Attachment of L. ferrooxidans to Pyrite Mineral Surfaces
Abstract
1. Introduction
2. Materials and Methods
2.1. Culturing Microorganisms
2.2. Pyrite Tile Preparation and Exposure to L. ferrooxidans
2.3. Scanning Electron Microscopy (SEM)
2.4. Atomic Force Microscopy (AFM)
2.5. Captive Bubble Contact Angle
2.6. Near Edge Absorption Fine Structure (NEXAFS)
2.7. Time of Flight–Secondary Ion Mass Spectrometry (ToF-SIMS)
3. Results
3.1. Cell Growth of Leptospirillum ferrooxidans on Pyrite
3.2. Scanning Electron Microscopy
3.3. Atomic Force Microscopy
3.4. Captive Bubble Contact Angle
3.5. Scanning Transmission X-Ray Microscopy
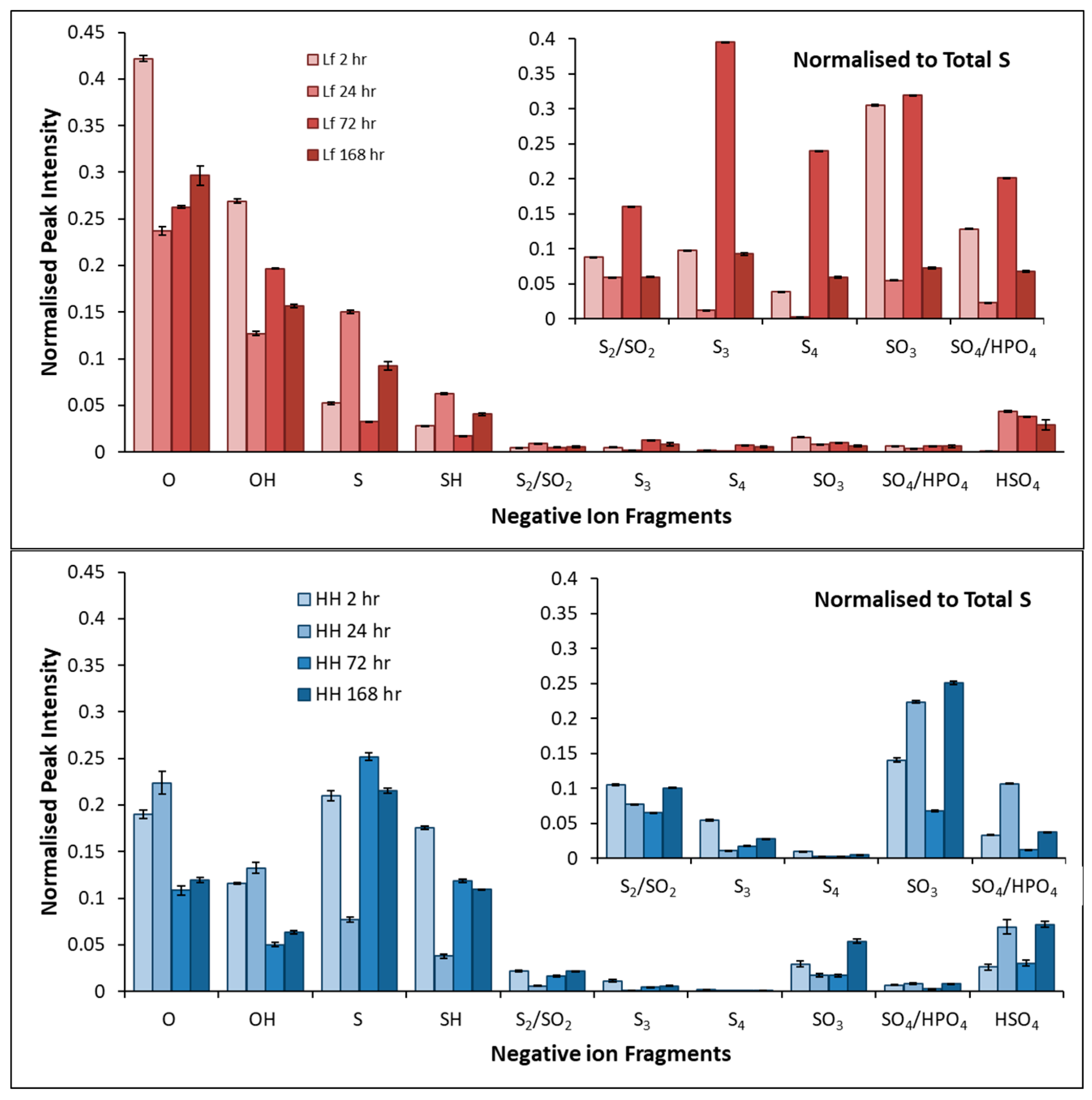
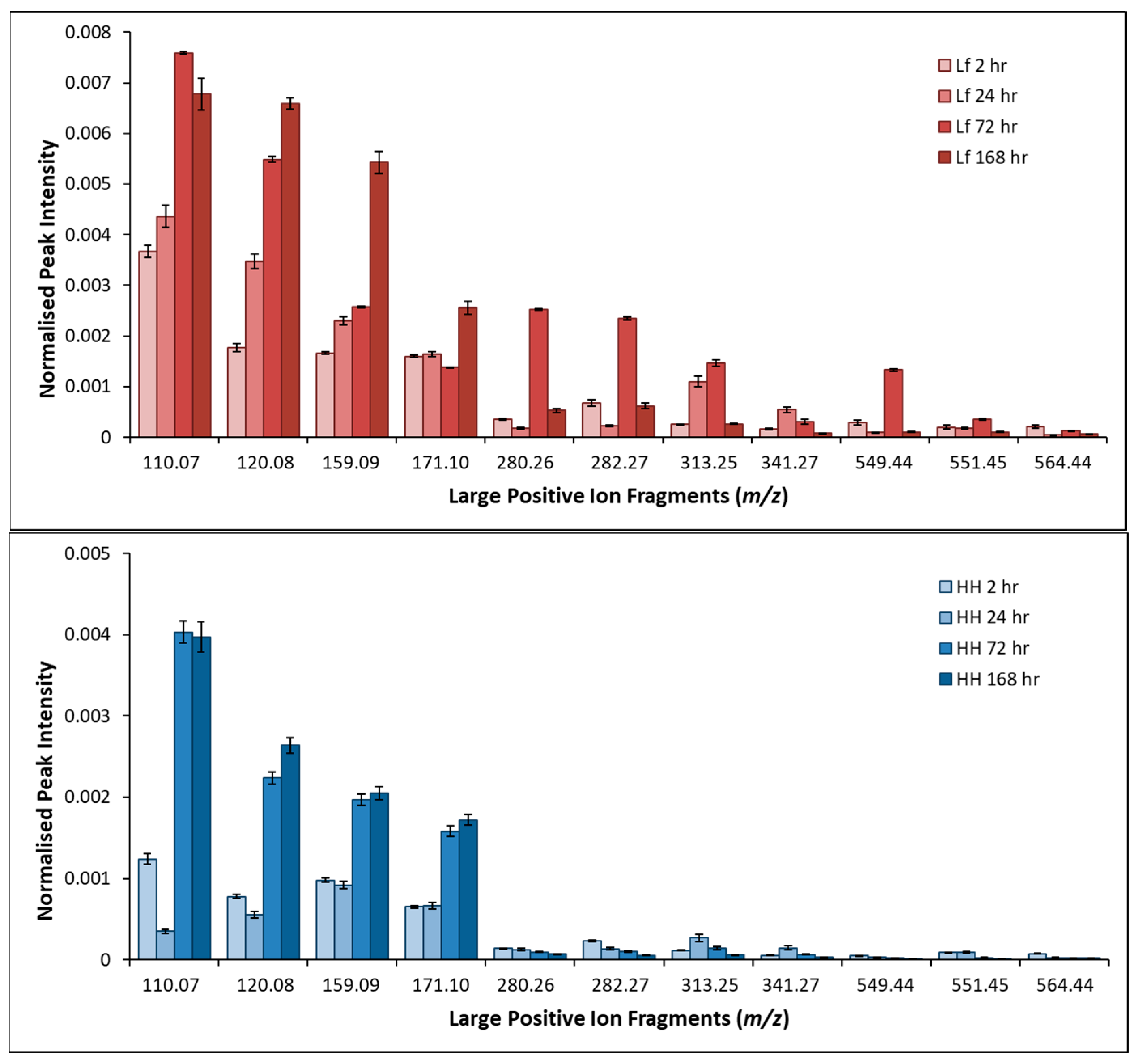
3.6. Time of Flight–Secondary Ion Mass Spectrometry
4. Conclusions
Author Contributions
Funding
Institutional Review Board Statement
Informed Consent Statement
Data Availability Statement
Acknowledgments
Conflicts of Interest
References
- Buckley, A.N.; Woods, R. An X-ray photoelectron spectroscopic study of the oxidation of chalcopyrite. Aust. J. Chem. 1984, 37, 2403–2413. [Google Scholar] [CrossRef]
- Wills, B.A. Wills’ Mineral Processing Technology, 7th ed.; Elsevier: Oxford, UK, 2006. [Google Scholar]
- Chen, M.-L.; Zhang, L.; Gu, G.-H.; Hu, Y.-H.; Su, L.-J. Effects of microorganisms on surface properties of chalcopyrite and bioleaching. Trans. Nonferrous Met. Soc. China 2008, 18, 1421–1426. [Google Scholar] [CrossRef]
- Nagaraj, D.R. Minerals Recovery and Processing, Kirk-Othmer Encyclopedia of Chemical Technology; John Wiley & Sons, Inc.: Hoboken, NJ, USA, 2000; pp. 595–679. [Google Scholar] [CrossRef]
- Kawatra, S.K. Flotation Fundamentals, Mining Engineering Handbook; Michigan Technological University: Houghton, MA, USA, 2009; p. 30. [Google Scholar]
- Natarajan, K.A.; Das, A. Surface chemical studies on ‘Acidithiobacillus’ group of bacteria with reference to mineral flocculation. Int. J. Miner. Process. 2003, 72, 189–198. [Google Scholar] [CrossRef]
- Farahat, M.; Hirajima, T.; Sasaki, K.; Aiba, Y.; Doi, K. Adsorption of SIP E. coli onto quartz and its applications in froth flotation. Miner. Eng. 2008, 21, 389–395. [Google Scholar] [CrossRef]
- Govender, Y.; Gericke, M. Extracellular polymeric substances (EPS) from bioleaching systems and its application in bioflotation. Miner. Eng. 2011, 24, 1122–1127. [Google Scholar] [CrossRef]
- Smith, R.W.; Miettinen, M. Microorganisms in flotation and flocculation: Future technology or laboratory curiosity? Miner. Eng. 2006, 19, 548–553. [Google Scholar] [CrossRef]
- Langwaldt, J.; Kalapudas, R. Bio-benefication of multimetal black shale ore by flotation. Pyhsicochem. Probl. Miner. Process. 2007, 41, 291–299. [Google Scholar]
- Mehrabani, J.V.; Mousavi, S.M.; Noaparast, M. Evaluation of the replacement of NaCN with Acidithiobacillus ferrooxidans in the flotation of high-pyrite, low-grade lead–zinc ore. Sep. Purif. Technol. 2011, 80, 202–208. [Google Scholar] [CrossRef]
- Chandraprabha, M.N.; Natarajan, K.A.; Somasundaran, P. Selective separation of pyrite from chalcopyrite and arsenopyrite by biomodulation using Acidithiobacillus ferrooxidans. Int. J. Miner. Process. 2005, 75, 113–122. [Google Scholar] [CrossRef]
- Jafari, M.; Shafaei, S.Z.A.; Abdollahi, H.; Gharabaghi, M.; Chelgani, S.C. A Comparative Study on the Effect of Flotation Reagents on Growth and Iron Oxidation Activities of Leptospirillum ferrooxidans and Acidithiobacillus ferrooxidans. Minerals 2016, 7, 2. [Google Scholar] [CrossRef]
- Mehrabani, J.V.; Noaparast, M.; Mousavi, S.M.; Dehghan, R.; Rasooli, E.; Hajizadeh, H. Depression of pyrite in the flotation of high pyrite low-grade lead–zinc ore using Acidithiobacillus ferrooxidans. Miner. Eng. 2010, 23, 10–16. [Google Scholar] [CrossRef]
- Nagaoka, T.; Ohmura, N.; Saiki, H. A novel mineral processing by flotation using Thiobacillus ferrooxidans. In Process Metallurgy; Amils, R., Ballester, A., Eds.; Elsevier: Amsterdam, The Netherlands, 1999; pp. 335–342. [Google Scholar] [CrossRef]
- Rao, K.H.; Vilinska, A.; Chernyshova, I.V. Minerals bioprocessing: R & D needs in mineral biobeneficiation. Hydrometallurgy 2010, 104, 465–470. [Google Scholar] [CrossRef]
- Ban, J.-R.; Gu, G.-H.; Hu, K.-T. Bioleaching and electrochemical property of marmatite by Leptospirillum ferrooxidans. Trans. Nonferrous Met. Soc. China 2013, 23, 494–500. [Google Scholar] [CrossRef]
- Sand, W.; Rohde, K.; Sobotke, B.; Zenneck, C. Evaluation of Leptospirillum ferrooxidans for Leaching. Appl. Environ. Microbiol. 1992, 58, 85–92. [Google Scholar] [CrossRef] [PubMed]
- Zhang, Y.-S.; Qin, W.-Q.; Wang, J.; Zhen, S.-J.; Yang, C.-R.; Zhang, J.-W.; Nai, S.-S.; Qiu, G.-Z. Bioleaching of chalcopyrite by pure and mixed culture. Trans. Nonferrous Met. Soc. China 2008, 18, 1491–1496. [Google Scholar] [CrossRef]
- Hippe, H. Leptospirillum gen. nov. (ex Markosyan 1972), nom. rev., including Leptospirillum ferrooxidans sp. nov. (ex Markosyan 1972), nom. rev. and Leptospirillum thermoferrooxidans sp. nov. (Golovacheva et al. 1992). Int. J. Syst. Evol. Microbiol. 2000, 50, 501–503. [Google Scholar] [CrossRef]
- Schippers, A. Microorganisms involved in bioleaching and nucleic acid-based molecular methods for their identification and quantification. In Microbial Processing of Metal Sulfides; Donati, E.R., Sand, W., Eds.; Springer: Dordrecht, The Netherlands, 2007; pp. 3–33. [Google Scholar]
- Florian, B.; Noël, N.; Sand, W. Visualization of initial attachment of bioleaching bacteria using combined atomic force and epifluorescence microscopy. Miner. Eng. 2010, 23, 532–535. [Google Scholar] [CrossRef]
- Florian, B.; Noël, N.; Thyssen, C.; Felschau, I.; Sand, W. Some quantitative data on bacterial attachment to pyrite. Miner. Eng. 2011, 24, 1132–1138. [Google Scholar] [CrossRef]
- Petersen, J.; Dixon, D.G. Thermophilic heap leaching of a chalcopyrite concentrate. Miner. Eng. 2002, 15, 777–785. [Google Scholar] [CrossRef]
- Petersen, J.; Dixon, D.G. Competitive bioleaching of pyrite and chalcopyrite. Hydrometallurgy 2006, 83, 40–49. [Google Scholar] [CrossRef]
- Yang, H.-Y.; Liu, W.; Chen, G.-B.; Liu, Y.-Y.; Tong, L.-L.; Jin, Z.-N.; Liu, Z.-L. Function of microorganism and reaction pathway for carrollite dissolution during bioleaching. Trans. Nonferrous Met. Soc. China 2015, 25, 2718–2754. [Google Scholar] [CrossRef]
- Yang, Y.; Liu, W.; Chen, M. A copper and iron K-edge XANES study on chalcopyrite leached by mesophiles and moderate thermophiles. Miner. Eng. 2013, 48, 31–35. [Google Scholar] [CrossRef]
- Zhu, J.; Li, Q.; Jiao, W.; Jiang, H.; Sand, W.; Xia, J.; Liu, X.; Qin, W.; Qiu, G.; Hu, Y.; et al. Adhesion forces between cells of Acidithiobacillus ferrooxidans, Acidithiobacillus thiooxidans or Leptospirillum ferrooxidans and chalcopyrite. Colloids Surf. B Biointerfaces 2012, 94, 95–100. [Google Scholar] [CrossRef]
- Harneit, K.; Göksel, A.; Kock, D.; Klock, J.-H.; Gehrke, T.; Sand, W. Adhesion to metal sulfide surfaces by cells of Acidithiobacillus ferrooxidans, Acidithiobacillus thiooxidans and Leptospirillum ferrooxidans. Hydrometallurgy 2006, 83, 245–254. [Google Scholar] [CrossRef]
- La Vars, S.M.; Newton, K.; Quinton, J.S.; Cheng, P.-Y.; Wei, D.-H.; Chan, Y.-L.; Harmer, S.L. Surface Chemical Characterisation of Pyrite Exposed to Acidithiobacillus ferrooxidans and Associated Extracellular Polymeric Substances. Minerals 2018, 8, 132. [Google Scholar] [CrossRef]
- Johnson, D.B. Biomining—Biotechnologies for extracting and recovering metals from ores and waste materials. Curr. Opin. Biotechnol. 2014, 30, 24–31. [Google Scholar] [CrossRef] [PubMed]
- Rohwerder, T.; Sand, W. Mechanisms and biochemical fundamentals of bacterial metal sulfide oxidation. In Microbial Processing of Metal Sulfides; Donati, E.R., Sand, W., Eds.; Springer: Dordrecht, The Netherlands, 2007; pp. 35–58. [Google Scholar]
- Boon, M.; Brasser, H.J.; Hansford, G.S.; Heijnen, J.J. Comparison of the oxidation kinetics of different pyrites in the presence of Thiobacillus ferrooxidans or Leptospirillum ferrooxidans. Hydrometallurgy 1999, 53, 57–72. [Google Scholar] [CrossRef]
- Pecina, E.T.; Rodríguez, M.; Castillo, P.; Díaz, V.; Orrantia, E. Effect of Leptospirillum ferrooxidans on the flotation kinetics of sulphide ores. Miner. Eng. 2009, 22, 462–468. [Google Scholar] [CrossRef]
- Vilinska, A.; Rao, K.H. Leptosririllum ferrooxidans-sulfide mineral interactions with reference to bioflotation nad bioflocculation. Trans. Nonferrous Met. Soc. China 2008, 18, 1403–1409. [Google Scholar] [CrossRef]
- Bui, L.M.G.; Turnidge, J.D.; Kidd, S.P. The induction of Staphylococcus aureus biofilm formation or Small Colony Variants is a strain-specific response to host-generated chemical stresses. Microbes Infect. 2015, 17, 77–82. [Google Scholar] [CrossRef]
- Franzblau, R.E.; Daughney, C.J.; Swedlund, P.J.; Weisener, C.G.; Moreau, M.; Johannessen, B.; Harmer, S.L. Cu(II) removal by Anoxybacillus flavithermus–iron oxide composites during the addition of Fe(II)aq. Geochim. Cosmochim. Acta 2016, 172, 139–158. [Google Scholar] [CrossRef]
- Nanoscope Software, version 6.13; User Guide; Veeco Instruments Inc.: Plainview, NY, USA, 2004.
- Campbell, D.; Carnell, S.M.; Eden, R.J. Applicability of Contact Angle Techniques Used in the Analysis of Contact Lenses, Part 1: Comparative methodologies. Eye Contact Lens Sci. Clin. Pr. 2013, 39, 254–262. [Google Scholar] [CrossRef]
- Read, M.L.; Morgan, P.B.; Kelly, J.M.; Maldonado-Codina, C. Dynamic Contact Angle Analysis of Silicone Hydrogel Contact Lenses. J. Biomater. Appl. 2010, 26, 85–99. [Google Scholar] [CrossRef]
- Beaussart, A.; Mierczynska-Vasilev, A.M.; Harmer, S.L.; Beattie, D.A. The role of mineral surface chemistry in modified dextrin adsorption. J. Colloid Interface Sci. 2011, 357, 510–520. [Google Scholar] [CrossRef]
- Raabe, J.; Tzvetkov, G.; Flechsig, U.; Böge, M.; Jaggi, A.; Sarafimov, B.; Vernooij, M.G.C.; Huthwelker, T.; Ade, H.; Kilcoyne, D.; et al. PolLux: A new facility for soft x-ray spectromicroscopy at the Swiss Light Source. Rev. Sci. Instr. 2008, 79, 113704. [Google Scholar] [CrossRef] [PubMed]
- Frommherz, U.; Raabe, J.; Watts, B.; Stefani, R.; Ellenberger, U.; Garrett, R.; Gentle, I.; Nugent, K.; Wilkins, S. Higher Order Suppressor (HOS) for the PolLux Microspectroscope Beamline at the Swiss Light Source SLS. AIP Conf. Proc. 2010, 1234, 429–432. [Google Scholar] [CrossRef]
- Hitchcock, A.P. aXis 2000—Analysis of X-Ray Images and Spectra; McMaster University: Hamilton, ON, Canada, 2017. [Google Scholar]
- Goh, S.W.; Buckley, A.N.; Lamb, R.N.; Rosenberg, R.A.; Moran, D. The oxidation states of copper and iron in mineral sulfides, and the oxides formed on initial exposure of chalcopyrite and bornite to air. Geochim. Cosmochim. Acta 2006, 70, 2210–2228. [Google Scholar] [CrossRef]
- Womes, M.; Karnatak, R.C.; Esteva, J.M.; Lefebvre, I.; Allan, G.; Olivier-Fourcades, J.; Jumas, J.C. Electronic structures of FeS and FeS 2: X-ray absorption spectroscopy and band structure calculations. J. Phys. Chem. Solids 1997, 58, 345–352. [Google Scholar] [CrossRef]
- Solomon, D.; Lehmann, J.; Harden, J.; Wang, J.; Kinyangi, J.; Heymann, K.; Karunakaran, C.; Lu, Y.; Wirick, S.; Jacobsen, C. Micro- and nano-environments of carbon sequestration: Multi-element STXM–NEXAFS spectromicroscopy assessment of microbial carbon and mineral associations. Chem. Geol. 2012, 329, 53–73. [Google Scholar] [CrossRef]
- Stewart-Ornstein, J.; Hitchcock, A.P.; Cruz, D.H.; Henklein, P.; Overhage, J.; Hilpert, K.; Hale, J.D.; Hancock, R.E.W. Using Intrinsic X-ray Absorption Spectral Differences to Identify and Map Peptides and Proteins. J. Phys. Chem. B 2007, 111, 7691–7699. [Google Scholar] [CrossRef]
- Ravel, B.; Newville, M. ATHENA, ARTEMIS, HEPHAESTUS: Data analysis for X-ray absorption spectroscopy using IFEFFIT. J. Synchrotron Radiat. 2005, 12, 537–541. [Google Scholar] [CrossRef]
- Acres, R.G.; Harmer, S.L.; Beattie, D.A. Synchrotron XPS, NEXAFS, and ToF-SIMS studies of solution exposed chalcopyrite and heterogeneous chalcopyrite with pyrite. Miner. Eng. 2010, 23, 928–936. [Google Scholar] [CrossRef]
- Piantadosi, C.; Smart, R.S. Statistical comparison of hydrophobic and hydrophilic species on galena and pyrite particles in flotation concentrates and tails from TOF-SIMS evidence. Int. J. Miner. Process. 2002, 64, 43–54. [Google Scholar] [CrossRef]
- Smart, R.S.; Jasieniak, M.; Prince, K.E.; Skinner, W.M. SIMS studies of oxidation mechanisms and polysulfide formation in reacted sulfide surfaces. Miner. Eng. 2000, 13, 857–870. [Google Scholar] [CrossRef]
- Mykytczuk, N.C.S.; Trevors, J.T.; Ferroni, G.D.; Leduc, L.G. Cytoplasmic membrane response to copper and nickel in Acidithiobacillus ferrooxidans. Microbiol. Res. 2011, 166, 186–206. [Google Scholar] [CrossRef] [PubMed]
- Pacholewska, M. Microbial leaching of blende flotation concentrate using Acidithiobacillus ferrooxidans and Acidithiobacillus thiooxidans. Physicochem. Probl. Miner. Process. 2003, 37, 57–68. [Google Scholar]
- Karavaiko, G.I.; Smolskaja, L.S.; Golyshina, O.K.; Jagovkina, M.A.; Egorova, E.Y. Bacterial pyrite oxidation: Influence of morphological, physical and chemical properties. Fuel Process. Technol. 1994, 40, 151–165. [Google Scholar] [CrossRef]
- Mitsunobu, S.; Zhu, M.; Takeichi, Y.; Ohigashi, T.; Suga, H.; Jinno, M.; Makita, H.; Sakata, M.; Ono, K.; Mase, K.; et al. Direct Detection of Fe(II) in Extracellular Polymeric Substances (EPS) at the Mineral-Microbe Interface in Bacterial Pyrite Leaching. Microbes Environ. 2016, 31, 63–69. [Google Scholar] [CrossRef]
- Xia, J.-L.; Yang, Y.; He, H.; Zhao, X.-J.; Liang, C.-L.; Zheng, L.; Ma, C.-Y.; Zhao, Y.-D.; Nie, Z.-Y.; Qiu, G.-Z. Surface analysis of sulfur speciation on pyrite bioleached by extreme thermophile Acidianus manzaensis using Raman and XANES spectroscopy. Hydrometallurgy 2010, 100, 129–135. [Google Scholar] [CrossRef]
- Watling, H.R.; Perrot, F.A.; Shiers, D.W. Comparison of selected characteristics of Sulfobacillus species and review of their occurrence in acidic and bioleaching environments. Hydrometallurgy 2008, 93, 57–65. [Google Scholar] [CrossRef]
- Chau, T.T.; Bruckard, W.J.; Koh, P.T.L.; Nguyen, A.V. A review of factors that affect contact angle and implications for flotation practice. Adv. Colloid Interface Sci. 2009, 150, 106–115. [Google Scholar] [CrossRef]
- Sand, W.; Gehrke, T.; Jozsa, P.-G.; Schippers, A. (Bio)chemistry of bacterial leaching—Direct vs. indirect bioleaching. Hydrometallurgy 2001, 59, 159–175. [Google Scholar] [CrossRef]
- Gehrke, T.; Telegdi, J.; Thierry, D.; Sand, W. Importance of Extracellular Polymeric Substances from Thiobacillus ferrooxidans for Bioleaching. Appl. Environ. Microbiol. 1998, 64, 2743–2747. [Google Scholar] [CrossRef]
- Chipfunhu, D.; Zanin, M.; Grano, S. Flotation behaviour of fine particles with respect to contact angle. Chem. Eng. Res. Des. 2012, 90, 26–32. [Google Scholar] [CrossRef]
- Fleet, M.E. XANES Spectroscopy of sulphur in Earth Materials. Can. Miner. 2005, 43, 1811–1838. [Google Scholar] [CrossRef]
- von Oertzen, G.U.; Jones, R.T.; Gerson, A.R. Electronic and optical properties of Fe, Zn and Pb sulfides. Phys. Chem. Miner. 2005, 32, 255–268. [Google Scholar] [CrossRef]
- Miedema, P.S.; de Groot, F.M.F. The iron L edges: Fe 2p X-ray absorption and electron energy loss spectroscopy. J. Electron Spectrosc. Relat. Phenom. 2013, 187, 32–48. [Google Scholar] [CrossRef]
- Doyle, C.S.; Kendelewicz, T.; Bostick, B.C.; Brown, G.E. Soft X-ray spectroscopic studies of the reaction of fractured pyrite surfaces with Cr(VI)-containing aqueous solutions. Geochim. Cosmochim. Acta 2004, 68, 4287–4299. [Google Scholar] [CrossRef]
- Rightor, E.G.; Hitchcock, A.P.; Ade, H.; Leapman, R.D.; Urquhart, S.G.; Smith, A.P.; Mitchell, G.; Fischer, D.; Shin, H.J.; Warwick, T. Spectromicroscopy of Poly(ethylene terephthalate): Comparison of Spectra and Radiation Damage Rates in X-ray Absorption and Electron Energy Loss. J. Phys. Chem. B 1997, 101, 1950–1960. [Google Scholar] [CrossRef]
- Zubavichus, Y.; Fuchs, O.; Weinhardt, L.; Heske, C.; Umbach, E.; Denlinger, J.D.; Grunze, M. Soft X-Ray-Induced Decomposition of Amino Acids: An XPS, Mass Spectrometry, and NEXAFS Study. Radiat. Res. 2004, 161, 346–358. [Google Scholar] [CrossRef]
- Briggs, D.; Vickerman, J.C. ToF-SIMS: Surface Analysis by Mass Spectrometry; SurfaceSpectra Chichester; IM: Manchester, UK, 2001. [Google Scholar]
- Watts, B.; Thomsen, L.; Dastoor, P.C. Methods in carbon K-edge NEXAFS: Experiment and analysis. J. Electron Spectrosc. Relat. Phenom. 2006, 151, 105–120. [Google Scholar] [CrossRef]
- Boese, J.; Osanna, A.; Jacobsen, C.; Kirz, J. Carbon edge XANES spectroscopy of amino acids and peptides. J. Electron Spectrosc. Relat. Phenom. 1997, 85, 9–15. [Google Scholar] [CrossRef]
- Coker, V.S.; Byrne, J.M.; Telling, N.D.; van der Laan, G.; Lloyd, J.R.; Hitchcock, A.P.; Wang, J.; Pattrick, R.A.D. Characterisation of the dissimilatory reduction of Fe(III)-oxyhydroxide at the microbe—Mineral interface: The application of STXM–XMCD. Geobiology 2012, 10, 347–354. [Google Scholar] [CrossRef]
- Dynes, J.J.; Lawrence, J.R.; Korber, D.R.; Swerhone, G.D.; Leppard, G.G.; Hitchcock, A.P. Morphological and biochemical changes in Pseudomonas fluorescens biofilms induced by sub-inhibitory exposure to antimicrobial agents. Can. J. Microbiol. 2009, 55, 163–178. [Google Scholar] [CrossRef] [PubMed]
- Kaznacheyev, K.; Osanna, A.; Jacobsen, C.; Plashkevych, O.; Vahtras, O.; Ågren; Carravetta, V.; Hitchcock, A.P.; Ågren, H. Innershell Absorption Spectroscopy of Amino Acids. J. Phys. Chem. A 2002, 106, 3153–3168. [Google Scholar] [CrossRef]
- Wan, J.; Tyliszczak, T.; Tokunaga, T.K. Organic carbon distribution, speciation, and elemental correlations within soil microaggregates: Applications of STXM and NEXAFS spectroscopy. Geochim. Cosmochim. Acta 2007, 71, 5439–5449. [Google Scholar] [CrossRef]
- Chan, C.S.; Fakra, S.C.; Edwards, D.C.; Emerson, D.; Banfield, J.F. Iron oxyhydroxide mineralization on microbial extracellular polysaccharides. Geochim. Cosmochim. Acta 2009, 73, 3807–3818. [Google Scholar] [CrossRef]
- Morin, C.; Hitchcock, A.P.; Cornelius, R.M.; Brash, J.L.; Urquhart, S.G.; Scholl, A.; Doran, A. Selective adsorption of protein on polymer surfaces studied by soft X-ray photoemission electron microscopy. J. Electron Spectrosc. Relat. Phenom. 2004, 137–140, 785–794. [Google Scholar] [CrossRef]
- Miot, J.; Benzerara, K.; Morin, G.; Kappler, A.; Bernard, S.; Obst, M.; Férard, C.; Skouri-Panet, F.; Guigner, J.-M.; Posth, N.; et al. Iron biomineralization by anaerobic neutrophilic iron-oxidizing bacteria. Geochim. Cosmochim. Acta 2009, 73, 696–711. [Google Scholar] [CrossRef]
- Yang, Y.; Harmer, S.; Chen, M. Synchrotron X-ray photoelectron spectroscopic study of the chalcopyrite leached by moderate thermophiles and mesophiles. Miner. Eng. 2014, 69, 185–195. [Google Scholar] [CrossRef]
- Yang, Y.; Liu, W.; Chen, M. XANES and XRD study of the effect of ferrous and ferric ions on chalcopyrite bioleaching at 30 °C and 48 °C. Miner. Eng. 2015, 70, 99–108. [Google Scholar] [CrossRef]
- Kalirai, S.S.; Lam, K.P.; Bazylinski, D.A.; Lins, U.; Hitchcock, A.P. Examining the chemistry and magnetism of magnetotactic bacterium Candidatus Magnetovibrio blakemorei strain MV-1 using scanning transmission X-ray microscopy. Chem. Geol. 2012, 300–301, 14–23. [Google Scholar] [CrossRef]
- Behera, S.K.; Mulaba-Bafubiandi, A.F. Microbes Assisted Mineral Flotation a Future Prospective for Mineral Processing Industries: A Review. Miner. Process. Extr. Met. Rev. 2016, 38, 96–105. [Google Scholar] [CrossRef]
- Poorni, S.; Natarajan, K.A. Flocculation behaviour of hematite–kaolinite suspensions in presence of extracellular bacterial proteins and polysaccharides. Colloids Surf. B Biointerfaces 2014, 114, 186–192. [Google Scholar] [CrossRef]
- Beech, I.B.; Sunner, J. Biocorrosion: Towards understanding interactions between biofilms and metals. Curr. Opin. Biotechnol. 2004, 15, 181–186. [Google Scholar] [CrossRef] [PubMed]
- Rojas-Chapana, J.A.; Tributsch, H. Bio-leaching of pyrite accelerated by cysteine. Process. Biochem. 2000, 35, 815–824. [Google Scholar] [CrossRef]
- Crundwell, F.K. How do bacteria interact with minerals? Hydrometallurgy 2003, 71, 75–81. [Google Scholar] [CrossRef]
- Watling, H.R. The bioleaching of sulphide minerals with emphasis on copper sulphides—A review. Hydrometallurgy 2006, 84, 81–108. [Google Scholar] [CrossRef]
- Belu, A.M.; Davies, M.C.; Newton, J.M.; Patel, N. TOF-SIMS Characterization and Imaging of Controlled-Release Drug Delivery Systems. Anal. Chem. 2000, 72, 5625–5638. [Google Scholar] [CrossRef]
- Berman, E.S.F.; Wu, L.; Fortson, S.L.; Kulp, K.S.; Nelson, D.O.; Wu, K.J. Chemometric and statistical analyses of ToF-SIMS spectra of increasingly complex biological samples. Surf. Interface Anal. 2008, 41, 97–104. [Google Scholar] [CrossRef]
- de Brouwer, J.F.C.; Cooksey, K.E.; Wigglesworth-Cooksey, B.; Staal, M.J.; Stal, L.J.; Avci, R. Time of Flight-Secondary Ion Mass Spectrometry on isolated extracellular fractions and intact biofilms of three species of benthic diatoms. J. Microbiol. Methods 2006, 65, 562–572. [Google Scholar] [CrossRef]
- Dague, E.; Delcorte, A.; Latgé, J.-P.; Dufrêne, Y.F. Combined Use of Atomic Force Microscopy, X-ray Photoelectron Spectroscopy, and Secondary Ion Mass Spectrometry for Cell Surface Analysis. Langmuir 2008, 24, 2955–2959. [Google Scholar] [CrossRef] [PubMed]
- Breitenstein, D.; Rommel, C.E.; Stolwijk, J.; Wegener, J.; Hagenhoff, B. The chemical composition of animal cells reconstructed from 2D and 3D ToF-SIMS analysis. Appl. Surf. Sci. 2008, 255, 1249–1256. [Google Scholar] [CrossRef]
- Sanni, O.D.; Wagner, M.S.; Briggs, D.; Castner, D.G.; Vickerman, J.C. Classification of adsorbed protein static ToF-SIMS spectra by principal component analysis and neural networks. Surf. Interface Anal. 2002, 33, 715–728. [Google Scholar] [CrossRef]
- Schilke, K.F.; McGuire, J. Detection of nisin and fibrinogen adsorption on poly(ethylene oxide) coated polyurethane surfaces by time-of-flight secondary ion mass spectrometry (TOF-SIMS). J. Colloid Interface Sci. 2011, 358, 14–24. [Google Scholar] [CrossRef]
- Vaidyanathan, S.; Fletcher, J.S.; Lockyer, N.P.; Vickerman, J.C. TOF-SIMS investigation of Streptomyces coelicolor, a mycelial bacterium. Appl. Surf. Sci. 2008, 255, 922–925. [Google Scholar] [CrossRef]
- Baldwin, P.M.; Melia, C.D.; Davies, M.C. The Surface Chemistry of Starch Granules Studied by Time-of-Flight Secondary Ion Mass Spectrometry. J. Cereal Sci. 1997, 26, 329–346. [Google Scholar] [CrossRef]
- Heim, C.; Sjövall, P.; Lausmaa, J.; Leefmann, T.; Thiel, V. Spectral characterisation of eight glycerolipids and their detection in natural samples using time-of-flight secondary ion mass spectrometry. Rapid Commun. Mass Spectrom. 2009, 23, 2741–2753. [Google Scholar] [CrossRef]
- Robinson, M.A.; Graham, D.J.; Morrish, F.; Hockenbery, D.; Gamble, L.J. Lipid analysis of eight human breast cancer cell lines with ToF-SIMS. Biointerphases 2015, 11, 02A303. [Google Scholar] [CrossRef]
- Vaidyanathan, S.; Fletcher, J.S.; Jarvis, R.M.; Henderson, A.; Lockyer, N.P.; Goodacre, R.; Vickerman, J.C. Explanatory multivariate analysis of ToF-SIMS spectra for the discrimination of bacterial isolates. Analyst 2009, 134, 2352–2360. [Google Scholar] [CrossRef]
- Biesinger, M.C.; Miller, D.J.; Harbottle, R.R.; Possmayer, F.; McIntyre, N.S.; Petersen, N.O. Imaging lipid distributions in model monolayers by ToF-SIMS with selectively deuterated components and principal components analysis. Appl. Surf. Sci. 2006, 252, 6957–6965. [Google Scholar] [CrossRef]
- Tervahattu, H.; Juhanoja, J.; Kupiainen, K. Identification of an organic coating on marine aerosol particles by TOF-SIMS. J. Geophys. Res. Atmos. 2002, 107, ACH 18-1–ACH 18-7. [Google Scholar] [CrossRef]
- Boulton, A.; Fornasiero, D.; Ralston, J. Characterisation of sphalerite and pyrite flotation samples by XPS and ToF-SIMS. Int. J. Miner. Process. 2003, 70, 205–219. [Google Scholar] [CrossRef]
- Hart, B.; Biesinger, M.; Smart, R.S. Improved statistical methods applied to surface chemistry in minerals flotation. Miner. Eng. 2006, 19, 790–798. [Google Scholar] [CrossRef]
- Kalegowda, Y.; Harmer, S.L. Chemometric and Multivariate Statistical Analysis of Time-of-Flight Secondary Ion Mass Spectrometry Spectra from Complex Cu–Fe Sulfides. Anal. Chem. 2012, 84, 2754–2760. [Google Scholar] [CrossRef] [PubMed]
- Kalegowda, Y.; Harmer, S.L. Classification of time-of-flight secondary ion mass spectrometry spectra from complex Cu–Fe sulphides by principal component analysis and artificial neural networks. Anal. Chim. Acta 2013, 759, 21–27. [Google Scholar] [CrossRef] [PubMed]
- Khmeleva, T.N.; Georgiev, T.V.; Jasieniak, M.; Skinner, W.M.; Beattie, D.A. XPS and ToF-SIMS study of a chalcopyrite–pyrite–sphalerite mixture treated with xanthate and sodium bisulphite. Surf. Interface Anal. 2005, 37, 699–709. [Google Scholar] [CrossRef]
- Berman, E.S.F.; Kulp, K.S.; Knize, M.G.; Wu, L.; Nelson, E.J.; Nelson, D.O.; Wu, K.J. Distinguishing Monosaccharide Stereo- and Structural Isomers with TOF-SIMS and Multivariate Statistical Analysis. Anal. Chem. 2006, 78, 6497–6503. [Google Scholar] [CrossRef][Green Version]
- Jungnickel, H.; Jones, E.A.; Lockyer, N.P.; Oliver, S.G.; Stephens, G.M.; Vickerman, J.C. Application of TOF-SIMS with Chemometrics to Discriminate between Four Different Yeast Strains from the Species Candida glabrata and Saccharomyces cerevisiae. Anal. Chem. 2005, 77, 1740–1745. [Google Scholar] [CrossRef]
- Pradier, C.M.; Rubio, C.; Poleunis, C.; Bertrand, P.; Marcus, P.; Compère, C. Surface Characterization of Three Marine Bacterial Strains by Fourier Transform IR, X-ray Photoelectron Spectroscopy, and Time-of-Flight Secondary-Ion Mass Spectrometry, Correlation with Adhesion on Stainless Steel Surfaces. J. Phys. Chem. B 2005, 109, 9540–9549. [Google Scholar] [CrossRef]















Disclaimer/Publisher’s Note: The statements, opinions and data contained in all publications are solely those of the individual author(s) and contributor(s) and not of MDPI and/or the editor(s). MDPI and/or the editor(s) disclaim responsibility for any injury to people or property resulting from any ideas, methods, instructions or products referred to in the content. |
© 2025 by the authors. Licensee MDPI, Basel, Switzerland. This article is an open access article distributed under the terms and conditions of the Creative Commons Attribution (CC BY) license.
Share and Cite
La Vars, S.M.; Watts, B.; Quinton, J.S.; Harmer, S.L. Attachment of L. ferrooxidans to Pyrite Mineral Surfaces. Microorganisms 2026, 14, 40. https://doi.org/10.3390/microorganisms14010040
La Vars SM, Watts B, Quinton JS, Harmer SL. Attachment of L. ferrooxidans to Pyrite Mineral Surfaces. Microorganisms. 2026; 14(1):40. https://doi.org/10.3390/microorganisms14010040
Chicago/Turabian StyleLa Vars, Sian M., Benjamin Watts, Jamie S. Quinton, and Sarah L. Harmer. 2026. "Attachment of L. ferrooxidans to Pyrite Mineral Surfaces" Microorganisms 14, no. 1: 40. https://doi.org/10.3390/microorganisms14010040
APA StyleLa Vars, S. M., Watts, B., Quinton, J. S., & Harmer, S. L. (2026). Attachment of L. ferrooxidans to Pyrite Mineral Surfaces. Microorganisms, 14(1), 40. https://doi.org/10.3390/microorganisms14010040

