Sign in to use this feature.

Years

Between: -

Subjects

remove_circle_outline
remove_circle_outline
remove_circle_outline
remove_circle_outline
remove_circle_outline
remove_circle_outline
remove_circle_outline
remove_circle_outline

Journals

Article Types

Countries / Regions

Search Results (21)

Search Parameters:
Keywords = Viola–Jones Algorithm

Order results
Result details
Results per page
Select all
Export citation of selected articles as:
19 pages, 444 KB  
Article
Enhancing Cascade Object Detection Accuracy Using Correctors Based on High-Dimensional Feature Separation
by Andrey V. Kovalchuk, Andrey A. Lebedev, Olga V. Shemagina, Irina V. Nuidel, Vladimir G. Yakhno and Sergey V. Stasenko
Technologies 2025, 13(12), 593; https://doi.org/10.3390/technologies13120593 - 16 Dec 2025
Cited by 2 | Viewed by 490
Abstract
This study addresses the problem of correcting systematic errors in classical cascade object detectors under severe data scarcity and distribution shift. We focus on the widely used Viola–Jones framework enhanced with a modified Census transform and propose a modular “corrector” architecture that can [...] Read more.
This study addresses the problem of correcting systematic errors in classical cascade object detectors under severe data scarcity and distribution shift. We focus on the widely used Viola–Jones framework enhanced with a modified Census transform and propose a modular “corrector” architecture that can be attached to an existing detector without retraining it. The key idea is to exploit the blessing of dimensionality: high-dimensional feature vectors constructed from multiple cascade stages are transformed by PCA and whitening into a space where simple linear Fisher discriminants can reliably separate rare error patterns from normal operation using only a few labeled examples. This study presents a novel algorithm designed to correct the outputs of object detectors constructed using the Viola–Jones framework enhanced with a modified census transform. The proposed method introduces several improvements addressing error correction and robustness in data-limited conditions. The approach involves image partitioning through a sliding window of fixed aspect ratio and a modified census transform in which pixel intensity is compared to the mean value within a rectangular neighborhood. Training samples for false negative and false positive correctors are selected using dual Intersection-over-Union (IoU) thresholds and probabilistic sampling of true positive and true negative fragments. Corrector models are trained based on the principles of high-dimensional separability within the paradigm of one- and few-shot learning, utilizing features derived from cascade stages of the detector. Decision boundaries are optimized using Fisher’s rule, with adaptive thresholding to guarantee zero false acceptance. Experimental results indicate that the proposed correction scheme enhances object detection accuracy by effectively compensating for classifier errors, particularly under conditions of scarce training data. On two railway image datasets with only about one thousand images each, the proposed correctors increase Precision from 0.36 to 0.65 on identifier detection while maintaining high Recall (0.98 → 0.94), and improve digit detection Recall from 0.94 to 0.98 with negligible loss in Precision (0.92 → 0.91). These results demonstrate that even under scarce training data, high-dimensional feature separation enables effective one-/few-shot error correction for cascade detectors with minimal computational overhead. Full article
(This article belongs to the Special Issue Image Analysis and Processing)
Show Figures

Figure 1

19 pages, 9959 KB  
Article
Viola–Jones Algorithm in a Bioindicative Holographic Experiment with Daphnia magna Population
by Victor Dyomin, Mickhail Kurkov, Vladimir Kalaida, Igor Polovtsev and Alexandra Davydova
Appl. Sci. 2025, 15(22), 12193; https://doi.org/10.3390/app152212193 - 17 Nov 2025
Viewed by 344
Abstract
This study considers the applicability and effectiveness of the Viola–Jones method to automatically distinguish zooplankton particles from the background in images reconstructed from digital holograms obtained in natural conditions. For the first time, this algorithm is applied to holographic images containing coherent noise [...] Read more.
This study considers the applicability and effectiveness of the Viola–Jones method to automatically distinguish zooplankton particles from the background in images reconstructed from digital holograms obtained in natural conditions. For the first time, this algorithm is applied to holographic images containing coherent noise and residual defocusing. The method was trained on 880 annotated (marked) holographic images of Daphnia magna along with 120 background frames. It was then tested on independent laboratory and field datasets, including morphologically related taxa. With optimized settings, the precision of the algorithm reached ~90% and F1~85% on noisy holographic images, and the algorithm also demonstrated the preliminary ability to recognize similar taxa without retraining. The algorithm is well suited for analyzing holographic data as a fast and resource-efficient pre-filter—it effectively separates particles from the background and thereby allows subsequent classification or its application in real-time aquatic environment monitoring systems. The article presents experimental results demonstrating the efficiency of this algorithm during plankton monitoring in situ. Full article
(This article belongs to the Section Marine Science and Engineering)
Show Figures

Figure 1

29 pages, 1184 KB  
Article
Perception-Based H.264/AVC Video Coding for Resource-Constrained and Low-Bit-Rate Applications
by Lih-Jen Kau, Chin-Kun Tseng and Ming-Xian Lee
Sensors 2025, 25(14), 4259; https://doi.org/10.3390/s25144259 - 8 Jul 2025
Cited by 3 | Viewed by 1760
Abstract
With the rapid expansion of Internet of Things (IoT) and edge computing applications, efficient video transmission under constrained bandwidth and limited computational resources has become increasingly critical. In such environments, perception-based video coding plays a vital role in maintaining acceptable visual quality while [...] Read more.
With the rapid expansion of Internet of Things (IoT) and edge computing applications, efficient video transmission under constrained bandwidth and limited computational resources has become increasingly critical. In such environments, perception-based video coding plays a vital role in maintaining acceptable visual quality while minimizing bit rate and processing overhead. Although newer video coding standards have emerged, H.264/AVC remains the dominant compression format in many deployed systems, particularly in commercial CCTV surveillance, due to its compatibility, stability, and widespread hardware support. Motivated by these practical demands, this paper proposes a perception-based video coding algorithm specifically tailored for low-bit-rate H.264/AVC applications. By targeting regions most relevant to the human visual system, the proposed method enhances perceptual quality while optimizing resource usage, making it particularly suitable for embedded systems and bandwidth-limited communication channels. In general, regions containing human faces and those exhibiting significant motion are of primary importance for human perception and should receive higher bit allocation to preserve visual quality. To this end, macroblocks (MBs) containing human faces are detected using the Viola–Jones algorithm, which leverages AdaBoost for feature selection and a cascade of classifiers for fast and accurate detection. This approach is favored over deep learning-based models due to its low computational complexity and real-time capability, making it ideal for latency- and resource-constrained IoT and edge environments. Motion-intensive macroblocks were identified by comparing their motion intensity against the average motion level of preceding reference frames. Based on these criteria, a dynamic quantization parameter (QP) adjustment strategy was applied to assign finer quantization to perceptually important regions of interest (ROIs) in low-bit-rate scenarios. The experimental results show that the proposed method achieves superior subjective visual quality and objective Peak Signal-to-Noise Ratio (PSNR) compared to the standard JM software and other state-of-the-art algorithms under the same bit rate constraints. Moreover, the approach introduces only a marginal increase in computational complexity, highlighting its efficiency. Overall, the proposed algorithm offers an effective balance between visual quality and computational performance, making it well suited for video transmission in bandwidth-constrained, resource-limited IoT and edge computing environments. Full article
Show Figures

Figure 1

18 pages, 3278 KB  
Article
Efficient Detection of Mind Wandering During Reading Aloud Using Blinks, Pitch Frequency, and Reading Rate
by Amir Rabinovitch, Eden Ben Baruch, Maor Siton, Nuphar Avital, Menahem Yeari and Dror Malka
AI 2025, 6(4), 83; https://doi.org/10.3390/ai6040083 - 18 Apr 2025
Cited by 4 | Viewed by 2793
Abstract
Mind wandering is a common issue among schoolchildren and academic students, often undermining the quality of learning and teaching effectiveness. Current detection methods mainly rely on eye trackers and electrodermal activity (EDA) sensors, focusing on external indicators such as facial movements but neglecting [...] Read more.
Mind wandering is a common issue among schoolchildren and academic students, often undermining the quality of learning and teaching effectiveness. Current detection methods mainly rely on eye trackers and electrodermal activity (EDA) sensors, focusing on external indicators such as facial movements but neglecting voice detection. These methods are often cumbersome, uncomfortable for participants, and invasive, requiring specialized, expensive equipment that disrupts the natural learning environment. To overcome these challenges, a new algorithm has been developed to detect mind wandering during reading aloud. Based on external indicators like the blink rate, pitch frequency, and reading rate, the algorithm integrates these three criteria to ensure the accurate detection of mind wandering using only a standard computer camera and microphone, making it easy to implement and widely accessible. An experiment with ten participants validated this approach. Participants read aloud a text of 1304 words while the algorithm, incorporating the Viola–Jones model for face and eye detection and pitch-frequency analysis, monitored for signs of mind wandering. A voice activity detection (VAD) technique was also used to recognize human speech. The algorithm achieved 76% accuracy in predicting mind wandering during specific text segments, demonstrating the feasibility of using noninvasive physiological indicators. This method offers a practical, non-intrusive solution for detecting mind wandering through video and audio data, making it suitable for educational settings. Its ability to integrate seamlessly into classrooms holds promise for enhancing student concentration, improving the teacher–student dynamic, and boosting overall teaching effectiveness. By leveraging standard, accessible technology, this approach could pave the way for more personalized, technology-enhanced education systems. Full article
Show Figures

Figure 1

19 pages, 1902 KB  
Article
Facial Features Controlled Smart Vehicle for Disabled/Elderly People
by Yijun Hu, Ruiheng Wu, Guoquan Li, Zhilong Shen and Jin Xie
Electronics 2025, 14(6), 1088; https://doi.org/10.3390/electronics14061088 - 10 Mar 2025
Cited by 1 | Viewed by 1281
Abstract
Mobility limitations due to congenital disabilities, accidents, or illnesses pose significant challenges to the daily lives of individuals with disabilities. This study presents a novel design for a multifunctional intelligent vehicle, integrating head recognition, eye-tracking, Bluetooth control, and ultrasonic obstacle avoidance to offer [...] Read more.
Mobility limitations due to congenital disabilities, accidents, or illnesses pose significant challenges to the daily lives of individuals with disabilities. This study presents a novel design for a multifunctional intelligent vehicle, integrating head recognition, eye-tracking, Bluetooth control, and ultrasonic obstacle avoidance to offer an innovative mobility solution. The smart vehicle supports three driving modes: (1) a nostril-based control system using MediaPipe to track displacement for movement commands, (2) an eye-tracking control system based on the Viola–Jones algorithm processed via an Arduino Nano board, and (3) a Bluetooth-assisted mode for caregiver intervention. Additionally, an ultrasonic sensor system ensures real-time obstacle detection and avoidance, enhancing user safety. Extensive experimental evaluations were conducted to validate the effectiveness of the system. The results indicate that the proposed vehicle achieves an 85% accuracy in nostril tracking, over 90% precision in eye direction detection, and efficient obstacle avoidance within a 1 m range. These findings demonstrate the robustness and reliability of the system in real-world applications. Compared to existing assistive mobility solutions, this vehicle offers non-invasive, cost-effective, and adaptable control mechanisms that cater to a diverse range of disabilities. By enhancing accessibility and promoting user independence, this research contributes to the development of inclusive mobility solutions for disabled and elderly individuals. Full article
(This article belongs to the Special Issue Active Mobility: Innovations, Technologies, and Applications)
Show Figures

Figure 1

23 pages, 4732 KB  
Article
Enhancing Real-Time Emotion Recognition in Classroom Environments Using Convolutional Neural Networks: A Step Towards Optical Neural Networks for Advanced Data Processing
by Nuphar Avital, Idan Egel, Ido Weinstock and Dror Malka
Inventions 2024, 9(6), 113; https://doi.org/10.3390/inventions9060113 - 4 Nov 2024
Cited by 9 | Viewed by 4310
Abstract
In contemporary academic settings, end-of-semester student feedback on a lecturer’s teaching abilities often fails to provide a comprehensive, real-time evaluation of their proficiency, and becomes less relevant with each new cohort of students. To address these limitations, an innovative feedback method has been [...] Read more.
In contemporary academic settings, end-of-semester student feedback on a lecturer’s teaching abilities often fails to provide a comprehensive, real-time evaluation of their proficiency, and becomes less relevant with each new cohort of students. To address these limitations, an innovative feedback method has been proposed, utilizing image processing algorithms to dynamically assess the emotional states of students during lectures by analyzing their facial expressions. This real-time approach enables lecturers to promptly adapt and enhance their teaching techniques. Recognizing and engaging with emotionally positive students has been shown to foster better learning outcomes, as their enthusiasm actively stimulates cognitive engagement and information analysis. The purpose of this work is to identify emotions based on facial expressions using a deep learning model based on a convolutional neural network (CNN), where facial recognition is performed using the Viola–Jones algorithm on a group of students in a learning environment. The algorithm encompasses four key steps: image acquisition, preprocessing, emotion detection, and emotion recognition. The technological advancement of this research lies in the proposal to implement photonic hardware and create an optical neural network which offers unparalleled speed and efficiency in data processing. This approach demonstrates significant advancements over traditional electronic systems in handling computational tasks. An experimental validation was conducted in a classroom with 45 students, demonstrating that the level of understanding in the class as predicted was 43–62.94%, and the proposed CNN algorithm (facial expressions detection) achieved an impressive 83% accuracy in understanding students’ emotional states. The correlation between the CNN deep learning model and the students’ feedback was 91.7%. This novel approach opens avenues for the real-time assessment of students’ engagement levels and the effectiveness of the learning environment, providing valuable insights for ongoing improvements in teaching practices. Full article
Show Figures

Figure 1

21 pages, 15546 KB  
Article
Performance Assessment of Object Detection Models Trained with Synthetic Data: A Case Study on Electrical Equipment Detection
by David O. Santos, Jugurta Montalvão, Charles A. C. Araujo, Ulisses D. E. S. Lebre, Tarso V. Ferreira and Eduardo O. Freire
Sensors 2024, 24(13), 4219; https://doi.org/10.3390/s24134219 - 28 Jun 2024
Cited by 2 | Viewed by 3288 | Correction
Abstract
This paper explores a data augmentation approach for images of rigid bodies, particularly focusing on electrical equipment and analogous industrial objects. By leveraging manufacturer-provided datasheets containing precise equipment dimensions, we employed straightforward algorithms to generate synthetic images, permitting the expansion of the training [...] Read more.
This paper explores a data augmentation approach for images of rigid bodies, particularly focusing on electrical equipment and analogous industrial objects. By leveraging manufacturer-provided datasheets containing precise equipment dimensions, we employed straightforward algorithms to generate synthetic images, permitting the expansion of the training dataset from a potentially unlimited viewpoint. In scenarios lacking genuine target images, we conducted a case study using two well-known detectors, representing two machine-learning paradigms: the Viola–Jones (VJ) and You Only Look Once (YOLO) detectors, trained exclusively on datasets featuring synthetic images as the positive examples of the target equipment, namely lightning rods and potential transformers. Performances of both detectors were assessed using real images in both visible and infrared spectra. YOLO consistently demonstrates F1 scores below 26% in both spectra, while VJ’s scores lie in the interval from 38% to 61%. This performance discrepancy is discussed in view of paradigms’ strengths and weaknesses, whereas the relatively high scores of at least one detector are taken as empirical evidence in favor of the proposed data augmentation approach. Full article
(This article belongs to the Topic Applications in Image Analysis and Pattern Recognition)
Show Figures

Figure 1

29 pages, 9073 KB  
Article
Color Histogram Contouring: A New Training-Less Approach to Object Detection
by Tamer Rabie, Mohammed Baziyad, Radhwan Sani, Talal Bonny and Raouf Fareh
Electronics 2024, 13(13), 2522; https://doi.org/10.3390/electronics13132522 - 27 Jun 2024
Cited by 11 | Viewed by 2985
Abstract
This paper introduces the Color Histogram Contouring (CHC) method, a new training-less approach to object detection that emphasizes the distinctive features in chrominance components. By building a chrominance-rich feature vector with a bin size of 1, the proposed CHC method exploits the precise [...] Read more.
This paper introduces the Color Histogram Contouring (CHC) method, a new training-less approach to object detection that emphasizes the distinctive features in chrominance components. By building a chrominance-rich feature vector with a bin size of 1, the proposed CHC method exploits the precise information in chrominance features without increasing bin sizes, which can lead to false detections. This feature vector demonstrates invariance to lighting changes and is designed to mimic the opponent color axes used by the human visual system. The proposed CHC algorithm iterates over non-zero histogram bins of unique color features in the model, creating a feature vector for each, and emphasizes those matching in both the scene and model histograms. When both model and scene histograms for these unique features align, it ensures the presence of the model in the scene image. Extensive experiments across various scenarios show that the proposed CHC technique outperforms the benchmark training-less Swain and Ballard method and the algorithm of Viola and Jones. Additionally, a comparative experiment with the state-of-the-art You Only Look Once (YOLO) technique reveals that the proposed CHC technique surpasses YOLO in scenarios with limited training data, highlighting a significant advancement in training-less object detection. This approach offers a valuable addition to computer vision, providing an effective training-less solution for real-time autonomous robot localization and mapping in unknown environments. Full article
(This article belongs to the Special Issue Recent Advances in Image Processing and Computer Vision)
Show Figures

Figure 1

19 pages, 39331 KB  
Article
Fast Rock Detection in Visually Contaminated Mining Environments Using Machine Learning and Deep Learning Techniques
by Reinier Rodriguez-Guillen, John Kern and Claudio Urrea
Appl. Sci. 2024, 14(2), 731; https://doi.org/10.3390/app14020731 - 15 Jan 2024
Cited by 7 | Viewed by 2934
Abstract
Advances in machine learning algorithms have allowed object detection and classification to become booming areas. The detection of objects, such as rocks, in mining operations is affected by fog, snow, suspended particles, and high lighting. These environmental conditions can stop the development of [...] Read more.
Advances in machine learning algorithms have allowed object detection and classification to become booming areas. The detection of objects, such as rocks, in mining operations is affected by fog, snow, suspended particles, and high lighting. These environmental conditions can stop the development of mining work, which entails a considerable increase in operating costs. It is vital to select a machine learning algorithm that is accurate, fast, and contributes to lower operational costs because of the aforementioned environmental situations. In this study, the Viola-Jones algorithm, Aggregate Channel Features (ACF), Faster Regions with Convolutional Neural Networks (Faster R-CNN), Single-Shot Detector (SSD), and You Only Look Once (YOLO) version 4 were analyzed, considering the precision metrics, recall, AP50, and average detection time. In our preliminary tests, we have observed that the differences between YOLO v4 and the latest versions are not substantial for the specific problem of rock detection addressed in our article. Therefore, YOLO v4 is an appropriate and representative choice for evaluating the effectiveness of existing methods in our study. The YOLO v4 algorithm performed the best overall, whereas the SSD algorithm performed the fastest. The results indicate that the YOLO v4 algorithm is a promising candidate for detecting rocks with visual contamination in mining operations. Full article
(This article belongs to the Section Computing and Artificial Intelligence)
Show Figures

Figure 1

18 pages, 3000 KB  
Article
Predictive Analytics for Sustainable E-Learning: Tracking Student Behaviors
by Naif Al Mudawi, Mahwish Pervaiz, Bayan Ibrahimm Alabduallah, Abdulwahab Alazeb, Abdullah Alshahrani, Saud S. Alotaibi and Ahmad Jalal
Sustainability 2023, 15(20), 14780; https://doi.org/10.3390/su152014780 - 12 Oct 2023
Cited by 44 | Viewed by 3732
Abstract
The COVID-19 pandemic has sped up the acceptance of online education as a substitute for conventional classroom instruction. E-Learning emerged as an instant solution to avoid academic loss for students. As a result, educators and academics are becoming more and more interested in [...] Read more.
The COVID-19 pandemic has sped up the acceptance of online education as a substitute for conventional classroom instruction. E-Learning emerged as an instant solution to avoid academic loss for students. As a result, educators and academics are becoming more and more interested in comprehending how students behave in e-learning settings. Behavior analysis of students in an e-learning environment can provide vision and influential factors that can improve learning outcomes and guide the creation of efficient interventions. The main objective of this work is to provide a system that analyzes the behavior and actions of students during e-learning which can help instructors to identify and track student attention levels so that they can design their content accordingly. This study has presented a fresh method for examining student behavior. Viola–Jones was used to recognize the student using the object’s movement factor, and a region-shrinking technique was used to isolate occluded items. Each object has been checked by a human using a template-matching approach, and for each object that has been confirmed, features are computed at the skeleton and silhouette levels. A genetic algorithm was used to categorize the behavior. Using this system, instructors can spot kids who might be failing or uninterested in learning and offer them specific interventions to enhance their learning environment. The average attained accuracy for the MED and Edu-Net datasets are 90.5% and 85.7%, respectively. These results are more accurate when compared to other methods currently in use. Full article
Show Figures

Figure 1

11 pages, 3192 KB  
Article
Efficacy Assessment of a Pulsed-Type Bipolar Radiofrequency Microneedling Device for Treating Facial Acne Vulgaris Using a Skin-Color Imaging System: A Pilot Study
by Tae Woong Seul, Jong Heon Park, Jae Young Kim and Hwa Jung Ryu
Appl. Sci. 2023, 13(4), 2114; https://doi.org/10.3390/app13042114 - 7 Feb 2023
Cited by 1 | Viewed by 7044
Abstract
Facial acne vulgaris with post-inflammatory erythema is one of the most common problems encountered in dermatologic clinics. It can leave hypertrophic scars and cause psychological problems. Thus, effective therapeutic interventions are needed. The aim of this study was to evaluate the efficacy and [...] Read more.
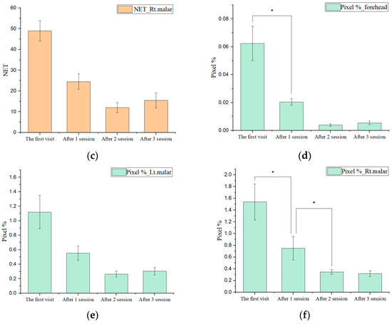
Facial acne vulgaris with post-inflammatory erythema is one of the most common problems encountered in dermatologic clinics. It can leave hypertrophic scars and cause psychological problems. Thus, effective therapeutic interventions are needed. The aim of this study was to evaluate the efficacy and safety of a pulsed-type bipolar radiofrequency (RF) device for treating acne and post-inflammatory erythema. Eighteen patients who had been diagnosed with acne underwent three sessions of bipolar RF treatment at 4 week intervals. Efficacy was assessed based on the number of acne lesions and the total area of lesions. Acne lesion count and area were determined by color correction using the Viola–Jones algorithm after converting the photos into a CIELAB image and extracting the area higher than the erythema threshold from the A* channel. Most patients showed significant clinical improvement after the treatments. Acne lesion counts of the forehead, left malar, right malar, and total areas of the left malar and right malar were decreased significantly after sessions (all p < 0.05). Adverse effects such as pinpoint bleeding and pain were noted. However, they were transient and not severe enough to stop treatment. Thus, such pulsed-type bipolar radiofrequency microneedling is a safe and effective treatment for acne and post-inflammatory erythema. Full article
Show Figures

Figure 1

15 pages, 2561 KB  
Article
Facial Emotion Recognition in Verbal Communication Based on Deep Learning
by Mohammed F. Alsharekh
Sensors 2022, 22(16), 6105; https://doi.org/10.3390/s22166105 - 16 Aug 2022
Cited by 34 | Viewed by 6398
Abstract
Facial emotion recognition from facial images is considered a challenging task due to the unpredictable nature of human facial expressions. The current literature on emotion classification has achieved high performance over deep learning (DL)-based models. However, the issue of performance degradation occurs in [...] Read more.
Facial emotion recognition from facial images is considered a challenging task due to the unpredictable nature of human facial expressions. The current literature on emotion classification has achieved high performance over deep learning (DL)-based models. However, the issue of performance degradation occurs in these models due to the poor selection of layers in the convolutional neural network (CNN) model. To address this issue, we propose an efficient DL technique using a CNN model to classify emotions from facial images. The proposed algorithm is an improved network architecture of its kind developed to process aggregated expressions produced by the Viola–Jones (VJ) face detector. The internal architecture of the proposed model was finalised after performing a set of experiments to determine the optimal model. The results of this work were generated through subjective and objective performance. An analysis of the results presented herein establishes the reliability of each type of emotion, along with its intensity and classification. The proposed model is benchmarked against state-of-the-art techniques and evaluated on the FER-2013, CK+, and KDEF datasets. The utility of these findings lies in their application by law-enforcing bodies in smart cities. Full article
(This article belongs to the Special Issue Emotion Recognition Based on Sensors)
Show Figures

Figure 1

20 pages, 5119 KB  
Article
Deterioration Mapping of RC Bridge Elements Based on Automated Analysis of GPR Images
by Mohammed Abdul Rahman, Tarek Zayed and Ashutosh Bagchi
Remote Sens. 2022, 14(5), 1131; https://doi.org/10.3390/rs14051131 - 25 Feb 2022
Cited by 13 | Viewed by 3711
Abstract
Ground-Penetrating Radar (GPR) is a popular non-destructive technique for evaluating RC bridge elements as it can identify major subsurface defects within a short span of time. The data interpretation of the GPR profiles based on existing amplitude-based approaches is not completely reliable when [...] Read more.
Ground-Penetrating Radar (GPR) is a popular non-destructive technique for evaluating RC bridge elements as it can identify major subsurface defects within a short span of time. The data interpretation of the GPR profiles based on existing amplitude-based approaches is not completely reliable when compared to the actual condition of concrete with destructive measures. An alternative image-based analysis considers GPR as an imaging tool wherein an experienced analyst marks attenuated areas and generates deterioration maps with greater accuracy. However, this approach is prone to human errors and is highly subjective. The proposed model aims to improve it through automated detection of hyperbolas in GPR profiles and classification based on mathematical modeling. Firstly, GPR profiles are pre-processed, and hyperbolic reflections were detected in them based on a trained classifier using the Viola–Jones Algorithm. The false positives are eliminated, and missing regions are identified automatically across the top/bottom layer of reinforcement based on user-interactive regional comparison and statistical analysis. Subsequently, entropy, a textural factor, is evaluated to differentiate the detected regions closely equivalent to the human visual system. These detected regions are finally clustered based on entropy values using the K-means algorithm and a deterioration map is generated which is robust, reliable, and corresponds to the in situ state of concrete. A case study of a parking lot demonstrated good correspondence of deterioration maps generated by the developed model when compared with both amplitude- and image-based analysis. These maps can facilitate structural inspectors to locally identify deteriorated zones within structural elements that require immediate attention for repair and rehabilitation. Full article
Show Figures

Graphical abstract

21 pages, 3352 KB  
Article
Influence of the Computer-Aided Decision Support System Design on Ultrasound-Based Breast Cancer Classification
by Zuzanna Anna Magnuska, Benjamin Theek, Milita Darguzyte, Moritz Palmowski, Elmar Stickeler, Volkmar Schulz and Fabian Kießling
Cancers 2022, 14(2), 277; https://doi.org/10.3390/cancers14020277 - 6 Jan 2022
Cited by 20 | Viewed by 3896
Abstract
Automation of medical data analysis is an important topic in modern cancer diagnostics, aiming at robust and reproducible workflows. Therefore, we used a dataset of breast US images (252 malignant and 253 benign cases) to realize and compare different strategies for CAD support [...] Read more.
Automation of medical data analysis is an important topic in modern cancer diagnostics, aiming at robust and reproducible workflows. Therefore, we used a dataset of breast US images (252 malignant and 253 benign cases) to realize and compare different strategies for CAD support in lesion detection and classification. Eight different datasets (including pre-processed and spatially augmented images) were prepared, and machine learning algorithms (i.e., Viola–Jones; YOLOv3) were trained for lesion detection. The radiomics signature (RS) was derived from detection boxes and compared with RS derived from manually obtained segments. Finally, the classification model was established and evaluated concerning accuracy, sensitivity, specificity, and area under the Receiver Operating Characteristic curve. After training on a dataset including logarithmic derivatives of US images, we found that YOLOv3 obtains better results in breast lesion detection (IoU: 0.544 ± 0.081; LE: 0.171 ± 0.009) than the Viola–Jones framework (IoU: 0.399 ± 0.054; LE: 0.096 ± 0.016). Interestingly, our findings show that the classification model trained with RS derived from detection boxes and the model based on the RS derived from a gold standard manual segmentation are comparable (p-value = 0.071). Thus, deriving radiomics signatures from the detection box is a promising technique for building a breast lesion classification model, and may reduce the need for the lesion segmentation step in the future design of CAD systems. Full article
Show Figures

Figure 1

18 pages, 4181 KB  
Article
Development of an Optimal Algorithm for Detecting Damaged and Diseased Potato Tubers Moving along a Conveyor Belt Using Computer Vision Systems
by Sergey Alekseevich Korchagin, Sergey Timurovich Gataullin, Aleksey Viktorovich Osipov, Mikhail Viktorovich Smirnov, Stanislav Vadimovich Suvorov, Denis Vladimirovich Serdechnyi and Konstantin Vladimirovich Bublikov
Agronomy 2021, 11(10), 1980; https://doi.org/10.3390/agronomy11101980 - 30 Sep 2021
Cited by 34 | Viewed by 12806
Abstract
The article discusses the problem of detecting sick or mechanically damaged potatoes using machine learning methods. We proposed an algorithm and developed a system for the rapid detection of damaged tubers. The system can be installed on a conveyor belt in a vegetable [...] Read more.
The article discusses the problem of detecting sick or mechanically damaged potatoes using machine learning methods. We proposed an algorithm and developed a system for the rapid detection of damaged tubers. The system can be installed on a conveyor belt in a vegetable store, and it consists of a laptop computer and an action camera, synchronized with a flashlight system. The algorithm consists of two phases. The first phase uses the Viola-Jones algorithm, applied to the filtered action camera image, so it aims to detect separate potato tubers on the conveyor belt. The second phase is the application of a method that we choose based on video capturing conditions. To isolate potatoes infected with certain types of diseases (dry rot, for example), we use the Scale Invariant Feature Transform (SIFT)—Support Vector Machine (SVM) method. In case of inconsistent or weak lighting, the histogram of oriented gradients (HOG)—Bag-of-Visual-Words (BOVW)—neural network (BPNN) method is used. Otherwise, Otsu’s threshold binarization—a convolutional neural network (CNN) method is used. The first phase’s result depends on the conveyor’s speed, the density of tubers on the conveyor, and the accuracy of the video system. With the optimal setting, the result reaches 97%. The second phase’s outcome depends on the method and varies from 80% to 97%. When evaluating the performance of the system, it was found that it allows to detect and classify up to 100 tubers in one second, which significantly exceeds the performance of most similar systems. Full article
(This article belongs to the Section Innovative Cropping Systems)
Show Figures

Figure 1

Back to TopTop