Sign in to use this feature.

Years

Between: -

Subjects

remove_circle_outline
remove_circle_outline
remove_circle_outline
remove_circle_outline
remove_circle_outline
remove_circle_outline
remove_circle_outline
remove_circle_outline
remove_circle_outline

Journals

Article Types

Countries / Regions

Search Results (64)

Search Parameters:
Keywords = VR exhibition experiences

Order results
Result details
Results per page
Select all
Export citation of selected articles as:
16 pages, 9469 KB  
Article
Immersion as Convergence: How Storytelling, Interaction, and Sensory Design Co-Produce Museum Virtual Reality Experiences
by Zhennuo Song and Leighton Evans
Information 2026, 17(1), 75; https://doi.org/10.3390/info17010075 - 12 Jan 2026
Abstract
Cultural heritage institutions today are experiencing a digital transformation. Virtual Reality (VR), with the promise of immersive and interactive features, has drawn the attention of artists and curators. Some prior museology research has attempted to investigate digital innovations like virtual museums and VR-based [...] Read more.
Cultural heritage institutions today are experiencing a digital transformation. Virtual Reality (VR), with the promise of immersive and interactive features, has drawn the attention of artists and curators. Some prior museology research has attempted to investigate digital innovations like virtual museums and VR-based exhibits to present the best of museum experiences; however, existing systematic research on the topic of interactive narrative experience with immersive VR technologies is rare. This paper reports on an original research project to understand the emergent issues concerning immersion, interactive and narrative in museum experience design. This research used multiple case studies, Claude Monet: The Water Lily Obsession; We live in the Ocean of Air; Mona Lisa: Beyond the Glass; Curious Alice. In total, 22 semi-structured interviews were conducted with VR experts and museum curators to understand the motivation of the designers and developers. This research hopes to contribute to the digital revolution of museums, providing a foundation for curators and artists who are interested in using VR technologies in exhibitions. Full article
(This article belongs to the Special Issue Intelligent Interaction in Cultural Heritage)
Show Figures

Graphical abstract

13 pages, 866 KB  
Article
Designing a Virtual Reality Platform for University Students: An Immersive Approach to Developing Oral Presentation Skills
by Yasna Sandoval, Carlos Rojas, Gabriel Lagos, Bárbara Farías, Soledad Quezada and Luis Gajardo
Educ. Sci. 2025, 15(12), 1655; https://doi.org/10.3390/educsci15121655 - 8 Dec 2025
Viewed by 409
Abstract
The increasing use of Virtual Reality in education has demonstrated its potential to enhance student engagement and skill development. This study investigates the design and implementation of a VR platform aimed at helping university students improve their oral presentation skills, while also evaluating [...] Read more.
The increasing use of Virtual Reality in education has demonstrated its potential to enhance student engagement and skill development. This study investigates the design and implementation of a VR platform aimed at helping university students improve their oral presentation skills, while also evaluating user satisfaction through structured surveys. A total of 40 university students from the Speech and Language Therapy program participated in this study, focusing on their interactions with a custom-built, realistic VR application inspired by the main auditorium of their university. The students faced various distraction scenarios that emulated real-life public speaking challenges. Cybersickness symptoms were continuously monitored throughout the sessions; no participants reported or exhibited symptoms requiring interruption of the VR exposure. The VR environment was constructed using Unity and featured adjustable audience sizes, ambient sound controls, and recording capabilities for presentations. The results demonstrated significant enhancements in oral presentation skills post-VR training. Participants exhibited significant improvements in speaking fluency and clarity of expression, as well as reduced anxiety, during the VR experience. Specifically, their fluency increased significantly, and their clarity ratings also improved substantially. Furthermore, behavioral indicators showed a marked decrease in anxiety levels. Participants reported that the immersive nature of the VR experience enhanced their enjoyment, contributing positively to the overall outcomes. The findings suggest that VR is an effective tool for enhancing oral presentation skills in university students, leading to improved confidence and performance in real-life situations. Full article
Show Figures

Figure 1

38 pages, 3645 KB  
Systematic Review
Virtual Exhibitions of Cultural Heritage: Research Landscape and Future Directions
by Huachun Cui and Jiawei Wu
Appl. Sci. 2025, 15(22), 12287; https://doi.org/10.3390/app152212287 - 19 Nov 2025
Viewed by 1462
Abstract
Virtual exhibitions of cultural heritage (CH) have become a key means for preservation, education, and global dissemination in the digital era. This study provides a comprehensive systematic review and bibliometric analysis of CH virtual exhibition research from 1999 to 2025. A total of [...] Read more.
Virtual exhibitions of cultural heritage (CH) have become a key means for preservation, education, and global dissemination in the digital era. This study provides a comprehensive systematic review and bibliometric analysis of CH virtual exhibition research from 1999 to 2025. A total of 651 valid records were retrieved from the Web of Science Core Collection following the PRISMA 2020 guidelines. Three tools (CiteSpace, VOSviewer, and Bibliometrix) support stronger analysis. Results reveal that the field’s knowledge structure can be organized into the following three interrelated layers: (1) a technology-driven layer (laser scanning, photogrammetry, VR/AR, and multimodal interaction), (2) a systemic application layer (curatorial workflows, digital museums, and immersive storytelling), and (3) a user experience layer (educational impact, gamification, and trust building). These dimensions form a cyclical pyramid framework linking innovation, interpretation and perception. The study identifies persistent regional disparities, with China and Italy leading in publication volume, while countries such as Denmark and Australia achieve higher citation impacts due to advanced policy support and digital strategies. Emerging trends highlight the growing integration of gamified learning, AI-assisted curation, and immersive narrative design. These reflect a paradigm shift from technological demonstration to cultural interpretation. This study establishes a holistic analytical framework for understanding the evolution and future directions of CH virtual exhibitions, providing an essential reference for researchers, curators, and policymakers in the heritage informatics domain. Full article
(This article belongs to the Special Issue Advanced Technology for Cultural Heritage and Digital Humanities)
Show Figures

Figure 1

10 pages, 742 KB  
Article
Virtual Reality-Based Versus Traditional Teaching Approaches in the Oral Hygiene Education of Children with Autism Spectrum Disorder
by Antonio Fallea, Carola Costanza, Simona L’Episcopo, Massimiliano Bartolone, Francesco Rundo, Daniela Smirni, Michele Roccella, Maurizio Elia, Raffaele Ferri and Luigi Vetri
J. Clin. Med. 2025, 14(16), 5795; https://doi.org/10.3390/jcm14165795 - 15 Aug 2025
Cited by 1 | Viewed by 1118
Abstract
Background/Objectives: Maintaining proper oral hygiene is particularly challenging for individuals with autism spectrum disorder (ASD) due to sensory sensitivities, communication difficulties, and anxiety. Traditional oral hygiene education methods may be ineffective for this population, thereby necessitating innovative solutions. This study evaluates the [...] Read more.
Background/Objectives: Maintaining proper oral hygiene is particularly challenging for individuals with autism spectrum disorder (ASD) due to sensory sensitivities, communication difficulties, and anxiety. Traditional oral hygiene education methods may be ineffective for this population, thereby necessitating innovative solutions. This study evaluates the effectiveness of a virtual reality (VR)-based educational program in improving home oral hygiene practices among children and adolescents with ASD. Methods: Sixty-four children with ASD (Level 1) were recruited and divided into two groups. Group 1 received traditional oral hygiene education, while Group 2 used a VR-based intervention featuring a virtual domestic bathroom with an avatar demonstrating proper brushing and flossing techniques. The intervention lasted eight weeks, with two one-hour sessions per week. The oral health assessment tool (OHAT) was used to evaluate oral hygiene status before and after the intervention. An unpaired t-test compared outcomes between groups. Results: Both groups showed improvements in oral hygiene, but the VR intervention group exhibited a significantly greater reduction in OHAT scores compared to the traditional education group (p < 0.001) due to a greater improvement in oral health. The VR-based approach enhanced engagement and adherence to oral hygiene routines, particularly benefiting children with ASD who struggle with conventional methods. Conclusions: VR-based education appears to be a promising tool for improving oral hygiene habits in children with ASD by providing an interactive and immersive learning experience. Future research should explore long-term adherence and the broader application of VR in healthcare education. Full article
Show Figures

Figure 1

15 pages, 2127 KB  
Article
Accessible Interface for Museum Geological Exhibitions: PETRA—A Gesture-Controlled Experience of Three-Dimensional Rocks and Minerals
by Andrei Ionuţ Apopei
Minerals 2025, 15(8), 775; https://doi.org/10.3390/min15080775 - 24 Jul 2025
Cited by 1 | Viewed by 1456
Abstract
The increasing integration of 3D technologies and machine learning is fundamentally reshaping mineral sciences and cultural heritage, establishing the foundation for an emerging “Mineralogy 4.0” framework. However, public engagement with digital 3D collections is often limited by complex or costly interfaces, such as [...] Read more.
The increasing integration of 3D technologies and machine learning is fundamentally reshaping mineral sciences and cultural heritage, establishing the foundation for an emerging “Mineralogy 4.0” framework. However, public engagement with digital 3D collections is often limited by complex or costly interfaces, such as VR/AR systems and traditional touchscreen kiosks, creating a clear need for more intuitive, accessible, and more engaging and inclusive solutions. This paper presents PETRA, an open-source, gesture-controlled system for exploring 3D rocks and minerals. Developed in the TouchDesigner environment, PETRA utilizes a standard webcam and the MediaPipe framework to translate natural hand movements into real-time manipulation of digital specimens, requiring no specialized hardware. The system provides a customizable, node-based framework for creating touchless, interactive exhibits. Successfully evaluated during a “Long Night of Museums” public event with 550 visitors, direct qualitative observations confirmed high user engagement, rapid instruction-free learnability across diverse age groups, and robust system stability in a continuous-use setting. As a practical case study, PETRA demonstrates that low-cost, webcam-based gesture control is a viable solution for creating accessible and immersive learning experiences. This work offers a significant contribution to the fields of digital mineralogy, human–machine interaction, and cultural heritage by providing a hygienic, scalable, and socially engaging method for interacting with geological collections. This research confirms that as digital archives grow, the development of human-centered interfaces is paramount in unlocking their full scientific and educational potential. Full article
(This article belongs to the Special Issue 3D Technologies and Machine Learning in Mineral Sciences)
Show Figures

Figure 1

25 pages, 1854 KB  
Article
How Action Shapes Temporal Judgments: A Study in Brain Damaged Patients Through Immersive Virtual Reality
by Greta Vianello, Michela Candini, Giuliana Vezzadini, Valentina Varalta, Gennaro Ruggiero, Tina Iachini and Francesca Frassinetti
J. Clin. Med. 2025, 14(14), 4825; https://doi.org/10.3390/jcm14144825 - 8 Jul 2025
Viewed by 2377
Abstract
Background/Objectives: Time processing is crucial for managing several aspects of our daily experiences: the continuous interaction with a changing environment requires individuals to make precise temporal judgments. Following right hemisphere damage, patients exhibited a significant alteration in perceiving temporal duration. However, this [...] Read more.
Background/Objectives: Time processing is crucial for managing several aspects of our daily experiences: the continuous interaction with a changing environment requires individuals to make precise temporal judgments. Following right hemisphere damage, patients exhibited a significant alteration in perceiving temporal duration. However, this impairment usually emerges with “abstract” computerized tasks, not in everyday contexts. This study investigates estimation and reproduction of time intervals in left (LBD) and right brain damaged (RBD) patients compared to healthy controls. Methods: We adopt computerized tasks (Experiment 1) and novel virtual reality (VR) tasks where participants judged the duration of their own actions framed within a realistic VR context (Experiment 2). Results: RBD but not LBD patients underestimated time intervals, and reproduced time intervals as longer than they are. Crucially, when participants judged the temporal duration of meaningful actions performed in a realistic context through the VR scenarios, the impairment in processing time observed in RBD patients was reduced. The Voxel-lesion-symptom-mapping (VLSM) analysis revealed the neurocognitive basis of time perception. Conclusions: Our results show that meaningful actions within familiar contexts can provide a channel of information that is essential for optimal time processing, suggesting the importance of assessing time processing in an ecologically controlled manner using VR. Full article
(This article belongs to the Section Brain Injury)
Show Figures

Figure 1

23 pages, 1271 KB  
Article
The Impact of Digital Storytelling on Presence, Immersion, Enjoyment, and Continued Usage Intention in VR-Based Museum Exhibitions
by Sungbok Chang and Jungho Suh
Sensors 2025, 25(9), 2914; https://doi.org/10.3390/s25092914 - 5 May 2025
Cited by 16 | Viewed by 9480
Abstract
Recent advancements in virtual reality (VR) technology have introduced a new paradigm in exhibition culture, with digital storytelling emerging as a crucial component supporting this transformation. Particularly in virtual exhibitions, digital storytelling serves as a key medium for enhancing user experience and maximizing [...] Read more.
Recent advancements in virtual reality (VR) technology have introduced a new paradigm in exhibition culture, with digital storytelling emerging as a crucial component supporting this transformation. Particularly in virtual exhibitions, digital storytelling serves as a key medium for enhancing user experience and maximizing immersion, thereby fostering continuous usage intention. However, systematic research on the structural influence of VR-based digital storytelling on user experience remains insufficient. To address this research gap, this study examines the impact of key components of digital storytelling in VR—namely, interest, emotion, and educational value—on presence, immersion, enjoyment, and continuous usage intention through path analysis. The results indicate that interest, emotion, and educational value all have a significant positive effect on presence. Furthermore, while interest and emotion positively influence immersion, educational value does not show a statistically significant effect. Presence, in turn, has a positive effect on immersion, enjoyment, and continuous usage intention, while immersion also positively influences enjoyment and continuous usage intention. Finally, enjoyment was found to have a significant positive effect on continuous usage intention. This study empirically validates the effectiveness of digital storytelling in virtual exhibition environments, offering valuable academic and practical insights. Theoretically, it contributes to the field by elucidating the complex and hierarchical relationships among three core factors—interest, emotion, and educational value—and their impact on user experience. Practically, the findings provide strategic guidelines for designing virtual exhibitions that maximize user immersion and satisfaction, reaffirming the importance of storytelling content that emphasizes interest and emotion. Full article
(This article belongs to the Section Sensing and Imaging)
Show Figures

Figure 1

6 pages, 299 KB  
Proceeding Paper
Three-Dimensional Creation and Physical Movement in Art Therapy Using Virtual Reality Painting
by Chia-Chieh Lee and Min-Chai Hsieh
Eng. Proc. 2025, 89(1), 46; https://doi.org/10.3390/engproc2025089046 - 17 Apr 2025
Viewed by 983
Abstract
Virtual Reality (VR) painting, an emerging form of artistic expression under 5G technology, showcases a broader range of expressive styles and dynamic visual effects compared to traditional computer graphics. The creative process in VR painting enhances spatial depth, exhibiting different spatial abilities and [...] Read more.
Virtual Reality (VR) painting, an emerging form of artistic expression under 5G technology, showcases a broader range of expressive styles and dynamic visual effects compared to traditional computer graphics. The creative process in VR painting enhances spatial depth, exhibiting different spatial abilities and necessitating more physical movements, including hand controllers and foot movements in the virtual space. Furthermore, VR painting in art therapy encourages users to engage in physical activities, contributing to better emotional expression. This study involved digital-native users in VR painting, using Meta Quest 2 to operate Open Brush for their creations. Through observational methods, we examined user operational behaviors and conducted semi-structured interviews post-experiment to explore their painting performance and usage behaviors in the virtual environment. The results of this study indicate that VR painting enhances the sense of space and dynamic expression in creative work and improves users’ emotional and physical engagement, providing new avenues for artistic expression. These findings contribute to improving the usability and application value of VR paintings. Full article
Show Figures

Figure 1

13 pages, 1078 KB  
Article
Understanding Cybersickness and Presence in Seated VR: A Foundation for Exploring Therapeutic Applications of Immersive Virtual Environments
by Witold Pawełczyk, Dorota Olejarz, Zofia Gaweł, Magdalena Merta, Aleksandra Nowakowska, Magdalena Nowak, Anna Rutkowska, Ladislav Batalik and Sebastian Rutkowski
J. Clin. Med. 2025, 14(8), 2718; https://doi.org/10.3390/jcm14082718 - 15 Apr 2025
Cited by 4 | Viewed by 4088
Abstract
Background/Objectives: To assess the spatial presence and impact of an immersive virtual reality (VR) walk on symptoms of cybersickness, emotions, and participant engagement, with the aim of providing insights applicable to future therapeutic VR interventions for individuals with limited mobility. Methods: The experiment [...] Read more.
Background/Objectives: To assess the spatial presence and impact of an immersive virtual reality (VR) walk on symptoms of cybersickness, emotions, and participant engagement, with the aim of providing insights applicable to future therapeutic VR interventions for individuals with limited mobility. Methods: The experiment involved 30 healthy individuals who used VR headsets while seated on chairs to experience a 360° virtual tour of the Venice Canals in Los Angeles. The effect of immersion was evaluated using the Virtual Reality Sickness Questionnaire (VRSQ) to measure cybersickness symptoms, the International Positive and Negative Affect Schedule-Short Form (I-PANAS-SF) to assess emotions, the Spatial Presence Experience Scale (SPES) to evaluate spatial presence, and the Flow State Scale (FSS) to quantify the flow state. Results: The results indicated that the virtual walk elicited both positive and negative reactions. The increase in eye strain (+0.66), general discomfort (+0.6), and headache (+0.43) was achieved in the VRSQ scale. Despite experiencing nausea and oculomotor symptoms, participants reported a high level of flow (range of scale items from 3.47 to 3.70), suggesting a beneficial impact of immersion on their well-being. Furthermore, the analysis of the I-PANAS-SF results revealed a predominance of positive emotions, indicating a favorable perception of the experience. However, the SPES scores exhibited variability in the perception of spatial presence (mean spatial presence score 3.74, SD 2.06), likely influenced by the characteristics of the visual material used. Conclusions: Overall, the immersive VR walk, despite the potential risk of cybersickness symptoms, as a seated passive exploration still promoted feelings of satisfaction and fulfillment, allowing the participants to actively engage with the virtual environment. These findings suggest that seated VR experiences hold promise as a tool for promoting well-being, but further research is needed to address cybersickness and optimize VR content for therapeutic use in populations with limited mobility. Full article
Show Figures

Figure 1

17 pages, 2942 KB  
Article
Profiling Students by Perceived Immersion: Insights from VR Engine Room Simulator Trials in Maritime Higher Education
by Luka Liker, Demir Barić, Ana Perić Hadžić and David Bačnar
Appl. Sci. 2025, 15(7), 3786; https://doi.org/10.3390/app15073786 - 30 Mar 2025
Cited by 4 | Viewed by 1804
Abstract
Research on students’ immersive experiences with fully immersive virtual reality (VR) technologies is extensively documented across diverse educational settings; however, in maritime higher education, it remains relatively underrepresented. Therefore, by using segmentation analysis, this study aims to profile maritime engineering students at the [...] Read more.
Research on students’ immersive experiences with fully immersive virtual reality (VR) technologies is extensively documented across diverse educational settings; however, in maritime higher education, it remains relatively underrepresented. Therefore, by using segmentation analysis, this study aims to profile maritime engineering students at the Faculty of Maritime Studies, University of Rijeka, by perceived immersion (PIMM) within a Head-Mounted Display (HMD) VR engine room simulator and to explore differences in their perceived learning benefits (PLBs), future behavioural intentions (FBI), and satisfaction (SAT) with the HMD-VR experience. The sample comprised 84 participants who engaged in preliminary HMD-VR engine room simulator trials. A non-hierarchical (K-mean) cluster analysis, combined with the Elbow method, identified two distinct and homogeneous groups: Immersionists and Conformists. The results of an independent sample t-test indicated that Immersionists exhibited significantly higher scores regarding perceived learning benefits, future behavioural intentions, and overall satisfaction than Conformists. The study results underscore the significance of understanding students’ subjective perception of immersion in the implementation and further development of fully immersive VR technologies within maritime education and training (MET) curricula. However, as the study is based on a specific case within a particular educational context, the result may not directly apply to the broader student population. Full article
Show Figures

Figure 1

29 pages, 3467 KB  
Article
The Trail Making Test in Virtual Reality (TMT-VR): Examination of the Ecological Validity, Usability, Acceptability, and User Experience in Adults with ADHD
by Katerina Alkisti Gounari, Evgenia Giatzoglou, Ryan Kemm, Ion N. Beratis, Chrysanthi Nega and Panagiotis Kourtesis
Psychiatry Int. 2025, 6(1), 31; https://doi.org/10.3390/psychiatryint6010031 - 11 Mar 2025
Cited by 4 | Viewed by 5652
Abstract
Background: Virtual Reality (VR) is transforming neuropsychological assessment by providing immersive environments that closely replicate real-world conditions. This study presents the Trail Making Test in VR (TMT-VR), a novel adaptation of the traditional TMT, aimed at evaluating cognitive functions in adults with Attention [...] Read more.
Background: Virtual Reality (VR) is transforming neuropsychological assessment by providing immersive environments that closely replicate real-world conditions. This study presents the Trail Making Test in VR (TMT-VR), a novel adaptation of the traditional TMT, aimed at evaluating cognitive functions in adults with Attention Deficit Hyperactivity Disorder (ADHD). We examined the ecological validity, convergent validity, usability, and user experience of the TMT-VR compared to the traditional version. Methods: Fifty-three adults (18–40 years old), including 25 with ADHD and 28 neurotypical controls, completed both the traditional and VR versions of the TMT. The participants also provided feedback on the VR experience via standardized questionnaires. Results: The statistical analyses demonstrated a significant positive correlation between TMT-VR scores and both the traditional TMT and ADHD symptomatology as measured by the Adult Self-Report Scale, confirming the TMT-VR’s ecological and convergent validity. High usability and positive user experience ratings indicated strong acceptability of the VR platform. Notably, the ADHD group exhibited greater performance differences in the VR environment, suggesting that VR may more effectively capture real-world cognitive challenges. Conclusions: These findings suggest that TMT-VR is a valid, engaging, and ecologically valid tool for cognitive assessment in ADHD and other clinical populations, offering enhanced insights over traditional methods. Full article
Show Figures

Figure 1

23 pages, 7992 KB  
Article
Gamification in Virtual Reality Museums: Effects on Hedonic and Eudaimonic Experiences in Cultural Heritage Learning
by Sumalee Sangamuang, Natchaya Wongwan, Kannikar Intawong, Songpon Khanchai and Kitti Puritat
Informatics 2025, 12(1), 27; https://doi.org/10.3390/informatics12010027 - 3 Mar 2025
Cited by 16 | Viewed by 7193
Abstract
Virtual museums powered by virtual reality (VR) technology serve as innovative platforms for cultural preservation and education, combining accessibility with immersive user experiences. While gamification has been widely explored in educational and entertainment contexts, its impact on user experiences in virtual cultural heritage [...] Read more.
Virtual museums powered by virtual reality (VR) technology serve as innovative platforms for cultural preservation and education, combining accessibility with immersive user experiences. While gamification has been widely explored in educational and entertainment contexts, its impact on user experiences in virtual cultural heritage museums remains underexplored. Prior research has focused primarily on engagement and enjoyment in gamified virtual environments but has not sufficiently distinguished between hedonic (pleasure-driven) and eudaimonic (meaning-driven) experiences or their impact on learning outcomes. This study aims to address this gap by comparing gamified and non-gamified virtual museum designs to evaluate their effects on hedonic and eudaimonic experiences, knowledge acquisition, and behavioral engagement. Using a quasi-experimental approach with 70 participants, the findings indicate that gamification significantly enhances hedonic experiences, including enjoyment, engagement, and satisfaction, while fostering prolonged interaction and deeper exploration. However, eudaimonic outcomes such as personal growth and reflection did not exhibit statistically significant differences. These results underscore the potential of gamified VR environments to balance entertainment and educational value, offering insights into user-centered design strategies for virtual museum systems that bridge technology, culture, and engagement. Full article
(This article belongs to the Section Human-Computer Interaction)
Show Figures

Figure 1

22 pages, 10134 KB  
Article
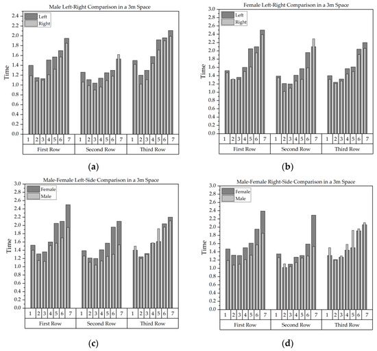
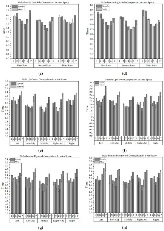
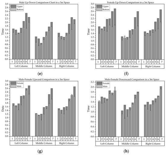
The Impact of Spatial Dimensions, Location, Luminance, and Gender Differences on Visual Search Efficiency in Three-Dimensional Space
by Wenheng Wang, Mingyu Zhang, Zhide Wang and Qing Fan
Buildings 2025, 15(5), 656; https://doi.org/10.3390/buildings15050656 - 20 Feb 2025
Cited by 1 | Viewed by 900
Abstract
Visual searching is a key cognitive process for acquiring external information, involving the identification of specific stimuli in complex environments. This study, utilizing Virtual Reality (VR) technology and eye-tracking devices, systematically explores the mechanisms by which spatial dimensions, location, luminance, and gender differences [...] Read more.
Visual searching is a key cognitive process for acquiring external information, involving the identification of specific stimuli in complex environments. This study, utilizing Virtual Reality (VR) technology and eye-tracking devices, systematically explores the mechanisms by which spatial dimensions, location, luminance, and gender differences affect visual search efficiency in three-dimensional space. The experiment assessed visual search efficiency across three aspect ratios (0.5, 1, 2) of spatial configurations, different icon locations (top, bottom, left, right, center), and under different luminance conditions. Experiment A found that spatial dimensions and target location significantly influenced search efficiency. Targets located on the central plane were searched most quickly, followed by those on the right and bottom planes. Experiment B revealed that the difference in luminance between targets and distractors enhanced the search speed, but this effect diminished as the target depth increased, suggesting that luminance is a key factor in optimizing visual search. Regarding gender differences, both Experiments A and B showed that males generally exhibited a higher visual search efficiency than females in three-dimensional spaces, with the male advantage becoming more pronounced as the difficulty of recognition increased. Full article
(This article belongs to the Section Building Energy, Physics, Environment, and Systems)
Show Figures

Figure 1

18 pages, 894 KB  
Article
The Impact of VR Exhibition Experiences on Presence, Interaction, Immersion, and Satisfaction: Focusing on the Experience Economy Theory (4Es)
by Sungbok Chang and Jungho Suh
Systems 2025, 13(1), 55; https://doi.org/10.3390/systems13010055 - 16 Jan 2025
Cited by 10 | Viewed by 9462
Abstract
This study systematically analyzes and emphasizes the importance of VR exhibition experiences, a relatively under-researched area. It examines the effects of VR exhibition experiences on presence and interaction and the influence of interaction on presence. Additionally, how these factors impact user immersion and [...] Read more.
This study systematically analyzes and emphasizes the importance of VR exhibition experiences, a relatively under-researched area. It examines the effects of VR exhibition experiences on presence and interaction and the influence of interaction on presence. Additionally, how these factors impact user immersion and satisfaction is explored, and the relationship between exhibition immersion and satisfaction is analyzed. Specifically, this study investigates how virtual exhibition experiences, similar to those in physical galleries, provide a sense of reality, leading to immersion in the artwork and ultimately resulting in satisfaction. The findings reveal that, among the VR exhibition experience factors, entertainment, escapism, and aesthetic experiences positively (+) affected interaction, while educational experiences negatively (−) influenced it. Furthermore, entertainment, escapism, and educational experiences positively influenced presence, whereas aesthetic experiences did not significantly impact it. Interaction significantly affected presence and positively influenced both immersion and satisfaction. Presence positively affected immersion but did not significantly affect satisfaction. Finally, immersion positively affected satisfaction. This study suggests that strategies that enhance interaction and presence are crucial in designing VR exhibition experiences. They also provide an important foundation for future research by systematically analyzing the relationships between presence, interaction, immersion, and satisfaction in VR exhibition experiences. Full article
Show Figures

Figure 1

8 pages, 1471 KB  
Article
Individual Variations in Vergence and Accommodation Responses Following Virtual Reality Gameplay
by Alona Sumarokova, Reinis Alksnis, Dagni Rappo, Karola Panke, Gunta Krumina and Tatjana Pladere
Vision 2024, 8(4), 69; https://doi.org/10.3390/vision8040069 - 20 Dec 2024
Viewed by 2788
Abstract
Virtual reality (VR) can challenge the visual system, leading to temporary oculomotor changes, though the degree of change varies among individuals. While the vergence and accommodation system plays a crucial role in VR perception, it remains unclear whether individuals whose visual functions fall [...] Read more.
Virtual reality (VR) can challenge the visual system, leading to temporary oculomotor changes, though the degree of change varies among individuals. While the vergence and accommodation system plays a crucial role in VR perception, it remains unclear whether individuals whose visual functions fall outside clinical norms experience larger changes. Thus, our study aimed to investigate whether changes in vergence and accommodation responses following VR gameplay differ between individuals with and without non-strabismic binocular and accommodative disorders. To assess this, both subjective and objective measurements were conducted before and after 20 min of playing Beat Saber. Results revealed significant alterations across both subjective measurements—near point of convergence and near point of accommodation—and objective measurements, including eye refraction, accommodation lag, and accommodative microfluctuations at far. Moreover, individuals with non-strabismic binocular and accommodative disorders exhibited larger accommodative microfluctuations at far compared to the control group. Overall, these findings indicate that considering individual differences in vergence and accommodation responses is important when evaluating the impact of VR on the visual system and can be helpful in the design and use of VR systems, particularly for individuals with binocular and accommodative disorders. Full article
Show Figures

Figure 1

Back to TopTop