Sign in to use this feature.

Years

Between: -

Subjects

remove_circle_outline
remove_circle_outline
remove_circle_outline
remove_circle_outline
remove_circle_outline
remove_circle_outline
remove_circle_outline
remove_circle_outline
remove_circle_outline

Journals

Article Types

Countries / Regions

Search Results (72)

Search Parameters:
Keywords = VDZ

Order results
Result details
Results per page
Select all
Export citation of selected articles as:
24 pages, 7945 KB  
Article
Polynuclear Superhalogen Anions with Heterovalent Central Atoms
by David Mekhael, Piotr Skurski and Iwona Anusiewicz
Molecules 2026, 31(6), 933; https://doi.org/10.3390/molecules31060933 - 11 Mar 2026
Viewed by 360
Abstract
This study explores a novel class of polynuclear superhalogen anions featuring heterovalent central atoms from groups 13 (B, Al) and 15 (P, As). The investigated species follow a modified general formula, (XnYnF{(3n+5n [...] Read more.
This study explores a novel class of polynuclear superhalogen anions featuring heterovalent central atoms from groups 13 (B, Al) and 15 (P, As). The investigated species follow a modified general formula, (XnYnF{(3n+5n)+1}) where X = B and/or Al, Y = P and/or As, and n + n′ = 2–4. Low-energy isomers were identified using the Coalescence Kick method and subsequently optimized at the MP2/aug-cc-pVDZ level of theory. Electronic stability was assessed via the outer valence Green’s function (OVGF) approach with the same aug-cc-pVDZ basis set. All examined anions exhibit exceptional electronic stability, with vertical electron detachment energies (VDEs) ranging from 10.70 to 12.37 eV, significantly exceeding the superhalogen threshold of 3.65 eV. Thermodynamic analyses indicate that aluminum atoms play a crucial role in stabilizing larger clusters by acting as a structural “glue”, thereby suppressing fragmentation through the loss of neutral XF3 or YF5 units. In contrast, larger non-metallic analogs show an increased propensity toward dissociation. The potential of the heterovalent polynuclear superhalogen anions as weakly coordinating anions (WCAs) was further evaluated through molecular electrostatic potential (ESP) analysis. The results demonstrate that combining different central atoms within boron-based frameworks leads to a more homogeneous charge distribution, enhancing weakly coordinating behavior. Full article
Show Figures

Graphical abstract

16 pages, 8068 KB  
Article
Frontier Orbitals and Charges Approaches in Electrophilic Aromatic Substitution: The Cases of Anisole and Benzaldehyde
by Lucia Emanuele, Rocco Racioppi and Maurizio D’Auria
Organics 2026, 7(1), 13; https://doi.org/10.3390/org7010013 - 4 Mar 2026
Viewed by 294
Abstract
The study aimed to verify the possible use of DFT calculation in the prediction of the orientation in electrophilic aromatic substitution. An activated ortho/para orienting substrate, and a deactivated meta orienting substrate, were used in DFT calculations using B3LYP, B3PW91, BPV86, CAM-B3LP, HCTH, [...] Read more.
The study aimed to verify the possible use of DFT calculation in the prediction of the orientation in electrophilic aromatic substitution. An activated ortho/para orienting substrate, and a deactivated meta orienting substrate, were used in DFT calculations using B3LYP, B3PW91, BPV86, CAM-B3LP, HCTH, HSEH1PBE, LSDA, MPW1PW91, PBEPBE, TPSSTPSS, and WB97XD functionals. The results showed that the reactivity of anisole can be adequately described considering charge control in reaction performed in hard conditions (nitration), while frontier orbital control can play a role in reactions performed in softer conditions (chlorination). Nitration of benzaldehyde can be rationalized through Hirshfeld charges analysis. Neither the frontier orbital nor Mulliken charges approach adequately account for behavior observed in chlorination of benzaldehyde. The effect of different basis sets was tested performing calculations with B3LYP functional and aug-cc-pVDZ, 6-311G+(d,p), aug-cc-pVQZ, DGTZVP, and LanL2DZ basis sets. For anisole, all basis sets provided a HOMO electron density distribution consistent with experimental reactivity; Hirshfeld charges analysis consistently reproduced the observed reactivity of anisole across all tested basis sets. All the basis sets were able to explain the observed reactivity of benzaldehyde in hard experimental condition, while they failed to give a correct description when a softer reagent was used. Full article
Show Figures

Figure 1

12 pages, 340 KB  
Article
Five-Year Persistence of Vedolizumab in Crohn’s Disease: Results from a Real-World Cohort
by Marc Harb, Vinciane Muls, Alice Hoyois and Jennifer Aoun
J. Clin. Med. 2026, 15(4), 1387; https://doi.org/10.3390/jcm15041387 - 10 Feb 2026
Viewed by 313
Abstract
Background: Vedolizumab (VDZ) is an α4β7 anti-integrin monoclonal antibody effective in Crohn’s disease (CD). While its short- and mid-term efficacy is well established, real-world data on long-term outcomes beyond 3 years are scarce. Recent studies suggest a progressive decline in persistence rates [...] Read more.
Background: Vedolizumab (VDZ) is an α4β7 anti-integrin monoclonal antibody effective in Crohn’s disease (CD). While its short- and mid-term efficacy is well established, real-world data on long-term outcomes beyond 3 years are scarce. Recent studies suggest a progressive decline in persistence rates after 2 to 3 years, with very limited data beyond this period. The primary objective of this study was to evaluate the 5-year persistence of VDZ. Secondary objectives were to describe clinical, biological, and endoscopic responses at 2 years among patients remaining on treatment, and to identify predictors of long-term persistence, including the baseline Clinical Decision Support Tool (CDST) score. Methods: We conducted a retrospective observational study which included 60 adult patients with CD treated with VDZ before April 2025. Collected baseline variables included age, sex, BMI, smoking status, disease duration and location, prior biologic exposure, and CDST score. Treatment persistence was evaluated at 5 years. Clinical, biological, and endoscopic responses were assessed at 2 years. A global response was then defined as the achievement of a clinically significant improvement, normalization or marked reduction in inflammatory biomarkers, and endoscopic improvement. Predictors of persistence were also analyzed. Results: The mean age of this cohort was 45.4 ± 15.2 years, mean disease duration was 12.7 ± 10.1 years, and mean CDST score was calculated at 20.6 ± 2.7. At 5 years, 23/41 patients (56.1%) remained on VDZ therapy. Persistence was significantly associated with male sex (65.2% vs. 27.8%), longer disease duration (215 vs. 106 months), absence of rheumatologic manifestations (13.0% vs. 44.4%), and clinico-biological response at 12 months (65.2% vs. 30.8%). At 24 months, a global response was observed in all patients persisting at 5 years compared to 22.2% of those who discontinued (p < 0.001). At 2 years, 39/51 patients (76.5%) remained on VDZ. Persistence was associated with longer disease duration (189 vs. 75 months), male sex (61.5% vs. 25.0%), and absence of isolated colonic disease (0% vs. 16.7%). A global response at 2 years was achieved by 89.7% of persistent patients compared with none of the non-persistent group (p < 0.001). The CDST, uniformly elevated in this cohort, did not discriminate between persistent and non-persistent patients, but reflected appropriate initial patient selection. Conclusions: This real-world study documents 5-year outcome data on VDZ persistence in Crohn’s disease, a duration infrequently studied, with 56% of patients maintaining treatment. Early response at 12 and 24 months emerged as a key determinant of long-term persistence, highlighting the value of assessing 2-year outcomes to identify durable responders. Although not discriminatory in this homogeneous cohort, the CDST score emphasizes the potential role of predictive tools in guiding personalized therapeutic strategies. These results contribute to defining the long-term role of VDZ in the management of CD. Full article
Show Figures

Figure 1

19 pages, 785 KB  
Article
Pharmacogenomic Pathways Underlying Variable Vedolizumab Response in Crohn’s Disease Patients: A Rare-Variant Analysis
by Biljana Stankovic, Mihajlo Stasuk, Vladimir Gasic, Bojan Ristivojevic, Ivana Grubisa, Branka Zukic, Aleksandar Toplicanin, Olgica Latinovic Bosnjak, Brigita Smolovic, Srdjan Markovic, Aleksandra Sokic Milutinovic and Sonja Pavlovic
Biomedicines 2026, 14(1), 203; https://doi.org/10.3390/biomedicines14010203 - 17 Jan 2026
Viewed by 658
Abstract
Background/Objectives: Vedolizumab (VDZ), a monoclonal antibody targeting α4β7 integrin, is used in Crohn’s disease (CD) management, yet patients’ responses vary, underscoring the need for pharmacogenomic (PGx) markers. This study aimed to identify PGx pathways associated with suboptimal VDZ response using a rare-variant analytical [...] Read more.
Background/Objectives: Vedolizumab (VDZ), a monoclonal antibody targeting α4β7 integrin, is used in Crohn’s disease (CD) management, yet patients’ responses vary, underscoring the need for pharmacogenomic (PGx) markers. This study aimed to identify PGx pathways associated with suboptimal VDZ response using a rare-variant analytical framework. Methods: DNA from 63 CD patients treated with VDZ as first-line advanced therapy underwent whole-exome sequencing. Clinical response at week 14 classified patients as optimal responders (ORs) or suboptimal responders (SRs). Sequencing data were processed using GATK Best Practices, annotated with variant effect predictors, and filtered for rare damaging variants (damaging missense and high-confidence loss-of-function; minor allele frequency < 0.05). Variants were mapped to genes specific for SRs and ORs, and analyzed for pathway enrichment using the Reactome database. Rare-variant burden and composition differences were assessed with Fisher’s exact test and SKAT-O gene-set association analysis. Results: Suboptimal VDZ response was associated with pathways related to membrane transport (ABC-family proteins, ion channels), L1–ankyrin interactions, and bile acid recycling, while optimal response was associated with pathways involving MET signaling. SKAT-O identified lipid metabolism-related pathways as significantly different—SRs harbored variants in pro-inflammatory lipid signaling and immune cell trafficking genes (e.g., PIK3CG, CYP4F2, PLA2R1), whereas ORs carried variants in fatty acid oxidation and detoxification genes (e.g., ACADM, CYP1A1, ALDH3A2, DECR1, MMUT). Conclusions: This study underscores the potential of exome-based rare-variant analysis to stratify CD patients and guide precision medicine approaches. The identified genes and pathways are potential PGx markers for CD patients treated with VDZ. Full article
Show Figures

Figure 1

26 pages, 2519 KB  
Article
Two–Photon Absorption Properties and Structure–Property Relationships of Natural 9,10–Anthraquinones: A Curated RI–CC2 Dataset
by Maciej Spiegel
Int. J. Mol. Sci. 2026, 27(1), 87; https://doi.org/10.3390/ijms27010087 - 21 Dec 2025
Cited by 2 | Viewed by 553 | Correction
Abstract
This work provides the first systematic survey of the two–photon properties of 97 natural 9,10–anthraquinones from plants and fungi. A comprehensive computational dataset of two–photon absorption properties calculated using RI–CC2/aug–cc–pVDZ is presented. Single degenerate photon energies required for two–photon excitation span 491.6–1007.9 nm [...] Read more.
This work provides the first systematic survey of the two–photon properties of 97 natural 9,10–anthraquinones from plants and fungi. A comprehensive computational dataset of two–photon absorption properties calculated using RI–CC2/aug–cc–pVDZ is presented. Single degenerate photon energies required for two–photon excitation span 491.6–1007.9 nm across the five lowest singlet states, with all S0→S1 transitions falling within the biological therapeutic window. Remarkably, S3 state exhibits systematically enhanced TPA efficiency, with 60% of compounds surpassing 1 GM and achieving a mean cross–section of 29.9 GM–substantially higher than S1 (mean: 7.5 GM). Three compounds demonstrate exceptional performance: cynodontin (73.6 GM, S2), dermocybin (68.7 GM, S4), and morindone (50.7 GM, S3). Orbital analysis reveals that these excitations possess high configurational purity and diagnostics validating the single–reference treatment. The observed spatial separation between hole and particle NTOs, combined with extreme transition dipole anisotropy along the molecular long axis, indicates dipolar charge–transfer enhancement. Comprehensive structure–property analysis establishes that strategic modification may maximise TPA cross–sections. Comparison with aqueous–phase calculations for three compounds reveals non–systematic solvent–induced redistributions of TPA activity across excited states, indicating that gas–phase outcomes serve primarily as internal benchmarks and intrinsic descriptors of structure–property relationships rather than quantitative predictors of photoactivity. Full article
(This article belongs to the Special Issue Molecular Modeling in Pharmaceutical Sciences)
Show Figures

Figure 1

14 pages, 448 KB  
Article
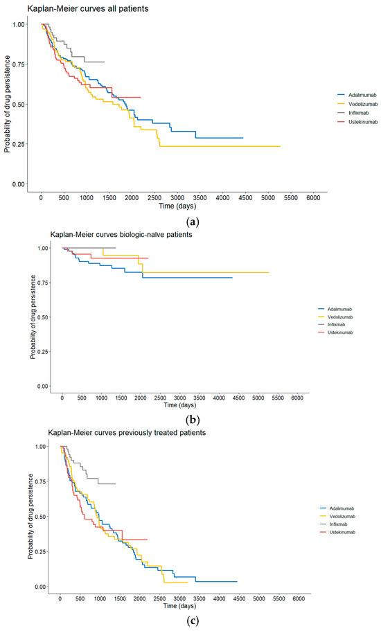
Drug Persistence of Patients with Inflammatory Bowel Disease Under Biological Treatment in the Pre IL-23 Era in a Tertiary Referral Center in Germany
by Karima Farrag, Lars Grimm, Iulia Dahmer, Katharina Stratmann, Antje Dienethal, Kathrin Sprinzl, Raul Lande, Stefan Zeuzem, Irina Blumenstein and Alica Kubesch
J. Clin. Med. 2025, 14(24), 8918; https://doi.org/10.3390/jcm14248918 - 17 Dec 2025
Viewed by 674
Abstract
Background/Objectives: Predicting treatment persistence in inflammatory bowel disease (IBD) remains challenging despite a broadened therapeutic arsenal. This study used longitudinal data to assess drug persistence across four biologics for IBD prior to Interleukin (IL)-23 blocker approval. Methods: We retrospectively analyzed IBD outpatients at [...] Read more.
Background/Objectives: Predicting treatment persistence in inflammatory bowel disease (IBD) remains challenging despite a broadened therapeutic arsenal. This study used longitudinal data to assess drug persistence across four biologics for IBD prior to Interleukin (IL)-23 blocker approval. Methods: We retrospectively analyzed IBD outpatients at Goethe University Hospital. Laboratory data and treatment adherence were collected to determine how many patients continued each biological therapy after induction and at 1 year. Results: Of 587 patients, those on azathioprine or mercaptopurine were excluded (focusing on biologics). Four biologicals were analyzed: 280 patients received one of them; 312 (53.2%) had Crohn’s disease and 275 (46.8%) had Ulcerative Colitis. Infliximab (IFX) was given to 93 patients (median 912 days; range 20–5273); at endpoint, 39 (42.4%) remained on IFX. Adalimumab (ADA) was used by 165 patients (median 1051 days; range 48–4458); 87 (52.4%) remained at endpoint. Vedolizumab (VDZ) included 116 patients (median 717 days; range 0–2204); 75 (64.4%) remained at endpoint. Ustekinumab (UST) was given to 62 patients (median 660 days; range 50–1399); 51 (83.6%) remained at endpoint. Some patients were exposed to multiple biologicals, contributing to smaller numbers for newer drugs. When evaluated as a first-line biological, UST (median 787 days) and VDZ (median 756.5 days) had the shortest durations, while TNF-α blockers (ADA, IFX) showed the greatest resistance as first-line therapy. Conclusions: Most patients stayed on their initial therapy after induction and at 1 year. These findings support the sustained use of established biological therapies as cost-effective, steroid-sparing options even after IL-23 approval and may inform patient counseling and long-term pharmacoeconomic considerations. Full article
(This article belongs to the Section Gastroenterology & Hepatopancreatobiliary Medicine)
Show Figures

Figure 1

15 pages, 2255 KB  
Article
Photochemical Rearrangements of Pyridine N-Oxides: Pathways to Oxaziridine Derivatives
by Cristian J. Guerra, Yeray A. Rodríguez-Núñez, Efraín Polo-Cuadrado, Mitchell Bacho, Jorge Soto-Delgado, Victor B. Fuentes-Guerrero, Eduardo I. Torres-Olguín, Cristopher A. Fica-Cornejo, Daniela Rodríguez-García, Manuel E. Taborda-Martínez, Leandro Ayarde-Henríquez and Adolfo E. Ensuncho
Molecules 2025, 30(24), 4776; https://doi.org/10.3390/molecules30244776 - 14 Dec 2025
Cited by 1 | Viewed by 784
Abstract
The photochemical behavior of substituted pyridine N-Oxides is characterized by complex rearrangements culminating in the formation of valuable photoproducts. The CAS(10,8)/cc-pVDZ approach with NEVPT2 corrections is applied to investigate geometric distortions associated with the S1 excited state, conical intersections, and the ultimate [...] Read more.
The photochemical behavior of substituted pyridine N-Oxides is characterized by complex rearrangements culminating in the formation of valuable photoproducts. The CAS(10,8)/cc-pVDZ approach with NEVPT2 corrections is applied to investigate geometric distortions associated with the S1 excited state, conical intersections, and the ultimate transformation of pyridine N-Oxides into oxaziridine-like derivative formations. Our results reveal that the deactivation of the S1 excited state is driven by an out-of-plane rotation of the N-O oxygen atom, resulting in the formation of a lone pair over the nitrogen atom. Along this excited-state reaction pathway, the N-O bond undergoes significant weakening, while a C=C double bond emerges mainly in the excited state. The deactivation at the minimum-energy conical intersection leading to the ground state reveals the formation of an oxaziridine-like intermediate, which subsequently converts into a 1,2-oxazepine derivative. Full article
Show Figures

Graphical abstract

24 pages, 2666 KB  
Article
Experimental and Theoretical Studies on the Kinetics and Mechanism of the C3H8/C3D8 + Cl Reaction
by Łukasz Fojcik, Grzegorz Mierzwa, Zdzisław Latajka and Dariusz Stanisław Sarzyński
Molecules 2025, 30(22), 4406; https://doi.org/10.3390/molecules30224406 - 14 Nov 2025
Viewed by 1005
Abstract
An experimental and theoretical investigation of the reaction between chlorine atoms and propane/deuterated propane (C3H8/C3D8) was performed. The experimental work aimed to determine absolute and site-specific rate constants for hydrogen and deuterium abstraction in the [...] Read more.
An experimental and theoretical investigation of the reaction between chlorine atoms and propane/deuterated propane (C3H8/C3D8) was performed. The experimental work aimed to determine absolute and site-specific rate constants for hydrogen and deuterium abstraction in the Cl + C3H8/C3D8 system. Measurements were conducted using the relative rate method at three temperatures between 298 and 387 K. Total rate constants for H/D abstraction by chlorine, as well as individual rate constants for abstraction from primary and secondary carbon sites, were obtained. The kinetic data for H abstraction agree well with previously reported literature values, confirming the reliability of the experimental approach. Notably, rate constants for the C3D8 + Cl reaction were determined for the first time, and the consistency of these results supports the reliability of the newly derived kinetic parameters. In the theoretical part of the study, hydrogen/deuterium abstraction from propane by atomic chlorine was analyzed within an atmospheric-chemistry context to clarify temperature dependence and site selectivity. Stationary points (SC, TS, PC, reactants, products) were optimized at MP2/aug-cc-pVDZ and verified by harmonic frequencies and intrinsic reaction-coordinate analyses. Eyring transition-state theory yielded 298–550 K rate constants with activation free energies referenced to SC. Our calculations indicate entrance-channel complex formation and effectively barrierless progress for most pathways; a small barrier appears only for RD1′. L-parameter evaluation classifies TS2 as reactant-like, and branching ratios identify –CH2– abstraction (RX2) as dominant. These findings align with the experimental data. Full article
(This article belongs to the Section Physical Chemistry)
Show Figures

Graphical abstract

19 pages, 2857 KB  
Article
Sex-Specific Real-Life Profiling in Vedolizumab, Ustekinumab, and Tofacitinib Effectiveness in Ulcerative Colitis
by Antonio Tursi, Raffaele Pellegrino, Giammarco Mocci, Edoardo Vincenzo Savarino, Giovanni Maconi, Walter Elisei, Antonietta Gerarda Gravina and Italian Network for Inflammatory Bowel Diseases (IN-IBD)
J. Clin. Med. 2025, 14(21), 7476; https://doi.org/10.3390/jcm14217476 - 22 Oct 2025
Viewed by 1264
Abstract
Background: This study aimed to explore whether differences exist between males and females in a cohort of bio-experienced UC patients treated with vedolizumab (VDZ), ustekinumab (UST), or tofacitinib (TOFA) in a 48-week retrospective study. Methods: We evaluated intra- and inter-treatment sex-specific [...] Read more.
Background: This study aimed to explore whether differences exist between males and females in a cohort of bio-experienced UC patients treated with vedolizumab (VDZ), ustekinumab (UST), or tofacitinib (TOFA) in a 48-week retrospective study. Methods: We evaluated intra- and inter-treatment sex-specific differences regarding clinical response, remission, steroid-free remission, sustained clinical response, late remission, and changes in faecal calprotectin and inflammatory markers at 8, 24, and 48 weeks, as well as endoscopic response and remission at 48 weeks. Results: Among 602 patients (50.2% female), males treated with UST had higher rates of clinical (p = 0.029) and steroid-free clinical remission (p = 0.013) at 24 weeks. Conversely, females on TOFA showed higher clinical remission at 8 weeks (p = 0.043). In males, VDZ demonstrated a superior clinical response over time (p < 0.05), while TOFA showed the highest remission rate at 48 weeks. In females, TOFA was superior for clinical remission at 8 and 24 weeks (p < 0.05). Males had a higher late remission rate (p = 0.04) with an increased likelihood (aOR 1.958, 95%CI 1.088–3.524, p = 0.025). Endoscopic outcomes and faecal calprotectin levels showed no significant sex-specific differences. Conclusions: Sex-based profiling may guide individualised therapeutic strategies in UC patients in this setting. Full article
Show Figures

Figure 1

26 pages, 3332 KB  
Article
Distinct B Cell Subsets Changes as Potential Biomarkers of Response to Biologic Therapy in Crohn’s Disease
by Anna Helmin-Basa, Maria Kopoń, Jarosław Koza, Edyta Strzyżewska, Aleksandra Skalska-Bugała, Fabian Leśniewski, Małgorzata Wiese-Szadkowska, Sara Balcerowska, Jacek Michałkiewicz and Maria Kłopocka
Int. J. Mol. Sci. 2025, 26(19), 9539; https://doi.org/10.3390/ijms26199539 - 29 Sep 2025
Viewed by 2047
Abstract
Biological therapies for Crohn’s disease (CD), including infliximab, adalimumab, and vedolizumab, show variable efficacy. While some predictive biomarkers exist, data on regulatory immune cells are limited. This study examined whether baseline levels of circulating T and B cell subsets can predict response to [...] Read more.
Biological therapies for Crohn’s disease (CD), including infliximab, adalimumab, and vedolizumab, show variable efficacy. While some predictive biomarkers exist, data on regulatory immune cells are limited. This study examined whether baseline levels of circulating T and B cell subsets can predict response to these treatments. We recruited 43 adults with conventional treatment-resistant active CD (CDAI > 330) and 16 healthy controls. Blood samples were analysed by flow cytometry at baseline (week 0) and after induction therapy (week 12 or 14, depending on the received drug) to measure T and B cell subsets and correlate them with disease activity. CD patients at baseline showed a significantly reduced frequency of memory B cells, CD5+CD1d+ B cells, plasmablasts, and transitional B cells. Additionally, significant negative correlations were identified between transitional B cells and calprotectin/platelets, and between CD5+CD1d+ B cells and calprotectin. All CD patients responded clinically to biologic therapy. In those treated with infliximab or adalimumab, mature naïve B cells decreased, with a trend toward increased CD24hiCD27+ B cells. Adalimumab responders showed a trend toward higher CD161 expression on Tregs, while vedolizumab-treated patients had a slight increase in plasmablasts. Biologic therapies in CD revealed treatment-specific immune correlations: infliximab/adalimumab responses involved B and T cell changes linked to inflammation, while VDZ response correlated with CD4+ and CD5+CD1d+ B cells. Our study suggests that infliximab/adalimumab induction therapy in CD expands circulating CD24hiCD27+ B cells and reduces mature naïve B cells, while vedolizumab increases plasmablasts. These B-cell changes may reflect distinct mechanisms and serve as potential response biomarkers. Full article
Show Figures

Figure 1

10 pages, 1360 KB  
Article
Limitations of Frontier Orbital and Charge Approaches in the Description of Electrophilic Aromatic Substitution
by Lucia Emanuele and Maurizio D’Auria
Organics 2025, 6(3), 34; https://doi.org/10.3390/org6030034 - 1 Aug 2025
Cited by 1 | Viewed by 1988
Abstract
DFT calculations at the B3LYP/aug-cc-pVDZ level of theory on some aromatic substrates showed that in the HOMO (Highest Occupied Molecular Orbital) of nitrobenzene, the atomic coefficients are not in agreement with the meta-directing behavior of this compound. The atomic coefficients are the same [...] Read more.
DFT calculations at the B3LYP/aug-cc-pVDZ level of theory on some aromatic substrates showed that in the HOMO (Highest Occupied Molecular Orbital) of nitrobenzene, the atomic coefficients are not in agreement with the meta-directing behavior of this compound. The atomic coefficients are the same in the ortho and in the meta positions. The HOMO (or NHOMO (Next Occupied Molecular Orbital) in the case of benzaldehyde) is not in agreement with the experimental results when deactivating, meta-orienting compounds are considered. Mulliken charges sometimes are not able to explain the observed reactivity. Hirshfeld charges allow us to predict the orientation of the attack of an electrophile on the aromatic ring, with the exception of nitrobenzene. Both HOMO atomic coefficients and charges are in agreement with the experimental results when deactivating, ortho-para orienting, and activating compounds are tested. Full article
Show Figures

Figure 1

22 pages, 5743 KB  
Article
The Synthesis, Characterization, and Biological Evaluation of a Fluorenyl-Methoxycarbonyl-Containing Thioxo-Triazole-Bearing Dipeptide: Antioxidant, Antimicrobial, and BSA/DNA Binding Studies for Potential Therapeutic Applications in ROS Scavenging and Drug Transport
by Lala Stepanyan, Tatevik Sargsyan, Valentina Mittova, Zurab R. Tsetskhladze, Nino Motsonelidze, Ekaterine Gorgoshidze, Niccolò Nova, Monika Israyelyan, Hayarpi Simonyan, Franco Bisceglie, Lusine Sahakyan, Karapet Ghazaryan and Giovanni N. Roviello
Biomolecules 2025, 15(7), 933; https://doi.org/10.3390/biom15070933 - 26 Jun 2025
Cited by 5 | Viewed by 2518
Abstract
We report on the synthesis and characterization of a novel fluorenyl-methoxycarbonyl (Fmoc)-containing thioxo-triazole-bearing dipeptide 5, evaluated for potential therapeutic applications. The compound was tested for its antioxidant and antimicrobial properties, demonstrating significant effects in scavenging reactive oxygen species (ROS) and inhibiting microbial [...] Read more.
We report on the synthesis and characterization of a novel fluorenyl-methoxycarbonyl (Fmoc)-containing thioxo-triazole-bearing dipeptide 5, evaluated for potential therapeutic applications. The compound was tested for its antioxidant and antimicrobial properties, demonstrating significant effects in scavenging reactive oxygen species (ROS) and inhibiting microbial growth, particularly when combined with plant extracts from an endemic Peonia species from the Caucasus. Circular dichroism (CD) binding studies with bovine serum albumin (BSA) and calf thymus DNA revealed important interactions, suggesting the dipeptide’s potential in biomedically relevant conditions that involve DNA modulation. Molecular docking and CD spectra deconvolution provided additional insights into the binding mechanisms and structural characteristics of the formed complexes with the biomolecular targets. The Fmoc group enhances the dipeptide’s lipophilicity, which may facilitate its interaction with cellular membranes, supporting efficient drug delivery. A computational evaluation at the ωB97XD/aug-cc-pVDZ level of theory was carried out, confirming the experimental results and revealing a powerful potential of the peptide as an antioxidant, through FMOs, MEP analysis, and antioxidant mechanism assessments. Together, these findings suggest that this dipeptide could be valuable as an antimicrobial and antioxidant agent, with potential applications in pathologies involving oxidative stress, DNA modulation, and microbial infections. Full article
(This article belongs to the Special Issue State of the Art and Perspectives in Antimicrobial Peptides)
Show Figures

Figure 1

17 pages, 6900 KB  
Article
Tuning the Energy Levels of Adamantane by Boron Substitution
by Aminu H. Yusuf, Vladimir B. Golovko and Sarah L. Masters
Molecules 2025, 30(9), 1976; https://doi.org/10.3390/molecules30091976 - 29 Apr 2025
Viewed by 1813
Abstract
Adamantane is known to have two different carbon environments, the C1-type (or bridgehead) and C2-type (or methylene bridge), serving as a foundation to explore the effects of boron substitution at these sites. Using DFT with B3LYP/6-31G(d), the structural, electronic, and optical properties of [...] Read more.
Adamantane is known to have two different carbon environments, the C1-type (or bridgehead) and C2-type (or methylene bridge), serving as a foundation to explore the effects of boron substitution at these sites. Using DFT with B3LYP/6-31G(d), the structural, electronic, and optical properties of 37 boron-substituted isomers were investigated. The adamantane structure has rigid Td symmetry with an average rC-C of 153.7 pm, which progressively transforms to C3v and C1 symmetry in heavily substituted isomers. Analysis of the neutral and ionic species reveals a critical transition from electron-donating to electron-accepting behaviour at tri-boron substitution, confirmed by both DFT and coupled cluster calculations (CCSD(T)/CC-pVDZ). C1 substitution narrows the HOMO–LUMO gap significantly, achieving a 56% reduction compared to 44.5% for C2 substitution in tetra-bora derivatives compared to adamantane. Optical properties [CAM-B3LYP/6-311G(d,p)] show systematic red shifting with increasing boron substitution, with absorption maxima moving from 146 nm in pristine adamantane to 423 nm (C1) and 277 nm (C2) in heavily boron-substituted derivatives (tetra-bora-adamantane). While C1 substitution leads to symmetry-forbidden transitions, C2 substitution maintains allowed transitions, offering more consistent optical behaviour. These findings provide important insight for the design of adamantane-based materials with tailored electronic and optical properties. Full article
Show Figures

Figure 1

17 pages, 12503 KB  
Article
Development of a Digital Image Processing- and Machine Learning-Based Approach to Predict the Morphology and Thermal Properties of Polyurethane Foams
by Caglar Celik Bayar
Polymers 2025, 17(7), 928; https://doi.org/10.3390/polym17070928 - 29 Mar 2025
Cited by 1 | Viewed by 1185
Abstract
Polyurethane foams are frequently used to provide thermal insulation. Thanks to the blowing agents used during their synthesis, pores are created in the structure and thermal insulation is achieved through these pores. In this study, five different insulating polyurethane foam samples containing water [...] Read more.
Polyurethane foams are frequently used to provide thermal insulation. Thanks to the blowing agents used during their synthesis, pores are created in the structure and thermal insulation is achieved through these pores. In this study, five different insulating polyurethane foam samples containing water and cyclohexane blowing agents were synthesized. Pore stabilities and their effects on pore neighboring were analyzed computationally (MP2/aug-cc-pVDZ). A digital image processing- and machine learning-based algorithm was developed to predict the mean neighboring effect distances of the produced foams. It was created using the Voronoi tessellation method used for the identification problems in industrial applications. This method showed that there was a close relationship between the calculated Voronoi neighboring effect distances of the samples and their thermal conductivity coefficients. Considering the Voronoi neighboring effect distances proposed in this study, the thermal conductivity coefficient of similar polyurethane foams could be predicted. This method required only a standard mobile phone to capture images of the samples and the algorithm developed using Python (version 3.13.2) programming language. In addition, when compared to the local surface imaging device SEM, it allowed the entire surface to be analyzed faster and at once, without any surface deterioration. Full article
(This article belongs to the Special Issue Computational Modeling and Simulations of Polymers)
Show Figures

Figure 1

18 pages, 3210 KB  
Article
Direct Determination of Ratios of All Conformations and Their Lifetimes for Small Flexible Molecules from Molecular Dynamics Simulations: 1,3-Propanediol in an Aqueous Environment
by Olga V. Grineva
Molecules 2025, 30(6), 1285; https://doi.org/10.3390/molecules30061285 - 13 Mar 2025
Viewed by 1354
Abstract
For the first time in the course of molecular dynamics modeling of a liquid, the conformations of each of the small flexible molecules present in the system were fixed at short (1 ps) time intervals. This allowed the establishment of the ratios between [...] Read more.
For the first time in the course of molecular dynamics modeling of a liquid, the conformations of each of the small flexible molecules present in the system were fixed at short (1 ps) time intervals. This allowed the establishment of the ratios between various individual conformations and their families and determination of the average lifetimes of both individual conformations and families. As an example, data are presented for modeling boxes with different numbers of molecules (800, 2700, and 6400) for an aqueous solution with 1 mol. % 1,3-propanediol at 298.15 K and 1 atm. The results of the conformational analysis turned out to be very close for systems with different numbers of molecules and with different choices of initial conformations. For the systems under investigation, the tTTg conformation, which does not have intramolecular hydrogen bond, predominated (37–39%), and the total fractions of all conformations in the TT family were 74–76%. Only 0.4–0.5% of 1,3-propanediol molecules had conformations with the possible formation of intramolecular hydrogen bond, although the most stable conformers of free 1,3-propanediol molecules exhibit such a bond. The average lifetimes of each individual conformation did not exceed 7 ps in simulated systems, while the maximum lifetimes reached 60 ps. The average lifetimes of the main chain vary from ~110 ps in TT family to ~12 ps in GG′ family, in which the conformations tend to have intramolecular hydrogen bonds. It was found that calculations for an individual 1,3-propanediol molecule at the MP2/aug-cc-pVDZ or MP2/aug-cc-pVTZ theoretical levels lead to 22 conformers both in vacuum and by using the PCM model for implicit aqueous solvation (at the MP2/aug-cc-pVDZ level) and that such solvation reduces the energy difference between the conformers. Full article
Show Figures

Graphical abstract

Back to TopTop