Thickness of a Compost Layer on the Distribution of Water and Nutrients in a Surface-Drip-Irrigated Sandy Soil Column
Abstract
1. Introduction
- (1)
- To investigate the effect of compost interlayer constructed on the spatial distribution of water and nutrients in sand;
- (2)
- To determine the optimum thickness of the compost layer for adding 10–30 cm of water and nutrients; and
- (3)
- To propose a new way of using compost.
2. Materials and Methods
2.1. Experimental Design and Management
2.2. Sand Sampling and Analyses
2.3. Statistical Analysis
3. Results
3.1. Spatial Distribution of the WC under Compost Interlayers with Different Thicknesses
3.2. Spatial Distribution of the pH and EC of Sand under the Construction of Compost Layers with Different Thicknesses
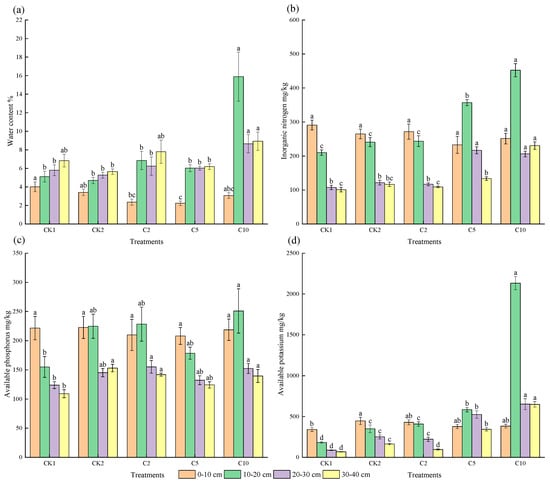
3.3. Spatial Distribution of Nutrients under Different Thicknesses of Compost Layer
3.4. Influence of the Construction of Different Thicknesses of Compost Layer on the Sand Water Content and Primary Nutrient Distribution
3.5. PCA of the Primary Plow Layer Nutrients in Different Treatments and a Linear Fitting Analysis with WC and EC
4. Discussion
5. Conclusions
Author Contributions
Funding
Data Availability Statement
Conflicts of Interest
References
- Driessen, P.; Deckers, J.; Spaargaren, O.; Nachtergaele, F. (Eds.) Lecture Notes on the Major Soils of the World; Food and Agricultural Organization of the United Nations: Roma, Italy, 2001; Volume 94, p. 334. Available online: https://edepot.wur.nl/82729 (accessed on 1 September 2020).
- Shi, P.-J.; Shimizu, H.; Wang, J.-A.; Liu, L.-Y.; Li, X.-Y.; Fan, Y.-D.; Yu, Y.-J.; Jia, H.-K.; Zhao, Y.; Wang, L. Land degradation and blown-sand disaster in China. In Plant Responses to Air Pollution and Global Change; Springer: Tokyo, Japan, 2005; pp. 261–269. [Google Scholar]
- Yu, X.; Grace, M.; Zou, Y.; Yu, X.; Lu, X.; Wang, G. Surface sediments in the marsh-sandy land transitional area: Sandification in the western Songnen Plain, China. PLoS ONE 2014, 9, e99715. [Google Scholar] [CrossRef] [PubMed]
- Wang, F.; Pan, X.; Wang, D.; Shen, C.; Lu, Q. Combating desertification in China: Past, present and future. Land Use Policy 2013, 31, 311–313. [Google Scholar] [CrossRef]
- Paolo, D.O.; Abinash, B.; Kyle, F.D.; Sujith, R.; Christiane, W.R. Global desertification: Drivers and feedbacks. Adv. Water Resour. 2013, 51, 326–344. [Google Scholar] [CrossRef]
- Han, Y.; Liu, Z.; Yu, X.; Wang, J. Desertification monitoring and early warning in context of sandy land consolidation. Trans. Chin. Soc. Agric. Eng. 2017, 33, 271–277. [Google Scholar]
- Ma, S.; Wang, G.; Yang, S. Land desertification control and ecological restoration in northwestern China. Bull. Soil Water Conserv. 2004, 5, 105–108. [Google Scholar] [CrossRef]
- Kwesi Asomaning, S.; Abekoe, M.; Dowuona, G.N.N.; Borggaard, O.; Kristensen, J.; Breuning-Madsen, H. Sustainable long-term intensive application of manure to sandy soils without phosphorus leaching: A case study from Ghana. Acta Agric. Scand. Sect. B—Soil Plant Sci. 2015, 65, 747–754. [Google Scholar] [CrossRef]
- Li, C.; Huang, l.; Guo, S.; Guo, S.; Lu, C.; Cui, J. Screening test on the variety conversion of gift watermelon with sand culture in the desert solar greenhouse. North. Hortic. 2014, 16, 37–39. [Google Scholar]
- Weber, J.; Karczewska, A.; Drozd, J.; Licznar, M.; Licznar, S.; Jamroz, E.; Kocowicz, A. Agricultural and ecological aspects of a sandy soil as affected by the application of municipal solid waste composts. Soil Biol. Biochem. 2007, 39, 1294–1302. [Google Scholar] [CrossRef]
- Duan, Z.; Xiao, H.; Dong, Z.; Wang, G.; Drake, S. Morphological, physical and chemical properties of aeolian sandy soils in northern China. J. Arid Environ. 2007, 68, 66–76. [Google Scholar] [CrossRef]
- Li, X.; Xiao, H.L.; He, M.; Zhang, J.G. Sand barriers of Straw checkerboard for habitat restoration in extremely arid desert region of China. Ecol. Eng. 2006, 28, 149–157. [Google Scholar] [CrossRef]
- Yao, R.; Li, H.; Yang, J.; Chen, Q.; Zheng, F.; Shang, H. Regulation effect of biomass improved materials on migration of soil water, salt and nitrogen in salt-affected soil under drip irrigation. Trans. Chin. Soc. Agric. Mach. 2020, 51, 282–291. [Google Scholar]
- Ding, L. The Effect of Sheep Dung Biochar and Composting Products on the Nutrient Improvement of Sandy Soil. Master’s Thesis, Zhejiang Agricultural and Forestry University, Hangzhou, China, 2018. [Google Scholar]
- Karbout, N.; Brahim, N.; Mlih, R.; Moussa, M.; Bousnina, H.; Weihermuller, L.; Bol, R. Bentonite clay combined with organic amendments to enhance soil fertility in oasis agrosystem. Arab. J. Geosci. 2021, 14, 428. [Google Scholar] [CrossRef]
- Boutchich, G.E.K.; Tahiri, S.; Krati, M.E.; Kabil, E.M.; Lhadi, E.K.; Mahi, M.; de la Guardia, M. Sandy soil modification by bio-composts for wheat production. Waste Biomass Valorization 2018, 9, 1129–1139. [Google Scholar] [CrossRef]
- Han, Y.; Xu, Y.; He, J.; Bai, W.; Song, J.; Lv, G. Movement of water and nitrate in sandy soil containing a layer of mixture of water-absorbing polymer and soil. J. Irrig. Drain. 2019, 38, 44–48. [Google Scholar] [CrossRef]
- Hu, Z.; Liu, S.; Gong, Y. Evaluation of soil quality and maize growth in different profiles of reclaimed land with coal gangue filling. Land 2021, 10, 1307. [Google Scholar] [CrossRef]
- Yang, M.; Yang, R.; Li, Y.; Pan, Y.; Sun, J.; Zhang, Z. Effects of different biomass materials as a salt-isolation layer on water and salt migration in coastal saline soil. PeerJ 2021, 9, e11766. [Google Scholar] [CrossRef]
- Kusparwanti, T.R.; Eliyatiningsih; Wardana, R. Application legume compost with bio-activator Trichoderma sp as Inorganic fertilizer substitution in sweet corn (Zea mays L. saccharata) cultivation. IOP Conf. Ser. Earth Environ. Sci. 2020, 411, 012063. [Google Scholar] [CrossRef]
- Bergstrand, K.-J. Organic fertilizers in greenhouse production systems—A review. Sci. Hortic. 2022, 295, 110855. [Google Scholar] [CrossRef]
- Olsen, S.R. Estimation of Available Phosphorus in Soils by Extraction with Sodium Bicarbonate; USDA Circular No. 939; USA Government Print Office: Washington DC, USA, 1954; pp. 1–19.
- Knudsen, D.; Peterson, G.; Pratt, P. Lithium, sodium, and potassium. In Methods of Soil Analysis: Part 2 Chemical and Microbiological Properties, 9.2.2, 2nd ed.; American Society of Agronomy: Madison, WI, USA, 1983; Volume 9, pp. 225–246. [Google Scholar]
- Zhang, Z.; Sun, D.; Tang, Y.; Zhu, R.; Li, X.; Gruda, N.; Dong, J.; Duan, Z. Plastic shed soil salinity in China: Current status and next steps. J. Clean. Prod. 2021, 296, 126453. [Google Scholar] [CrossRef]
- Hassan, M.; Mohamed, M.; Mostafa, Z. Response of lettuce (Lactuca sativa L.) plants to application of compost levels under various irrigation regimes. Middle East J. 2019, 8, 662–674. [Google Scholar]
- Wang, J.; Huang, Y.; Long, H.; Hou, S.; Xing, A.; Sun, Z. Simulations of water movement and solute transport through different soil texture configurations under negative-pressure irrigation: No have. Hydrol. Process. 2017, 31, 2599–2612. [Google Scholar] [CrossRef]
- Lu, W.; Zhang, J.; Wang, Y.; Jing, M.; Hu, Y. Research progress on soil secondary salinization in solar greenhouse. J. Heilongjiang Agric. Sci. 2021, 8, 112–116. [Google Scholar]
- Lin, Y.; Ye, G.; Kuzyakov, Y.; Liu, D.; Fan, J.; Ding, W. Long-term manure application increases soil organic matter and aggregation, and alters microbial community structure and keystone taxa. Soil Biol. Biochem. 2019, 134, 187–196. [Google Scholar] [CrossRef]
- Huang, Y.; Cao, G.; Geng, Y.; Ye, Q.; Li, J.; Han, Y. Effects of agricultural wastes returned to the field on soil nitrogen content and nitrogen use efficiency. J. Jilin Agric. Univ. 2020, 42, 167–174. [Google Scholar] [CrossRef]
- Huang, C.; Xu, J. Soil Science, 3rd ed.; China Agriculture Press: Beijing, China, 2010; pp. 202–206. [Google Scholar]
- Gallardo-Lara, F.; Nogales, R. Effect of the application of town refuse compost on the soil-plant system: A review. Biol. Wastes 1987, 19, 35–62. [Google Scholar] [CrossRef]
- Liu, Y.; Li, T.; Yu, H.; Zhang, X. Effect of interaction between manure and inorganic fertilizers on salt content and ion composition in greenhouse soil. J. Agro-Environ. Sci. 2009, 28, 292–298. [Google Scholar] [CrossRef]
- Zhang, J.; Li, J.; Zhao, B.; Li, Y. Simulation of water and nitrogen dynamics as affected by drip fertigation strategies. J. Integr. Agric. 2015, 14, 2434–2445. [Google Scholar] [CrossRef]
- Cui, J.; Liu, M.; Zhao, Y.; Song, S.; Liu, X.; Xia, X.; Li, S.; Liu, J. Effects of different nitrogen forms on growth and nitrogen utilization of foxtail millet. Shandong Agric. Sci. 2021, 53, 58–64. [Google Scholar] [CrossRef]
- Xiao, Y.; Yang, P.; Wu, B.; Liu, J.; Guo, T. Analysis of arid oasis areas soil nitrogen accumulation and winter irrigation effect. Water Sav. Irrig. 2018, 2, 71–76. [Google Scholar]
- Yu, H.; Li, T.; Zhang, X. Nutrient budget and soil nutrient status in greenhouse system. Sci. Agric. Sin. 2010, 43, 514–522. [Google Scholar] [CrossRef]
- Luan, H.; Gao, W.; Tang, J.; Li, R.; Li, M.; Zhang, H.; Chen, X.; Masiliunas, D.; Huang, S. Aggregate-associated changes in nutrient properties, microbial community and functions in a greenhouse vegetable field based on an eight-year fertilization experiment of China. J. Integr. Agric. 2020, 19, 2530–2548. [Google Scholar] [CrossRef]
- Zhang, J.; Duan, Z. Preliminary study on classification and grading standards and causes and hazards of secondary salinization of facility vegetable soils. Soils 2011, 43, 6. [Google Scholar]
- Wang, Q.; Liu, Q.; Gao, Y.; Liu, X. Review on the mechanisms of the response to salinity-alkalinity stress in plants. Acta Ecol. Sin. 2017, 37, 5565–5577. [Google Scholar]
- Corwin, D.L.; Lesch, S.M. Apparent soil electrical conductivity measurements in agriculture. Comput. Electron. Agric. 2005, 46, 11–43. [Google Scholar] [CrossRef]
- Li, J.; Huang, G. Pilot study of salinity (NaCl) affecting nitrogen transformation in silt loam soil. Res. Environ. Sci. 2008, 21, 98–103. [Google Scholar] [CrossRef]










| Materials | Bulk Density (g cm−3) | pH | Electrical Conductivity mS cm−1) | Available Potassium (mg kg−1) | Available Phosphorus (mg kg−1) | Ammonium Nitrogen (mg kg−1) | Nitrate Nitrogen (mg kg−1) |
|---|---|---|---|---|---|---|---|
| Sand | 0.83 | 9.02 | 0.14 | 8.96 | 3.91 | 19.75 | 12.24 |
| Compost | 0.25 | 7.86 | 1.66 | 979.10 | 2024.79 | 1948.33 | 3316.66 |
Disclaimer/Publisher’s Note: The statements, opinions and data contained in all publications are solely those of the individual author(s) and contributor(s) and not of MDPI and/or the editor(s). MDPI and/or the editor(s) disclaim responsibility for any injury to people or property resulting from any ideas, methods, instructions or products referred to in the content. |
© 2023 by the authors. Licensee MDPI, Basel, Switzerland. This article is an open access article distributed under the terms and conditions of the Creative Commons Attribution (CC BY) license (https://creativecommons.org/licenses/by/4.0/).
Share and Cite
Zhang, J.; Li, Z.; Luo, Y.; Wang, X.; Yang, D.; Zhang, X. Thickness of a Compost Layer on the Distribution of Water and Nutrients in a Surface-Drip-Irrigated Sandy Soil Column. Agronomy 2023, 13, 1181. https://doi.org/10.3390/agronomy13051181
Zhang J, Li Z, Luo Y, Wang X, Yang D, Zhang X. Thickness of a Compost Layer on the Distribution of Water and Nutrients in a Surface-Drip-Irrigated Sandy Soil Column. Agronomy. 2023; 13(5):1181. https://doi.org/10.3390/agronomy13051181
Chicago/Turabian StyleZhang, Jiahao, Zhaoxuan Li, Yanxin Luo, Xinyi Wang, Dongyan Yang, and Xueyan Zhang. 2023. "Thickness of a Compost Layer on the Distribution of Water and Nutrients in a Surface-Drip-Irrigated Sandy Soil Column" Agronomy 13, no. 5: 1181. https://doi.org/10.3390/agronomy13051181
APA StyleZhang, J., Li, Z., Luo, Y., Wang, X., Yang, D., & Zhang, X. (2023). Thickness of a Compost Layer on the Distribution of Water and Nutrients in a Surface-Drip-Irrigated Sandy Soil Column. Agronomy, 13(5), 1181. https://doi.org/10.3390/agronomy13051181
