Sign in to use this feature.

Years

Between: -

Subjects

remove_circle_outline
remove_circle_outline
remove_circle_outline
remove_circle_outline
remove_circle_outline
remove_circle_outline
remove_circle_outline
remove_circle_outline
remove_circle_outline

Journals

remove_circle_outline
remove_circle_outline
remove_circle_outline
remove_circle_outline
remove_circle_outline
remove_circle_outline
remove_circle_outline
remove_circle_outline
remove_circle_outline

Article Types

Countries / Regions

remove_circle_outline
remove_circle_outline
remove_circle_outline
remove_circle_outline
remove_circle_outline

Search Results (1,022)

Search Parameters:
Keywords = Type-2 fuzzy system

Order results
Result details
Results per page
Select all
Export citation of selected articles as:
24 pages, 1930 KB  
Article
Global Fuzzy Adaptive Consensus for Uncertain Nonlinear Multi-Agent Systems with Unknown Control Directions
by Jin Xie, Yutian Wei and Juan Sun
Symmetry 2026, 18(3), 521; https://doi.org/10.3390/sym18030521 - 18 Mar 2026
Viewed by 109
Abstract
This paper investigates the consensus problem for a class of uncertain nonlinear multi-agent systems (MASs) subject to external disturbances with unknown control directions (UCDs). A novel control scheme integrating Nussbaum-type gain is proposed to actively compensate for UCDs, while fuzzy logic systems (FLSs) [...] Read more.
This paper investigates the consensus problem for a class of uncertain nonlinear multi-agent systems (MASs) subject to external disturbances with unknown control directions (UCDs). A novel control scheme integrating Nussbaum-type gain is proposed to actively compensate for UCDs, while fuzzy logic systems (FLSs) are embedded in a feed-forward compensator to approximate unknown nonlinear dynamics, thereby achieving global stability. The proposed distributed control laws ensure global asymptotic convergence for both first- and second-order MASs through Lyapunov stability analysis. By implementing a strategic reparameterization technique, this scheme systematically reduces computational complexity, requiring each agent to adapt only a minimal parameter set. Moreover, the framework is extended to address complex formation control tasks. Comprehensive simulations validate the efficacy of the theoretical findings. Full article
(This article belongs to the Special Issue Symmetry and Asymmetry in Control Science)
Show Figures

Figure 1

26 pages, 636 KB  
Article
How Platform Participants Drive Digital Innovation? A Configuration Analysis Based on the TOE Framework
by Jun Liu, Kang Ren, Jing Lv and Jing Yang
Systems 2026, 14(3), 296; https://doi.org/10.3390/systems14030296 - 11 Mar 2026
Viewed by 153
Abstract
As industrial internet platforms increasingly play a central role in the digital transformation of manufacturing, they have become crucial areas for manufacturing enterprises to pursue digital innovation. Current academic research has paid relatively little attention to the digital innovation of participating enterprises within [...] Read more.
As industrial internet platforms increasingly play a central role in the digital transformation of manufacturing, they have become crucial areas for manufacturing enterprises to pursue digital innovation. Current academic research has paid relatively little attention to the digital innovation of participating enterprises within industrial internet platforms, failing to fully reveal the driving mechanisms of such innovation in this context. Based on the TOE framework and adopting a platform participant perspective, this study employs fuzzy set qualitative comparative analysis (fsQCA). By surveying 169 manufacturing enterprises participating in industrial internet platforms, it integrates seven key antecedents—technology availability, technology fit, digital leadership, organizational structural flexibility, resource orchestration, policy support, and competitive pressure—to systematically explore the complex influence pathways of multi-factor concurrent interactions on digital innovation. The research results show that the high digital innovation of manufacturing enterprises on the industrial internet platform includes precise implementation type, exploration-oriented type and co-evolution type, while the non-high digital innovation paths include technology blocking type, dual-core absence type and system disorder type. These conclusions expand the theoretical framework for digital innovation in manufacturing enterprises within industrial internet platforms and offer practical recommendations for their digital innovation practices. Full article
Show Figures

Figure 1

22 pages, 35886 KB  
Article
Characteristics and Migration Patterns of Deltaic Channels in Tide-Controlled Coal-Accumulating Environments: A Case Study of the Pinghu Formation in the K Area, Xihu Depression
by Yaning Wang, Bin Shen, Yan Zhao and Shan Jiang
J. Mar. Sci. Eng. 2026, 14(6), 523; https://doi.org/10.3390/jmse14060523 - 10 Mar 2026
Viewed by 163
Abstract
This paper focuses on the Pinghu Formation in the K region of the Xihu Depression, conducting a systematic study on the channel types, migration patterns, and the coupling mechanisms of tectonics, paleogeomorphology, and tidal dynamics in the tidal-controlled and river-controlled composite delta system [...] Read more.
This paper focuses on the Pinghu Formation in the K region of the Xihu Depression, conducting a systematic study on the channel types, migration patterns, and the coupling mechanisms of tectonics, paleogeomorphology, and tidal dynamics in the tidal-controlled and river-controlled composite delta system of the region. By integrating core, well logging, and 3D seismic data, and addressing the challenges of channel identification under the influence of coal seams, methods such as PCA, K-means clustering, and fuzzy c-means clustering were employed for multi-attribute fusion analysis. An indicator system for channel identification and type classification was established, revealing the sedimentary characteristics of tidal-modified delta channels and their planar distribution and migration evolution process. The results of the study indicate that: (1) The early stage of the Pinghu Formation developed a tidal-controlled delta, with channels in network, linear, and dendritic shapes, where individual channels were small and fragmented; in the later stage, it transformed into a river-controlled delta, with sandbodies more concentrated; (2) In areas with weak tectonic constraints, the control of geomorphic boundaries became more prominent, and the barrier islands’ shielding effect on tides led to river-controlled migration of the channels, with limited tidal channels and tidal-modified sandbodies developed only in local areas; (3) The planar distribution and evolution of channels in the study area showed significant differences at different times due to the influences of geomorphology and tectonics. The findings of this paper provide new insights into the sedimentary evolution of tidal-modified delta channels. Full article
Show Figures

Figure 1

22 pages, 967 KB  
Article
Solutions of a Fuzzy Difference Equation with Maximum
by Lirong Ma, Changyou Wang and Yue Sun
Axioms 2026, 15(3), 202; https://doi.org/10.3390/axioms15030202 - 9 Mar 2026
Viewed by 168
Abstract
This paper systematically investigates the dynamical properties of a class of max-type fuzzy difference equation. The study first establishes the existence and uniqueness of the solution sequence under given initial conditions with positive fuzzy numbers. Subsequently, by applying the cut-set theory, the fuzzy [...] Read more.
This paper systematically investigates the dynamical properties of a class of max-type fuzzy difference equation. The study first establishes the existence and uniqueness of the solution sequence under given initial conditions with positive fuzzy numbers. Subsequently, by applying the cut-set theory, the fuzzy equation is transformed into a system coupled by two ordinary difference equations. Through a combination of case analysis and mathematical induction, the study rigorously demonstrates that the solutions of this system exhibit global periodicity with a period of 4, while also deriving the exact closed-form expressions of the periodic solutions. Based on the periodic solutions obtained from the ordinary difference system, the research successfully reveals the periodic characteristics of the solutions to the original fuzzy difference equation and rigorously analyzes their boundedness and persistence. Finally, numerical simulations conducted with Matlab 2016 provide robust data support for the theoretical conclusions and the effectiveness of the methodology. Full article
(This article belongs to the Special Issue Delay Differential Equations: Theory, Control and Applications)
Show Figures

Figure 1

9 pages, 527 KB  
Proceeding Paper
Reservoir Inflow Prediction System Based on Interval Type-2 Fuzzy Logic
by Hao-Han Tsao, Meng-Wei Chen, Yi-Hsiang Tseng and Yih-Guang Leu
Eng. Proc. 2025, 120(1), 72; https://doi.org/10.3390/engproc2025120072 - 6 Mar 2026
Viewed by 195
Abstract
Due to its fast start and stop, purity, and reliability, hydropower is becoming more important in the overall power dispatch strategy in grids with a high proportion of wind and solar power generation. Therefore, we propose an interval type-2 fuzzy logic-based rainfall classification [...] Read more.
Due to its fast start and stop, purity, and reliability, hydropower is becoming more important in the overall power dispatch strategy in grids with a high proportion of wind and solar power generation. Therefore, we propose an interval type-2 fuzzy logic-based rainfall classification and fuzzy neural network model to build a 48 h reservoir inflow forecasting system, addressing the challenges of renewable energy instability and extreme weather in hydropower operations. Full article
(This article belongs to the Proceedings of 8th International Conference on Knowledge Innovation and Invention)
Show Figures

Figure 1

27 pages, 5910 KB  
Article
Hierarchical Fuzzy System Integrated with Deep Learning for Robust and Interpretable Classification of Breast Malignancies Using Radiomics Features from Ultrasound Imaging
by Mohamed Loey and Heba M. Khalil
Computers 2026, 15(3), 147; https://doi.org/10.3390/computers15030147 - 1 Mar 2026
Viewed by 264
Abstract
Breast cancer poses a global health risk and requires precision and accessibility in diagnostic measures. Ultrasound imaging is vital for breast lesion identification due to its safety, cost-effectiveness, and real-time capabilities. This paper presents a new fuzzy system architecture that utilizes ultrasound-based radiomics [...] Read more.
Breast cancer poses a global health risk and requires precision and accessibility in diagnostic measures. Ultrasound imaging is vital for breast lesion identification due to its safety, cost-effectiveness, and real-time capabilities. This paper presents a new fuzzy system architecture that utilizes ultrasound-based radiomics features to classify breast cancers. In order to ensure uniformity and consistency in shape-based characteristics limited to tumors, we calculate parameters such as elongation, compactness, spherical disproportion, and volumetrics following IBSI recommendations. We employ a hierarchical fuzzy system tree to handle high-dimensional data space and to identify the most discriminative characteristics. The selected features are incorporated into a modular fuzzy logic design that promotes transparency and maintains an auditable decision history according to clinical interpretability. Our framework enables the more accurate classification of breast cancer while addressing the beliefs and values prevalent in clinical applications. Tested on an independent set of data, the model achieved high accuracy of 99.60%, with low overfitting and strong generalization. To enhance its generalizability, we validated it on an internal dataset, attaining a sensitivity of 93.65%, a specificity of 99.24%, an AUC of 0.996, and an 18% reduction in unnecessary biopsies, as demonstrated through decision curve analysis, demonstrating substantial clinical utility across various settings. The findings confirm the system’s ability to identify intricate radiomic patterns linked to cancer. Due to its computing efficiency, it may be executed in real time during routine screening. The proposed radiomics-based fuzzy classification framework may offer a clinically beneficial approach for differentiating benign from malignant breast lesions. Explainability is enhanced with user-friendly artifacts for clinicians, including ranking IF-THEN rules and counterfactuals, all of which were validated in usability trials that demonstrated increased trust among radiologists compared to other technologies. Enhanced differentiation in the classification of various lesion types will decrease unnecessary biopsies. This approach integrates radiomics features with transparent and interpretable fuzzy logic to deliver enhanced predictors and a comprehensible framework for users, including physicians, to facilitate decision-making. This approach advances precision medicine standards through the early detection of lesions using more specific and systematic diagnostic instruments. Full article
Show Figures

Figure 1

28 pages, 2175 KB  
Article
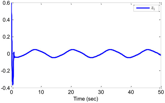
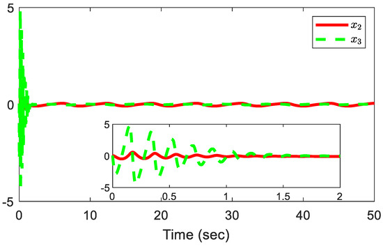
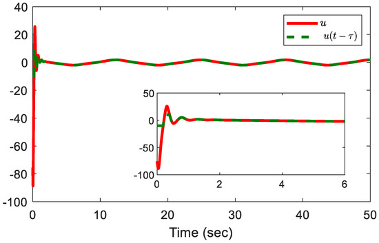
Adaptive Fuzzy Control with Predefined-Time Convergence for High-Order Nonlinear Systems Facing Input Delay and Unmodeled Dynamics
by Mohamed Kharrat and Paolo Mercorelli
Mathematics 2026, 14(5), 765; https://doi.org/10.3390/math14050765 - 25 Feb 2026
Viewed by 185
Abstract
This work addresses the design of a predefined-time adaptive fuzzy control scheme for high-order nonlinear systems with nonstrict-feedback structures, subject to unmodeled dynamics and input time delay. To mitigate the influence of unmodeled dynamics, a predefined-time auxiliary dynamic signal is incorporated into the [...] Read more.
This work addresses the design of a predefined-time adaptive fuzzy control scheme for high-order nonlinear systems with nonstrict-feedback structures, subject to unmodeled dynamics and input time delay. To mitigate the influence of unmodeled dynamics, a predefined-time auxiliary dynamic signal is incorporated into the controller design. Meanwhile, the adverse effects caused by input delay are handled by integrating a Padé approximation with the introduction of an intermediate state variable. Fuzzy logic systems are utilized to approximate the unknown nonlinear terms present in the system dynamics. Based on a recursive backstepping framework and a power-type Lyapunov function formulation, an adaptive fuzzy tracking controller with predefined-time convergence characteristics is constructed. A detailed stability analysis demonstrates that the closed-loop system achieves practical predefined-time convergence, while appropriate selection of design parameters guarantees that the tracking errors remain confined within a small bounded region around the origin. Finally, the effectiveness and advantages of the proposed control strategy are validated through a numerical example and a practical example. Full article
Show Figures

Figure 1

25 pages, 1207 KB  
Article
A Similarity-Based Fuzzy Framework for Flood Damage Assessment Under Data-Scarce Conditions
by Tanja Vranić, Srđan Popov, Jovana Simić, Nebojša Ralević and Lidija Krstanović
Mathematics 2026, 14(5), 760; https://doi.org/10.3390/math14050760 - 25 Feb 2026
Viewed by 291
Abstract
The assessment of building-level flood damage in low-relief floodplains is constrained by pronounced exposure heterogeneity and a lack of object-level damage data. This study proposes a similarity-based fuzzy modeling framework for direct material flood damage assessment under structurally data-scarce conditions. The approach combines [...] Read more.
The assessment of building-level flood damage in low-relief floodplains is constrained by pronounced exposure heterogeneity and a lack of object-level damage data. This study proposes a similarity-based fuzzy modeling framework for direct material flood damage assessment under structurally data-scarce conditions. The approach combines a Composite Exposure Index derived from geospatial indicators with a Mamdani-type fuzzy inference system and a prototype-based similarity modulation mechanism that enhances differentiation among highly exposed buildings without empirical calibration. The framework was evaluated using a physically consistent synthetic dataset representing a rural lowland floodplain in Serbia. The results demonstrate smooth and monotone damage escalation with respect to exposure and flood depth, while similarity-based modulation selectively enhances discriminatory resolution in high-exposure regimes. The proposed framework provides a transparent and data-efficient alternative to calibration-dependent empirical and machine-learning approaches for exploratory flood-risk analysis and decision-support applications. Full article
Show Figures

Graphical abstract

20 pages, 1913 KB  
Article
Development and Internal Evaluation of an Interpretable AI-Based Composite Score for Psychosocial and Behavioral Screening in Dental Clinics Using a Mamdani Fuzzy Inference System
by Alexandra Lavinia Vlad, Florin Sandu Blaga, Ioana Scrobota, Raluca Ortensia Cristina Iurcov, Gabriela Ciavoi, Anca Maria Fratila and Ioan Andrei Țig
Medicina 2026, 62(2), 412; https://doi.org/10.3390/medicina62020412 - 21 Feb 2026
Viewed by 335
Abstract
Background and Objectives: Psychosocial symptoms and oral behaviors can complicate routine dental care, yet available screeners yield multiple separate scores. Explainable artificial intelligence offers a pragmatic way to integrate such multidomain measures into a single, auditable output that can support screening-oriented stratification and [...] Read more.
Background and Objectives: Psychosocial symptoms and oral behaviors can complicate routine dental care, yet available screeners yield multiple separate scores. Explainable artificial intelligence offers a pragmatic way to integrate such multidomain measures into a single, auditable output that can support screening-oriented stratification and standardized documentation (non-diagnostic). Therefore, we aimed to develop an interpretable, deterministic Mamdani fuzzy inference system (FIS) integrating GAD-7, PHQ-9, and OBC-21 into a 0–10 psychobehavioral composite score (PCS) to support screening-oriented stratification and standardized documentation (non-diagnostic). Materials and Methods: Cross-sectional multicenter study in 18 private dental clinics in Romania (October 2024–March 2025; n = 460). A rule-based Mamdani Type-1 FIS was specified a priori (48 rules; triangular membership functions; centroid defuzzification) without supervised training. Internal evaluation assessed coherence across severity strata, robustness to predefined input perturbations (±1 point; ±5%) and membership-function variation (±10%), and benchmarking against linear composites (Z-mean; PCA PC1). Results: Median PCS was 2.30 (IQR 2.03–3.56). PCS correlated with GAD-7 (Spearman ρ = 0.886), PHQ-9 (ρ = 0.792), and OBC-21 (ρ = 0.687) (all p < 0.001), increased monotonically across anxiety and depression severity strata, and was higher in high OBC-21 risk. Robustness was excellent under input perturbations (ICC(3,1) = 0.983 for ±1 point; 0.992 for ±5%) and high under ±10% membership-function variation (ICC(3,1) = 0.959). Concordance with linear baselines was high (Spearman ρ = 0.956 for Z-mean; 0.955 for PCA PC1), with a small systematic nonlinearity at higher scores. Conclusions: PCS provides a fully auditable, rule-based integration of three patient-reported measures with coherent internal behavior and robustness to plausible measurement noise and specification changes. This study reports internal evaluation of a deterministic, rule-based aggregation; external clinical validation against independent outcomes is required before any clinical utility claims. Full article
Show Figures

Figure 1

24 pages, 3973 KB  
Article
An Integrated Framework for Deflagration Risk Analysis in Electrochemical Energy Storage Stations: Combining Fault Tree Analysis and Fuzzy Bayesian Network
by Qi Yuan, Yihao Qiu, Xiaoyu Liang, Dongmei Huang and Chunmiao Yuan
Processes 2026, 14(4), 674; https://doi.org/10.3390/pr14040674 - 15 Feb 2026
Viewed by 383
Abstract
Electrochemical energy storage is pivotal in constructing new-type power systems. However, the large-scale deployment of energy storage stations poses severe safety challenges, particularly the risk of deflagration. The coupling of combustible accumulation within battery systems and the confined structure of storage units can [...] Read more.
Electrochemical energy storage is pivotal in constructing new-type power systems. However, the large-scale deployment of energy storage stations poses severe safety challenges, particularly the risk of deflagration. The coupling of combustible accumulation within battery systems and the confined structure of storage units can trigger cascading thermal runaway and deflagration accidents. Existing research still falls short in systematically analyzing the deflagration risks and process evolution mechanisms in energy storage stations. To address this gap, this study develops a probabilistic risk assessment model that enables analysis of risk propagation through the integration of fault tree analysis (FTA) with a static fuzzy Bayesian network (BN). The proposed approach delineates the complete risk evolution pathway from battery thermal runaway to deflagration in a confined space. Diagnostic reasoning identifies a dominant risk escalation path initiated by internal short circuits, leading to thermal runaway, flammable gas release, and pressure accumulation due to inadequate pressure relief. Sensitivity analysis highlights gases ejected during thermal runaway (C22) and lack of pressure relief devices or insufficient venting area (C31) as the most influential risk drivers. This study thus offers a practical, model-based framework for enhancing targeted risk prevention and safety resilience in electrochemical energy storage station infrastructure. Full article
(This article belongs to the Section Process Safety and Risk Management)
Show Figures

Figure 1

24 pages, 2712 KB  
Article
Enhancing the Artificial Rabbit Optimizer Using Fuzzy Rule Interpolation
by Mohammad Almseidin
Big Data Cogn. Comput. 2026, 10(2), 57; https://doi.org/10.3390/bdcc10020057 - 10 Feb 2026
Viewed by 282
Abstract
Metaheuristic optimization algorithms have demonstrated their effectiveness in solving complex optimization tasks, such as those related to Intrusion Detection Systems (IDSs). It was widely used to enhance the detection rate of various types of cyber attacks by reducing the feature space or tuning [...] Read more.
Metaheuristic optimization algorithms have demonstrated their effectiveness in solving complex optimization tasks, such as those related to Intrusion Detection Systems (IDSs). It was widely used to enhance the detection rate of various types of cyber attacks by reducing the feature space or tuning the model’s hyperparameters. The Artificial Rabbit Optimizer (ARO) mimics rabbits’ intelligent foraging and hiding behavior. The ARO algorithm has seen widespread adoption in the optimization field. The widespread use of the ARO algorithm occurs due to its simple design and ease of implementation. However, ARO can get trapped in local optima due to its limited diversity in population dynamics. Although the transition between phases is managed via an energy shrink factor, fine-tuning this balance remains challenging and unexplored. These limitations could limit the ARO algorithm’s effectiveness in high-dimensional space, as with IDS systems. This paper introduces a novel enhancement of the original ARO by integrating Fuzzy Rule Interpolation (FRI) to compute the energy factor during the optimization process dynamically. In this work, we integrate the FRI along with the ARO algorithm to improve solution accuracy, maintain population diversity, and accelerate convergence, particularly in high-dimensional and complex problems such as IDS. The integration of the FRI and ARO aimed to control the exploration-exploitation balance in the IDS application area. To validate our proposed hybrid approach, we tested it on a diverse set of intrusion datasets, covering eight different benchmark intrusion detection datasets. The suggested hybrid approach has been demonstrated to be effective in handling various intrusion classification tasks. For binary intrusion classification tasks, it achieved accuracy rates ranging from 96% to 99.9%. In the case of multiclass intrusion classification tasks, the accuracy was slightly more consistent, falling between 91.6% and 98.9%. The suggested approach effectively reduced the number of feature spaces, achieving reduction rates from 56% up to 96%. Furthermore, the proposed approach outperformed other state-of-the-art methods in terms of detection rate. Full article
Show Figures

Figure 1

22 pages, 1042 KB  
Article
Pulse Wave Velocity Estimation in a Controlled In Vitro Vascular Model: Benchmarking Machine Learning Approaches
by Daniel Barvik, Martin Černý, Michal Prochazka and Norbert Noury
Sensors 2026, 26(3), 1066; https://doi.org/10.3390/s26031066 - 6 Feb 2026
Viewed by 348
Abstract
This study evaluates the feasibility of estimating stiffness-related parameters and pulse wave velocity (PWV) in a controlled in vitro circulatory setup using artificial silicone vessels with systematically varied Shore A hardness and wall thickness. From synchronized pressure and capacitive waveforms, fiducial points and [...] Read more.
This study evaluates the feasibility of estimating stiffness-related parameters and pulse wave velocity (PWV) in a controlled in vitro circulatory setup using artificial silicone vessels with systematically varied Shore A hardness and wall thickness. From synchronized pressure and capacitive waveforms, fiducial points and engineered features are extracted, together with pump settings (stroke volume and heart rate). A Sugeno-type adaptive neuro-fuzzy inference system (ANFIS) is used for hardness-level prediction and benchmarked against linear regression and contemporary machine-learning/deep-learning baselines using stratified cross-validation. PWV estimates derived via hardness-to-elasticity conversion models and the Moens–Korteweg formulation are evaluated against a reference PWV obtained within the same experimental configuration. Under these controlled conditions, the proposed pipeline shows strong agreement with reference labels and measurements. The results should be interpreted as an in vitro validation step; translation to biological tissues or in vivo data will require external validation, calibration of material-property mapping, and robustness testing under physiological variability and measurement noise. Full article
(This article belongs to the Section Biomedical Sensors)
Show Figures

Figure 1

55 pages, 2886 KB  
Article
Hybrid AI and LLM-Enabled Agent-Based Real-Time Decision Support Architecture for Industrial Batch Processes: A Clean-in-Place Case Study
by Apolinar González-Potes, Diego Martínez-Castro, Carlos M. Paredes, Alberto Ochoa-Brust, Luis J. Mena, Rafael Martínez-Peláez, Vanessa G. Félix and Ramón A. Félix-Cuadras
AI 2026, 7(2), 51; https://doi.org/10.3390/ai7020051 - 1 Feb 2026
Viewed by 1668
Abstract
A hybrid AI and LLM-enabled architecture is presented for real-time decision support in industrial batch processes, where supervision still relies heavily on human operators and ad hoc SCADA logic. Unlike algorithmic contributions proposing novel AI methods, this work addresses the practical integration and [...] Read more.
A hybrid AI and LLM-enabled architecture is presented for real-time decision support in industrial batch processes, where supervision still relies heavily on human operators and ad hoc SCADA logic. Unlike algorithmic contributions proposing novel AI methods, this work addresses the practical integration and deployment challenges arising when applying existing AI techniques to safety-critical industrial environments with legacy PLC/SCADA infrastructure and real-time constraints. The framework combines deterministic rule-based agents, fuzzy and statistical enrichment, and large language models (LLMs) to support monitoring, diagnostic interpretation, preventive maintenance planning, and operator interaction with minimal manual intervention. High-frequency sensor streams are collected into rolling buffers per active process instance; deterministic agents compute enriched variables, discrete supervisory states, and rule-based alarms, while an LLM-driven analytics agent answers free-form operator queries over the same enriched datasets through a conversational interface. The architecture is instantiated and deployed in the Clean-in-Place (CIP) system of an industrial beverage plant and evaluated following a case study design aimed at demonstrating architectural feasibility and diagnostic behavior under realistic operating regimes rather than statistical generalization. Three representative multi-stage CIP executions—purposively selected from 24 runs monitored during a six-month deployment—span nominal baseline, preventive-warning, and diagnostic-alert conditions. The study quantifies stage-specification compliance, state-to-specification consistency, and temporal stability of supervisory states, and performs spot-check audits of numerical consistency between language-based summaries and enriched logs. Results in the evaluated CIP deployment show high time within specification in sanitizing stages (100% compliance across the evaluated runs), coherent and mostly stable supervisory states in variable alkaline conditions (state-specification consistency Γs0.98), and data-grounded conversational diagnostics in real time (median numerical error below 3% in audited samples), without altering the existing CIP control logic. These findings suggest that the architecture can be transferred to other industrial cleaning and batch operations by reconfiguring process-specific rules and ontologies, though empirical validation in other process types remains future work. The contribution lies in demonstrating how to bridge the gap between AI theory and industrial practice through careful system architecture, data transformation pipelines, and integration patterns that enable reliable AI-enhanced decision support in production environments, offering a practical path toward AI-assisted process supervision with explainable conversational interfaces that support preventive maintenance decision-making and equipment health monitoring. Full article
Show Figures

Figure 1

14 pages, 1237 KB  
Proceeding Paper
Fuzzy-Logic-Based Intelligent Control of a Cabinet Solar Dryer for Plantago major Leaves Under Real Climatic Conditions in Tashkent
by Komil Usmanov, Noilakhon Yakubova, Shakhnoza Sultanova and Zafar Turakulov
Eng. Proc. 2025, 117(1), 35; https://doi.org/10.3390/engproc2025117035 - 28 Jan 2026
Viewed by 399
Abstract
Solar drying is an energy-efficient and environmentally friendly method for dehydrating agricultural and medicinal products; however, its performance is strongly affected by fluctuating climatic conditions and nonlinear heat and mass transfer processes. In cabinet-type solar dryers, maintaining the drying air temperature and relative [...] Read more.
Solar drying is an energy-efficient and environmentally friendly method for dehydrating agricultural and medicinal products; however, its performance is strongly affected by fluctuating climatic conditions and nonlinear heat and mass transfer processes. In cabinet-type solar dryers, maintaining the drying air temperature and relative humidity within optimal ranges is particularly critical for medicinal plants such as Plantago major leaves, which are sensitive to overheating and non-uniform drying. In this study, a Mamdani-type fuzzy logic-based intelligent control system is developed and experimentally validated for a cabinet solar dryer operating under real summer climatic conditions in Tashkent, Uzbekistan. The proposed controller regulates fan speed using drying air temperature and relative humidity as inputs. To evaluate its effectiveness, the fuzzy logic controller is benchmarked against a conventionally tuned Proportional–Integral–Derivative (PID) controller under identical operating and climatic conditions. A coupled thermodynamic–hygrometric dynamic model of the drying process is implemented in MATLAB/Simulink (R2024a) to support controller design and analysis. Experimental results demonstrate that the fuzzy logic controller maintains the drying air temperature within the optimal range of 45–50 °C despite significant fluctuations in solar irradiance (650–900 W/m2), whereas the PID-controlled system exhibits noticeable overshoot and oscillations. Compared with PID control, the fuzzy-controlled dryer achieves a smoother reduction in relative humidity, a reduction of approximately 22% in total drying time for the same final moisture content (8–10% wet basis), and an 18% decrease in auxiliary electrical energy consumption. In addition, tray-wise moisture measurements indicate improved drying uniformity under fuzzy control, with moisture variation remaining within ±4%. Overall, the results confirm that fuzzy-logic-based intelligent control provides a robust and energy-efficient solution for cabinet solar dryers operating under hot continental climatic conditions, offering clear advantages over conventional PID control in terms of stability, drying performance, and uniformity. Full article
(This article belongs to the Proceedings of The 4th International Electronic Conference on Processes)
Show Figures

Figure 1

23 pages, 7022 KB  
Article
Robust H Fault-Tolerant Control with Mixed Time-Varying Delays
by Jinxia Wu, Yahui Geng and Juan Wang
Actuators 2026, 15(2), 73; https://doi.org/10.3390/act15020073 - 25 Jan 2026
Viewed by 373
Abstract
This paper investigates the robust fault-tolerant control (FTC) problem for interval type-2 fuzzy systems (IT2FS) with simultaneous time-varying input and state delays. In order to more comprehensively capture system uncertainties, an Interval Type-2 (IT2) fuzzy model is constructed, which, compared to the conventional [...] Read more.
This paper investigates the robust fault-tolerant control (FTC) problem for interval type-2 fuzzy systems (IT2FS) with simultaneous time-varying input and state delays. In order to more comprehensively capture system uncertainties, an Interval Type-2 (IT2) fuzzy model is constructed, which, compared to the conventional Interval Type-1 model, better captures the uncertainty information of the system. A premise-mismatched fault-tolerant controller is designed to ensure system stability in the presence of actuator faults, while providing greater flexibility in the selection of membership functions. In the stability analysis, a novel Lyapunov–Krasovskii functional is formulated, incorporating membership-dependent matrices and delay-product terms, leading to sufficient conditions for closed-loop stability based on linear matrix inequalities (LMIs). A numerical simulation and a practical physical model are used, respectively, to illustrate the effectiveness of the proposed method. Comparative experiments further reveal the impact of input delays and actuator faults on closed-loop performance, verifying the effectiveness and robustness of the designed controller, as well as the superiority of interval type-2 over interval type-1. Full article
(This article belongs to the Section Control Systems)
Show Figures

Figure 1

Back to TopTop