Sign in to use this feature.

Years

Between: -

Subjects

remove_circle_outline
remove_circle_outline
remove_circle_outline
remove_circle_outline
remove_circle_outline
remove_circle_outline
remove_circle_outline

Journals

Article Types

Countries / Regions

Search Results (26)

Search Parameters:
Keywords = accumulated incremental height

Order results
Result details
Results per page
Select all
Export citation of selected articles as:
15 pages, 6082 KB  
Article
Influence of Rainfall Intensity on the Structural Behavior of Reinforced Soil Retaining Wall
by Gao Qi, Sihan Li, Xiaoguang Cai, Xinxin Li, Zhijie Wang, Hongbiao Gu and Jin Sun
Buildings 2026, 16(1), 50; https://doi.org/10.3390/buildings16010050 - 22 Dec 2025
Abstract
The response mechanisms of reinforced soil retaining wall structures under rainfall infiltration are not fully understood, leading to insufficient design guidelines. This study investigates a modular reinforced soil retaining wall model employing concrete blocks as the facing panel, standard sand as backfill, and [...] Read more.
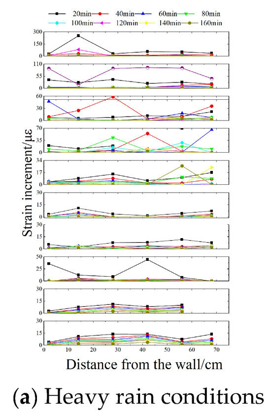
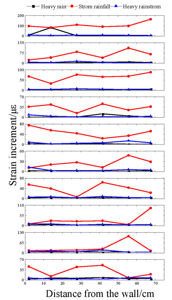
The response mechanisms of reinforced soil retaining wall structures under rainfall infiltration are not fully understood, leading to insufficient design guidelines. This study investigates a modular reinforced soil retaining wall model employing concrete blocks as the facing panel, standard sand as backfill, and a biaxial geogrid as reinforcement. Three sets of tests with varying rainfall intensities (150 mm/h, 300 mm/h, and 450 mm/h) were conducted to analyse and compare the response patterns of rainwater infiltration, earth pressure distribution, reinforcement strain, and displacement characteristics. The results indicate that with increasing rainfall intensity, the depth of infiltration influence extends across the entire wall section, with significant water accumulation at the base under heavy rainstorm conditions. The distribution pattern of static earth pressure is generally consistent across tests; however, a notable abrupt change reaching 8.59 kPa was observed at mid-height under rainstorm conditions. The strain increment distribution in the reinforcement is non-uniform, with increments under heavy rain and heavy rainstorm conditions being less than those under rainstorm conditions. The displacement of the wall panel is greatest in the middle and upper sections, with the smallest displacement occurring under rainstorm conditions. The displacement pattern shows a negative correlation with both the static earth pressure and the reinforcement strain patterns. These findings provide theoretical support for drainage design and stability control of reinforced soil retaining walls in regions experiencing heavy rainfall. Full article
(This article belongs to the Section Building Structures)
Show Figures

Figure 1

30 pages, 4804 KB  
Article
Deep Storage Irrigation Enhances Grain Yield of Winter Wheat by Improving Plant Growth and Grain-Filling Process in Northwest China
by Xiaodong Fan, Dianyu Chen, Haitao Che, Yakun Wang, Yadan Du and Xiaotao Hu
Agronomy 2025, 15(8), 1852; https://doi.org/10.3390/agronomy15081852 - 31 Jul 2025
Cited by 1 | Viewed by 1049
Abstract
In the irrigation districts of Northern China, the flood resources utilization for deep storage irrigation, which is essentially characterized by active excessive irrigation, aims to have the potential to mitigate freshwater shortages, and long-term groundwater overexploitation. It is crucial to detect the effects [...] Read more.
In the irrigation districts of Northern China, the flood resources utilization for deep storage irrigation, which is essentially characterized by active excessive irrigation, aims to have the potential to mitigate freshwater shortages, and long-term groundwater overexploitation. It is crucial to detect the effects of irrigation amounts on agricultural yield and the mechanisms under deep storage irrigation. A three-year field experiment (2020–2023) was conducted in the Guanzhong Plain, according to five soil wetting layer depths (RF: 0 cm; W1: control, 120 cm; W2: 140 cm; W3: 160 cm; W4: 180 cm) with soil saturation water content as the irrigation upper limit. Results exhibited that, compared to W1, the W2, W3, and W4 treatments led to the increased plant height, leaf area index, and dry matter accumulation. Meanwhile, the W2, W3, and W4 treatments improved kernel weight increment achieving maximum grain-filling rate (Wmax), maximum grain-filling rate (Gmax), and average grain-filling rate (Gave), thereby enhancing the effective spikes (ES) and grain number per spike (GS), and thus increased wheat grain yield (GY). In relative to W1, the W2, W3, and W4 treatments increased the ES, GS, and GY by 11.89–19.81%, 8.61–14.36%, and 8.17–13.62% across the three years. Notably, no significant difference was observed in GS and GY between W3 and W4 treatments, but W4 treatment displayed significant decreases in ES by 3.04%, 3.06%, and 2.98% in the respective years. The application of a structural equation modeling (SEM) revealed that deep storage irrigation improved ES and GS by positively regulating Wmax, Gmax, and Gave, thus significantly increasing GY. Overall, this study identified the optimal threshold (W3 treatment) to maximize wheat yields by optimizing both the vegetative growth and grain-filling dynamics. This study provides essential support for the feasibility assessment of deep storage irrigation before flood seasons, which is vital for the balance and coordination of food security and water security. Full article
(This article belongs to the Section Water Use and Irrigation)
Show Figures

Figure 1

13 pages, 892 KB  
Article
Optimized Water Management Strategies: Evaluating Limited-Irrigation Effects on Spring Wheat Productivity and Grain Nutritional Composition in Arid Agroecosystems
by Zhiwei Zhao, Qi Li, Fan Xia, Peng Zhang, Shuiyuan Hao, Shijun Sun, Chao Cui and Yongping Zhang
Agriculture 2025, 15(10), 1038; https://doi.org/10.3390/agriculture15101038 - 11 May 2025
Cited by 1 | Viewed by 903
Abstract
The Hetao Plain Irrigation District of Inner Mongolia faces critical agricultural sustainability challenges due to its arid climate, exacerbated by tightening Yellow River water allocations and pervasive water inefficiencies in the current wheat cultivation practices. This study addresses water scarcity by evaluating the [...] Read more.
The Hetao Plain Irrigation District of Inner Mongolia faces critical agricultural sustainability challenges due to its arid climate, exacerbated by tightening Yellow River water allocations and pervasive water inefficiencies in the current wheat cultivation practices. This study addresses water scarcity by evaluating the impact of regulated deficit irrigation strategies on spring wheat production, with the dual objectives of enhancing water conservation and optimizing yield–quality synergies. Through a two-year field experiment (2020~2021), four irrigation regimes were implemented: rain-fed control (W0), single irrigation at the tillering–jointing stage (W1), dual irrigation at the tillering–jointing and heading–flowering stages (W2), and triple irrigation incorporating the grain-filling stage (W3). A comprehensive analysis revealed that an incremental irrigation frequency progressively enhanced plant morphological traits (height, upper three-leaf area), population dynamics (leaf area index, dry matter accumulation), and physiological performance (flag leaf SPAD, net photosynthetic rate), all peaking under the W2 and W3 treatments. While yield components and total water consumption exhibited linear increases with irrigation inputs, grain yield demonstrated a parabolic response, reaching maxima under W2 (29.3% increase over W0) and W3 (29.1%), whereas water use efficiency (WUE) displayed a distinct inverse trend, with W2 achieving the optimal balance (4.6% reduction vs. W0). The grain quality parameters exhibited divergent responses: the starch content increased proportionally with irrigation, while protein-associated indices (wet gluten, sedimentation value) and dough rheological properties (stability time, extensibility) peaked under W2. Notably, protein content and its subcomponents followed a unimodal pattern, with the W0, W1, and W2 treatments surpassing W3 by 3.4, 11.6, and 11.3%, respectively. Strong correlations emerged between protein composition and processing quality, while regression modeling identified an optimal water consumption threshold (3250~3500 m3 ha−1) that concurrently maximized grain yield, protein output, and WUE. The W2 regime achieved the synchronization of water conservation, yield preservation, and quality enhancement through strategic irrigation timing during critical growth phases. These findings establish a scientifically validated framework for sustainable, intensive wheat production in arid irrigation districts, resolving the tripartite challenge of water scarcity mitigation, food security assurance, and processing quality optimization through precision water management. Full article
(This article belongs to the Section Agricultural Water Management)
Show Figures

Figure 1

14 pages, 2756 KB  
Article
Characteristics of Tree Growth at the Early Stage of Natural Succession on Abandoned Farmland in Southwest China’s Karst Region
by Xianli Cai, Yanwei Wang, Weijun Luo, Yangyang Wu, Anyun Cheng, Jia Chen, Lin Zhang and Shijie Wang
Forests 2025, 16(4), 674; https://doi.org/10.3390/f16040674 - 12 Apr 2025
Cited by 2 | Viewed by 983
Abstract
Southwest China’s karst region represents a global hotspot for ecological restoration, with natural succession on abandoned farmland emerging as a pivotal mechanism under recent land-use transitions. Despite its ecological significance, empirical data remain scarce regarding tree growth characteristics in this fragile ecosystem. This [...] Read more.
Southwest China’s karst region represents a global hotspot for ecological restoration, with natural succession on abandoned farmland emerging as a pivotal mechanism under recent land-use transitions. Despite its ecological significance, empirical data remain scarce regarding tree growth characteristics in this fragile ecosystem. This seven-year study (2018–2024) at Puding Karst Ecosystem Research Station quantified the spatiotemporal patterns of tree growth through monthly diameter at breast height (DBH) measurements for dominant species, coupled with microhabitat characterization (rock exposure, competition indices, and canopy architecture). Key findings revealed that the mean annual DBH increment was 5.74 mm/a, while biomass accumulation averaged 9.38 kg/a; growing-season drought duration significantly modulated interannual growth variation; and microhabitat heterogeneity and tree size significantly influenced the spatial variance of tree growth. These results substantiate natural succession as an effective carbon sequestration strategy, particularly in nutrient-depleted karst terrains. We advocate for the policy prioritization of passive restoration over active afforestation in marginal croplands. Full article
(This article belongs to the Section Forest Ecology and Management)
Show Figures

Figure 1

24 pages, 16499 KB  
Article
Estimating Maize Crop Height and Aboveground Biomass Using Multi-Source Unmanned Aerial Vehicle Remote Sensing and Optuna-Optimized Ensemble Learning Algorithms
by Yafeng Li, Changchun Li, Qian Cheng, Fuyi Duan, Weiguang Zhai, Zongpeng Li, Bohan Mao, Fan Ding, Xiaohui Kuang and Zhen Chen
Remote Sens. 2024, 16(17), 3176; https://doi.org/10.3390/rs16173176 - 28 Aug 2024
Cited by 16 | Viewed by 3731
Abstract
Accurately assessing maize crop height (CH) and aboveground biomass (AGB) is crucial for understanding crop growth and light-use efficiency. Unmanned aerial vehicle (UAV) remote sensing, with its flexibility and high spatiotemporal resolution, has been widely applied in crop phenotyping studies. Traditional canopy height [...] Read more.
Accurately assessing maize crop height (CH) and aboveground biomass (AGB) is crucial for understanding crop growth and light-use efficiency. Unmanned aerial vehicle (UAV) remote sensing, with its flexibility and high spatiotemporal resolution, has been widely applied in crop phenotyping studies. Traditional canopy height models (CHMs) are significantly influenced by image resolution and meteorological factors. In contrast, the accumulated incremental height (AIH) extracted from point cloud data offers a more accurate estimation of CH. In this study, vegetation indices and structural features were extracted from optical imagery, nadir and oblique photography, and LiDAR point cloud data. Optuna-optimized models, including random forest regression (RFR), light gradient boosting machine (LightGBM), gradient boosting decision tree (GBDT), and support vector regression (SVR), were employed to estimate maize AGB. Results show that AIH99 has higher accuracy in estimating CH. LiDAR demonstrated the highest accuracy, while oblique photography and nadir photography point clouds were slightly less accurate. Fusion of multi-source data achieved higher estimation accuracy than single-sensor data. Embedding structural features can mitigate spectral saturation, with R2 ranging from 0.704 to 0.939 and RMSE ranging from 0.338 to 1.899 t/hm2. During the entire growth cycle, the R2 for LightGBM and RFR were 0.887 and 0.878, with an RMSE of 1.75 and 1.76 t/hm2. LightGBM and RFR also performed well across different growth stages, while SVR showed the poorest performance. As the amount of nitrogen application gradually decreases, the accumulation and accumulation rate of AGB also gradually decrease. This high-throughput crop-phenotyping analysis method offers advantages, such as speed and high accuracy, providing valuable references for precision agriculture management in maize fields. Full article
Show Figures

Graphical abstract

17 pages, 2002 KB  
Article
Nutrient and Growth Response of Fagus sylvatica L. Saplings to Drought Is Modified by Fertilisation
by Mia Marušić, Ivan Seletković, Mladen Ognjenović, Mathieu Jonard, Krunoslav Sever, Marcus Schaub, Arthur Gessler, Mario Šango, Ivana Sirovica, Ivana Zegnal, Robert Bogdanić and Nenad Potočić
Forests 2023, 14(12), 2445; https://doi.org/10.3390/f14122445 - 14 Dec 2023
Cited by 4 | Viewed by 2106
Abstract
The increased frequency of climate change-induced droughts poses a survival challenge for forest trees, particularly for the common beech (Fagus sylvatica L.). Drought conditions adversely affect water supply and nutrient uptake, yet there is limited understanding of the intricate interplay between nutrient [...] Read more.
The increased frequency of climate change-induced droughts poses a survival challenge for forest trees, particularly for the common beech (Fagus sylvatica L.). Drought conditions adversely affect water supply and nutrient uptake, yet there is limited understanding of the intricate interplay between nutrient availability and drought stress on the physiology, growth, and biomass accumulation in young trees. We aimed to address this knowledge gap by examining the effects of irrigation and fertilisation and their interaction with various parameters in common beech saplings, including foliar and root N, P, and K concentrations; height and diameter increments; and aboveground and belowground biomass production. Our findings revealed that a higher fertilisation dose increased nutrient availability, also partially mitigating immediate drought impacts on foliar N concentrations. Also, higher fertilisation supported the post-drought recovery of foliar phosphorus levels in saplings. Prolonged drought affected nitrogen and potassium foliar concentrations, illustrating the lasting physiological impact of drought on beech trees. While drought-stressed beech saplings exhibited reduced height increment and biomass production, increased nutrient availability positively impacted root collar diameters. These insights have potential implications for forest management practices, afforestation strategies, and our broader understanding of the ecological consequences of climate change on forests. Full article
(This article belongs to the Special Issue Advances in Tree Ecophysiology under Drought Stress)
Show Figures

Figure 1

16 pages, 7148 KB  
Article
Variety-Driven Effect of Rhizosphere Microbial-Specific Recruitment on Drought Tolerance of Medicago ruthenica (L.)
by Jing Xing, Wenqiang Fan, Jiani Wang and Fengling Shi
Microorganisms 2023, 11(12), 2851; https://doi.org/10.3390/microorganisms11122851 - 24 Nov 2023
Cited by 5 | Viewed by 1840
Abstract
As one of the environmental factors that seriously affect plant growth and crop production, drought requires an efficient but environmentally neutral approach to mitigate its harm to plants. Soil microbiomes can interact with plants and soil to improve the adverse effects of drought. [...] Read more.
As one of the environmental factors that seriously affect plant growth and crop production, drought requires an efficient but environmentally neutral approach to mitigate its harm to plants. Soil microbiomes can interact with plants and soil to improve the adverse effects of drought. Medicago ruthenica (L.) is an excellent legume forage with strong drought tolerance, but the key role of microbes in fighting drought stress remains unclear. What kind of flora plays a key role? Is the recruitment of such flora related to its genotype? Therefore, we selected three varieties of M. ruthenica (L.) for drought treatment, analyzed their growth and development as well as their physiological and biochemical characteristics, and performed 16S rRNA high-throughput sequencing analysis on their rhizosphere soils to clarify the variety-mediated response of rhizosphere bacteria to drought stress. It was found that among the three varieties of M. ruthenica (L.), Mengnong No.2, Mengnong No.1 and Zhilixing were subjected to drought stress and showed a reduction in plant height increment of 24.86%, 34.37%, and 31.97% and in fresh weight of 39.19%, 50.22%, and 41.12%, respectively, whereas dry weight was reduced by 23.26%, 26.10%, and 24.49%, respectively. At the same time, we found that the rhizosphere microbial community of Mengnong No. 2 was also less affected by drought, and it was able to maintain the diversity of rhizosphere soil microflora stable after drought stress, while Mennong No. 1 and Zhilixing were affected by drought stress, resulting in a decrease in rhizosphere soil bacterial community diversity indices to 92.92% and 82.27%, respectively. Moreover, the rhizosphere of Mengnon No. 2 was enriched with more nitrogen-fixing bacteria Rhizobium than the other two varieties of M. ruthenica (L.), which made it still have a good ability to accumulate aboveground biomass after drought stress. In conclusion, this study proves that the enrichment process of bacteria is closely related to plant genotype, and different varieties enrich different types of bacteria in the rhizosphere to help them adapt to drought stress, and the respective effects are quite different. Our results provide new evidence for the study of bacteria to improve the tolerance of plants to drought stress and lay a foundation for the screening and study mechanism of drought-tolerant bacteria in the future. Full article
(This article belongs to the Section Plant Microbe Interactions)
Show Figures

Figure 1

22 pages, 2236 KB  
Article
Effects of Drought Hardening and Saline Water Irrigation on the Growth, Yield, and Quality of Tomato
by Yang Gao, Guangcheng Shao, Jintao Cui, Jia Lu, Longjia Tian, Enze Song and Zhongyi Zeng
Agronomy 2023, 13(9), 2351; https://doi.org/10.3390/agronomy13092351 - 10 Sep 2023
Cited by 10 | Viewed by 3228
Abstract
Drought hardening could promote the development of plant roots, potentially improving the resistance of crops to other adversities. To investigate the response and resistance of physiological and growth characteristics induced by drought hardening to salt stress in the later stages, a greenhouse experiment [...] Read more.
Drought hardening could promote the development of plant roots, potentially improving the resistance of crops to other adversities. To investigate the response and resistance of physiological and growth characteristics induced by drought hardening to salt stress in the later stages, a greenhouse experiment was carried out from 2021 to 2022 with one blank control treatment and twelve treatments that comprised combinations of four irrigation regimes (W1 = 85%, W2 = 70%, W3 = 55%, and W4 = 40% of the field capacity) and three irrigation water salinity levels (S2, S4, and S6, referring to 2 g, 4 g, and 6 g of sodium chloride added to 1000 mL of tap water, respectively). The results show that saline water irrigation introduced a large amount of salt into the soil, resulting in the deterioration of tomato growth, physiology, yield, and water use efficiency (WUE), but had a positive, significant effect on fruit quality. When the irrigation water salinity was 2 g L−1, the W2 treatment could reduce soil salt accumulation, even at the end of the maturation stage; consequently, enhancing the increments in plant height and leaf area index during the whole growing stage. The physiological activity of tomato plants under the W2 and W3 treatments showed a promoting effect. Correspondingly, the maximum values of the fruit quality of tomato plants irrigated with the same saline water were all obtained with the W2 or W3 treatment. However, the yield and WUE of the W3 treatment were lower than that of the W2 treatment, which was the highest among the same saline water irrigation treatments, consistent with the reflection of the changing trend of the ratio of fresh weight to dry weight. Overall, drought hardening can be considered an economically viable approach to mitigate the hazards of saline water irrigation, and the W2S2 combination is recommended for tomato production due to the maximum values of yield and WUE with a higher fruit quality among the twelve saline water irrigation treatments. Full article
(This article belongs to the Special Issue Saline Water Irrigation in Agriculture)
Show Figures

Figure 1

17 pages, 3017 KB  
Article
Effects of Oxygenated Brackish Water on Pakchoi (Brassica chinensis L.) Growth Characteristics Based on a Logistic Crop Growth Model
by Yuyang Shan, Yan Sun, Wanghai Tao and Lijun Su
Agriculture 2023, 13(7), 1345; https://doi.org/10.3390/agriculture13071345 - 3 Jul 2023
Cited by 4 | Viewed by 1916
Abstract
Oxygenated irrigation can improve soil physical and chemical properties and increase vegetable yields. It provides an effective method for safe and efficient utilization of brackish water, but its growth-promoting pathway is unclear. We investigated the effects of brackish water culture at five dissolved [...] Read more.
Oxygenated irrigation can improve soil physical and chemical properties and increase vegetable yields. It provides an effective method for safe and efficient utilization of brackish water, but its growth-promoting pathway is unclear. We investigated the effects of brackish water culture at five dissolved oxygen concentrations (9.5 (CK), 12.5, 15.5, 18.5, and 22.5 mg/L) on pakchoi (Brassica chinensis L.) growth characteristics by hydroponics experiment, and the logistic model to fit and analyze pakchoi growth characteristics. At a brackish water dissolved oxygen concentration of 18.5 mg/L, nitrogen mass fraction was significantly higher than in a control treatment by 43.4%, and pakchoi effective accumulated temperature increment during vigorous plant height and root length growth was significantly lower than other treatments. The logistic model effectively simulated pakchoi plant height and root length growth, and both theoretical maximum plant height and root length reached their maximum values at 18.5 mg/L dissolved oxygen concentration. Path analysis showed that the maximum net photosynthetic rate and nitrogen mass fraction were the main factors affecting aboveground pakchoi fresh weight. In conclusion, a dissolved oxygen concentration of 18.5 mg/L in brackish water is more appropriate for pakchoi to achieve high yield under brackish water hydroponics conditions. Our results provide guidance for the safe and efficient utilization of brackish water in green and efficient vegetable production. Full article
Show Figures

Figure 1

14 pages, 6824 KB  
Article
Thickness of a Compost Layer on the Distribution of Water and Nutrients in a Surface-Drip-Irrigated Sandy Soil Column
by Jiahao Zhang, Zhaoxuan Li, Yanxin Luo, Xinyi Wang, Dongyan Yang and Xueyan Zhang
Agronomy 2023, 13(5), 1181; https://doi.org/10.3390/agronomy13051181 - 22 Apr 2023
Cited by 1 | Viewed by 2096
Abstract
The management of crop production in a sandy soil “culture” is difficult, mainly due to its low soil-water-holding capacity, organic matter and poor fertilizer efficiency. Options to increase soil water and nutrient retention for these soils include the addition of surface mulch covers, [...] Read more.
The management of crop production in a sandy soil “culture” is difficult, mainly due to its low soil-water-holding capacity, organic matter and poor fertilizer efficiency. Options to increase soil water and nutrient retention for these soils include the addition of surface mulch covers, amendment with biochar and the use of layers of a mixture of charcoal and compost material. Our objective was to measure the distribution of water and nutrients for layers of control 1 (CK1), control 2 (CK2) and compost material of different thicknesses (0.02, 0.05 and 0.10 m) buried 0.01 m from the surface in a column (0.2 m radius, 0.5 m height) filled with sand. The experiment was conducted in a greenhouse located at the Agricultural Science Training Base of Ningxia University, China. There were three replicates per treatment and one soil column per replicate. The soil columns were watered with 2 L via a surface drip emitter and 45 days later, soil samples were obtained in 0.01 m increments across the diameter and depth of 0.4 m, with a total of 12 samples per column. In each sample, we measured soil water, pH, electrical conductivity, ammonium and nitrate nitrogen and available P and K. The results showed that the distribution of water content and nutrient contents were centered on the dripper and diffused to its surroundings. Notably, the horizontal diffusion distance was smaller than that of the vertical direction. In the vertical direction, compared with control 1, adding compost changed the spatial distribution of WC and nutrients and had a greater impact on available potassium (AK) than on inorganic nitrogen (IN) and available phosphorus (AP). Compared with control 1, the composting treatment decreased the content of water in the 0–10 cm surface soil, reduced the electrical conductivity (EC) and nitrate nitrogen (NO3-N), C5 and C10 increased the available potassium. Moreover, composting treatments increased the electrical conductivity, available phosphorus, available potassium and nitrate nitrogen of the 10–30 cm substrate by 61–384%, 10–240%, 11–45% and 133–929%, respectively, when compared with control 1.The nutrients increased as the thickness of the compost interlayer increased. A principal component analysis (PCA) of the C5 and C10 treatments significantly distinguished them from control 1. A linear regression fitting analysis showed that the inorganic nitrogen, available potassium and total nutrients positively correlated with the water content and electrical conductivity of the sand. The 5 cm and 10 cm composting interlayers had a high water content and ability to conserve fertilizer for sand culture, but C10 caused an excessive accumulation of nutrients. Thus, it was concluded that a composting interlayer that was less than 5 cm reduced the base fertilizer input by 24–84%. All these results suggest that applying a composting interlayer of 5 cm could retain more suitable root zone water and fertilizer for the next crop season and provide technological support to reduce fertilizer inputs. Full article
Show Figures

Figure 1

16 pages, 19656 KB  
Article
Simulation and Experimental Study of Laser Processing NdFeB Microarray Structure
by Yong Zhao, Shuo Wang, Wenhui Yu, Pengyu Long, Jinlong Zhang, Wentao Tian, Fei Gao, Zhuji Jin, Hongyu Zheng, Chunjin Wang and Jiang Guo
Micromachines 2023, 14(4), 808; https://doi.org/10.3390/mi14040808 - 31 Mar 2023
Cited by 9 | Viewed by 2752
Abstract
NdFeB materials are widely used in the manufacturing of micro-linear motor sliders due to their excellent permanent magnetic properties. However, there are many challenges in processing the slider with micro-structures on the surface, such as complicated steps and low efficiency. Laser processing is [...] Read more.
NdFeB materials are widely used in the manufacturing of micro-linear motor sliders due to their excellent permanent magnetic properties. However, there are many challenges in processing the slider with micro-structures on the surface, such as complicated steps and low efficiency. Laser processing is expected to solve these problems, but few studies have been reported. Therefore, simulation and experiment studies in this area are of great significance. In this study, a two-dimensional simulation model of laser-processed NdFeB material was established. Based on the overall effects of surface tension, recoil pressure, and gravity, the temperature field distribution and morphological characteristics with laser processing were analyzed. The flow evolution in the melt pool was discussed, and the mechanism of microstructure formation was revealed. In addition, the effect of laser scanning speed and average power on machining morphology was investigated. The results show that at an average power of 8 W and a scanning speed of 100 mm/s, the simulated ablation depth is 43 μm, which is consistent with the experimental results. During the machining process, the molten material accumulated on the inner wall and the outlet of the crater after sputtering and refluxing, forming a V-shaped pit. The ablation depth decreases with the increment of the scanning speed, while the depth and length of the melt pool, along with the height of the recast layer, increase with the average power. Full article
(This article belongs to the Special Issue Frontiers in Ultra-Precision Machining, Volume II)
Show Figures

Figure 1

25 pages, 14307 KB  
Article
Toward the Utilization of 3D Blading in the Cantilevered Stator from Highly Loaded Compressors
by Xiaobin Xu, Ruoyu Wang, Xianjun Yu, Guangfeng An, Ying Qiu and Baojie Liu
Appl. Sci. 2023, 13(5), 3335; https://doi.org/10.3390/app13053335 - 6 Mar 2023
Cited by 1 | Viewed by 2133
Abstract
Three-dimensional blading is an efficient technique in compressor aerodynamic design, and its function mechanism in the cantilevered stator needs to be addressed. This paper focuses on the sweep and dihedral in the cantilevered stator and seeks to expose their effects through detailed flow [...] Read more.
Three-dimensional blading is an efficient technique in compressor aerodynamic design, and its function mechanism in the cantilevered stator needs to be addressed. This paper focuses on the sweep and dihedral in the cantilevered stator and seeks to expose their effects through detailed flow field analysis. Results show that the forward sweep could alleviate the corner flow separation by preventing the accumulation of the secondary flow toward the corner region, resulting in stronger flow separation at the blade trailing edge; in summary, forward sweep with appropriate parameters could increase static pressure rise by 14.3%. The positive dihedral will carry the endwall flow to the upper-span sections, thereby reducing blade corner separation; hence, as much as 23.5% improvement in static pressure rise could be obtained with the appropriate dihedral. Moreover, the combination of a relatively large sweep height and a moderate sweep angle with a low dihedral height and a moderate sweep angle provides optimum aerodynamic performance; the static pressure rise coefficient sees an increment of 25.5% at the near stall point. An experiment is then performed to further validate the theory, which shows a 2% improvement in efficiency of 3D blading at small mass flow rates. However, the secondary leakage should be given attention at high mass flow coefficients, while the corner separation needs further elimination at small mass flow rates. Full article
(This article belongs to the Special Issue Flow Control, Active and Passive Applications)
Show Figures

Figure 1

15 pages, 3799 KB  
Article
Effect of Elevated CO2 and Drought on Biomass, Gas Exchange and Wood Structure of Eucalyptus grandis
by Layssa da Silva Costa, Jasmin Vuralhan-Eckert and Jörg Fromm
Plants 2023, 12(1), 148; https://doi.org/10.3390/plants12010148 - 28 Dec 2022
Cited by 4 | Viewed by 3048
Abstract
Juvenile Eucalyptus grandis were exposed to drought and elevated CO2 to evaluate the independent and interactive effects on growth, gas exchange and wood structure. Trees were grown in a greenhouse at ambient and elevated CO2 (aCO2, 410 ppm; eCO [...] Read more.
Juvenile Eucalyptus grandis were exposed to drought and elevated CO2 to evaluate the independent and interactive effects on growth, gas exchange and wood structure. Trees were grown in a greenhouse at ambient and elevated CO2 (aCO2, 410 ppm; eCO2, 950 ppm), in combination with daily irrigation and cyclic drought during one growing season. The results demonstrated that drought stress limited intercellular CO2 concentration, photosynthesis, stomatal conductance, and transpiration, which correlated with a lower increment in height, stem diameter and biomass. Drought also induced formation of frequent and narrow vessels accompanied by a reduction in vessel lumen area. Conversely, elevated CO2 increased intercellular CO2 concentration as well as photosynthesis, and partially closed stomata, leading to a more efficient water use, especially under drought. There was a clear trend towards greater biomass accumulation at eCO2, although the results did not show statistical significance for this parameter. We observed an increase in vessel diameter and vessel lumen area at eCO2, and, contrarily, the vessel frequency decreased. Thus, we conclude that eCO2 delayed the effects of drought and potentialized growth. However, results on vessel anatomy suggest that increasing vulnerability to cavitation due to formation of larger vessels may counteract the beneficial effects of eCO2 under severe drought. Full article
(This article belongs to the Special Issue Abiotic Stress Responses in Woody Plants)
Show Figures

Figure 1

15 pages, 2483 KB  
Article
Resilience of Pinus durangensis Martínez in Extreme Drought Periods: Vertical and Horizontal Response of Tree Rings
by Citlalli Cabral-Alemán, José Villanueva-Díaz, Gerónimo Quiñonez-Barraza and Armando Gómez-Guerrero
Atmosphere 2023, 14(1), 43; https://doi.org/10.3390/atmos14010043 - 26 Dec 2022
Cited by 5 | Viewed by 2530
Abstract
Extreme drought events reduce the productivity of forest ecosystems. One approach for estimating the effects of drought on forests is by assessing their resilience. The objective of this study was to estimate resilience rates at different heights along the tree stem of Pinus [...] Read more.
Extreme drought events reduce the productivity of forest ecosystems. One approach for estimating the effects of drought on forests is by assessing their resilience. The objective of this study was to estimate resilience rates at different heights along the tree stem of Pinus durangensis Martínez. The radial growth of 200 cross sections extracted at four heights of tree stems (0.07–0.15, 1.3, 6.3, and 11.0–12.0 m) was analyzed and subsequently transformed into ring-width indices (RWI). These indices were correlated with the Standardized Precipitation-Evapotranspiration Index on a six-month time scale (accumulated drought of six months in the period February–May; SPEI06FM). Seven extreme drought events were identified (1890, 1902, 1956, 1974, 1999, 2006, 2011), and radial growth before, during, and after each event was determined. Based on ring-width index values, resistance, recovery, and resilience indices were calculated. The results indicated a significant correlation (p ≤ 0.05) between annual radial increment and climate indices along the stem (0.56 to 0.80). Climatic sensitivity was higher in the lower part of the stem, with mean sensitivity (MS) and expressed population signal (EPS) values of 0.38 and 0.97, respectively. Resistance index values ranged from 0.44 to 0.76 and were better expressed in higher sections of the stem. Resilience indices changed over time. Regardless of the height of the tree stem, the latest extreme drought events (1999, 2006, and 2011) have led to a lower resilience of trees, indicating that their recovery capacity has decreased. Therefore, forestry practices in the study area may consider managing tree density as a strategy to regulate the stress in competition and to increase the tolerance of trees to drought. Full article
(This article belongs to the Special Issue Climate Change Impact on the Forest Hydrological Cycle)
Show Figures

Figure 1

12 pages, 3386 KB  
Article
Effects of Drought and Host on the Growth of Santalum album Seedlings in Pot Culture
by Qilei Zhang, Xiaojin Liu, Daping Xu, Zhou Hong, Ningnan Zhang and Zhiyi Cui
Int. J. Mol. Sci. 2022, 23(19), 11241; https://doi.org/10.3390/ijms231911241 - 24 Sep 2022
Cited by 15 | Viewed by 2540
Abstract
Santalum album is a semi parasitic plant and its growth is often restricted due to a lack of a host or water during plantation establishment. In this study, the effects of water and the host on the growth of S. album seedlings were [...] Read more.
Santalum album is a semi parasitic plant and its growth is often restricted due to a lack of a host or water during plantation establishment. In this study, the effects of water and the host on the growth of S. album seedlings were studied in pot culture. The results showed that the net photosynthetic rate and height of S. album seedlings decreased significantly under drought stress. Compared with the seedlings of S. album grown without a host, the host could significantly increase the growth of S. album seedlings. The contents of soluble sugar and proline in S. album leaves increased significantly under drought stress. Drought stress resulted in a significant accumulation of malondialdehyde, increments of antioxidant enzymes activity, and non-enzymatic antioxidant substances. Antioxidant capacity was stronger and malondialdehyde content was lower in the seedling leaves of S. album with a host than in the seedlings without a host. RNA-seq was used to analyze the transcription expression profiles of S. album leaves and the results were consistent with the physiological data. These results indicate that the host can promote the seedling growth of S. album and it can increase the antioxidant capacity and osmotic adjustment substance content of the seedlings of S. album, alleviating the damage caused by drought. Full article
(This article belongs to the Section Molecular Plant Sciences)
Show Figures

Figure 1

Back to TopTop