Sign in to use this feature.

Years

Between: -

Subjects

remove_circle_outline
remove_circle_outline
remove_circle_outline
remove_circle_outline
remove_circle_outline
remove_circle_outline
remove_circle_outline
remove_circle_outline
remove_circle_outline

Journals

Article Types

Countries / Regions

remove_circle_outline
remove_circle_outline
remove_circle_outline
remove_circle_outline
remove_circle_outline
remove_circle_outline
remove_circle_outline
remove_circle_outline
remove_circle_outline

Search Results (973)

Search Parameters:
Keywords = Tropical Cyclone

Order results
Result details
Results per page
Select all
Export citation of selected articles as:
24 pages, 3321 KB  
Article
On the Stable Integration of Neural Network Parameterization in Numerical Models
by Yifan Wang, Weizhi Huang, Hao Geng, Yi Ma and Leyi Wang
Atmosphere 2026, 17(3), 306; https://doi.org/10.3390/atmos17030306 - 17 Mar 2026
Viewed by 44
Abstract
Deep learning-based parameterizations of subgrid-scale processes have become a major research focus in recent years, offering the potential to remedy inaccuracies inherent in traditional physics-based schemes. However, their integral stability within numerical models remains insufficiently explored. In this study, we develop deep learning [...] Read more.
Deep learning-based parameterizations of subgrid-scale processes have become a major research focus in recent years, offering the potential to remedy inaccuracies inherent in traditional physics-based schemes. However, their integral stability within numerical models remains insufficiently explored. In this study, we develop deep learning parameterizations for the tropical cyclone boundary layer and implement them in the WRF model. We find that one-dimensional convolutional neural network fails to integrate stably, whereas a fully connected network succeeds. Further analysis shows that the limited receptive field of the convolutional network makes its outputs overly sensitive to certain input perturbations, ultimately causing integral instability. We examine three stabilization strategies—training data augmentation with Gaussian noise, spectral norm regularization, and L2 regularization—and find that all three methods effectively mitigate the network’s output sensitivity to input perturbations, enabling stable integration in WRF and yielding physically reasonable tropical cyclone simulations. Full article
(This article belongs to the Special Issue Atmospheric Modeling with Artificial Intelligence Technologies)
Show Figures

Figure 1

19 pages, 1333 KB  
Review
How Forests May Reduce the Incidence of Destructive Tropical Cyclones, Hurricanes and Typhoons
by Douglas Sheil
Forests 2026, 17(3), 359; https://doi.org/10.3390/f17030359 - 13 Mar 2026
Viewed by 169
Abstract
Tropical cyclones kill thousands and inflict vast destruction annually. While ocean temperatures and atmospheric conditions dominate their formation and behaviour, forests’ potential influence has received little systematic attention. This review examines whether and how forests may affect tropical cyclone frequency, intensity, and behaviour. [...] Read more.
Tropical cyclones kill thousands and inflict vast destruction annually. While ocean temperatures and atmospheric conditions dominate their formation and behaviour, forests’ potential influence has received little systematic attention. This review examines whether and how forests may affect tropical cyclone frequency, intensity, and behaviour. Support varies by mechanism and stage. Post-landfall effects have the strongest support: forests slow storms, moderate wind speeds and curb flooding through enhanced soil infiltration. Forests also influence storm tracks, though magnitudes are uncertain. Pre-landfall effects are less certain. These include processes that modify offshore humidity, temperature, and aerosols. The Biotic Pump theory proposes that forest cover creates pressure gradients drawing moisture inland, reducing its availability for ocean storms. Forest influences are likely to be most evident near thresholds for storm formation or intensification, where small perturbations in conditions can alter outcomes. This context-dependency reconciles divergent findings and aids the integration of forests into climate risk assessments. Forest conservation provides clear post-landfall protection; pre-landfall effects, while uncertain, further strengthen the case for protection and highlight research priorities. Full article
(This article belongs to the Section Forest Meteorology and Climate Change)
Show Figures

Figure 1

26 pages, 2306 KB  
Article
A Reduced-Order Burgers-Type Vortex Model with Shear-Driven Gyroscopic Precession
by Waleed Mouhali
Fluids 2026, 11(3), 73; https://doi.org/10.3390/fluids11030073 - 10 Mar 2026
Viewed by 175
Abstract
Slow lateral wandering and trochoidal-like motion are commonly observed in intense atmospheric vortices, yet most reduced-order vortex models assume a fixed axis or represent centre motion as purely advective. In this work, we propose a minimal reduced-order framework in which slow gyroscopic precession [...] Read more.
Slow lateral wandering and trochoidal-like motion are commonly observed in intense atmospheric vortices, yet most reduced-order vortex models assume a fixed axis or represent centre motion as purely advective. In this work, we propose a minimal reduced-order framework in which slow gyroscopic precession is introduced as an explicit degree of freedom superimposed on a rapidly rotating vortex core. The vortex is represented by a Burgers–Rott-type velocity field with time-dependent stretching rate and circulation, while the vortex centre undergoes a slow precessional motion governed by a time-dependent rate Ωp(t). The evolution of the vortex parameters is coupled to environmental variability through simple relaxation laws driven by standard large-scale diagnostics, including convective available potential energy, vertical shear, and background vorticity. A tracker-only analysis of tropical cyclone best-track data is used to constrain the appropriate dynamical regime at the track scale, indicating that observed centre wandering typically occurs in a slow-precession limit P = Ωp/ωc1. Numerical demonstrations in cyclone-like configurations show that, despite the smallness of the precession number, cumulative lateral displacement and enhanced Lagrangian dispersion can develop over the vortex lifetime. The proposed framework is intended as a proof-of-concept reduced-order model that isolates the role of weak, environmentally forced precession in modulating vortex wandering and transport, and complements more detailed numerical and observational studies. Full article
(This article belongs to the Special Issue Vortex Definition and Identification)
Show Figures

Figure 1

28 pages, 45447 KB  
Article
DGF-Net: A Novel Approach for Tropical Cyclone Path Prediction Using Multimodal Meteorological Data
by Yuxue Wang, Sheng Li and Baoqin Chen
Atmosphere 2026, 17(3), 276; https://doi.org/10.3390/atmos17030276 - 6 Mar 2026
Viewed by 291
Abstract
Tropical cyclones are among the most destructive meteorological systems on Earth. Accurate track forecasting of tropical cyclones remains a core challenge in atmospheric science, and it is of great significance for disaster prevention and mitigation. This study targets the critical limitations of existing [...] Read more.
Tropical cyclones are among the most destructive meteorological systems on Earth. Accurate track forecasting of tropical cyclones remains a core challenge in atmospheric science, and it is of great significance for disaster prevention and mitigation. This study targets the critical limitations of existing tropical cyclone track forecasting models: the insufficient ability to extract non-linear spatiotemporal features from 3D atmospheric circulation fields and the long-standing bottlenecks in multi-source heterogeneous meteorological data fusion. To address these issues, we propose a Dual-Stream Gated Fusion Network (DGF-Net), a high-precision track forecasting method tailored to the Northwest Pacific basin. The proposed framework takes the Best Track dataset and ERA5 Reanalysis Dataset as primary inputs: a Bidirectional Gated Recurrent Unit (Bi-GRU) is adopted to capture the temporal evolution characteristics of 2D tropical cyclone trajectory sequences, and a SpatioTemporal Convolutional Gated Recurrent Unit (STConvGRU) is used to extract complex non-linear features from 3D atmospheric environmental fields. Then, a multimodal fusion module integrating gating and attention mechanism is constructed to achieve deep fusion of cross-dimensional features, which effectively mines the intrinsic physical correlations between tropical cyclone track evolution and environmental driving factors. Comparative experiments based on historical observational datasets of the Northwest Pacific show that DGF-Net achieves superior forecasting performance, with the 6 h, 12 h, and 24 h Great Circle Distance (GCD) errors of 35.62 km, 43.53 km, and 135.49 km, respectively. The results significantly outperform mainstream baseline models, which validates the effectiveness of DGF-Net in feature extraction and multimodal fusion and provides solid technical support for tropical cyclone disaster prevention and operational decision-making. Full article
(This article belongs to the Section Meteorology)
Show Figures

Figure 1

23 pages, 14138 KB  
Article
Tropical Storm Senyar—The First Observed Tropical Cyclone Forming over the Strait of Malacca and Moving Eastwards into the South China Sea
by Yuk Sing Lui, Man Lok Chong, Chun Kit Ho, Wai Ho Tang, Hon Yin Yeung, Wai Po Tse, Kai Kwong Lai and Pak Wai Chan
Atmosphere 2026, 17(3), 275; https://doi.org/10.3390/atmos17030275 - 6 Mar 2026
Viewed by 550
Abstract
This paper presents a re-analysis of the track and the intensity of tropical cyclone Senyar, an unprecedented tropical cyclone that formed over the Strait of Malacca south of 5 degrees North, moving eastwards towards the South China Sea. This cyclone brought about heavy [...] Read more.
This paper presents a re-analysis of the track and the intensity of tropical cyclone Senyar, an unprecedented tropical cyclone that formed over the Strait of Malacca south of 5 degrees North, moving eastwards towards the South China Sea. This cyclone brought about heavy rainfall, severe flooding and landslides to southern Thailand, Malaysia and Indonesia, and this re-analysis helps document such a special and disastrous storm. Some key meteorological observations are presented to support the re-analysis, including weather radar imageries and surface weather observations. Forecasting aspects of Senyar by medium-range models and a sub-seasonal model are also presented. It turns out that both the numerical weather prediction model and the artificial intelligence model manages to resolve the warm core structure of the cyclone, but the sub-seasonal forecast fails to capture the occurrence of this very rare storm even with a forecast time of one week ahead. The formation of Senyar is found to be related to the terrain of Malay Peninsula and Sumatra, as revealed by a number of numerical simulations using a mesoscale meteorological model with different modifications of the terrain. This may be related to the lee low downstream of the terrain of Malay Peninsula under the prevailing northeasterly flow. Full article
(This article belongs to the Section Meteorology)
Show Figures

Figure 1

25 pages, 8563 KB  
Article
Quantifying Vegetation Responses to Rainfall Extremes in Sub-Saharan Africa Using CHIRPS Precipitation and MODIS NDVI
by Megumi Yamashita, Koki Uda and Mitsunori Yoshimura
Remote Sens. 2026, 18(5), 768; https://doi.org/10.3390/rs18050768 - 3 Mar 2026
Viewed by 264
Abstract
Rainfall variability strongly governs vegetation dynamics in the Semi-Arid Tropics (SAT) of Sub-Saharan Africa (SSA). Yet the impacts of heavy rainfall are less well quantified than those of drought. This study proposes a modified heavy rainfall index (mR95pT) to enable robust comparison of [...] Read more.
Rainfall variability strongly governs vegetation dynamics in the Semi-Arid Tropics (SAT) of Sub-Saharan Africa (SSA). Yet the impacts of heavy rainfall are less well quantified than those of drought. This study proposes a modified heavy rainfall index (mR95pT) to enable robust comparison of extreme rainfall signals across seasons and regions. The index mitigates the strong seasonal background signal inherent to constant-threshold approaches and highlights episodic heavy rainfall events more clearly. Using CHIRPS precipitation (1981–2022, to derive long-term climatological means) and MODIS NDVI (2003–2022) aggregated to 0.05° and 16-day intervals, we computed the cumulative precipitation, the original ETCCDI-based index (R95pT), and mR95pT across three subregions (Sahel, Southern Africa, and Eastern Africa) and examined event-scale detectability. mR95pT reduced spurious concentration around climatological wet-season peaks and more clearly captured episodic events (e.g., cyclone-related extremes). The vegetation stress (VS) responses were quantified based on the Vegetation Condition Index (VCI) and a probabilistic framework conditioned on background wetness (SPI-3) and heavy rainfall intensity (mR95pT). Under near-normal wetness (SPI-3 ≈ 0), the baseline VS probability was 18% in Eastern Africa and 13% in the other regions. Conditioning on heavy rainfall increased VS probability (relative to the SPI-3 ≈ 0 baseline) by +0.8 to +38% (Eastern Africa), +0.6 to +24% (Southern Africa), and +11 to +39% (Sahel), with the additional effect diminishing under very wet conditions. Overall, mR95pT and the proposed probabilistic framework provide a scalable pathway to monitor both drought- and heavy-rain-related vegetation risks over data-sparse semi-arid regions. Full article
Show Figures

Figure 1

22 pages, 3677 KB  
Article
Genotypic and Silvicultural Controls on Wind Damage, Failure Mode, and Productivity in a Radiata Pine Trial Following Cyclone Gabrielle
by Michael S. Watt, Kate Halstead, Tommaso Locatelli, Nicolò Camarretta, Sadeepa Jayathunga and Juan C. Suárez
Forests 2026, 17(2), 269; https://doi.org/10.3390/f17020269 - 17 Feb 2026
Viewed by 319
Abstract
Storm damage poses an increasing risk to radiata pine (Pinus radiata D. Don) plantations in New Zealand as extreme wind events intensify under climate change. This study quantified wind damage following ex-tropical Cyclone Gabrielle in a seven-year-old genetics trial comprising 12 genotypes [...] Read more.
Storm damage poses an increasing risk to radiata pine (Pinus radiata D. Don) plantations in New Zealand as extreme wind events intensify under climate change. This study quantified wind damage following ex-tropical Cyclone Gabrielle in a seven-year-old genetics trial comprising 12 genotypes grown under four stand configurations defined by contrasting stocking (833 and 1282 stems/ha) and cultivation (with and without cultivation) treatments. The genotypes comprised a Pinus attenuata × P. radiata var. cedrosensis hybrid, ten anonymised radiata pine clones and an industry-standard radiata pine seedlot. Field assessments and unmanned aerial vehicle UAV laser scanning were used to classify damage into stem breakage and overturning and to derive structural metrics, including tree diameter, height, slenderness, volume, crown width and crown volume. Overall, 16.7% of trees were damaged, with stem breakage (10.2%) occurring more frequently than overturning (6.5%). Averaged across the four treatments, total damage significantly ranged from 10.4% in the high stocking cultivated treatment to 23.5% in the low stocking no cultivation treatment. Variation between the 12 genotypes was highly significant, with breakage, overturning and total damage ranging from 3.3%–25.4%, 1.4%–15.0% and 6.6%–29.5%, respectively, between the 12 genotypes. Two radiata pine clones with high growth rates and low to moderate wind damage had the highest post-storm total stem volume per hectare, which greatly exceeded that of the hybrid or the widely planted radiata pine seedlot. These findings highlight the potential of clones that combine high growth rates and resistance to wind damage to maintain high productivity under a changing climate with a greater frequency of extreme weather events. Full article
(This article belongs to the Section Forest Inventory, Modeling and Remote Sensing)
Show Figures

Figure 1

29 pages, 11146 KB  
Article
Remote Sensed Turbulence Analysis in the Cloud System Associated with Ianos Medicane
by Giuseppe Ciardullo, Leonardo Primavera, Fabrizio Ferrucci, Fabio Lepreti and Vincenzo Carbone
Remote Sens. 2026, 18(4), 602; https://doi.org/10.3390/rs18040602 - 14 Feb 2026
Viewed by 223
Abstract
Cyclonic extreme events have recently undergone an important boost over the Mediterranean Sea, a trend closely linked to ongoing strong climate variations. Several studies are explaining the combination of many different effects that increase the frequency of mesoscale vortices’ intensification, namely Mediterranean tropical-like [...] Read more.
Cyclonic extreme events have recently undergone an important boost over the Mediterranean Sea, a trend closely linked to ongoing strong climate variations. Several studies are explaining the combination of many different effects that increase the frequency of mesoscale vortices’ intensification, namely Mediterranean tropical-like cyclones (TLCs), until the stage of Medicanes. Among these effects, processes like sea–atmosphere energy exchanges, baroclinic instability, and the release of latent heat lead to the intensification of these systems into fully tropical-like structures. This study investigates the formation and development of Ianos, the most intense Mediterranean tropical-like cyclone recorded in recent years, which affected the Ionian Sea and surrounding regions in September 2020. Using satellite observations and remote sensing data, the study applies a dual approach to characterise the system evolution across the spatial and temporal scales. Firstly, proper orthogonal decomposition (POD) is exploited to assess temperature and pressure fluctuations derived from the geostationary database of Meteosat Second Generation (MSG-11)/SEVIRI. POD allows for the identification of dominant modes of variability and the quantification of energy distribution across different spatial structures during the cyclone’s lifecycle. The decomposition reveals that a small number of orthogonal modes capture a significant proportion of the total variance, highlighting the emergence and persistence of coherent structures associated with the cyclone’s core and peripheral convection. To support scale-dependent energy organisation and dissipation within Ianos, total-period and three-period analyses were carried out, in addition to early-stage intensification patterns and implications for meteorological scale assessments. From the study on the temperatures’ spatio-temporal evolution, a comparison in the POD spectra and of the structures during the peak of intensity was carried out between the Ianos TLC and the Faraji and Freddy tropical cyclones. Additional multi-sensor data from Suomi NPP and Sentinel-3 satellites were integrated to analyse the evolution of the same parameters, also taking into account an evaluation of the vertical temperature gradient, over a 4-day period encompassing the full life cycle of Ianos. The study of the daily evolution helps investigate the spatial trends around the warm core regions, identifying the pressure minima for a comparison with the BOLAM and ERA5 databases of the mean sea level pressure. Overall, this study demonstrates the value of combining dynamic decomposition methods with high-resolution satellite datasets to gain insight into the multiscale structure and convective energetics of Mediterranean tropical-like cyclones. Some significant patterns come out from the spatial organisation of deep convection that seem to be linked to the permanent structures of atmospheric fluctuations near the warm core centre. Full article
Show Figures

Figure 1

18 pages, 5804 KB  
Article
Avoidable Economic Losses from Influential Tropical Cyclones in a Warming China
by Shanshan Wen, Chenyu Wang, Litong Zhao and Jianqing Zhai
Sustainability 2026, 18(4), 1845; https://doi.org/10.3390/su18041845 - 11 Feb 2026
Viewed by 450
Abstract
Tropical cyclones (TCs) are a major driver of weather-related economic disruption in China, yet the magnitude of losses that could be avoided under strong climate mitigation remains poorly quantified. This study estimates how direct economic losses from influential tropical cyclones (ITCs) change at [...] Read more.
Tropical cyclones (TCs) are a major driver of weather-related economic disruption in China, yet the magnitude of losses that could be avoided under strong climate mitigation remains poorly quantified. This study estimates how direct economic losses from influential tropical cyclones (ITCs) change at global warming levels of 1.5 °C, 2 °C, 3 °C and 4 °C. CMIP6 multi-model simulations are combined with gridded population and GDP projections and time-varying vulnerability to assess ITC-related losses during 2021–2100 relative to the 1995–2014 reference period. Results show modest changes in national-scale ITC frequency, but more intense ITC-associated precipitation and progressively higher losses with warming. Mean annual losses increase from 231.17 billion CNY at 1.5 °C to 317.72 billion CNY at 2 °C, 375.94 billion CNY at 3 °C, and 448.79 billion CNY at 4 °C (constant 2020 prices). Relative to 4 °C warming, limiting warming to 2 °C reduces mean annual losses by 131.07 billion CNY, and further limiting warming to 1.5 °C reduces losses by an additional 86.55 billion CNY. These findings quantify the avoidable component of future losses under lower warming outcomes and provide evidence that supports climate-resilient and economically sustainable development through combined mitigation and adaptation. Full article
(This article belongs to the Section Air, Climate Change and Sustainability)
Show Figures

Figure 1

18 pages, 50747 KB  
Article
Pulse of the Storm: 2024 Hurricane Helene’s Impact on Riverine Nutrient Fluxes Across the Oconee River Watershed in Georgia
by Arka Bhattacharjee, Grace Stamm, Blaire Myrick, Gayatri Basapuram, Avishek Dutta and Srimanti Duttagupta
Environments 2026, 13(2), 76; https://doi.org/10.3390/environments13020076 - 1 Feb 2026
Viewed by 1051
Abstract
Tropical cyclones can rapidly alter watershed chemistry by shifting hydrologic pathways and mobilizing stored nutrients, yet these disturbances often remain undetected when storms cause little visible flooding or geomorphic damage. During Hurricane Helene 2024, intense rainfall across the Oconee River watershed in Georgia [...] Read more.
Tropical cyclones can rapidly alter watershed chemistry by shifting hydrologic pathways and mobilizing stored nutrients, yet these disturbances often remain undetected when storms cause little visible flooding or geomorphic damage. During Hurricane Helene 2024, intense rainfall across the Oconee River watershed in Georgia generated sharp increases in discharge that triggered substantial nutrient export despite minimal physical alteration to the landscape. High-frequency measurements of nitrate, phosphate, and sulfate in urban, forested, and recreational settings revealed pronounced and synchronous post-storm increases in all three solutes. Nitrate showed the strongest and most persistent response, with mean concentrations increasing from approximately 1–3 mg/L during pre-storm conditions to 6–14 mg/L post-storm across sites, and remaining elevated for several months after hydrologic conditions returned to baseline. Phosphate concentrations increased sharply during the post-storm period, rising from pre-storm means of ≤0.3 mg/L to a post-storm average of 1.5 mg/L, but declined more rapidly during recovery, consistent with sediment-associated mobilization and subsequent attenuation. Sulfate concentrations also increased substantially across the watershed, with post-storm mean values commonly exceeding 20 mg/L and maximum concentrations reaching 41 mg/L, indicating sustained dissolved-phase release and enhanced temporal variability. Recovery trajectories differed by solute: phosphate returned to baseline within weeks, nitrate declined gradually, and sulfate remained elevated throughout the winter. These findings demonstrate that substantial chemical perturbations can occur even in the absence of visible storm impacts, underscoring the importance of event-based, high-resolution monitoring to detect transient but consequential shifts in watershed biogeochemistry. They also highlight the need to better resolve solute-specific pathways that govern nutrient mobilization during extreme rainfall in mixed-use watersheds with legacy nutrient stores and engineered drainage networks. Full article
Show Figures

Figure 1

30 pages, 15947 KB  
Article
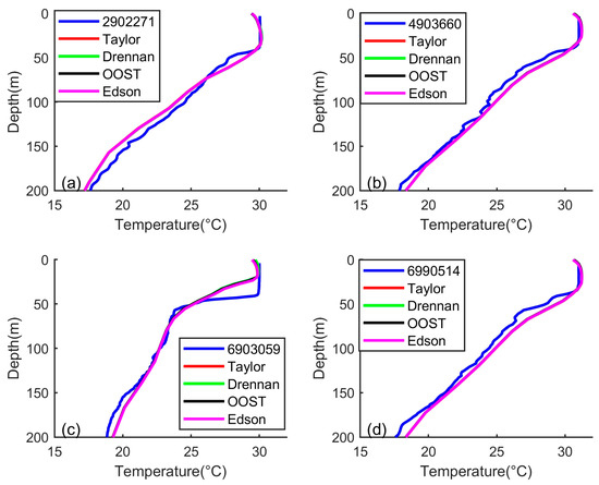
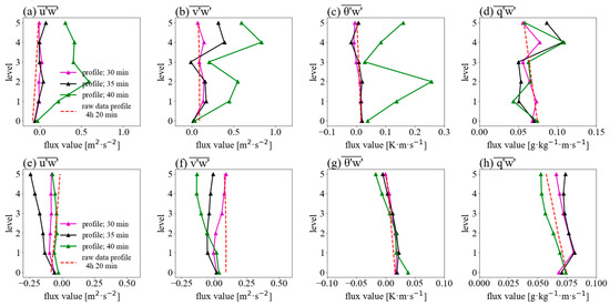
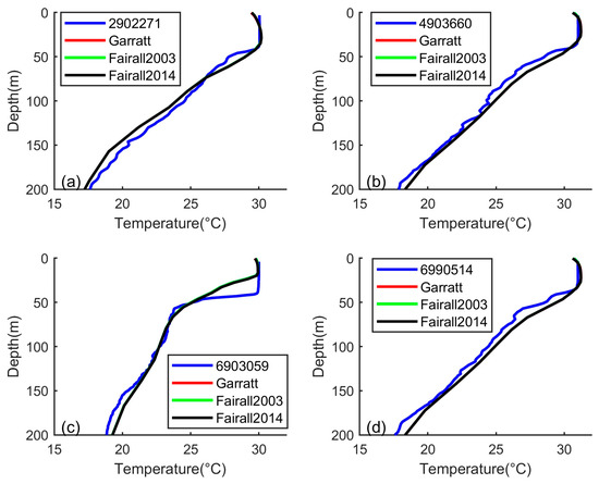
Modeling Air–Sea Turbulent Fluxes: Sensitivity to Surface Roughness Parameterizations
by Xixian Yang, Jie Chen, Jian Shi, Wenjing Zhang, Zhiyuan Wu, Hanshi Wang and Zhicheng Zhang
J. Mar. Sci. Eng. 2026, 14(3), 277; https://doi.org/10.3390/jmse14030277 - 29 Jan 2026
Viewed by 404
Abstract
During tropical cyclones (TCs), intense exchanges of momentum, heat, and moisture occur across the air–sea interface. The present study was conducted to investigate the role of surface roughness parameterizations under such conditions. To this end, a series of sensitivity experiments was conducted with [...] Read more.
During tropical cyclones (TCs), intense exchanges of momentum, heat, and moisture occur across the air–sea interface. The present study was conducted to investigate the role of surface roughness parameterizations under such conditions. To this end, a series of sensitivity experiments was conducted with a focus on Tropical Cyclone Biparjoy, which originated from the Indian Ocean in 2023. The experiments evaluate the impact of different schemes for momentum, thermal, and moisture roughness length on TC track, intensity, significant wave height, and air–sea heat fluxes. The results indicate that the momentum roughness length scheme is critical for accurately forecasting TC track and intensity and for simulating significant wave height; furthermore, Drennan’s parameterization yielded slightly better results in this case, with the smallest track error (72.0 km MAE) among the momentum schemes. Under the premise that Drennan’s parameterization scheme has high accuracy in momentum roughness, sensitivity experiments on thermal and moisture roughness parameterization were conducted. The Drennan–Fairall2014 combination achieved the lowest errors in TC central pressure (4.25 hPa RMSE) and the maximum sustained wind speed (5.31 m/s RMSE). Thermal and moisture roughness mainly affects the efficiency of turbulent heat transfer between the ocean and the atmosphere and thus has a limited impact on the cooling of sea surface temperature, with SST RMSE differences among schemes within 0.3 °C. This effect is mainly confined to the uppermost ocean layer and does not significantly change the thermal structure of the upper layers. Full article
(This article belongs to the Topic Advances in Environmental Hydraulics, 2nd Edition)
Show Figures

Figure 1

19 pages, 1692 KB  
Systematic Review
Climate Variability in the South Pacific: A Systematic Review of Key Drivers and Processes
by Md Wahiduzzaman and Alea Yeasmin
Atmosphere 2026, 17(2), 147; https://doi.org/10.3390/atmos17020147 - 29 Jan 2026
Viewed by 399
Abstract
This systematic review synthesizes current scientific knowledge on the drivers of climate variability and change across the South Pacific, with a particular focus on mechanisms influencing tropical cyclone behavior and regional hydroclimatic extremes. The review begins by contextualizing the unique vulnerabilities of Pacific [...] Read more.
This systematic review synthesizes current scientific knowledge on the drivers of climate variability and change across the South Pacific, with a particular focus on mechanisms influencing tropical cyclone behavior and regional hydroclimatic extremes. The review begins by contextualizing the unique vulnerabilities of Pacific Island nations, which arise from geographic isolation, socio-economic constraints, and extensive coastal exposures. It examines the foundational role of the South Pacific Convergence Zone in organizing regional convection and precipitation and explores the multi-scale climate oscillations that modulate environmental conditions across interannual, decadal, and intraseasonal timescales. The compounding effects of anthropogenic climate change—including rising temperatures, sea-level increase, shifting rainfall regimes, and changing storm characteristics—are critically assessed. Special attention is given to the complex interplay between natural variability and human-induced trends in altering tropical cyclone genesis, tracks, and intensity. The review identifies persistent knowledge gaps, such as data inhomogeneity, limited long-term records, and uncertainties in downscaled projections, and concludes with prioritized research directions aimed at enhancing predictive capacity and supporting climate-resilient adaptation across this highly vulnerable region. Full article
(This article belongs to the Special Issue Climate Variability and El Nino-Southern Oscillation)
Show Figures

Figure 1

19 pages, 4215 KB  
Article
Influence of the Madden–Julian Oscillation on Tropical Cyclones Activity over the Arabian Sea
by Ali B. Almahri, Hosny M. Hasanean and Abdulhaleem H. Labban
Atmosphere 2026, 17(2), 143; https://doi.org/10.3390/atmos17020143 - 28 Jan 2026
Viewed by 465
Abstract
The frequency and intensity of tropical cyclones (TCs) in the Arabian Sea have increased in recent decades, heightening concerns regarding regional vulnerability and forecasting difficulties. This study examines the impact of the Madden–Julian Oscillation (MJO) on TCs activity—formation, frequency, and severity—over the Arabian [...] Read more.
The frequency and intensity of tropical cyclones (TCs) in the Arabian Sea have increased in recent decades, heightening concerns regarding regional vulnerability and forecasting difficulties. This study examines the impact of the Madden–Julian Oscillation (MJO) on TCs activity—formation, frequency, and severity—over the Arabian Sea from 1982 to 2021. This study analyzes variations in convection, vertical wind shear (VWS), sea level pressure (SLP), and relative humidity (RH) across different MJO phases utilizing the best-track data from the India Meteorological Department (IMD), the Real-Time Multivariate MJO (RMM) index, and reanalysis datasets from the National Oceanic and Atmospheric Administration (NOAA) and the National Centers for Environmental Prediction–National Center for Atmospheric Research (NCEP–NCAR). Results show that more than 80% of TCs form during the convectively active phases of the MJO (P1–P4). These phases have the most noticeable negative outgoing longwave radiation (OLR) anomalies, as well as higher mid-level moisture and low-pressure anomalies, which are good for cyclogenesis. On the other hand, suppressed phases (P6–P8) have positive outgoing longwave radiation, dry air in the middle troposphere, and high-pressure anomalies, which make it harder for TCs to form. While VWS is predominantly favorable during both active and inactive phases, thermodynamic and convective factors principally regulate the modulation of TC activity. The simultaneous presence of active MJO phases with positive Indian Ocean Dipole (pIOD) and neutral or El Niño conditions markedly increases TC frequency, highlighting a combined influence link between interannual–El Niño–Southern Oscillation (ENSO) and IOD– and intraseasonal (MJO) variability. Additionally, the association between MJO and the Indo-Pacific Warm Pool (IPWP) reveals that TC activity peaks during convectively active MJO phases under the second twenty years of this study, emphasizing the influence of large-scale oceanic warming on TC variability. These findings underscore the critical function of the MJO in regulating TC activity variability in the Arabian Sea and stress its significance for enhancing intraseasonal forecasting and disaster preparedness in the area. Full article
(This article belongs to the Section Climatology)
Show Figures

Figure 1

20 pages, 12209 KB  
Article
Designing for the Past in a Nonstationary Climate: Evidence from Cyclone Ditwah’s Extreme Rainfall in Sri Lanka
by Chamal Perera, Nadee Peiris, Luminda Gunawardhana, Lalith Rajapakse, Nimal Wijayaratna, Binal Chatura Dissanayake and Kasun De Silva
Hydrology 2026, 13(2), 47; https://doi.org/10.3390/hydrology13020047 - 28 Jan 2026
Viewed by 1693
Abstract
The November 2025 extreme rainfall event associated with Tropical Cyclone Ditwah caused catastrophic flooding and landslides across Sri Lanka. This study presents a national-scale statistical and Intensity–Duration–Frequency (IDF)-based assessment of the event using long-term rain gauge observations, extreme value analysis, and climate scenario-based [...] Read more.
The November 2025 extreme rainfall event associated with Tropical Cyclone Ditwah caused catastrophic flooding and landslides across Sri Lanka. This study presents a national-scale statistical and Intensity–Duration–Frequency (IDF)-based assessment of the event using long-term rain gauge observations, extreme value analysis, and climate scenario-based projections. The 24-h rainfall data from 46 stations were analyzed for 1-, 2-, and 3-day durations. Historical annual maximum series were extracted and compared with the 2025 event to identify record-breaking extremes. Rainfall volumes were also estimated and compared with the island’s Average Annual Rainfall (AAR) and volumes from major flood events in 2010 and 2016. The November 2025 event exceeded historical maxima at 14 stations, with estimated return periods frequently surpassing 1000 years. The cumulative rainfall volume from 26–28 November accounted for 15.8% of Sri Lanka’s AAR. Updated IDF curves incorporating the event showed marked upward shifts, with intensities at some locations matching or exceeding projections under high-emission climate scenarios. The results highlight the inadequacy of existing design standards in capturing emerging extremes and the need for urgent updates to Sri Lanka’s national IDF relationships to support climate-resilient flood risk management and infrastructure planning. Full article
(This article belongs to the Section Statistical Hydrology)
Show Figures

Figure 1

18 pages, 2986 KB  
Article
Comparing Statistical and Machine-Learning Models for Seasonal Prediction of Atlantic Hurricane Activity
by Xiaoran Chen and Lian Xie
Atmosphere 2026, 17(2), 129; https://doi.org/10.3390/atmos17020129 - 26 Jan 2026
Cited by 1 | Viewed by 424
Abstract
Tropical cyclones pose major risks to life and property, especially as coastal populations grow and climate change increases the likelihood of intense storms, making seasonal prediction of tropical cyclones an important scientific and societal goal. This study uses HURDAT best-track records from 1950 [...] Read more.
Tropical cyclones pose major risks to life and property, especially as coastal populations grow and climate change increases the likelihood of intense storms, making seasonal prediction of tropical cyclones an important scientific and societal goal. This study uses HURDAT best-track records from 1950 to 2024 to quantify annual tropical cyclone, hurricane, and major hurricane counts across the Atlantic basin, Caribbean Sea, and Gulf of Mexico. These nine targets are paired with 34 monthly climate predictors from NOAA and NASA GISS—including SST and ENSO indices, Main Development Region (MDR) wind and pressure fields, and latent heat flux empirical orthogonal functions—evaluated under nine predictor-set configurations. Four forecasting approaches were developed and tested under operationally realistic conditions—Lasso regression, K-nearest neighbors (KNN), an artificial neural network (ANN), XGBoost—using a 30-year sliding-window cross-validation design and a Poisson log-likelihood skill score relative to climatology. Lasso performs reliably with concise, physically interpretable predictors, while XGBoost provides the most consistent overall skill, particularly for basin-wide total cyclone and hurricane counts. The skill of ANN is limited by small sample sizes, and KNN offers only marginal improvements. Forecast skill is the highest for basin-wide storm totals and decreases for regional major-hurricane targets due to lower event frequencies and stronger predictability limits. Full article
(This article belongs to the Special Issue Machine Learning for Atmospheric and Remote Sensing Research)
Show Figures

Figure 1

Back to TopTop