Effects of a Complex Environment on Fatigue and Self-Healing Characterization of Asphalt Composites Containing Rock Asphalt
Abstract
1. Introduction
- (1)
- These studies exclusively concentrate on the fatigue performance of rock asphalt, resulting in a lack of research on fatigue life, considering the self-healing aspect. Furthermore, the conclusions drawn from self-healing studies are inconsistent. It is essential to conduct research on rock asphalt modified asphalt that simultaneously evaluates both fatigue and self-healing performance. In addition, the existing methods for assessing fatigue and self-healing performance basically rely on test conditions. Varied test conditions for the same material may produce different results, which will have a great impact on the consistency of test conclusions. Therefore, it is imperative to adopt an evaluation method independent of test conditions.
- (2)
- The current research on rock asphalt is usually concentrated on asphalt binder or asphalt mixture; there is a lack of research focus on fine aggregate matrix (FAM). FAM is an important part of the asphalt mixture, and cracks generally start in the FAM system [26].
- (3)
- These studies only focus on a single environmental factor, but the environment is more complicated during pavement service life. For example, loading from cars, short-term aging from transportation and paving, aging from UV lights, and freeze–thaw all cause damage to the road. In order to truly connect the use of modified rock asphalt materials with the actual situation, it is indispensable to study the influence of the multifaceted environment.
2. Materials and Methods
2.1. Materials
2.1.1. Asphalt Binder
2.1.2. Aggregates
2.2. Sample Preparation
2.3. Laboratory Testing
2.3.1. Viscoelastic Continuum Damage Theory (VECD)
2.3.2. Fatigue Damage and Self-Healing Tests
2.3.3. UV Aging Tests
2.3.4. Freeze-Thaw Tests
2.3.5. UV Aging and Freeze–Thaw Coupling Tests
2.3.6. Microstructure Tests
3. Results and Discussion
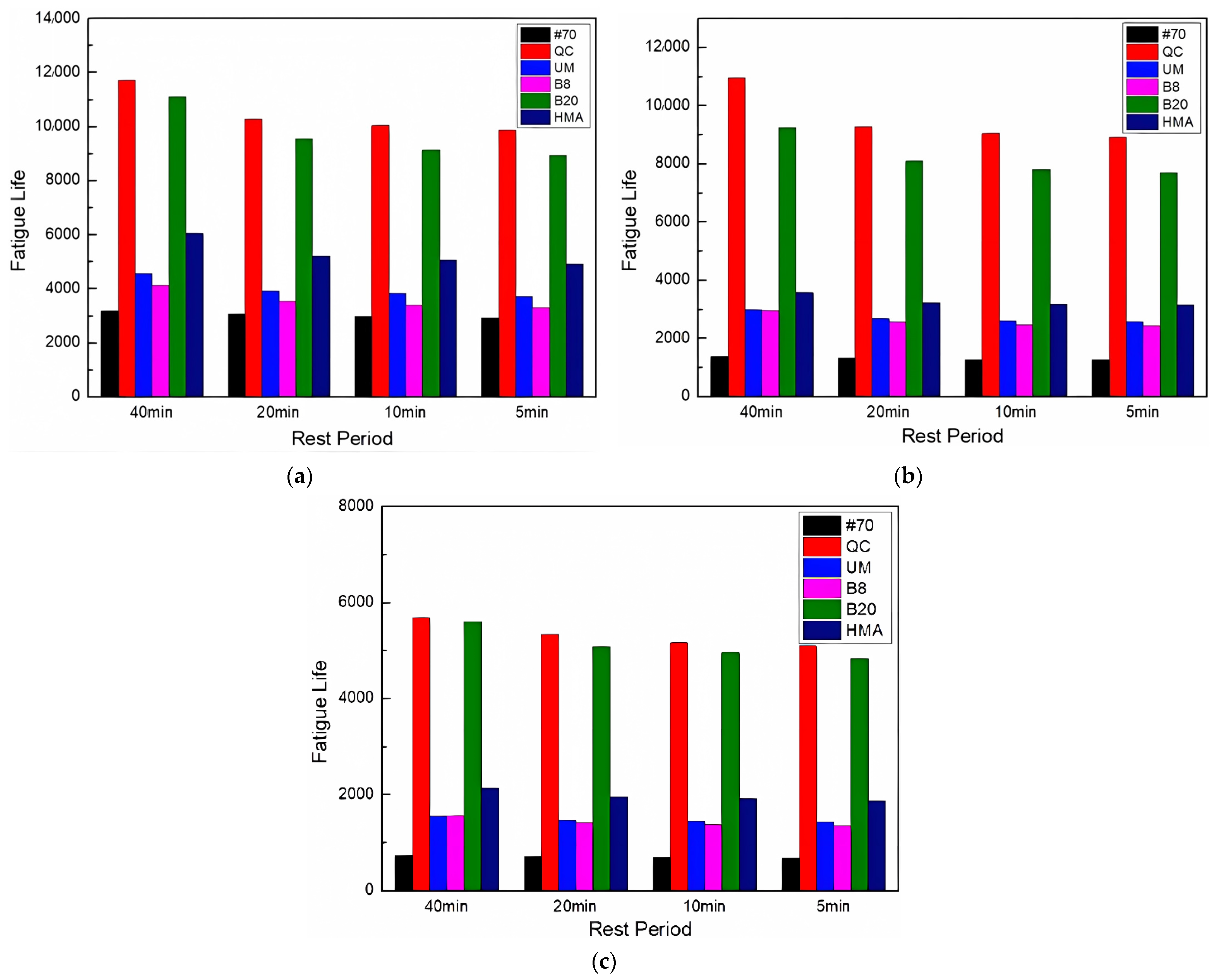
3.1. Results of Fatigue Damage and Self-Healing Healing Tests
3.2. Results of Fatigue and Self-Healing Tests after UV Aging
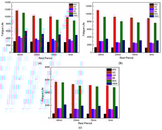
3.3. Results of Fatigue and Self-Healing Tests after Freeze–Thaw
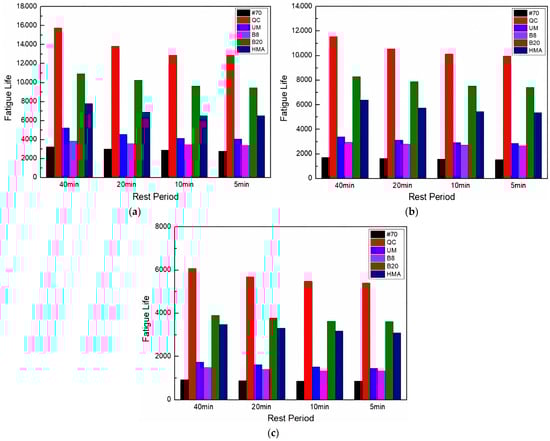
3.4. Results of Fatigue and Self-Healing Tests after UV Aging–Freeze–Thaw
3.5. Results of Microstructure Tests
3.5.1. AFM Tests
3.5.2. FTIR Tests
4. Conclusions
- (1)
- Rock asphalt has the ability to extend the fatigue life of FAM mixtures. Specifically, the fatigue life of the QC rock asphalt FAM mixture is 3.65 times longer than that of the 70# FAM mixture. However, these rock asphalt FAM mixtures simultaneously demonstrate weaker self-healing capabilities. As the concentration of rock asphalt increased, the fatigue life of FAM mixtures increased while their self-healing performance decreased. In consideration of self-healing properties, the rock asphalt FAM mixture still demonstrated a relatively higher fatigue life.
- (2)
- UV aging reduced the fatigue and self-healing performance of FAM mixtures. Notably, the fatigue life of the #70 asphalt FAM mixture decreased to only 20% of its initial value after 216 h of UV exposure. As the number of UV aging hours increased, this effect also increased. Rock asphalt can resist this effect to a certain extent, and the higher the concentration, the better the resistance. Among several rock asphalts with the same concentration, the one with the strongest resistance to the effect of UV aging was UM rock asphalt.
- (3)
- Freeze–thaw led to a reduction in both the fatigue and self-healing performance of the FAM mixture. In particular, the fatigue life of the #70 FAM mixture was decreased by 76% after 75 freeze–thaw cycles. An increase in the number of freeze–thaw cycles corresponded with a more pronounced decline in performance. Rock asphalt was found to possess an inherent capacity to mitigate the deleterious effects of freeze–thaw, with its efficacy being positively correlated with higher concentrations. Among composites with equivalent concentrations of rock asphalt, the QC rock asphalt FAM mixture exhibited the most robust resistance to freeze–thaw conditions.
- (4)
- The fatigue and self-healing performance of the FAM mixture were reduced after UV aging-freeze–thaw. The incorporation of rock asphalt endowed the FAM mixture with an enhanced capacity to counteract the detrimental effects of UV aging–freeze–thaw, with higher concentrations of rock asphalt yielding superior outcomes. Moreover, the fatigue life of the 20% Buton rock asphalt FAM mixture was the least affected, decreasing by 61% after UV216 h + FT25. In addition, the reduction in fatigue life was more pronounced than the cumulative effects of the individual condition tests.
- (5)
- AFM results indicate that UV aging resulted in a decrease in the number of bee-structures and an enlargement of their respective areas, whereas the incorporation of rock asphalt improved the uniformity of the bee-structure distribution, thereby improving the fatigue cracking resistance of FAM mixtures. FTIR test results reveal that UV aging caused an increase in both the carbonyl and sulfoxide indices of asphalt binder. Furthermore, the carbonyl and sulfoxide indices in the 20% Buton rock asphalt modified asphalt binder increased by 52% and 50%, respectively, which were notably lower compared to those of the 70# virgin asphalt binder. These findings suggest that the inclusion of rock asphalt can significantly mitigate the impact of UV aging, thus potentially enhancing the aging resistance of FAM mixtures.
Author Contributions
Funding
Institutional Review Board Statement
Informed Consent Statement
Data Availability Statement
Conflicts of Interest
References
- Li, R.; Karki, P.; Hao, P.; Bhasin, A. Rheological and low temperature properties of asphalt composites containing rock asphalts. Constr. Build. Mater. 2015, 96, 47–54. [Google Scholar] [CrossRef]
- Li, R.; Karki, P.; Hao, P. Fatigue and self-healing characterization of asphalt composites containing rock asphalts. Constr. Build. Mater. 2020, 230, 116835. [Google Scholar] [CrossRef]
- Li, L.; He, Z.; Liu, W.; Jiang, J.; Hu, C. Modification mechanism and performance of Qingchuan rock asphalt–modified asphalt. J. Test. Eval. 2018, 46, 1610–1621. [Google Scholar] [CrossRef]
- Hao, Y.; Ye, Y.; Zhuang, C.; Hou, F. Research on High-temperature evaluation indexes and performance of Qingchuan rock-SBS composite modified asphalt. Materials 2022, 15, 7455. [Google Scholar] [CrossRef] [PubMed]
- Rondón-Quintana, H.A.; Ruge-Cárdenas, J.C.; Zafra-Mejía, C.A. Natural asphalts in pavements: Review. Sustainability 2023, 15, 2098. [Google Scholar] [CrossRef]
- Liu, W.; Wu, S.; Jiang, Q.; Zhao, Z.; Yang, X.; Xie, J. Investigation on rheological properties and microscopic mechanisms of Sasobit/Buton rock asphalt modified asphalt. Sustainability 2023, 15, 10224. [Google Scholar] [CrossRef]
- Cai, L.; Shi, X.; Xue, J. Laboratory evaluation of composed modified asphalt binder and mixture containing nano-silica/rock asphalt/SBS. Constr. Build. Mater. 2018, 172, 204–211. [Google Scholar] [CrossRef]
- Zou, G.L.; Wu, C. Evaluation of rheological properties and field applications of Buton rock asphalt. J. Test. Eval. 2015, 43, 11. [Google Scholar] [CrossRef]
- Yilmaz, M.; Kök, B.V.; Kuloğlu, N. Investigating the resistance of asphaltite containing hot mix asphalts against fatigue and permanent deformation by cyclic tests. Can. J. Civ. Eng. 2013, 40, 27–34. [Google Scholar] [CrossRef]
- Sun, D.; Liang, G.; Cao, L.H. A study on Xinjiang asphaltite as an asphalt modifier. Part II: Rheological evaluation of modified asphalt binders. Pet. Sci. Technol. 2014, 32, 2059–2067. [Google Scholar] [CrossRef]
- Wang, M.; Lin, J.; Liu, L. Fatigue performance of rock asphalt modified asphalt based on reduced dissipated energy ratio. J. Build. Mater. 2015, 18, 1024–1027+1032. [Google Scholar]
- Zhou, X. Research on the Performance of Domestic Rock Asphalt and Its Mixture. Master’s Dissertation, Chang’an University, Xi’an, China, 2017. [Google Scholar]
- Sun, D.; Lin, T. Effect of modifier on self-healing ability of asphalt. J. Highway. 2015, 60, 224–228. [Google Scholar]
- Sun, D.; Lin, T.; Cao, L. Fatigue life analysis method of asphalt based on dynamic shear rheological test. J. Build. Mater. 2015, 18, 346–350. [Google Scholar]
- Dong, R.; Zheng, M.; Huang, W.; Huang, M. Fatigue performance comparison of various kinds of asphalt mixtures with self-healing compensation considered. China J. Highw. Transp. 2015, 28, 87–92. [Google Scholar]
- Zhou, L.; Huang, W.; Lv, Q. Evaluation and mechanism analysis of asphalt self-healing property under dry and wet conditions. J. Build. Mater. 2021, 24, 137–145. [Google Scholar]
- Zhang, L.; Liu, Q.; Wu, S.; Rao, Y.; Sun, Y.; Xie, J.; Pan, P. Investigation of the flow and self-healing properties of UV aged asphalt binders. Constr. Build. Mater. 2018, 174, 401–409. [Google Scholar] [CrossRef]
- Li, Y.; Wu, S.; Liu, Q.; Dai, Y.; Li, C.; Li, H.; Nie, S.; Song, W. Aging degradation of asphalt binder by narrow-band UV radiations with a range of dominant wavelengths. Constr. Build. Mater. 2019, 220, 637–650. [Google Scholar] [CrossRef]
- Malinowski, S.; Woszuk, A.; Franus, W. Modern two-component modifiers inhibiting the aging process of road bitumen. Constr. Build. Mater. 2023, 409, 133838. [Google Scholar] [CrossRef]
- Malinowski, S. Aromatisation process as part of bitumen ageing in the light of electronic structure and further oxidation of its components. Constr. Build. Mater. 2023, 366, 130198. [Google Scholar] [CrossRef]
- Cui, Y.; Li, X.; Yu, Q.; Cui, S. Study on bending resistance and self-healing property of SBS modified asphalt FAM mixture under thermal aging. IOP Conf. Ser. Earth Environ. Sci. 2019, 304, 022038. [Google Scholar] [CrossRef]
- Tarefder, R.; Faisal, H.; Barlas, G. Freeze-thaw effects on fatigue LIFE of hot mix asphalt and creep stiffness of asphalt binder. Cold Reg. Sci. Technol. 2018, 153, 197–204. [Google Scholar] [CrossRef]
- Fan, Z.; Xu, H.; Xiao, J.; Tan, Y. Effects of freeze-thaw cycles on fatigue performance of asphalt mixture and development of fatigue-freeze-thaw (FFT) uniform equation. Constr. Build. Mater. 2020, 242, 118043. [Google Scholar] [CrossRef]
- Zhang, Z.; Cheng, P.; Li, Y. Effect of nano montmorillonite on the multiple self-healing of microcracks in asphalt mixture. Road Mater. Pavement Des. 2021, 22, 2689–2703. [Google Scholar] [CrossRef]
- Kavussi, A.; Karimi, M.M.; Dehaghi, E.A. Effect of moisture and freeze-thaw damage on microwave healing of asphalt mixes. Constr. Build. Mater. 2020, 254, 119268. [Google Scholar] [CrossRef]
- Klug, A.; Ng, A.; Faxina, A. Application of the viscoelastic continuum damage theory to study the fatigue performance of asphalt mixtures—A literature review. Sustainability 2022, 14, 4973. [Google Scholar] [CrossRef]
- JTG E20-2011; Standard Test Methods of Bitumen and Bituminous Mixtures for Highway Engineering. Ministry of Transport of the People’s Republic of China: Beijing, China, 2011.
- JTG E42-2005; Test Methods of Aggregate for Highway Engineering. Ministry of Transport of the People’s Republic of China: Beijing, China, 2005.
- SH/T 0736-2003; Standard Test Method for Effect of Heat and Air on a Moving Film of Asphalt (Rolling Thin-Film Oven Test). National Development and Reform Commission of the People’s Republic of China: Beijing, China, 2004.
- Park, S.W.; Schapery, R.A. A viscoelastic constitutive model for particulate composites with growing damage. Int. J. Solids Struct. 1997, 34, 931–947. [Google Scholar] [CrossRef]
- Schapery, R.A. A theory of crack initiation and growth in viscoelastic media. Int. J. Fract. 1975, 11, 141–159. [Google Scholar] [CrossRef]
- Schapery, R.A. Time-dependent fracture: Continuum aspects of crack growth. In Encyclopedia of Materials Science and Engineering; Pergamon: Oxford, UK, 1986; pp. 5043–5053. [Google Scholar]
- Schapery, R.A. Deformation and fracture characterization of inelastic composite materials using potentials. Polym. Eng. Sci. 1987, 27, 63–76. [Google Scholar] [CrossRef]
- Schapery, R.A. A theory of mechanical behavior of elastic media with growing damage and other changes in structure. J. Mech. Phys. Solids 1990, 38, 215–253. [Google Scholar] [CrossRef]
- Kim, Y.R.; Lee, Y.C.; Lee, H.J. Correspondence principle for characterization of asphalt concrete. J. Mater. Civ. Eng. 1995, 7, 59–68. [Google Scholar] [CrossRef]
- Schapery, R.A. On viscoelastic deformation and failure behavior of composite materials with distributed flaws. In 1981 Advances in Aerospace Structures and Materials; American Society of Mechanical Engineers: New York, NY, USA, 1981; pp. 5–20. [Google Scholar]
- Park, S.W.; Kim, Y.R.; Schapery, R.A. A viscoelastic continuum damage model and its application to uniaxial behavior of asphalt concrete. Mech. Mater. 1996, 24, 241–255. [Google Scholar] [CrossRef]
- Lee, H.J.; Kim, Y.R. Viscoelastic constitutive model for asphalt concrete under cyclic loading. J. Eng. Mech. 1998, 124, 32–40. [Google Scholar] [CrossRef]
- Schapery, R.A. Correspondence principles and a generalized J integral for large deformation and fracture analysis of viscoelastic media. Int. J. Fract. 1984, 25, 195–223. [Google Scholar] [CrossRef]
- Kim, Y.R.; Little, D.N.; Lytton, R.L. Fatigue and healing characterization of asphalt mixtures. Mater. Civ. Eng. 2003, 15, 75–83. [Google Scholar] [CrossRef]
- Karki, P. An Integrated Approach to Measure and Model Fatigue Damage and Healing in Asphalt Composites. Doctoral Dissertation, The University of Texas at Austin, Austin, TX, USA, 2014. [Google Scholar]
- Karki, P.; Li, R.; Bhasin, A. Quantifying overall damage and healing behaviour of asphalt materials using continuum damage approach. Int. J. Pavement Eng. 2015, 16, 350–362. [Google Scholar] [CrossRef]
- Zeng, W.; Wu, S.; Wen, J.; Chen, Z. The temperature effects in aging index of asphalt during UV aging process. Constr. Build. Mater. 2015, 93, 1125–1131. [Google Scholar] [CrossRef]
- Hu, J. Study on UV aging behavior of asphalt and its aging kinetics. Doctoral Dissertation, Wuhan University of Technology, Wuhan, China, 2018. [Google Scholar]
- JTG F40-2004; Technical Specifications for Construction of Highway Asphalt Pavements. Ministry of Transport of the People’s Republic of China: Beijing, China, 2004.
- Rasool, T.R.; Wang, S.; Zhang, Y.; Li, Y.; Zhang, G. Improving the aging resistance of SBS modified asphalt with the addition of highly reclaimed rubber. Constr. Build. Mater. 2017, 145, 126–134. [Google Scholar] [CrossRef]
- Mouillet, V.; Farcas, F.; Battaglia, V.; Besson, S.; Petiteau, C.; Le Cunff, F. Identification and Quantification of Bituminous Binder’s Oxygenated Species; Analysis by Fourier Transform InfraRed spectroscopy. Testing method of LPC n°69, ME 69; Laboratoire Central des Ponts et Chaussées: Paris, France, 2009; 10p, ISSN 1167-489X. [Google Scholar]
- Sun, G.; Hu, M.; Zhu, X.; Ning, W.; Liu, Z.; Sun, D. Decay pattern of self-healing temperature susceptibility of bitumens at various ageing states. J. Constr. Build. Mater. 2022, 324, 126668. [Google Scholar] [CrossRef]
- Li, P.; Zhang, Z.; Wang, B. Discussion on UV-ing aging characteristic and mechanism of asphalt. J. Zhengzhou Univ. (Eng. Sci.) 2008, 29, 96–100. [Google Scholar]
- Tan, Y.; Shao, X.; Zhang, X. Research on evaluations approach to low-temperature performance of asphalt based on rheology characteristic of low temperature. China J. Highw. Transp. 2002, 3, 3–7. [Google Scholar]
- Li, Z.; Hao, P.; Xu, J. Study on impacts of freeze-thaw cycles on the shear performances of emulsified asphalt cold recycle mixture. Mater. Rep. 2016, 30, 121–125. [Google Scholar]
- Xu, M.; Yi, J.; Feng, D.; Huang, Y.; Wang, D. Analysis of adhesive characteristics of asphalt based on atomic force microscopy and molecular dynamics simulation. ACS Appl. Mater. Interfaces 2016, 8, 12393–12403. [Google Scholar] [CrossRef] [PubMed]
- Azahar, W.A.N.W.; Jaya, P.R.; Hainin, R.M.; Bujang, M.; Ngadi, N. Mechanical performance of asphaltic concrete incorporating untreated and treated waste cooking oil. Constr. Build. Mater. 2017, 150, 653–663. [Google Scholar] [CrossRef]
- Li, Y.; Guo, M.; Liu, X. Macroscopic and microscopic characterization of the effect of “activation” process on the performance of Buton rock asphalt-modified asphalt. Adv. Mater. Sci. Eng. 2020, 2020, 8148930. [Google Scholar] [CrossRef]



















| Binder ID | Asphalt Binder | Description |
|---|---|---|
| A | #70 | #70 virgin asphalt binder |
| B | QC | #70 asphalt binder modified with 8% QC rock asphalt |
| C | UM | #70 asphalt binder modified with 8% UM rock asphalt |
| D | B8 | #70 asphalt binder modified with 8% Buton rock asphalt |
| E | B20 | #70 asphalt binder modified with 20% Buton rock asphalt |
| F | HMA | High-modulus binder from Xi’an Zhongli Asphalt Co., Ltd. |
| Properties | Asphalt Binder | Standard | |||||
|---|---|---|---|---|---|---|---|
| #70 | QC | UM | B8 | B20 | HMA | ||
| Penetration (25 °C, 0.1 mm) | 74.0 | 41.0 | 70.8 | 50.8 | 25.7 | 39.3 | T 0604 |
| Ductility (15 °C, cm) | >100 | 37.7 | 41.0 | 15.9 | 43.7 | 41.4 | T 0605 |
| Softening point (°C) | 49.0 | 55.0 | 51.2 | 51.5 | 58.9 | 80.3 | T 0605 |
| Aggregate Specification (mm) | Bulk Density (g/cm3) | Apparent Density (g/cm3) | Standard |
|---|---|---|---|
| 0.6~1.18 | 2.670 | 2.711 | T 0328-2005 |
| 0.3~0.6 | 2.665 | 2.697 | |
| 0.15~0.3 | 2.689 | 2.689 | |
| 0.075~0.15 | 2.704 | 2.704 | |
| 0~0.075 | 2.721 | 2.721 | T 0353-2000 |
| Asphalt Binder | Air Void Content (%) | Standard |
|---|---|---|
| #70 FAM mixture | 0.39 | T 0705 |
| QC FAM mixture | 0.42 | T 0705 |
| UM FAM mixture | 0.35 | T 0705 |
| B8 FAM mixture | 0.30 | T 0705 |
| B20 FAM mixture | 0.48 | T 0705 |
| HMA FAM mixture | 0.38 | T 0705 |
Disclaimer/Publisher’s Note: The statements, opinions and data contained in all publications are solely those of the individual author(s) and contributor(s) and not of MDPI and/or the editor(s). MDPI and/or the editor(s) disclaim responsibility for any injury to people or property resulting from any ideas, methods, instructions or products referred to in the content. |
© 2024 by the authors. Licensee MDPI, Basel, Switzerland. This article is an open access article distributed under the terms and conditions of the Creative Commons Attribution (CC BY) license (https://creativecommons.org/licenses/by/4.0/).
Share and Cite
Li, R.; Yu, S.; Chen, H.; Wu, J.; Chen, Y.; Yue, J. Effects of a Complex Environment on Fatigue and Self-Healing Characterization of Asphalt Composites Containing Rock Asphalt. Materials 2024, 17, 2453. https://doi.org/10.3390/ma17102453
Li R, Yu S, Chen H, Wu J, Chen Y, Yue J. Effects of a Complex Environment on Fatigue and Self-Healing Characterization of Asphalt Composites Containing Rock Asphalt. Materials. 2024; 17(10):2453. https://doi.org/10.3390/ma17102453
Chicago/Turabian StyleLi, Ruixia, Shangjun Yu, Hailong Chen, Jiahui Wu, Yijun Chen, and Jinchao Yue. 2024. "Effects of a Complex Environment on Fatigue and Self-Healing Characterization of Asphalt Composites Containing Rock Asphalt" Materials 17, no. 10: 2453. https://doi.org/10.3390/ma17102453
APA StyleLi, R., Yu, S., Chen, H., Wu, J., Chen, Y., & Yue, J. (2024). Effects of a Complex Environment on Fatigue and Self-Healing Characterization of Asphalt Composites Containing Rock Asphalt. Materials, 17(10), 2453. https://doi.org/10.3390/ma17102453
