Sign in to use this feature.

Years

Between: -

Subjects

remove_circle_outline
remove_circle_outline
remove_circle_outline
remove_circle_outline
remove_circle_outline
remove_circle_outline
remove_circle_outline
remove_circle_outline
remove_circle_outline

Journals

remove_circle_outline
remove_circle_outline
remove_circle_outline
remove_circle_outline
remove_circle_outline
remove_circle_outline
remove_circle_outline
remove_circle_outline
remove_circle_outline
remove_circle_outline
remove_circle_outline
remove_circle_outline
remove_circle_outline
remove_circle_outline
remove_circle_outline
remove_circle_outline
remove_circle_outline
remove_circle_outline
remove_circle_outline
remove_circle_outline
remove_circle_outline
remove_circle_outline
remove_circle_outline
remove_circle_outline

Article Types

Countries / Regions

remove_circle_outline
remove_circle_outline
remove_circle_outline
remove_circle_outline
remove_circle_outline
remove_circle_outline

Search Results (2,961)

Search Parameters:
Keywords = active excitation

Order results
Result details
Results per page
Select all
Export citation of selected articles as:
22 pages, 2932 KB  
Article
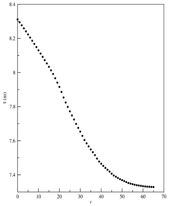
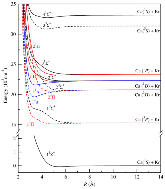
Theoretical Calculation of Caq+ (q = 0, 1, 2) Interacting with a Krypton Atom: Electronic Structure and Vibrational Spectra Association
by Wissem Zrafi, Mohamed Bejaoui, Hela Ladjimi, Jamila Dhiflaoui and Hamid Berriche
Atoms 2026, 14(1), 5; https://doi.org/10.3390/atoms14010005 (registering DOI) - 12 Jan 2026
Abstract
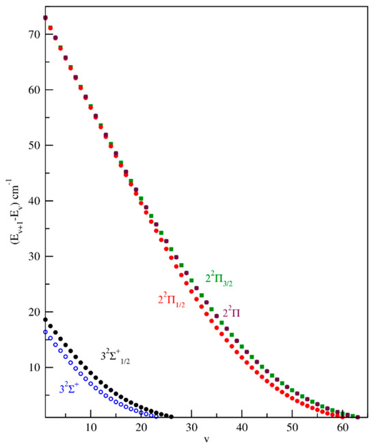
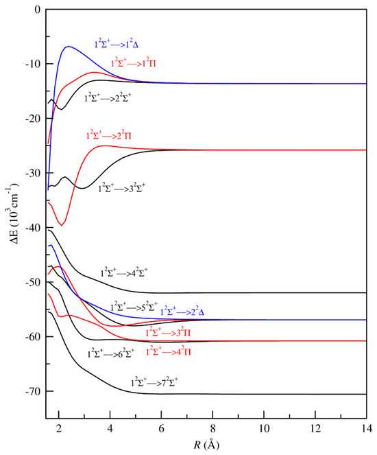
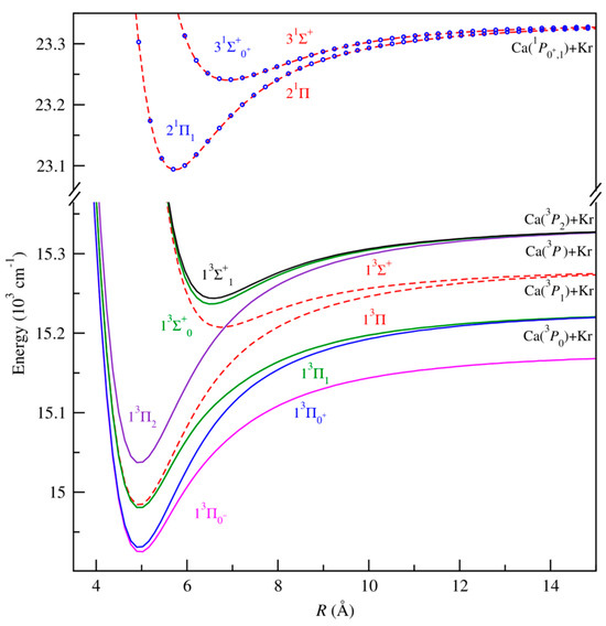
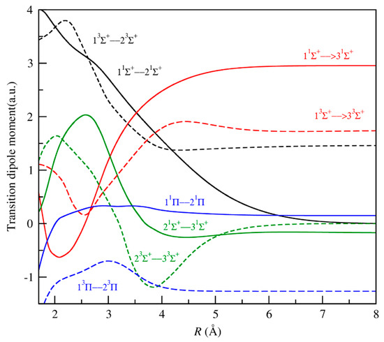
The potential energy curves and spectroscopic constants of the ground and several low-lying excited states of the Caq+-Kr (q = 0, 1, 2) van der Waals complexes were investigated using one- and two-electron pseudopotential approaches. This treatment effectively reduces the number [...] Read more.
The potential energy curves and spectroscopic constants of the ground and several low-lying excited states of the Caq+-Kr (q = 0, 1, 2) van der Waals complexes were investigated using one- and two-electron pseudopotential approaches. This treatment effectively reduces the number of active electrons in Caq+-Kr to a single valence electron for q = 1 and two valence electrons for q = 0, allowing the use of large and flexible basis sets for both Ca and Kr atoms. Within this work, potential energy curves (PECs) were calculated at the SCF level for the Ca+-Kr system, while both SCF and full configuration interaction (FCI) calculations were performed for the neutral Ca-Kr. Spin–orbit coupling effects were explicitly included in all calculations to accurately describe the fine-structure splitting of the asymptotic atomic states. The short-range core–core interaction for Ca2+-Kr was obtained using high-level CCSD(T) calculations. Spectroscopic constants were derived from the computed PECs and compared with available theoretical and experimental results, showing consistent trends. Furthermore, the transition dipole moments (TDM) were evaluated as a function of internuclear distances, including spin–orbit effects, to provide a comprehensive description of the electronic structure and radiative properties of these weakly bound systems. Full article
(This article belongs to the Section Atomic, Molecular and Nuclear Spectroscopy and Collisions)
Show Figures

Figure 1

21 pages, 2335 KB  
Article
Green-Making Stage Recognition of Tieguanyin Tea Based on Improved MobileNet V3
by Yuyan Huang, Shengwei Xia, Wei Chen, Jian Zhao, Yu Zhou and Yongkuai Chen
Sensors 2026, 26(2), 511; https://doi.org/10.3390/s26020511 (registering DOI) - 12 Jan 2026
Abstract
The green-making stage is crucial for forming the distinctive aroma and flavor of Tieguanyin tea. Current green-making stage recognition relies on tea makers’ sensory experience, which is labor-intensive and time-consuming. To address these issues, this paper proposes a lightweight automatic recognition model named [...] Read more.
The green-making stage is crucial for forming the distinctive aroma and flavor of Tieguanyin tea. Current green-making stage recognition relies on tea makers’ sensory experience, which is labor-intensive and time-consuming. To address these issues, this paper proposes a lightweight automatic recognition model named T-GSR for the accurate and objective identification of Tieguanyin tea green-making stages. First, an extensive set of Tieguanyin tea images at different green-making stages was collected. Subsequently, preprocessing techniques, i.e., multi-color-space fusion and morphological filtering, were applied to enhance the representation of target tea features. Furthermore, three targeted improvements were implemented based on the MobileNet V3 backbone network: (1) an adaptive residual branch was introduced to strengthen feature propagation; (2) the Rectified Linear Unit (ReLU) activation function was replaced with the Gaussian Error Linear Unit (GELU) to improve gradient propagation efficiency; and (3) an Improved Coordinate Attention (ICA) mechanism was adopted to replace the original Squeeze-and-Excitation (SE) module, enabling more accurate capture of complex tea features. Experimental results demonstrate that the T-GSR model outperforms the original MobileNet V3 in both classification performance and model complexity, achieving a recognition accuracy of 93.38%, an F1-score of 93.33%, with only 3.025 M parameters and 0.242 G FLOPs. The proposed model offers an effective solution for the intelligent recognition of Tieguanyin tea green-making stages, facilitating online monitoring and supporting automated tea production. Full article
(This article belongs to the Section Smart Agriculture)
19 pages, 2443 KB  
Article
Grid-Connected Active Support and Oscillation Suppression Strategy of Energy Storage System Based on Virtual Synchronous Generator
by Zhuan Zhao, Jinming Yao, Shuhuai Shi, Di Wang, Duo Xu and Jingxian Zhang
Electronics 2026, 15(2), 323; https://doi.org/10.3390/electronics15020323 - 11 Jan 2026
Abstract
This paper addresses stability issues, including voltage fluctuation, a frequency offset, and broadband oscillation resulting from the high penetration of renewable energy in a photovoltaic high-permeability distribution network. This paper proposes an active support control strategy which is energy storage grid-connected based on [...] Read more.
This paper addresses stability issues, including voltage fluctuation, a frequency offset, and broadband oscillation resulting from the high penetration of renewable energy in a photovoltaic high-permeability distribution network. This paper proposes an active support control strategy which is energy storage grid-connected based on a virtual synchronous generator (VSG). This strategy endows the energy storage system with virtual inertia and a damping capacity by simulating the rotor motion equation and excitation regulation characteristics of the synchronous generator, and effectively enhances the system’s ability to suppress power disturbances. The small-signal model of the VSG system is established, and the influence mechanism of the virtual inertia and damping coefficient on the system stability is revealed. A delay compensator in series with a current feedback path is proposed. Combined with the damping optimization of the LCL filter, the instability risk caused by high-frequency resonance and a control delay is significantly suppressed. The novelty lies in the specific configuration of the compensator within the grid–current feedback loop and its coordinated design with VSG parameters, which differs from traditional capacitive–current feedback compensation methods. The experimental results obtained from a semi-physical simulation platform demonstrate that the proposed control strategy can effectively suppress voltage fluctuations, suppress broadband oscillations, and improve the dynamic response performance and fault ride-through capability of the system under typical disturbance scenarios such as sudden illumination changes, load switching, and grid faults. It provides a feasible technical path for the stable operation of the distribution network with a high proportion of new energy access. Full article
(This article belongs to the Special Issue Innovations in Intelligent Microgrid Operation and Control)
25 pages, 2936 KB  
Article
Understanding Schizophrenia Pathophysiology via fMRI-Based Information Theory and Multiplex Network Analysis
by Fabrizio Parente
Entropy 2026, 28(1), 83; https://doi.org/10.3390/e28010083 - 10 Jan 2026
Viewed by 101
Abstract
This work investigates the mechanisms of information transfer underlying causal relationships between brain regions during resting-state conditions in patients with schizophrenia (SCZ). A large fMRI dataset including healthy controls and SCZ patients was analyzed to estimate directed information flow using local Transfer Entropy [...] Read more.
This work investigates the mechanisms of information transfer underlying causal relationships between brain regions during resting-state conditions in patients with schizophrenia (SCZ). A large fMRI dataset including healthy controls and SCZ patients was analyzed to estimate directed information flow using local Transfer Entropy (TE). Four functional interaction patterns—referred to as rules—were identified between brain regions: activation in the same state (ActS), activation in the opposite state (ActO), turn-off in the same state (TfS), and turn-off in the opposite state (TfO), indicating a dynamics toward converging (Acts/Tfs = S) and diverging (ActO/TfO = O) states of brain regions. These interactions were integrated within a multiplex network framework, in which each rule was represented as a directed network layer. Our results reveal widespread alterations in the functional architecture of SCZ brain networks, particularly affecting schizophrenia-related systems such as bottom-up sensory pathways and associative cortical dynamics. An imbalance between S and O rules was observed, leading to reduced network stability. This shift results in a more randomized functional network organization. These findings provide a mechanistic link between excitation/inhibition (E/I) imbalance and mesoscopic network dysconnectivity, in agreement with previous dynamic functional connectivity and Dynamic Causal Modeling (DCM) studies. Overall, our approach offers an integrated framework for characterizing directed brain communication patterns and psychiatric phenotypes. Future work will focus on systematic comparisons with DCM and other functional connectivity methods. Full article
(This article belongs to the Special Issue Information-Theoretic Methods in Computational Neuroscience)
Show Figures

Figure 1

23 pages, 6446 KB  
Article
Lightweight GAFNet Model for Robust Rice Pest Detection in Complex Agricultural Environments
by Yang Zhou, Wanqiang Huang, Benjing Liu, Tianhua Chen, Jing Wang, Qiqi Zhang and Tianfu Yang
AgriEngineering 2026, 8(1), 26; https://doi.org/10.3390/agriengineering8010026 - 10 Jan 2026
Viewed by 51
Abstract
To address challenges such as small target size, high density, severe occlusion, complex background interference, and edge device computational constraints, a lightweight model, GAFNet, is proposed based on YOLO11n, optimized for rice pest detection in field environments. To improve feature perception, we propose [...] Read more.
To address challenges such as small target size, high density, severe occlusion, complex background interference, and edge device computational constraints, a lightweight model, GAFNet, is proposed based on YOLO11n, optimized for rice pest detection in field environments. To improve feature perception, we propose the Global Attention Fusion and Spatial Pyramid Pooling (GAM-SPP) module, which captures global context and aggregates multi-scale features. Building on this, we introduce the C3-Efficient Feature Selection Attention (C3-EFSA) module, which refines feature representation by combining depthwise separable convolutions (DWConv) with lightweight channel attention to enhance background discrimination. The model’s detection head, Enhanced Ghost Detect (EGDetect), integrates Enhanced Ghost Convolution (EGConv), Squeeze-and-Excitation (SE), and Sigmoid-Weighted Linear Unit (SiLU) activation, which reduces redundancy. Additionally, we propose the Focal-Enhanced Complete-IoU (FECIoU) loss function, incorporating stability and hard-sample weighting for improved localization. Compared to YOLO11n, GAFNet improves Precision, Recall, and mean Average Precision (mAP) by 3.5%, 4.2%, and 1.6%, respectively, while reducing parameters and computation by 5% and 21%. GAFNet can deploy on edge devices, providing farmers with instant pest alerts. Further, GAFNet is evaluated on the AgroPest-12 dataset, demonstrating enhanced generalization and robustness across diverse pest detection scenarios. Overall, GAFNet provides an efficient, reliable, and sustainable solution for early pest detection, precision pesticide application, and eco-friendly pest control, advancing the future of smart agriculture. Full article
Show Figures

Figure 1

17 pages, 4818 KB  
Article
Impact of PKC-MAPK Signaling on Cardiac Sympathetic Overactivation in Type-2 Diabetes Mellitus
by Jaswinder Singh, Afia Saabea Owusu Konadu, Yu Li, Boris Shabaltiy and Yu-Long Li
Int. J. Mol. Sci. 2026, 27(2), 723; https://doi.org/10.3390/ijms27020723 - 10 Jan 2026
Viewed by 107
Abstract
Type-2 Diabetes Mellitus (T2DM) is related to cardiac arrhythmias. The stellate ganglion (SG), part of the sympathetic nervous system, regulates heart function. Within the SG, satellite glial cells (SGCs) have gap junction channels (Cx43). Increased Cx43 permeability induces SGC depolarization and activates the [...] Read more.
Type-2 Diabetes Mellitus (T2DM) is related to cardiac arrhythmias. The stellate ganglion (SG), part of the sympathetic nervous system, regulates heart function. Within the SG, satellite glial cells (SGCs) have gap junction channels (Cx43). Increased Cx43 permeability induces SGC depolarization and activates the PKC-MAPK14-ADAM17 signaling pathway, releasing some endogenous factors that stimulate nearby cardiac postganglionic sympathetic neurons (CPSN). This study investigated the activation of the PKC-MAPK14-ADAM17 signaling pathway in T2DM SGs and SGCs as a novel mechanism of sympathetic overactivation. A total of 56 Sprague-Dawley rats were randomly assigned to sham and T2DM groups, and T2DM was induced using a high-fat diet combined with low-dose streptozotocin. Real-time RT-PCR, Western blot, and ELISA quantified mRNA/protein expression and enzymatic activity. The patch clamp technique assessed neuronal voltage-gated Ca2+ currents and action potentials, while electrophysiological recording measured cardiac sympathetic nerve activity (CSNA). T2DM rats exhibited marked upregulation of MAPK14, PKC-α, and ADAM17 mRNA/protein in the SG, alongside elevated enzymatic activities of PKC and ADAM17. T2DM also increased Ca2+ currents and neuronal excitability in the CPSN and induced the elevation of the CSNA. Upregulated PKC-MAPK-ADAM17 signaling in the SG might contribute to cardiac sympathetic overactivation in T2DM rats by enhancing the cell excitability of the CPSN. Full article
Show Figures

Figure 1

30 pages, 9443 KB  
Article
A CPO-Optimized Enhanced Linear Active Disturbance Rejection Control for Rotor Vibration Suppression in Magnetic Bearing Systems
by Ting Li, Jie Wen, Tianyi Ma, Nan Wei, Yanping Du and Huijuan Bai
Sensors 2026, 26(2), 456; https://doi.org/10.3390/s26020456 - 9 Jan 2026
Viewed by 120
Abstract
To mitigate rotor vibrations in magnetic bearing systems arising from mass imbalance, this study proposes a novel suppression strategy that integrates the crested porcupine optimizer (CPO) with an enhanced linear active disturbance rejection control (ELADRC) framework. The approach introduces a disturbance estimation and [...] Read more.
To mitigate rotor vibrations in magnetic bearing systems arising from mass imbalance, this study proposes a novel suppression strategy that integrates the crested porcupine optimizer (CPO) with an enhanced linear active disturbance rejection control (ELADRC) framework. The approach introduces a disturbance estimation and compensation scheme based on a linear extended state observer (LESO), wherein both the LESO bandwidth ω0 and the LADRC controller parameter ωc are adaptively tuned using the CPO algorithm to enable decoupled control and real-time disturbance rejection in complex multi-degree-of-freedom (DOF) systems. Drawing inspiration from the crested porcupine’s layered defensive behavior, the CPO algorithm constructs a state-space model incorporating rotor displacement, rotational speed, and control current, while leveraging a reward function that balances vibration suppression performance against control energy consumption. The optimized parameters guide a real-time LESO-based compensation model, achieving accurate disturbance cancelation via amplitude-phase coordination between the generated electromagnetic force and the total disturbance. Concurrently, the LADRC feedback structure adjusts the system’s stiffness and damping matrices to improve closed-loop robustness under time-varying operating conditions. Simulation studies over a wide speed range (0~45,000 rpm) reveal that the proposed CPO-ELADRC scheme significantly outperforms conventional control methods: it shortens regulation time by 66.7% and reduces peak displacement by 86.8% under step disturbances, while achieving a 79.8% improvement in adjustment speed and an 86.4% reduction in peak control current under sinusoidal excitation. Overall, the strategy offers enhanced vibration attenuation, prevents current saturation, and improves dynamic stability across diverse operating scenarios. Full article
(This article belongs to the Section Industrial Sensors)
19 pages, 1894 KB  
Article
Regulatory Effects of Exogenous Trehalose on the Growth and Photosynthetic Characteristics of Celery (Apium graveolens L.) Under Salt Stress
by Yanqiang Gao, Liangmei Zhang, Wenjing Rui, Miao Zhang, Zixiao Liang, Kaiguo Pu, Youlin Chang, Yongwei Ma, Jingwen Huo, Jiongjie Zhang, Jing Li and Jianming Xie
Plants 2026, 15(2), 212; https://doi.org/10.3390/plants15020212 - 9 Jan 2026
Viewed by 68
Abstract
Salinity has been recognized as one of the major environmental stresses that restrict the growth and quality of celery (Apium graveolens L.). Therefore, this study investigates the impact of different NaCl concentrations on celery growth and photosynthetic characteristics, as well as the [...] Read more.
Salinity has been recognized as one of the major environmental stresses that restrict the growth and quality of celery (Apium graveolens L.). Therefore, this study investigates the impact of different NaCl concentrations on celery growth and photosynthetic characteristics, as well as the potential regulatory role of exogenous trehalose application in mitigating the stress-induced effects. The results indicated that an increase in NaCl concentration from 50 to 200 mM markedly inhibited the growth of celery plants compared to that under control conditions. The application of different concentrations of trehalose mitigated the inhibitory effects of salt stress (100 mM NaCl) on celery growth and photosynthesis. Among the different trehalose treatments, T3 (10 mM trehalose) exhibited the most significant effects, increasing the aboveground biomass, belowground biomass, plant height, chlorophyll a, chlorophyll b, total chlorophyll, and net photosynthetic rate compared to that of salt stress alone, respectively. Furthermore, trehalose treatments enhanced the various fluorescence parameters, including the maximum efficiency of PSII photochemistry (Fv/Fm), coefficient of photochemical quenching (qP), fluorescence intensity, and photosynthetic performance index (PIabs) under salt stress. Meanwhile, trehalose reduced intercellular carbon dioxide concentration, excess excitation energy (1-qP)/NPQ, heat dissipation per unit area (DIo/CSm), and energy dissipated per reaction center (DIo/RC). Additionally, the results of principal component analysis (PCA) and membership function comprehensive evaluation indicate that an appropriate concentration of trehalose positively alleviates the salnitiy-induced effects in celery. Overall, the T3 demonstrated the most promising effects on mitigating the effects of salt stress by decreasing the excess excitation energy of PSII in celery leaves through the heat dissipation pathway. This reduction lowers the excitation pressure on the reaction centers, enhances the activity of PSII reaction centers per unit cross-section, and improves photosynthesis activity, thereby improving the growth of celery plants under salt stress. Full article
(This article belongs to the Section Plant Response to Abiotic Stress and Climate Change)
23 pages, 7764 KB  
Article
Dose- and Time-Dependent Modulation of Cx43 and Cx45 Expression and Gap Junction Conductance by Resveratrol
by Gintarė Jančiukė, Rokas Mickus, Vytautas Raškevičius, Vytenis Arvydas Skeberdis and Ieva Sarapinienė
Antioxidants 2026, 15(1), 88; https://doi.org/10.3390/antiox15010088 - 9 Jan 2026
Viewed by 203
Abstract
Plant extracts are rich in various bioactive compounds, such as polyphenols, flavonoids, tannins, terpenoids, phenolic acids, saponins, alkaloids, and polysaccharides. Antioxidant polyphenols are increasingly attracting attention, not only as dietary components but also as valuable food industry byproducts. Resveratrol, present in a wide [...] Read more.
Plant extracts are rich in various bioactive compounds, such as polyphenols, flavonoids, tannins, terpenoids, phenolic acids, saponins, alkaloids, and polysaccharides. Antioxidant polyphenols are increasingly attracting attention, not only as dietary components but also as valuable food industry byproducts. Resveratrol, present in a wide range of plants, is well recognized for its diverse biological activities, including antioxidant, antitumor, cardioprotective, and neuroprotective effects. Given the importance of intercellular communication in these physiological processes, gap junctions (GJs) composed of connexin (Cx) family proteins are of particular interest because they provide a direct pathway for electrical and metabolic signaling and are key players in maintaining normal organ function and cell development. Aberrations of GJ intercellular communication (GJIC) may result in the progression of cardiovascular and neurological diseases and tumorigenesis. Cx43 and Cx45 play crucial roles in cardiac excitation and contraction, and alterations in their expression are associated with disrupted impulse propagation and the development of arrhythmias. In this study, for the first time, we performed a comparative analysis of the effect of resveratrol on Cx43 and Cx45 GJIC using molecular modeling, a dual whole-cell patch-clamp technique to directly measure GJ conductance (gj), and other approaches. Our results revealed that resveratrol accomplished the following: (1) inhibited GJ gj in Cx43- but enhanced it in Cx45-expressing HeLa cells; (2) exerted dose- and time-dependent changes in Cx expression and plaque size; (3) reduced cell viability and proliferation; (4) and altered Cx43 phosphorylation patterns linked to gating and plaque stability. Overall, resveratrol modulates GJIC in a dose-, time-, and connexin type-specific manner. Full article
(This article belongs to the Section Natural and Synthetic Antioxidants)
Show Figures

Figure 1

16 pages, 2599 KB  
Article
GLUT1-DS Brain Organoids Exhibit Increased Sensitivity to Metabolic and Pharmacological Induction of Epileptiform Activity
by Loïc Lengacher, Sylvain Lengacher, Pierre J. Magistretti and Charles Finsterwald
Pharmaceuticals 2026, 19(1), 105; https://doi.org/10.3390/ph19010105 - 7 Jan 2026
Viewed by 214
Abstract
Background/Objectives: Glucose Transporter 1 Deficiency Syndrome (GLUT1-DS) is a neurodevelopmental disorder caused by mutations in the gene encoding glucose transporter 1 (GLUT1), which leads to impaired glucose transport into the brain and is characterized by drug-resistant epilepsy. Limited glucose supply disrupts neuronal [...] Read more.
Background/Objectives: Glucose Transporter 1 Deficiency Syndrome (GLUT1-DS) is a neurodevelopmental disorder caused by mutations in the gene encoding glucose transporter 1 (GLUT1), which leads to impaired glucose transport into the brain and is characterized by drug-resistant epilepsy. Limited glucose supply disrupts neuronal and astrocytic energy homeostasis, but how hypometabolism translates into network hyperexcitability remains poorly understood. Here, we used induced pluripotent stem cells (iPSCs)-derived brain organoids to examine how reduced metabolic substrate availability shapes epileptiform dynamics in human neuronal circuits from GLUT1-DS. Methods: Brain organoids were generated from a healthy donor or a GLUT1-DS patient and interfaced with multielectrode arrays (MEA) for recording of neuronal activity. A unified Python (v3.10)-based analytical pipeline was developed to quantify spikes, bursts, and power spectral density (PSD) across frequency bands of neuronal activity. Organoids were challenged with reduced glucose, pentylenetetrazol (PTZ), potassium chloride (KCl), and tetrodotoxin (TTX) to assess metabolic and pharmacological modulation of excitability. Results: GLUT1-DS organoids exhibited elevated baseline hyperexcitability compared to healthy control, characterized by increased spike rates, prolonged bursts, increased spikes per burst, and elevated PSD. Reduced glucose availability further amplified these features selectively in GLUT1-DS. Conclusions: Human brain organoids reproduce the pathological coupling between hypometabolism and hyperexcitability in GLUT1-DS. Our platform provides a mechanistic model and quantification tool for evaluating metabolic and anti-epileptic therapeutic strategies. Full article
(This article belongs to the Special Issue 2D and 3D Culture Systems: Current Trends and Biomedical Applications)
Show Figures

Graphical abstract

27 pages, 4784 KB  
Article
Magnetohydrodynamics Simulation Analysis and Optimization of a Three-Coil Magnetorheological Damper Based on a Multiphysics Coupling Model
by Hui Yang, Ming Lei, Yefeng Qin, Tao He and Yang Xia
Appl. Sci. 2026, 16(2), 602; https://doi.org/10.3390/app16020602 - 7 Jan 2026
Viewed by 70
Abstract
A magnetorheological (MR) damper is an intelligent semi-active control device characterized by its output damping force and adjustable coefficient that vary in response to changes in the internal magnetic field. This study proposes a multiphysics coupling model that takes into account the electromotive [...] Read more.
A magnetorheological (MR) damper is an intelligent semi-active control device characterized by its output damping force and adjustable coefficient that vary in response to changes in the internal magnetic field. This study proposes a multiphysics coupling model that takes into account the electromotive force within the magnetorheological fluid, which is related to both the magnetic field intensity and shear stress. The Bingham–Papanastasiou constitutive model was employed to accurately represent the dynamic performance during the simulation of magnetorheological dampers, thereby overcoming its discontinuity. The investigation delves into the unique responses elicited by single-coil and three-coil configurations under identical excitation conditions. Through theoretical and magnetohydrodynamic analyses, the nonlinear rheological behavior of the MR fluid is elucidated. The study also scrutinizes the effects of various internal structural parameters on the mechanical characteristics of the MR damper using the results of simulations. An assessment of parameter sensitivity on the damper’s output was carried out, and the response surface methodology was subsequently utilized to derive a surrogate model expression. Ultimately, an optimized design was obtained, achieving a balance between output damping force and adjustable coefficient. This method lays the groundwork for the mathematical modeling and simulation analysis of multi-coil magnetorheological dampers. Full article
(This article belongs to the Special Issue Advances in Dynamics and Vibrations Analysis in Turbomachinery)
Show Figures

Figure 1

23 pages, 9862 KB  
Article
Analysis of Wind-Induced Response During the Lifting Construction of Super-Large-Span Heavy Steel Box Girders
by Shuhong Zhu, Xiaotong Sun, Xiaofeng Liu, Wenjie Li and Bin Liang
Buildings 2026, 16(2), 251; https://doi.org/10.3390/buildings16020251 - 6 Jan 2026
Viewed by 119
Abstract
Wind-induced response poses a significant challenge to the stability of extra-large-span heavy steel box girders during synchronous lifting operations. This study adopted a method combining numerical simulation with on-site monitoring to investigate the aerodynamic characteristics the beam during the overall hoisting process of [...] Read more.
Wind-induced response poses a significant challenge to the stability of extra-large-span heavy steel box girders during synchronous lifting operations. This study adopted a method combining numerical simulation with on-site monitoring to investigate the aerodynamic characteristics the beam during the overall hoisting process of the Xiaotun Bridge. A high-fidelity finite element model was established using Midas NFX 2024 R1, and fluid–structure interaction (FSI) analysis was conducted, utilizing the RANS k-ε turbulence model to simulate stochastic wind fields. The results show that during the lifting stage from 3 m to 25 m, the maximum horizontal displacement of the steel box girder rapidly increases at wind angles of 90° and 60°, and the peak displacement is reached at 25 m. Under a strong breeze at a 90° wind angle and 25 m lifting height, the maximum lateral displacement was 42.88 mm based on FSI analysis, which is approximately 50% higher than the 28.58 mm obtained from linear static analysis. Subsequently, during the 25 m to 45 m lifting stage, the displacement gradually decreases and exhibits a linear correlation with lifting height. Concurrently, the maximum stress of the lifting lug of the steel box girder increases rapidly in the 3–25 m lifting stage, reaches the maximum at 25 m, and gradually stabilizes in the 25–45 m lifting stage. The lug stress under the same critical condition reached 190.80 MPa in FSI analysis, compared with 123.83 MPa in static analysis, highlighting a significant dynamic amplification. Furthermore, the detrimental coupling effect between mechanical vibrations from the lifting platform and wind loads was quantified; the anti-overturning stability coefficient was reduced by 10.48% under longitudinal vibration compared with lateral vibration, and a further reduction of up to 39.33% was caused by their synergy with wind excitation. Field monitoring validated the numerical model, with stress discrepancies below 9.7%. Based on these findings, a critical on-site wind speed threshold of 9.38 m/s was proposed, and integrated control methods were implemented to ensure construction safety. During on-site lifting, lifting lug stresses were monitored in real time, and if the predefined threshold was exceeded, contingency measures were immediately activated to ensure a controlled termination. Full article
(This article belongs to the Section Building Structures)
Show Figures

Figure 1

20 pages, 2482 KB  
Article
Antioxidant Performance and Characterization Comparison of Carbon Dots Derived from Agricultural Waste Pineapple Peel
by Zhaoqi Pan, Yiyang Zhou, Binghong Ji, Qining Liu and Ziluan Fan
Foods 2026, 15(2), 189; https://doi.org/10.3390/foods15020189 - 6 Jan 2026
Viewed by 187
Abstract
This study prepared carbon dots (CDs) from agricultural waste pineapple peel via an eco-friendly microwave method, optimizing their performance through copper ion and chitosan doping. Multiple characterization techniques and performance tests were employed for systematic analysis. Antioxidant assays revealed that PP-CDs have excellent [...] Read more.
This study prepared carbon dots (CDs) from agricultural waste pineapple peel via an eco-friendly microwave method, optimizing their performance through copper ion and chitosan doping. Multiple characterization techniques and performance tests were employed for systematic analysis. Antioxidant assays revealed that PP-CDs have excellent concentration-dependent free radical scavenging activity: the DPPH IC50 values of Pineapple Peel Carbon Dots (PP-CDs), Copper-Doped Pineapple Peel Carbon Dots (Cu-PP-CDs) and Chitosan-Doped Pineapple Peel Carbon Dots (CS-PP-CDs) are 0.79, 0.95 and 0.98 mg/mL, while their ABTS IC50 values are 0.22, 0.40 and 0.26 mg/mL, respectively. Antibacterial tests showed modified CDs have enhanced activity: Cu-PP-CDs exhibit inhibition zones of 23.1 ± 0.13 mm (E. coli) and 17.3 ± 0.05 mm (S. aureus) with MICs of 2.5 and 5.0 mg/mL, while CS-PP-CDs have respective zones of 12.8 ± 0.08 mm and 16.3 ± 0.12 mm with a 5.0 mg/mL MIC for both strains. All CDs present a quasi-spherical morphology and emit yellow fluorescence under UV excitation, with PP-CDs showing the strongest intensity. This study provides technical support for high-value utilization of pineapple peel and development of multifunctional CDs, which have food field potential but face large-scale production and toxicological evaluation challenges. Full article
Show Figures

Graphical abstract

12 pages, 1437 KB  
Article
Enhancement and Limitations of Green-Spectrum Dual-Wavelength Irradiation in Porphyrin-Based Antimicrobial Strategies Targeting Cutibacterium acnes subsp. elongatum
by Robin Haag, Oksana Gurow, Moritz Mack, Jörg Moisel and Martin Hessling
Pharmaceutics 2026, 18(1), 72; https://doi.org/10.3390/pharmaceutics18010072 - 5 Jan 2026
Viewed by 227
Abstract
Background: Phototherapy utilizes targeted irradiation to inactivate bacteria or treat various medical conditions. Depending on the therapeutic goal, wavelengths from violet to infrared (IR) are applied. Within the visible and near-IR spectrum, photodynamic therapy (PDT) combines light with photosensitizers that generate reactive oxygen [...] Read more.
Background: Phototherapy utilizes targeted irradiation to inactivate bacteria or treat various medical conditions. Depending on the therapeutic goal, wavelengths from violet to infrared (IR) are applied. Within the visible and near-IR spectrum, photodynamic therapy (PDT) combines light with photosensitizers that generate reactive oxygen species (ROS), leading to bacterial inactivation. Optimizing photodynamic efficacy can involve either enhancing ROS formation through specific topical agents that modulate ROS generation or employing dual-wavelength light irradiation (DWLR) to achieve synergistic excitation. Established DWLR protocols typically combine blue and red light or IR to activate distinct photosensitizers. Materials and Methods: This study investigates whether a similar synergistic effect can be achieved within the green spectral range by simultaneously exciting a single photosensitizer—coproporphyrin III (CP III)—at 496 nm and 547 nm. Results: Convolution analysis and in vitro bacterial reduction experiments with Cutibacterium acnes subsp. elongatum revealed that cyan irradiation (496 nm) achieved the strongest photoreduction (2.31 log steps at 1620 J/cm2), whereas PC-lime irradiation (547 nm) produced a smaller effect (0.74 log steps). DWLR protocols (simultaneous and sequential irradiation) resulted in intermediate reductions (1.64 and 1.73 log steps, respectively), exceeding PC-lime but not surpassing cyan irradiation alone. Conclusions: These findings demonstrate that excitation efficiency at the local absorption maximum of CP III is the primary determinant of ROS generation, while spectral broadening through DWLR does not enhance bacterial inactivation within this wavelength range and in vitro setup. Full article
Show Figures

Figure 1

17 pages, 868 KB  
Review
Neuromarkers of Adaptive Neuroplasticity and Cognitive Resilience Across Aging: A Multimodal Integrative Review
by Jordana Mariane Neyra Chauca, Manuel de Jesús Ornelas Sánchez, Nancy García Quintana, Karen Lizeth Martín del Campo Márquez, Brenda Areli Carvajal Juarez, Nancy Rojas Mendoza and Martha Ayline Aguilar Díaz
Neurol. Int. 2026, 18(1), 10; https://doi.org/10.3390/neurolint18010010 - 5 Jan 2026
Viewed by 268
Abstract
Background: Aging is traditionally characterized by progressive structural and cognitive decline; however, increasing evidence shows that the aging brain retains a remarkable capacity for reorganization. This adaptive neuroplasticity supports cognitive resilience—defined as the ability to maintain efficient cognitive performance despite age-related neural vulnerability. [...] Read more.
Background: Aging is traditionally characterized by progressive structural and cognitive decline; however, increasing evidence shows that the aging brain retains a remarkable capacity for reorganization. This adaptive neuroplasticity supports cognitive resilience—defined as the ability to maintain efficient cognitive performance despite age-related neural vulnerability. Objective: To synthesize current molecular, cellular, neuroimaging, and electrophysiological neuromarkers that characterize adaptive neuroplasticity and to examine how these mechanisms contribute to cognitive resilience across aging. Methods: This narrative review integrates findings from molecular neuroscience, multimodal neuroimaging (fMRI, DTI, PET), electrophysiology (EEG, MEG, TMS), and behavioral research to outline multiscale biomarkers associated with compensatory and efficient neural reorganization in older adults. Results: Adaptive neuroplasticity emerges from the coordinated interaction of neurotrophic signaling (BDNF, CREB, IGF-1), glial modulation (astrocytic lactate metabolism, regulated microglial activity), synaptic remodeling, and neurovascular support (VEGF, nitric oxide). Multimodal neuromarkers—including preserved frontoparietal connectivity, DMN–FPCN coupling, synaptic density (SV2A-PET), theta–gamma coherence, and LTP-like excitability—consistently correlate with resilience in executive functions, memory, and processing speed. Behavioral enrichment, physical activity, and cognitive training further enhance these biomarkers, creating a bidirectional loop between experience and neural adaptability. Conclusions: Adaptive neuroplasticity represents a fundamental mechanism through which older adults maintain cognitive function despite biological aging. Integrating molecular, imaging, electrophysiological, and behavioral neuromarkers provides a comprehensive framework to identify resilience trajectories and to guide personalized interventions aimed at preserving cognition. Understanding these multilevel adaptive mechanisms reframes aging not as passive decline but as a dynamic continuum of biological compensation and cognitive preservation. Full article
(This article belongs to the Section Aging Neuroscience)
Show Figures

Figure 1

Back to TopTop