Sign in to use this feature.

Years

Between: -

Subjects

remove_circle_outline
remove_circle_outline
remove_circle_outline
remove_circle_outline
remove_circle_outline
remove_circle_outline
remove_circle_outline
remove_circle_outline
remove_circle_outline

Journals

Article Types

Countries / Regions

Search Results (15)

Search Parameters:
Keywords = UM theory

Order results
Result details
Results per page
Select all
Export citation of selected articles as:
33 pages, 7056 KB  
Article
Semi-Supervised Attribute Selection Algorithms for Partially Labeled Multiset-Valued Data
by Yuanzi He, Jiali He, Haotian Liu and Zhaowen Li
Mathematics 2025, 13(8), 1318; https://doi.org/10.3390/math13081318 - 17 Apr 2025
Viewed by 473
Abstract
In machine learning, when the labeled portion of data needs to be processed, a semi-supervised learning algorithm is used. A dataset with missing attribute values or labels is referred to as an incomplete information system. Addressing incomplete information within a system poses a [...] Read more.
In machine learning, when the labeled portion of data needs to be processed, a semi-supervised learning algorithm is used. A dataset with missing attribute values or labels is referred to as an incomplete information system. Addressing incomplete information within a system poses a significant challenge, which can be effectively tackled through the application of rough set theory (R-theory). However, R-theory has its limits: It fails to consider the frequency of an attribute value and then cannot the distribution of attribute values appropriately. If we consider partially labeled data and replace a missing attribute value with the multiset of all possible attribute values under the same attribute, this results in the emergence of partially labeled multiset-valued data. In a semi-supervised learning algorithm, in order to save time and costs, a large number of redundant features need to be deleted. This study proposes semi-supervised attribute selection algorithms for partially labeled multiset-valued data. Initially, a partially labeled multiset-valued decision information system (p-MSVDIS) is partitioned into two distinct systems: a labeled multiset-valued decision information system (l-MSVDIS) and an unlabeled multiset-valued decision information system (u-MSVDIS). Subsequently, using the indistinguishable relation, distinguishable relation, and dependence function, two types of attribute subset importance in a p-MSVDIS are defined: the weighted sum of l-MSVDIS and u-MSVDIS determined by the missing rate of labels, which can be considered an uncertainty measurement (UM) of a p-MSVDIS. Next, two adaptive semi-supervised attribute selection algorithms for a p-MSVDIS are introduced, which leverage the degrees of importance, allowing for automatic adaptation to diverse missing rates. Finally, experiments and statistical analyses are conducted on 11 datasets. The outcome indicates that the proposed algorithms demonstrate advantages over certain algorithms. Full article
Show Figures

Figure 1

18 pages, 5601 KB  
Article
Active Control of Shimmy in Articulated Single-Axle Straddle-Type Monorail Train
by Jiachen Song, Liwei Zhang, Dongjin Zhu and Hui Liang
Machines 2024, 12(12), 854; https://doi.org/10.3390/machines12120854 - 26 Nov 2024
Cited by 1 | Viewed by 1074
Abstract
The articulated single-axle straddle-type monorail train has many unique advantages, making it the preferred choice for medium-capacity urban rail transit. However, the issue of vehicle shimmy greatly restricts its promotion and application. In response to this issue, an active suspension control scheme is [...] Read more.
The articulated single-axle straddle-type monorail train has many unique advantages, making it the preferred choice for medium-capacity urban rail transit. However, the issue of vehicle shimmy greatly restricts its promotion and application. In response to this issue, an active suspension control scheme is proposed, and the corresponding control algorithm is designed. Considering economic and feasible factors, a modification plan for the single-axle bogie without changing the original structure is proposed. A closed-loop feedback control strategy with lateral velocity and yaw rate as control objectives is designed, and a 114 degree-of-freedom dynamic model of a monorail train is established. Taking the skyhook damping control as the reference model, the SH-SMC (skyhook-sliding mode control) active control scheme is designed based on the sliding mode control theory. Considering practical applications, the control force distribution algorithm is further proposed. Through co-simulation of UM and Matlab, different control schemes are compared and analyzed. The results indicate that the SH-SMC active control scheme is more effective in suppressing the shimmy of single-axle monorail train, verifying the effectiveness of the SH-SMC active control scheme. It is of great significance for the further promotion and application of single-axle monorail trains in more cities. Full article
(This article belongs to the Special Issue Intelligent Control and Active Safety Techniques for Road Vehicles)
Show Figures

Figure 1

21 pages, 713 KB  
Article
Construction Quality Evaluation of Concrete Structures in Hydraulic Tunnels Based on CWM-UM Modeling
by Liang Zhao, Changhai He, Zhuangzhuang Luo and Qingfu Li
Appl. Sci. 2024, 14(20), 9606; https://doi.org/10.3390/app14209606 - 21 Oct 2024
Viewed by 1472
Abstract
The construction time of concrete structures in hydraulic tunnels is long, the construction environment is complex, and there are many influencing factors. The requirements for construction quality are high not only to meet the strength requirements but also to meet the design requirements [...] Read more.
The construction time of concrete structures in hydraulic tunnels is long, the construction environment is complex, and there are many influencing factors. The requirements for construction quality are high not only to meet the strength requirements but also to meet the design requirements of erosion resistance, crack resistance, and seepage resistance according to its specific operating environment. Therefore, evaluating the construction quality of concrete structures in hydraulic tunnels is of great significance. Considering the randomness and fuzziness of factors affecting the construction quality of concrete structures in hydraulic tunnels, this paper proposes a comprehensive evaluation model based on combined weighting (CWM) and uncertainty measurement theory (UM). The improved analytic hierarchy process (IAHP) and the CRITIC method are used to determine the subjective and objective weights of evaluation indicators. Combined weighting is based on the principle of minimum entropy, and the UM method is used to evaluate the construction quality level. Finally, taking a hydraulic tunnel as an example, its construction quality grade is calculated to be III, according to the evaluation model proposed in this paper, which matches the engineering reality, and a comparative study is made with the mixture element topology theory at the same time. It is verified that the evaluation model can scientifically and reasonably evaluate the construction quality level of concrete structures in hydraulic tunnels. Full article
(This article belongs to the Special Issue Advances in Tunneling and Underground Engineering)
Show Figures

Figure 1

23 pages, 9554 KB  
Article
Effects of a Complex Environment on Fatigue and Self-Healing Characterization of Asphalt Composites Containing Rock Asphalt
by Ruixia Li, Shangjun Yu, Hailong Chen, Jiahui Wu, Yijun Chen and Jinchao Yue
Materials 2024, 17(10), 2453; https://doi.org/10.3390/ma17102453 - 19 May 2024
Cited by 3 | Viewed by 1373
Abstract
In recent years, asphalt pavement has been subjected to varied environmental conditions during its service life, conditions that predispose it to deformation and cracking. To enhance the performance of asphalt pavement, rock asphalt has been selected as a modifier due to its good [...] Read more.
In recent years, asphalt pavement has been subjected to varied environmental conditions during its service life, conditions that predispose it to deformation and cracking. To enhance the performance of asphalt pavement, rock asphalt has been selected as a modifier due to its good compatibility with virgin asphalt binder and its ability to improve the fatigue cracking resistance of asphalt mixtures. Although scholars have conducted some studies on rock asphalt mixtures, research on the fatigue and self-healing performance of these mixtures under conditions such as ultraviolet (UV) aging and freeze–thaw remains limited. This paper presents findings from a study that employs a combined fatigue-healing test to assess the impact of such complex environmental factors on the fatigue and self-healing properties of fine aggregate matrix (FAM) mixtures containing three types of rock asphalts, i.e., Buton, Qingchuan (QC), and Uintaite Modifier (UM). The analysis of fatigue-healing test results, grounded in viscoelastic continuum damage (VECD) theory, indicates that rock asphalt can extend the fatigue life of FAM mixtures, albeit with a concomitant decrease in their self-healing capabilities. The study further reveals that UV aging, freeze–thaw, and UV aging–freeze–thaw conditions all led to a diminution in the fatigue and self-healing properties of FAM mixtures. However, FAM mixtures containing rock asphalt demonstrated greater resilience against these reductions. Atomic force microscope (AFM) results indicate that UV aging reduced the number of bee-structures and enlarged their area, whereas the incorporation of rock asphalt enhanced the uniformity of these structures’ distribution, thereby improving the fatigue cracking resistance of FAM mixtures. Fourier transform infrared spectroscopy (FTIR) analysis reveals that while UV aging increased the carbonyl and sulfoxide indices within the asphalt binder, rock asphalt is effective in mitigating this effect to a certain degree, thereby enhancing the aging resistance of FAM mixtures. Full article
Show Figures

Figure 1

15 pages, 3461 KB  
Article
The Effect of a Moving Boundary on the Shear Strength of Granular Materials in a Direct Shear Test
by Yuhao Wang, Tong Dong, Hongxiao Dong and Yuyu Fang
Symmetry 2023, 15(9), 1734; https://doi.org/10.3390/sym15091734 - 10 Sep 2023
Cited by 2 | Viewed by 1838
Abstract
The boundary state significantly influences the soil shear strength. Therefore, it is necessary to overcome the limitations of existing indoor test instruments and determine the differences in the shear properties of granular materials to ensure the economic feasibility and mechanical integrity of engineering [...] Read more.
The boundary state significantly influences the soil shear strength. Therefore, it is necessary to overcome the limitations of existing indoor test instruments and determine the differences in the shear properties of granular materials to ensure the economic feasibility and mechanical integrity of engineering structures. In this study, the core formula for the direct shear test was derived from the static balancing analysis of the shear box, the external force on the specimen, and the internal force on the shear surface. Three loading methods were then developed by the staggered state of the upper and lower boxes: the upper box moving shear loading method (UM), the lower box moving shear loading method (LM), and the bidirectional moving shear loading method (BM). Finally, by manipulating the motion boundary, the discrete element method (DEM) was employed to simulate the shear test of granular materials. Among the three loading methods, the order of the peak shear stresses was as follows: UM > BM > LM. Moreover, the order of the sample post-peak stress uniformities was as follows: LM > BM > UM. A shear strength conversion formula was then proposed. The findings of this study promote the advancement of the shear mechanics theory of granular materials in direct shear testing and can serve as a scientific basis for the design and manufacture of shear equipment. Full article
(This article belongs to the Section Engineering and Materials)
Show Figures

Figure 1

8 pages, 221 KB  
Article
Psychometric Results of a New Patient-Reported Outcome Measure for Uveal Melanoma Post-Brachytherapy Treatment: The PROM-UM
by Ezekiel Weis, Jing Jiang, Alison H. Skalet, Carol L. Shields and R. Trafford Crump
Cancers 2023, 15(16), 4142; https://doi.org/10.3390/cancers15164142 - 17 Aug 2023
Viewed by 1319
Abstract
The objective of this study was to evaluate the psychometric properties of a new patient-reported outcome instrument intended for use with patients who have undergone brachytherapy for uveal melanoma (PROM-UM). Classical test theory and item response theory were used to evaluate the performance [...] Read more.
The objective of this study was to evaluate the psychometric properties of a new patient-reported outcome instrument intended for use with patients who have undergone brachytherapy for uveal melanoma (PROM-UM). Classical test theory and item response theory were used to evaluate the performance of individual items and domains. A convenience sample of 439 participants who had undergone brachytherapy for uveal melanoma from one of three North American ocular oncology treatment centers were included in this cross-sectional study. Exploratory factor analysis identified three domains which were labelled “Symptom Impairment”, “Worry”, and “Discomfort”. The acceptability of the instrument was supported by little missing data (range = 0.00–1.14%) and low maximum endorsement (range = 0.00–1.82%). Item-total (range = 0.68–0.85) and inter-item (range = 0.74–0.80) correlations indicated acceptable reliability. Discrimination and difficulty were assessed using item response theory. Items in all three domains indicated moderate to very high discrimination (range = 1.00–4.10). Two items in the Symptom Impairment domain were too difficult to measure. Response ranges in the other two domains demonstrated acceptable difficulty. These results from the study indicate that this new patient-reported outcome instrument can be used with patients treated with brachytherapy for uveal melanoma. Providers could use this instrument to help inform post-treatment management. Full article
14 pages, 5459 KB  
Article
The Spreading Characteristics of Droplets Impacting Wheat Leaves Based on the VOF Model
by Yaoyao Liao, Mian Wang, Ying Zhang, Xingchen Wang, Jun Ni, Yan Zhu, Weixing Cao and Xiaoping Jiang
Coatings 2023, 13(8), 1415; https://doi.org/10.3390/coatings13081415 - 11 Aug 2023
Cited by 1 | Viewed by 1964
Abstract
Given the problem that droplets cannot stay on the surfaces of leaves and wet them effectively, resulting in high levels of pesticide input and environmental pollution, this work studied the dynamic behaviors of droplets with different diameters (400–550 um) falling on the surfaces [...] Read more.
Given the problem that droplets cannot stay on the surfaces of leaves and wet them effectively, resulting in high levels of pesticide input and environmental pollution, this work studied the dynamic behaviors of droplets with different diameters (400–550 um) falling on the surfaces of wheat leaves from different heights (2–16 cm) using contact angle-measuring instruments and a high-speed camera. The VOF method in Fluent software was used to establish a numerical model of droplets impacting the surfaces of wheat leaves. The results show that with an increase in the initial diameter and initial velocity of a droplet, the maximum diameter of the droplet during the spreading process also gradually increases. After a droplet impacts a wheat leaf, the droplet-spreading diameter first increases and then decreases. The maximum droplet spreading rate, βmax, increases with an increase in the Weber number, βmax We14, which is consistent with the existing theory. The results of this study lay a foundation for studying the spread of droplets on the surfaces of leaves, which is conducive to improving the rate of pesticide utilization. Full article
Show Figures

Figure 1

28 pages, 5468 KB  
Article
An Improved Unascertained Measure-Set Pair Analysis Model Based on Fuzzy AHP and Entropy for Landslide Susceptibility Zonation Mapping
by Xiaojie Yang, Zhenli Hao, Keyuan Liu, Zhigang Tao and Guangcheng Shi
Sustainability 2023, 15(7), 6205; https://doi.org/10.3390/su15076205 - 4 Apr 2023
Cited by 14 | Viewed by 3469
Abstract
Landslides are one of the most destructive and common geological disasters in the Tonglvshan mining area, which seriously threatens the safety of surrounding residents and the Tonglvshan ancient copper mine site. Therefore, to effectively reduce the landslide risk and protect the safety of [...] Read more.
Landslides are one of the most destructive and common geological disasters in the Tonglvshan mining area, which seriously threatens the safety of surrounding residents and the Tonglvshan ancient copper mine site. Therefore, to effectively reduce the landslide risk and protect the safety of the Tonglvshan ancient copper mine site, it is necessary to carry out a systematic assessment of the landslide susceptibility in the study area. Combining the unascertained measure (UM) theory, the dynamic comprehensive weighting (DCW) method based on the fuzzy analytic hierarchy process (AHP)-entropy weight method and the set pair analysis (SPA) theory, an improved UM-SPA coupling model for landslide susceptibility assessment is proposed in this study. First, a hierarchical evaluation index system including 10 landslide conditioning factors is constructed. Then, the dynamic comprehensive weighting method based on the fuzzy AHP-entropy weight method is used to assign independent comprehensive weights to each evaluation unit. Finally, we optimize the credible degree recognition criteria of UM theory by introducing SPA theory to quantitatively determine the landslide susceptibility level. The results show that the improved UM-SPA model can produce landslide susceptibility zoning maps with high reliability. The whole study area is divided into five susceptibility levels. 5.8% and 10.16% of the Tonglvshan mining area are divided into extremely high susceptibility areas and high susceptibility areas, respectively. The low and extremely low susceptibility areas account for 30.87% and 34.14% of the total area of the study area, respectively. Comparison with the AHP and Entropy-FAHP models indicates that the improved UM-SPA model (AUC = 0.777) shows a better performance than the Entropy-FAHP models (AUC = 0.764) and the conventional AHP (AUC = 0.698). Therefore, these results can provide reference for emergency planning, disaster reduction and prevention decision-making in the Tonglvshan mining area. Full article
(This article belongs to the Special Issue Geological Hazards Monitoring and Prevention)
Show Figures

Figure 1

15 pages, 1785 KB  
Article
Substituent-Guided Cluster Nuclearity for Tetranuclear Iron(III) Compounds with Flat {Fe43-O)2} Butterfly Core
by Lorenzo Marchi, Stefano Carlino, Carlo Castellano, Francesco Demartin, Alessandra Forni, Anna M. Ferretti, Alessandro Ponti, Alessandro Pasini and Luca Rigamonti
Int. J. Mol. Sci. 2023, 24(6), 5808; https://doi.org/10.3390/ijms24065808 - 18 Mar 2023
Cited by 2 | Viewed by 2182
Abstract
The tetranuclear iron(III) compounds [Fe43-O)2(μ-LZ)4] (13) were obtained by reaction of FeCl3 with the shortened salen-type N2O2 tetradentate Schiff bases N,N’-bis(salicylidene)-o [...] Read more.
The tetranuclear iron(III) compounds [Fe43-O)2(μ-LZ)4] (13) were obtained by reaction of FeCl3 with the shortened salen-type N2O2 tetradentate Schiff bases N,N’-bis(salicylidene)-o-Z-phenylmethanediamine H2LZ (Z = NO2, Cl and OMe, respectively), where the one-carbon bridge between the two iminic nitrogen donor atoms guide preferentially to the formation of oligonuclear species, and the ortho position of the substituent Z on the central phenyl ring selectively drives towards Fe4 bis-oxido clusters. All compounds show a flat almost-symmetric butterfly-like conformation of the {Fe43-O)2} core, surrounded by the four Schiff base ligands, as depicted by both the X-ray molecular structures of 1 and 2 and the optimized geometries of all derivatives as obtained by UM06/6-311G(d) DFT calculations. The strength of the antiferromagnetic exchange coupling constants between the iron(III) ions varies among the three derivatives, despite their magnetic cores remain structurally almost unvaried, as well as the coordination of the metal ions, with a distorted octahedral environment for the two-body iron ions, Feb, and a pentacoordination with trigonal bipyramidal geometry for the two-wing iron ions, Few. The different magnetic behavior within the series of examined compounds may be ascribed to the influence of the electronic features of Z on the electron density distribution (EDD) of the central {Fe43-O)2} core, substantiated by a Quantum Theory of Atoms In Molecules (QTAIM) topological analysis of the EDD, as obtained by UM06 calculations 13. Full article
(This article belongs to the Special Issue Oligonuclear Metal Complexes with Schiff Base Ligands 2.0)
Show Figures

Figure 1

20 pages, 5419 KB  
Article
CFD-Based Physical Failure Modeling of Direct-Drive Electro-Hydraulic Servo Valve Spool and Sleeve
by Guoqin Huang, Juncheng Mi, Cheng Yang and Jin Yu
Sensors 2022, 22(19), 7559; https://doi.org/10.3390/s22197559 - 6 Oct 2022
Cited by 11 | Viewed by 3097
Abstract
Direct-drive electro-hydraulic servo valves are used extensively in aerospace, military and control applications, but little research has been conducted on their service life and physical failure wear. Based on computational fluid dynamics, the main failure forms of direct-drive electro-hydraulic servo valves are explored [...] Read more.
Direct-drive electro-hydraulic servo valves are used extensively in aerospace, military and control applications, but little research has been conducted on their service life and physical failure wear. Based on computational fluid dynamics, the main failure forms of direct-drive electro-hydraulic servo valves are explored using their continuous phase flow and discrete phase motion characteristics, and then combined with the theory of erosion for calculation. A mathematical model of the direct-drive electro-hydraulic servo valve is established by using Solidworks software, and then imported into Fluent simulation software to establish its physical failure model and carry out simulation. Finally, the physical failure form of the direct drive electro-hydraulic servo valve is verified by the simulation results, and the performance degradation law is summarized. The results show that temperature, differential pressure, solid particle diameter and concentration, and opening degree all have an impact on the erosion and wear of direct-drive electro-hydraulic servo valves, in which differential pressure and solid particle diameter have a relatively large impact, and the servo valve must avoid working in the range of high differential pressure and solid particle diameter of 20–40 um as far as possible. This also provides further theoretical support and experimental guidance for the industrial application and life prediction of electro-hydraulic servo valves. Full article
(This article belongs to the Section Electronic Sensors)
Show Figures

Figure 1

28 pages, 2325 KB  
Article
Evaluation of the Durability of Bridge Tension Cables Based on Combination Weighting Method-Unascertained Measure Theory
by Qingfu Li, Tianjing Zhang and Yingqiao Yu
Sustainability 2022, 14(12), 7147; https://doi.org/10.3390/su14127147 - 10 Jun 2022
Cited by 5 | Viewed by 2410
Abstract
Constant use over a period damages the bridge pulling cable structure of pulling sling bridges and reduces their durability. Therefore, a comprehensive and accurate durability evaluation of in-service bridge cable-stayed structures is critical to the safe operation and routine maintenance and repair of [...] Read more.
Constant use over a period damages the bridge pulling cable structure of pulling sling bridges and reduces their durability. Therefore, a comprehensive and accurate durability evaluation of in-service bridge cable-stayed structures is critical to the safe operation and routine maintenance and repair of pulling sling bridges. In this paper, we first establish a three-layered pulling sling durability evaluation index system and then use the combined IAHP and CRITIC methods to assign weights to these evaluation indexes. The UM theory is applied to calculate a comprehensive multi-index evaluation vector for the durability of the pulling sling, which is evaluated according to the confidence criterion. Taking the Jiahui Bridge tension sling as an example, a durability evaluation was carried out, and the final evaluation result showed the bridge to be at level III, which is in line with the actual situation of the project. Finally, by comparing and analyzing using the SPA and MEE methods, we prove that the durability evaluation results of bridge tension cables using this method are more accurate. Full article
(This article belongs to the Special Issue Engineering Structure Safety and Risk Management of Sustainability)
Show Figures

Figure 1

24 pages, 566 KB  
Case Report
To Be a Champion of the 24-h Ultramarathon Race. If Not the Heart ... Mosaic Theory?
by Robert Gajda, Aleksandra Samełko, Miłosz Czuba, Agnieszka Piotrowska-Nowak, Katarzyna Tońska, Cezary Żekanowski, Anna Klisiewicz, Wojciech Drygas, Anita Gębska-Kuczerowska, Jacek Gajda, Beat Knechtle and Jakub Grzegorz Adamczyk
Int. J. Environ. Res. Public Health 2021, 18(5), 2371; https://doi.org/10.3390/ijerph18052371 - 1 Mar 2021
Cited by 10 | Viewed by 5468
Abstract
This comprehensive case analysis aimed to identify the features enabling a runner to achieve championship in 24-h ultramarathon (UM) races. A 36-year-old, multiple medalist of the World Championships in 24-h running, was assessed before, one and 10 days after a 24-h run. Results [...] Read more.
This comprehensive case analysis aimed to identify the features enabling a runner to achieve championship in 24-h ultramarathon (UM) races. A 36-year-old, multiple medalist of the World Championships in 24-h running, was assessed before, one and 10 days after a 24-h run. Results of his extensive laboratory and cardiological diagnostics with transthoracic echocardiography (TTE) and a one-time cardiopulmonary exercise test (CPET) were analyzed. After 12 h of running (approximately 130 km), the athlete experienced an increasing pain in the right knee. His baseline clinical data were within the normal range. High physical efficiency in CPET (VO2max 63 mL/kg/min) was similar to the average achieved by other ultramarathoners who had significantly worse results. Thus, we also performed genetic tests and assessed his psychological profile, body composition, and markers of physical and mental stress (serotonin, cortisol, epinephrine, prolactin, testosterone, and luteinizing hormone). The athlete had a mtDNA haplogroup H (HV0a1 subgroup, belonging to the HV cluster), characteristic of athletes with the highest endurance. Psychological studies have shown high and very high intensity of the properties of individual scales of the tools used mental resilience (62–100% depending on the scale), openness to experience (10th sten), coherence (10th sten), positive perfectionism (100%) and overall hope for success score (10th sten). The athlete himself considers the commitment and mental support of his team to be a significant factor of his success. Body composition assessment (%fat 13.9) and the level of stress markers were unremarkable. The tested athlete showed a number of features of the champions of ultramarathon runs, such as: inborn predispositions, mental traits, level of training, and resistance to pain. However, none of these features are reserved exclusively for “champions”. Team support’s participation cannot be underestimated. The factors that guarantee the success of this elite 24-h UM runner go far beyond physiological and psychological explanations. Further studies are needed to identify individual elements of the putative “mosaic theory of being a champion”. Full article
Show Figures

Figure 1

16 pages, 3274 KB  
Article
Adsorption and Desorption Mechanisms of Rare Earth Elements (REEs) by Layered Double Hydroxide (LDH) Modified with Chelating Agents
by Shuang Zhang, Naoki Kano, Kenji Mishima and Hirokazu Okawa
Appl. Sci. 2019, 9(22), 4805; https://doi.org/10.3390/app9224805 - 10 Nov 2019
Cited by 34 | Viewed by 5408
Abstract
In order to obtain the adsorption mechanism and adsorption structures of Rare Earth Elements (REEs) ions adsorbed onto layered double hydroxides (LDH), the adsorption performance of LDH and ethylenediaminetetraacetic acid (EDTA) intercalated LDH for REEs was investigated by batch experiments and regeneration studies. [...] Read more.
In order to obtain the adsorption mechanism and adsorption structures of Rare Earth Elements (REEs) ions adsorbed onto layered double hydroxides (LDH), the adsorption performance of LDH and ethylenediaminetetraacetic acid (EDTA) intercalated LDH for REEs was investigated by batch experiments and regeneration studies. In addition to adsorption capacity, the partition coefficient (PC) was also evaluated to assess their true performance metrics. The adsorption capacity of LDH increases from 24.9 μg·g−1 to 145 μg·g−1 for Eu, and from 20.8 μg·g−1 to 124 μg·g−1 for La by intercalating EDTA in this work; and PC increases from 45.5 μg·g−1·uM−1 to 834 μg·g−1·uM−1 for Eu, and from 33.6 μg·g−1·μM−1 to 405 μg·g−1·μM−1 for La. Comparison of the data indicates that the adsorption affinity of EDTA-intercalated LDH is better than that of precursor LDH no matter whether the concept of adsorption capacity or that of the PC was used. The prepared adsorbent was characterized by XRD, SEM-EDS and FT-IR techniques. Moreover, quantum chemistry calculations were also performed using the GAUSSIAN09 program package. In this calculation, the molecular locally stable state structures were optimized by density functional theory (DFT). Both the quantum chemistry calculations and the experimental data showed that REEs ions adsorbed by EDTA-intercalated LDH are more stable than those adsorbed by precursor LDH. Furthermore, the calculation results of adsorption and desorption rates show that adsorption rates are larger for Eu(III) than for La(III), which agrees with the experimental result that Eu(III) has a higher adsorption ability under the same conditions. The LDHs synthesized in this work have a high affinity for removing REEs ions. Full article
(This article belongs to the Special Issue Advanced or Conventional Materials as Sorbent)
Show Figures

Figure 1

16 pages, 4674 KB  
Article
Flow Measurement of Oil-Water Two-Phase Flow at Low Flow Rate Using the Plug-in Conductance Sensor Array
by Ningde Jin, Yiyu Zhou, Xinghe Liang, Dayang Wang, Lusheng Zhai and Jidong Wei
Sensors 2019, 19(21), 4649; https://doi.org/10.3390/s19214649 - 25 Oct 2019
Cited by 8 | Viewed by 3227
Abstract
In order to improve the flow measurement accuracy of oil-water two-phase flow at low flow rate, this paper presents a plug-in conductance sensor array (PICSA) for the measurement of water holdup and cross-correlation velocity. Due to the existence of the insert body in [...] Read more.
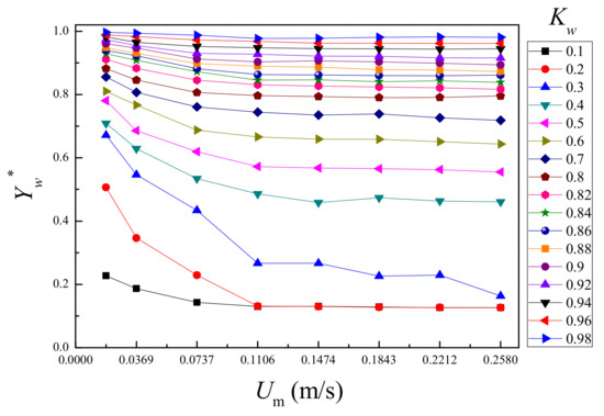
In order to improve the flow measurement accuracy of oil-water two-phase flow at low flow rate, this paper presents a plug-in conductance sensor array (PICSA) for the measurement of water holdup and cross-correlation velocity. Due to the existence of the insert body in PICSA, the effect of slippage and the non-uniform distribution of dispersed phase on the measurement of oil-water two-phase flow at low flow rate can be reduced. The finite element method is used to analyze the electric field distribution characteristics of the plug-in conductance sensor, and the sensor geometry is optimized. The dynamic experiment of oil-water two-phase flow is carried out where water cut Kw and mixture velocity Um are set in the range of 10–98% and 0.0184–0.2580 m/s respectively. Experimental results show that the PICSA has good resolution in water holdup measurement for dispersed oil-in-water slug flow (D OS/W), transition flow (TF), dispersed oil-in-water bubble flow (D O/W) and very fine dispersed oil-in-water bubble flow (VFD O/W). In addition, the cross-correlation velocity of the oil-water two-phase flow is obtained by using the plug-in upstream and downstream conductance sensor arrays. The relationship between the cross-correlation velocity and mixture velocity is found to be sensitive to the change of flow pattern, but it has a good linear relationship under the same flow pattern. Based on the flow pattern identification, a good prediction result of the mixture velocity is obtained using kinematic wave theory. Finally, a high precision prediction of the individual phase volume fraction of oil-water two-phase flow at low flow rate is achieved by using the drift flux model. Full article
(This article belongs to the Section Physical Sensors)
Show Figures

Figure 1

16 pages, 4843 KB  
Article
A Road to Sustainable Development of Chinese Cities: A Perception of Improving Urban Management Efficiency Based on Two-Level Production Factors
by Ze Xu, Jianjun Zhang, Chu Li, Zhenyu Li, Yongheng Rao and Tianyu Lu
Sustainability 2017, 9(12), 2212; https://doi.org/10.3390/su9122212 - 30 Nov 2017
Cited by 4 | Viewed by 4060
Abstract
It is an inevitable requirement of regional governance and sustainable development to improve urban management efficiency (UME). Different from the previous studies, this paper gives it a new meaning based on the production factors theories. Then the paper analyzes the response of UME [...] Read more.
It is an inevitable requirement of regional governance and sustainable development to improve urban management efficiency (UME). Different from the previous studies, this paper gives it a new meaning based on the production factors theories. Then the paper analyzes the response of UME to the primary production factors (PPFs) characterized by the traditional production factors theory (land, labor, and capital), and the expanded production factors (EPFs) reflected by the modern production factors theory (energy and ecology). By analyzing UME in China’s 334 cities on global and local scales, this paper found four characteristics of UME: (1) the striking spatial differences; (2) the strong correlation between management models; (3) the evident development emphasis; and (4) the weak matching linkage. Finally, we put forward the countermeasures of spatial governance, including strengthening the agglomeration effect, promoting diversified development models on different scales, and accelerating resource coordination and sharing. Full article
Show Figures

Figure 1

Back to TopTop