Sign in to use this feature.

Years

Between: -

Subjects

remove_circle_outline
remove_circle_outline
remove_circle_outline
remove_circle_outline
remove_circle_outline
remove_circle_outline
remove_circle_outline
remove_circle_outline
remove_circle_outline

Journals

remove_circle_outline
remove_circle_outline

Article Types

Countries / Regions

Search Results (209)

Search Parameters:
Keywords = ToF–SIMS

Order results
Result details
Results per page
Select all
Export citation of selected articles as:
15 pages, 1035 KB  
Article
A Study on the Differential Effects of Serpentine from Different Origins on Chalcopyrite Flotation Behavior
by Hui Yang, Mengyao Zhou, Zhen Wang and Yongxing Zheng
Minerals 2026, 16(1), 22; https://doi.org/10.3390/min16010022 - 24 Dec 2025
Viewed by 93
Abstract
To elucidate the refractory depression of serpentine in a Jinchuan copper-nickel ore (Located in Gansu Province), this study compared the effects of serpentine from Gansu and Liaoning on chalcopyrite flotation via single/mixed mineral flotation, zeta potential, micro-polarity detection, XPS, ToF-SIMS, and EPMA. Single [...] Read more.
To elucidate the refractory depression of serpentine in a Jinchuan copper-nickel ore (Located in Gansu Province), this study compared the effects of serpentine from Gansu and Liaoning on chalcopyrite flotation via single/mixed mineral flotation, zeta potential, micro-polarity detection, XPS, ToF-SIMS, and EPMA. Single mineral flotation showed chalcopyrite recovery reached ~90% at pH < 8 with 60 mg/L DDTC, while Gansu serpentine had slightly higher recovery than Liaoning serpentine. In mixed mineral flotation, chalcopyrite recovery dropped to ~70% (pH = 8), and Gansu serpentine recovery rose to ~45% (vs. ~35% for Liaoning). When 40 mg/L CMC inhibitor was added, chalcopyrite recovery restored to ~80%, and both serpentines’ recovery fell below 20%—but serpentine (Gansu) still had marginally higher recovery. The zeta potential and micro-polarity experiments collectively indicate that the collector exhibits selective adsorption on the surface of chalcopyrite; compared between the two serpentine samples, the collector adsorption is stronger on the surface of Gansu serpentine. In contrast, the depressant shows selective adsorption on the surface of serpentine, but when comparing the two serpentine samples, the depressant adsorption is stronger on the surface of exotic serpentine. This finding to a certain extent explains the reason why Gansu serpentine is difficult to depress. EPMA showed Gansu serpentine had lower MgO (38.668% vs. 41.012% for Liaoning), and XPS exhibited smaller Mg 1s shifts (1.93 eV vs. 4.46 eV) with CMC. This study explains Gansu serpentine’s poor depressibility, providing critical support for optimizing Cu-Ni ore flotation reagents and processes, gradually bridging to industrial application. This work provides a universal framework for global low-grade copper-nickel ores with silicate gangues. Full article
(This article belongs to the Special Issue Interfacial Chemistry of Critical Mineral Flotation)
Show Figures

Figure 1

24 pages, 4034 KB  
Article
Attachment of L. ferrooxidans to Pyrite Mineral Surfaces
by Sian M. La Vars, Benjamin Watts, Jamie S. Quinton and Sarah L. Harmer
Microorganisms 2026, 14(1), 40; https://doi.org/10.3390/microorganisms14010040 - 23 Dec 2025
Viewed by 102
Abstract
L. ferrooxidans and their metabolic products have been explored as viable flotation reagents of pyrite and chalcopyrite for froth flotation. Scanning electron microscopy (SEM), near edge X-ray absorption fine structure (NEXAFS) spectroscopy, time-of-flight secondary ion mass spectrometry (ToF-SIMS) and captive bubble contact angle [...] Read more.
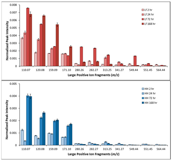
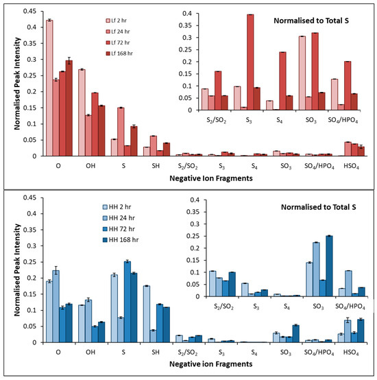
L. ferrooxidans and their metabolic products have been explored as viable flotation reagents of pyrite and chalcopyrite for froth flotation. Scanning electron microscopy (SEM), near edge X-ray absorption fine structure (NEXAFS) spectroscopy, time-of-flight secondary ion mass spectrometry (ToF-SIMS) and captive bubble contact angle measurements have been used to examine the surface physicochemical properties of pyrite upon exposure to L. ferrooxidans grown in HH medium at pH 1.8. C K-edge NEXAFS spectra, collected using scanning transmission X-ray microscopy (STXM), indicate hydrophilic lipids, fatty acids, and biopolymers are formed at the mineral–bacterium interface within hours of exposure. The Fe L-edge NEXAFS show oxidation of the mineral surface from Fe (II) sulfide to Fe (III) oxyhydroxides. The leaching of the iron species at the pyrite surface is accelerated in the presence of L. ferrooxidans and extracellular polymeric substances (EPS) as compared to HH medium controls, as shown by ToF-SIMS. The surface chemical changes induced by the interaction with L. ferrooxidans show a significant decrease in surface hydrophobicity within the first 2 h of exposure. The implications of these findings are the potential use of EPS, produced during early attachment of L. ferrooxidans, as a depressant for bioflotation or to enhance bioleaching. Full article
Show Figures

Figure 1

17 pages, 4244 KB  
Article
ToF-SIMS Reveals Metformin-Driven Restoration of Hepatic Lipid and Amino Acid Profiles in a Type 2 Diabetes Rat Model
by Magdalena E. Skalska, Michalina Kaźmierczak, Marcela Capcarova, Anna Kalafova, Klaudia Jaszcza and Dorota Wojtysiak
Int. J. Mol. Sci. 2026, 27(1), 105; https://doi.org/10.3390/ijms27010105 - 22 Dec 2025
Viewed by 94
Abstract
Diabetes mellitus profoundly disturbs hepatic metabolism by impairing lipid and amino acid homeostasis, yet spatially resolved molecular evidence of these alterations remains limited. This study employed Time-of-Flight Secondary Ion Mass Spectrometry (ToF-SIMS) to visualise and quantify metabolic remodelling in rat liver under diabetic [...] Read more.
Diabetes mellitus profoundly disturbs hepatic metabolism by impairing lipid and amino acid homeostasis, yet spatially resolved molecular evidence of these alterations remains limited. This study employed Time-of-Flight Secondary Ion Mass Spectrometry (ToF-SIMS) to visualise and quantify metabolic remodelling in rat liver under diabetic conditions and following metformin treatment. Liver cryosections from lean controls (LEAN), diabetic rats (P1), and metformin-treated diabetic rats (P2) were analysed in the negative ion mode, and all spectra were normalised to total ion counts. One-way ANOVA with false discovery rate (FDR) correction identified 43 lipid-related and 20 amino acid-related ions with significant group differences. Diabetic livers exhibited a marked depletion of phospholipid- and fatty acid-related ions (e.g., m/z 241.04, 281.25, 536.38) accompanied by increased ceramide fragments (m/z 805–806), indicating lipotoxic remodelling and mitochondrial stress. Simultaneously, aromatic and neutral amino acids such as phenylalanine, tyrosine, and glutamine were reduced, while small acidic fragments were elevated, consistent with enhanced proteolysis and gluconeogenic flux. Metformin administration partially restored both lipid and amino acid profiles toward the control phenotype. Hierarchical clustering and spatial ion maps revealed distinct group separation and partial normalisation of hepatic molecular patterns. These results demonstrate that ToF-SIMS provides label-free, spatially resolved insights into diabetes-induced metabolic disturbances and metformin-driven hepatoprotection. Full article
(This article belongs to the Section Molecular Endocrinology and Metabolism)
Show Figures

Graphical abstract

25 pages, 1393 KB  
Article
Plasma Membrane Lipid Composition and Turnover in Human Midbrain Neurons Investigated by Time-of-Flight Mass Spectrometry
by Emmanuel Berlin, Alicia A. Lork, Carl Ernst, John S. Fletcher and Nhu T. N. Phan
Biomolecules 2025, 15(12), 1650; https://doi.org/10.3390/biom15121650 - 24 Nov 2025
Viewed by 590
Abstract
The molecular structure and dynamics of the neuronal plasma membrane are essential for neuronal biology and function. We employed time-of-flight secondary ion mass spectrometry (ToF-SIMS) imaging to investigate the lipid composition and turnover at the plasma membrane of single human midbrain neurons. The [...] Read more.
The molecular structure and dynamics of the neuronal plasma membrane are essential for neuronal biology and function. We employed time-of-flight secondary ion mass spectrometry (ToF-SIMS) imaging to investigate the lipid composition and turnover at the plasma membrane of single human midbrain neurons. The results showed that the profile of lipid turnover was heavily influenced by the types of precursors incorporated into the membrane lipids. In addition, there was a high prevalence of phosphatidylcholines, phosphatidylserines, and ceramides in the human midbrain neurons, and a preference for incorporating stearic acid into membrane lipids compared to other precursors. These features indicate a direct link between the membrane lipids to the biological state and functions of midbrain neurons. This is among a very few studies using mass spectrometry imaging to provide an insight into the native membrane lipid organization and lipid turnover using various lipid precursors in human neurons at a single cell level, illustrating their biological relevance in neuronal functions. Full article
(This article belongs to the Special Issue Mass Spectrometry Imaging in Neuroscience)
Show Figures

Graphical abstract

13 pages, 4966 KB  
Article
ToF-SIMS Imaging for the Analysis of Cholesterol Formation at Macrophage Membrane
by Mengjiao Sun, Hongzhe Ma, Mingru Liu, Mengchan Xia, Yanhua Chen, Zhaoying Wang and Zhanping Li
Metabolites 2025, 15(11), 722; https://doi.org/10.3390/metabo15110722 - 5 Nov 2025
Viewed by 397
Abstract
Background/Objectives: Atherosclerosis has its development intricately linked to cholesterol accumulation in the artery wall. Macrophages play a crucial role in early-stage cholesterol aggregation during atherosclerosis. Thus, exploring cholesterol formation in macrophages is of great significance for elucidating the development of atherosclerosis. Methods [...] Read more.
Background/Objectives: Atherosclerosis has its development intricately linked to cholesterol accumulation in the artery wall. Macrophages play a crucial role in early-stage cholesterol aggregation during atherosclerosis. Thus, exploring cholesterol formation in macrophages is of great significance for elucidating the development of atherosclerosis. Methods: Time-of-flight secondary ion mass spectrometry (ToF-SIMS) is a powerful technique capable of offering high-spatial-resolution 2D and 3D chemical images, making it an ideal method for studying cholesterol distribution at the single-cell level. In this study, we utilized ToF-SIMS to image the cholesterol distribution in macrophages. By incubating macrophages with acetylated low-density lipoprotein (acLDL), we observed the accumulation of cholesterol on the macrophage membrane. Results and Conclusions: The results revealed that acLDL promotes cholesterol formation in macrophages, further clarifying the functions and roles of acLDL and cholesterol in the development of atherosclerosis. This research provides valuable insights into the underlying mechanisms of atherosclerosis and may be helpful to the development of novel preventive and therapeutic strategies. Full article
Show Figures

Graphical abstract

12 pages, 1738 KB  
Article
Development of a Low-Particle Emission Linear Atmospheric Plasma Device for Hydrophilization of Silicon Wafers
by Sho Yoshida, Koki Hihara, Junnosuke Furuya, Taiki Osawa, Akane Yaida, Nobuhiko Nishiyama and Akitoshi Okino
Appl. Sci. 2025, 15(19), 10349; https://doi.org/10.3390/app151910349 - 24 Sep 2025
Viewed by 668
Abstract
We developed a low-particle emission linear atmospheric plasma device for hydrophilizing silicon wafers, aiming to improve semiconductor manufacturing processes. The device generates a stable plasma curtain using argon or helium gas under specific frequency and power conditions, enabling large-area surface treatment without causing [...] Read more.
We developed a low-particle emission linear atmospheric plasma device for hydrophilizing silicon wafers, aiming to improve semiconductor manufacturing processes. The device generates a stable plasma curtain using argon or helium gas under specific frequency and power conditions, enabling large-area surface treatment without causing damage. Experimental results demonstrated uniform hydrophilization, characterized by a substantial reduction in water contact angle and minimal particle emission, outperforming conventional jet-type plasma systems. TOF-SIMS analysis confirmed the absence of metal contamination, validating the device’s cleanliness. This technology offers a promising alternative to wet chemical treatments, contributing to environmentally friendly and efficient wafer bonding processes. Full article
Show Figures

Figure 1

23 pages, 2763 KB  
Article
The Effect of Caffeic Acid on Zn Corrosion in NaCl: Electrochemical Studies
by Aleksander Kucharek, Elżbieta Kuśmierek, Ewa Chrześcijańska, Waldemar Maniukiewicz, Jacek Rogowski, Aleksandra Bednarek and Andrzej Żarczyński
Molecules 2025, 30(17), 3648; https://doi.org/10.3390/molecules30173648 - 8 Sep 2025
Viewed by 1114
Abstract
Caffeic acid (CA) can be applied as a green corrosion inhibitor for metals and alloys. The inhibition properties of caffeic acid for Zn in 0.1 M NaCl were investigated using electrochemical methods. The changes in Zn morphology were studied via scanning electron microscopy [...] Read more.
Caffeic acid (CA) can be applied as a green corrosion inhibitor for metals and alloys. The inhibition properties of caffeic acid for Zn in 0.1 M NaCl were investigated using electrochemical methods. The changes in Zn morphology were studied via scanning electron microscopy coupled with energy dispersive spectroscopy (SEM-EDS), X-ray diffraction (XRD) and time-of-flight secondary ion mass spectrometry (TOF-SIMS) techniques. Potentiodynamic polarisation (PDP) and electrochemical impedance spectroscopy (EIS) measurements proved that caffeic acid applied in the form of coatings on Zn surface was more effective than the addition of CA to NaCl. Furthermore, CA coatings revealed better corrosion protection with increasing duration of immersion. The highest inhibition efficiency was achieved for CA coating obtained from ethanol solution of CA (10 mM), and its value was almost 95%. The positive impact of CA coatings on the corrosion of Zn surface was confirmed with SEM-EDS, XRD and TOF-SIMS measurements. They proved not only the presence of CA on the Zn surface but also noticeably a lower amount of Zn corrosion products. Full article
Show Figures

Figure 1

27 pages, 6990 KB  
Review
Multiscale Insights into Inorganic Filler Regulation, Ion Transport Mechanisms, and Characterization Advances in Composite Solid-State Electrolytes
by Xinhao Xu, Dingyuan Lu, Sipeng Huang, Fuming Wang, Yulin Min and Qunjie Xu
Processes 2025, 13(9), 2795; https://doi.org/10.3390/pr13092795 - 1 Sep 2025
Cited by 1 | Viewed by 1066
Abstract
All-solid-state lithium batteries (ASSLBs) are emerging as a promising alternative to conventional lithium-ion batteries, offering solutions to challenges related to energy density and safety. Their core advancement relies on breakthroughs in solid-state electrolytes (SEs). SEs can be broadly grouped into two main types: [...] Read more.
All-solid-state lithium batteries (ASSLBs) are emerging as a promising alternative to conventional lithium-ion batteries, offering solutions to challenges related to energy density and safety. Their core advancement relies on breakthroughs in solid-state electrolytes (SEs). SEs can be broadly grouped into two main types: inorganic solid electrolytes (ISEs) and organic solid electrolytes (OSEs). ISEs offer high ionic conductivity (0.1~1 mS cm−1), a lithium-ion transference number close to 1, and excellent thermal stability, but their intrinsic brittleness leads to poor interfacial wettability and processing difficulties, limiting practical applications. In contrast, OSEs exhibit good flexibility and interfacial compatibility but suffer from poor ionic conductivity (10−4~10−2 mS cm−1) due to high crystallinity at room temperature, in addition to poor thermal stability and weak mechanical integrity, making it difficult to match high-voltage cathodes and suppress lithium dendrite growth. Against this backdrop, the stability of the organic–inorganic interface plays a crucial role. However, challenges such as low overall conductivity and unstable interfaces still limit their performance. This review provides a microscopic perspective on lithium-ion transport pathways across the polymer phase, the inorganic filler phase, and their interfacial regions. It categorizes inert fillers and active fillers, analyzing their structure–performance relationships and emphasizing the synergistic effects of filler dimensionality, surface chemistry, and interfacial interactions. In addition, cutting-edge analytical methods such as time-of-flight secondary ion mass spectrometry (TOF-SIMS) and high-angle annular dark-field scanning transmission electron microscopy (HAADF-STEM) have also been employed and are summarized into their roles for revealing the microstructures and dynamic interfacial behaviors of OICSEs. Finally, future directions are proposed, such as hierarchical pore structure design, surface functionalization, and simulation-guided optimization, aiming to provide theoretical insights and technological strategies for the development of high-performance composite electrolytes for ASSLBs. Full article
(This article belongs to the Section Chemical Processes and Systems)
Show Figures

Figure 1

14 pages, 10179 KB  
Article
Depth Correction of TOF-SIMS Depth Profiling Images Using the Total Ion Count Images
by Melanie A. Brunet, Brittney L. Gorman and Mary L. Kraft
Biomolecules 2025, 15(9), 1237; https://doi.org/10.3390/biom15091237 - 27 Aug 2025
Viewed by 1508
Abstract
Depth profiling time of flight secondary ion mass spectrometry (TOF-SIMS) enables imaging the distributions of unlabeled metabolites within cells. When depth profiling TOF-SIMS is performed on intact cells, the 3D renderings produced by stacking and rending the individual depth profiling images are distorted [...] Read more.
Depth profiling time of flight secondary ion mass spectrometry (TOF-SIMS) enables imaging the distributions of unlabeled metabolites within cells. When depth profiling TOF-SIMS is performed on intact cells, the 3D renderings produced by stacking and rending the individual depth profiling images are distorted along the z-axis, which complicates image interpretation. Here we describe an approach for correcting the z-axis distortion in 3D TOF-SIMS depth profiling images of cells. This approach uses the total ion images collected during TOF-SIMS depth profiling to create a 3D morphology model of the cell’s surface at the time when each depth profiling image was acquired. These morphology models are used to correct the z-position and height of each voxel in the component-specific 3D TOF-SIMS images. We have applied this approach to 3D TOF-SIMS depth profiling images that show endoplasmic reticulum-plasma membrane (ER-PM) junctions in cells that are a simplified model of ER-PM junctions in neuronal cells. The depth corrected 3D image more accurately depicted the structure of the ER-PM junctions than the uncorrected image. Projection of the depth corrected 3D image on the model of the cell’s morphology facilitated visualization of the ER-PM junctions relative to the peaks, ridges and valleys on the surface of the cell. Thus, accurate component-specific 3D images may now be produced for depth profiling TOF-SIMS datasets. This approach may facilitate efforts to identify the lipids and other metabolites that reside in ER-PM junctions in neuronal cells and elucidate their roles in neuronal function. Full article
(This article belongs to the Special Issue Mass Spectrometry Imaging in Neuroscience)
Show Figures

Figure 1

13 pages, 5115 KB  
Article
Study the Effect of Heat Treatment on the Corrosion Resistance of AISI 347H Stainless Steel
by Yunyan Peng, Bo Zhao, Jianhua Yang, Fan Bai, Hongchang Qian, Bingxiao Shi and Luntao Wang
Materials 2025, 18(15), 3486; https://doi.org/10.3390/ma18153486 - 25 Jul 2025
Viewed by 754
Abstract
AISI 347H stainless steel is widely used in high-temperature environments due to its excellent creep strength and oxidation resistance; however, its corrosion performance remains highly sensitive to thermal oxidation, and the effects of thermal history on its passive film stability are not yet [...] Read more.
AISI 347H stainless steel is widely used in high-temperature environments due to its excellent creep strength and oxidation resistance; however, its corrosion performance remains highly sensitive to thermal oxidation, and the effects of thermal history on its passive film stability are not yet fully understood. This study addresses this knowledge gap by systematically investigating the influence of solution treatment on the corrosion and oxidation resistance of AISI 347H stainless steel. The specimens were subjected to solution heat treatment at 1050 °C, followed by air cooling, and then evaluated through electrochemical testing, high-temperature oxidation experiments at 550 °C, and multiscale surface characterization techniques. The solution treatment refined the austenitic microstructure by dissolving coarse Nb-rich precipitates, as confirmed by SEM and EBSD, and improved passive film integrity. The stabilizing effect of Nb also played a critical role in suppressing sensitization, thereby enhancing resistance to intergranular attack. Electrochemical measurements and EIS analysis revealed a lower corrosion current density and higher charge transfer resistance in the treated samples, indicating enhanced passivation behavior. ToF-SIMS depth profiling and oxide thickness analysis confirmed a slower parabolic oxide growth rate and reduced oxidation rate constant in the solution-treated condition. At 550 °C, oxidation was suppressed by the formation of compact, Cr-rich scales with dual-distributed Nb oxides, effectively limiting diffusion pathways and stabilizing the protective layer. These findings demonstrate that solution treatment is an effective strategy to improve the long-term corrosion and oxidation performance of AISI 347H stainless steel in harsh service environments. Full article
(This article belongs to the Section Metals and Alloys)
Show Figures

Figure 1

29 pages, 7061 KB  
Article
Does Water Cleaning Mitigate Atmospheric Degradation of Unstable Heritage Glass? An Experimental Study on Glass Models
by Thalie Law, Odile Majérus, Marie Godet, Mélanie Moskura, Thibault Charpentier, Antoine Seyeux and Daniel Caurant
Heritage 2025, 8(7), 276; https://doi.org/10.3390/heritage8070276 - 14 Jul 2025
Viewed by 1253
Abstract
Glass curators often question how their treatments affect the long-term stability of historical glass. While damp cotton swabs are commonly used to remove surface salts and dust, the use of water remains controversial, particularly for heavily altered glass, due to concerns about worsening [...] Read more.
Glass curators often question how their treatments affect the long-term stability of historical glass. While damp cotton swabs are commonly used to remove surface salts and dust, the use of water remains controversial, particularly for heavily altered glass, due to concerns about worsening hydration. This study investigates the effect of water rinsing on an unstable soda-lime glass altered for six months (monoliths) and fifteen months (powders) at 35 °C and 85% relative humidity. Samples were then rinsed with Milli-Q water at 20 °C or 50 °C, and the monolithic glass was subsequently subjected to an additional 15 months of alteration under the same conditions. The glass surface was characterized by optical and scanning electron microscopy (SEM) as well as Raman spectroscopy to identify the nature of the salts. The evolution of the hydrated layer was assessed using transmission FTIR, Raman and solid-state NMR spectroscopies, ToF-SIMS, and thermogravimetric analysis (TGA). The results show that rinsing effectively removes surface salts—primarily sodium carbonate—and induces structural changes in the hydrated layer, promoting silicate network polymerization. Upon resuming alteration, rinsed monolithic samples exhibit no further degradation after the additional 15 months of alteration. These findings offer promising insights for conservation practices and may help curators refining their treatment strategies for altered glass. Full article
(This article belongs to the Special Issue The Conservation of Glass in Heritage Science)
Show Figures

Graphical abstract

19 pages, 22636 KB  
Article
Comparative Analysis of Lead Ions and Ammonium Salts in Malachite Sulfurization-Assisted Flotation Based on Surface Layer Durability
by Ayman M. Ibrahim, Han Wang, Peilun Shen and Dianwen Liu
Metals 2025, 15(6), 601; https://doi.org/10.3390/met15060601 - 27 May 2025
Viewed by 755
Abstract
Sulfurization-assisted flotation is a key process that uses sulfur compounds to modify mineral surfaces, enhancing hydrophobicity and flotation efficiency, especially for copper oxide minerals. This study introduced the preliminary activation of malachite utilizing a combination of Pb2+ and NH4+ ions [...] Read more.
Sulfurization-assisted flotation is a key process that uses sulfur compounds to modify mineral surfaces, enhancing hydrophobicity and flotation efficiency, especially for copper oxide minerals. This study introduced the preliminary activation of malachite utilizing a combination of Pb2+ and NH4+ ions in sulfurization systems, significantly improving flotation recovery. Flotation tests and surface analysis techniques were employed to examine the effects of Pb2+ and NH4+ ions on malachite’s flotation behavior and the stability of its sulfurized surface layer. The results showed that, after activation with Pb2+ and NH4+ at optimal reagent concentrations, malachite’s flotation recovery reached 94.6%, compared to 68.13% with traditional sulfurization. Atomic force microscopy (AFM) revealed significant changes in malachite’s surface morphology, with a dense, cloud-like sulfide film forming that contained more sulfur than in direct sulfurization, enhancing the durability of the sulfurized surface. Time-of-Flight Secondary Ion Mass Spectrometry (ToF-SIMS) analysis confirmed increased sulfide ion adsorption on the surface compared to traditional sulfurization. The Pb2+ + (NH4)2S + Na2S system generated numerous active sites from copper-sulfide species, promoting the growth of sulfurized phases. FT-IR analysis showed stable Cu-S species on the malachite surface, improving SBX adsorption and flotation performance. Contact angle measurements indicated that the activation systems significantly improved surface hydrophobicity, with the copper-sulfide film achieving a contact angle of 95.29°, demonstrating superior durability and mineral recovery compared to traditional sulfurization. Thus, the activation of Pb2+ and NH4+ ions offers a promising solution for sulfurization-assisted flotation, enabling more efficient and sustainable recovery of malachite ore, with improved sulfide layer durability and enhanced hydrophobicity. Full article
Show Figures

Graphical abstract

14 pages, 3552 KB  
Article
Electrical Behavior of Combinatorial Thin-Film ZrxTa1−xOy
by Matthew Flynn-Hepford, Reece Emery, Steven J. Randolph, Scott T. Retterer, Gyula Eres, Bobby G. Sumpter, Anton V. Ievlev, Olga S. Ovchinnikova and Philip D. Rack
Nanomaterials 2025, 15(10), 732; https://doi.org/10.3390/nano15100732 - 14 May 2025
Viewed by 689
Abstract
Combinatorial magnetron sputtering and electrical characterization were used to systematically study the impact of compositional changes in the resistive switching of transition metal oxides, specifically the ZrxTa1−xOy system. Current-voltage behavior across a range of temperatures provided insights into [...] Read more.
Combinatorial magnetron sputtering and electrical characterization were used to systematically study the impact of compositional changes in the resistive switching of transition metal oxides, specifically the ZrxTa1−xOy system. Current-voltage behavior across a range of temperatures provided insights into the mechanisms that contribute to differences in the electrical conductivity of the pristine Ta2O5 and ZrO2, and mixed ZrxTa1−xOy devices. The underlying conductive mechanism was found to be a mixture of charge trapping and ionic motion, where charge trapping/emission dictated the short-term cycling behavior while ion motion contributed to changes in the conduction with increased cycling number. ToF-SIMS was used to identify the origin of the “wake-up” behavior of the devices, revealing an ionic motion contribution. This understanding of how cation concentration affects conduction in mixed valence systems helps provide a foundation for a new approach toward manipulating resistive switching in these active layer materials. Full article
(This article belongs to the Section Synthesis, Interfaces and Nanostructures)
Show Figures

Graphical abstract

16 pages, 3941 KB  
Article
Contribution of Sessile Acidophiles on Chalcopyrite Bioleaching Under Controlled Redox Potentials
by Qiru Yang, Yan Jia, Luohu Zhang, Qiaoyi Tan, Heyun Sun, Jiaqi Jin, Jingkui Qu, Renman Ruan and Chao Zhang
Minerals 2025, 15(5), 480; https://doi.org/10.3390/min15050480 - 4 May 2025
Viewed by 697
Abstract
Although the bioleaching of secondary copper sulfides has been industrialized for decades, the application of chalcopyrite bioleaching remains under development because of its low leaching rate. The effect of contact microbes on chalcopyrite leaching is still unclear due to the technical challenges in [...] Read more.
Although the bioleaching of secondary copper sulfides has been industrialized for decades, the application of chalcopyrite bioleaching remains under development because of its low leaching rate. The effect of contact microbes on chalcopyrite leaching is still unclear due to the technical challenges in separating the contact (sessile micro-organisms) and the non-contact (planktonic micro-organisms) processes. Chalcopyrite bioleaching experiments were conducted using a novel device that stabilizes the redox potential and distinguishs between the microbial contact and non-contact effects. The contribution of the microbial “contact mechanism” in chalcopyrite leaching was quantified considering different redox potentials, compared to the “non-contact mechanism”. Based on the copper leaching kinetics and morphology of the leaching residue, it was demonstrated that the leaching rate of chalcopyrite was significantly influenced by the redox potential (850 mV > 650 mV > 750 mV), from 6.30% to 14.02% in 8 days leaching time. At each redox potential, the chalcopyrite leaching rate was 9.3%–30.6% higher with the presence of sessile microbes than without sessile microbes. Analysis of the leached chalcopyrite surface using time-of-flight secondary ion mass spectrometry (ToF-SIMS) and X-ray photoelectron spectrometry (XPS) revealed the formation of polysulfide and elemental sulfur at the surface. While the contacted sulfur oxidized the microbes, here, the Acidithiobacillus caldus preferred sessile at the chalcopyrite surface rather than Leptospirillum ferriphilum. Sulfur-oxidizing bacteria reduced the elemental sulfur content at the leach residue surface, thus playing an important role in degrading the sulfur passivation layer. In chalcopyrite bioleaching, the “contact mechanism” was primarily explained by sulfur-oxidizing bacteria promoting chalcopyrite oxidation through the removal of sulfur intermediates, while the “non-contact mechanism” was explained by ferrous-oxidizing microbes influencing the redox potential. Full article
(This article belongs to the Special Issue Advances in the Theory and Technology of Biohydrometallurgy)
Show Figures

Figure 1

16 pages, 1674 KB  
Article
Surface Chemistry and Molecular Dynamics of Epoxy Resin: Insights from Analysis During Curing and Post-Curing Processes
by Bogdan-Marian Tofanica, Elena Ungureanu and Firas Awaja
Polymers 2025, 17(8), 1094; https://doi.org/10.3390/polym17081094 - 18 Apr 2025
Cited by 1 | Viewed by 2006
Abstract
The surface chemistry of epoxy resin and its composites is critical for their long-term performance across various applications. In this study, we investigate the main reactions occurring on the surface of DEGBA/DEGBF epoxy resin following curing, post-curing, and thermal post-curing processes using Time-of-Flight [...] Read more.
The surface chemistry of epoxy resin and its composites is critical for their long-term performance across various applications. In this study, we investigate the main reactions occurring on the surface of DEGBA/DEGBF epoxy resin following curing, post-curing, and thermal post-curing processes using Time-of-Flight Secondary Ion Mass Spectrometry (ToF-SIMS). ToF-SIMS analysis elucidated molecular details, including curing and cross-linking progression, cross-link characteristics, cured resin structure, residual unreacted hardener, cross-linking density, and reaction pathways. Principal Components Regression analysis (PCR) was applied to distinguish between cured and post-cured samples, focusing on specific ions indicative of the curing process. The completion of curing was associated with ions such as C14H7O+, CHO+, CH3O+, and C21H24O4+, while unreacted hardener was indicated by C21H24O4+ ions. Cross-linking density and the intensities of aliphatic hydrocarbons were crucial in differentiating curing stages. Calibration ensured that all ion intensities totaled to one, and specific ions were tracked to monitor the states from uncured to post-cured. Negative spectra provided insights into the consumption of hardener molecules during curing and post-curing. The results demonstrated that post-curing enhances the properties of epoxy resin by promoting further cross-linking, reducing residual unreacted groups, and forming a more extensive covalent network. This results in improved mechanical and thermal stability. The molecular changes observed through ToF-SIMS data effectively distinguish between curing and post-curing reactions, contributing to a better understanding and optimization of epoxy resin properties for various applications. Full article
(This article belongs to the Special Issue Polymer Manufacturing Processes)
Show Figures

Figure 1

Back to TopTop