framework and solution for next-generation high-performance active vibration isolation platforms, encompassing integrated design, precise modeling, and engineering implementation. Full article
(This article belongs to the Special Issue Advanced Theory and Application of Magnetic Actuators—3rd Edition)
Show Figures

Figure 1

Back to TopTop