Sign in to use this feature.

Years

Between: -

Subjects

remove_circle_outline
remove_circle_outline
remove_circle_outline
remove_circle_outline
remove_circle_outline
remove_circle_outline
remove_circle_outline
remove_circle_outline
remove_circle_outline

Journals

remove_circle_outline
remove_circle_outline
remove_circle_outline
remove_circle_outline
remove_circle_outline
remove_circle_outline
remove_circle_outline
remove_circle_outline
remove_circle_outline
remove_circle_outline
remove_circle_outline
remove_circle_outline
remove_circle_outline

Article Types

Countries / Regions

remove_circle_outline
remove_circle_outline
remove_circle_outline
remove_circle_outline
remove_circle_outline
remove_circle_outline
remove_circle_outline
remove_circle_outline
remove_circle_outline
remove_circle_outline

Search Results (2,351)

Search Parameters:
Keywords = Terrain analysis

Order results
Result details
Results per page
Select all
Export citation of selected articles as:
22 pages, 7445 KB  
Article
High-Performance Parallel Direct Georeferencing for Massive ULS LiDAR Measurements
by Mei Yu, Yuhao Zhou, Hua Liu and Bo Liu
Remote Sens. 2026, 18(6), 949; https://doi.org/10.3390/rs18060949 - 20 Mar 2026
Abstract
The rapid increase in point density and acquisition rate of UAV laser scanning (ULS) systems has shifted the primary bottleneck of LiDAR workflows from data acquisition to post-processing, particularly during direct georeferencing of massive LiDAR measurements. This study presents a systematic evaluation of [...] Read more.
The rapid increase in point density and acquisition rate of UAV laser scanning (ULS) systems has shifted the primary bottleneck of LiDAR workflows from data acquisition to post-processing, particularly during direct georeferencing of massive LiDAR measurements. This study presents a systematic evaluation of parallel computing strategies for accelerating ULS direct georeferencing while preserving geodetic accuracy. Two georeferencing models are investigated: (1) a rigorous model that strictly follows the full geodetic transformation chain from sensor owned coordinates system (SOCS) to projected map coordinates, and (2) an approximate model that incorporates meridian convergence angle compensation and preprocessing of platform trajectories to reduce per-point computational complexity. For each model, a shared-memory multicore CPU implementation based on OpenMP and a heterogeneous GPU implementation based on CUDA are designed. Experiments were conducted on seven real-world ULS datasets, ranging from 2.9 × 107 to 7.0 × 108 points and covering diverse terrain types. Accuracy analysis shows that, in typical urban, plain, and industrial scenarios, the approximate model achieves millimeter-level mean errors and centimeter-level RMSEs relative to the rigorous model, satisfying the requirements of most engineering surveying applications. Performance evaluation demonstrates that parallelization yields substantial speedups: OpenMP-based method achieves 7–9 times acceleration, while GPU computing attains up to 24.6 times acceleration for the rigorous model and up to 16.7 times for the approximate model. The results highlight the complementary strengths of the two models and provide practical guidance for selecting accuracy-efficiency trade-offs in large-scale ULS production workflows. Full article
(This article belongs to the Special Issue Point Cloud Data Analysis and Applications)
26 pages, 3893 KB  
Article
Toward Robust Mineral Prospectivity Mapping: A Transformer-Based Global–Local Fusion Framework with Application to the Xiadian Gold Deposit
by Xiaoming Huang, Pancheng Wang and Qiliang Liu
Minerals 2026, 16(3), 331; https://doi.org/10.3390/min16030331 (registering DOI) - 20 Mar 2026
Abstract
As mineral exploration increasingly targets deeper and more geologically complex terrains, the need for reliable predictive models becomes critical to mitigating exploration risk and improving cost efficiency. Correspondingly, the effectiveness of deep mineral exploration strategies depends substantially on the effectiveness and precision of [...] Read more.
As mineral exploration increasingly targets deeper and more geologically complex terrains, the need for reliable predictive models becomes critical to mitigating exploration risk and improving cost efficiency. Correspondingly, the effectiveness of deep mineral exploration strategies depends substantially on the effectiveness and precision of three-dimensional mineral prospectivity mapping (3D MPM) models. However, the inherent spatial non-stationarity—where ore grade variability changes across geological domains—and the strongly skewed distribution of high-grade samples present a dual challenge. Conventional methods, which primarily rely on mean-based regression, often struggle to adequately address this dual challenge, limiting their predictive performance in complex geological settings. To address these issues, this paper proposes a pinball-loss-guided, global–local fusion Transformer model within a unified framework for 3D MPM. It leverages a multi-head self-attention mechanism with global–local fusion to capture long-range dependencies and global geological contexts, while incorporating local feature extraction modules to adaptively model spatially varying mineralization controls, jointly optimized through a pinball loss function to address mineralization distribution skewness. The proposed framework was first rigorously evaluated using the Xiadian gold deposit as a case study. Bootstrap analysis of the ablation experiments confirmed its predictive performance in terms of quantile-specific accuracy and prediction interval (PI) calibration. Ten rounds of random data splits provided further confirmation of the model’s stability. Subsequently, the validated model was applied to prospectivity mapping in unexplored regions, leading to the delineation of several high-potential exploration targets. Finally, comparative analyses with state-of-the-art machine learning methods were conducted, which further validated the competitive fitting capability of the proposed framework. Full article
(This article belongs to the Special Issue 3D Mineral Prospectivity Modeling Applied to Mineral Deposits)
42 pages, 5059 KB  
Article
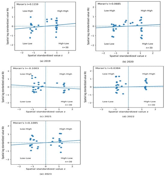
Spatiotemporal Evolution and Influencing Factors of Agricultural Biomass Recycling Efficiency Based on a Three-Stage Super-Efficiency SBM Model
by Shuangyan Li, Yachong Zhang and Yuanhai Xie
Sustainability 2026, 18(6), 3050; https://doi.org/10.3390/su18063050 - 20 Mar 2026
Abstract
Agricultural biomass recycling efficiency is central to advancing the green and sustainable transition of agriculture. Drawing on panel data for 30 Chinese provinces from 2019 to 2023, this study measures recycling efficiency using a three-stage super-efficiency SBM model with undesirable output and examines [...] Read more.
Agricultural biomass recycling efficiency is central to advancing the green and sustainable transition of agriculture. Drawing on panel data for 30 Chinese provinces from 2019 to 2023, this study measures recycling efficiency using a three-stage super-efficiency SBM model with undesirable output and examines its determinants with a panel Tobit model. The second-stage SFA indicates that the effects of external conditions on input slacks are input-specific. In particular, GDP is statistically significant only in the biomass-generation slack equation, whereas topographic relief and rural road network density do not show robust associations with any slack measure once controls are included. After removing the influence of environmental factors and random shocks, the overall national level of agricultural biomass recycling efficiency remains moderate. The national mean Stage 3 efficiency decreased from 0.586 in 2019 to 0.427 in 2022 and recovered to 0.543 in 2023. The five-year average was 0.510, which is close to the Stage 1 average of 0.503. Spatial analysis indicates weak global spatial autocorrelation, with only occasional local clustering. The efficiency centroid oscillated during the study period rather than following a one-way migration path, with a total displacement of 70.05 km. The determinant analysis indicates that the number of specialised agricultural machinery has the most stable positive association with recycling efficiency, while other policy, market, and human capital variables do not show robust significance in the short panel. These findings underline the need to align equipment deployment and collection systems with local terrain and transport conditions, expand machinery leasing and service provision, and strengthen capacity building in low-efficiency regions. Establishing a national information sharing and dispatch platform would facilitate cross-regional resource flows and more efficient allocation, while improving local service outlets would make participation more convenient for farmers and reduce transaction costs. Full article
Show Figures

Figure 1

24 pages, 7543 KB  
Article
Integration of UAV Photogrammetry and GIS for Digital Elevation Modeling in Urban Land Use Planning
by Olha Kulikovska, Ihor Kolb, Oleksandra Kovalyshyn, Pavlo Kolodiy, Roman Stupen, Karolina Trzyniec, Vyacheslav Vasyuk and Taras Hutsol
Sustainability 2026, 18(6), 3047; https://doi.org/10.3390/su18063047 - 20 Mar 2026
Abstract
This paper presents a methodological framework for integrating UAV-based photogrammetry and GIS technologies to generate a high-accuracy digital elevation model (DEM) for urban land-use planning. The study was conducted in an urbanized area characterized by heterogeneous topography, mixed vegetation cover, and fragmented land [...] Read more.
This paper presents a methodological framework for integrating UAV-based photogrammetry and GIS technologies to generate a high-accuracy digital elevation model (DEM) for urban land-use planning. The study was conducted in an urbanized area characterized by heterogeneous topography, mixed vegetation cover, and fragmented land use, which complicate high-resolution terrain modeling. UAV surveys were performed using multiple photogrammetric blocks with centimeter-level ground sample distance and a dense ground control network supported by geoid-based height corrections. The resulting DEM was independently validated using control points derived from large-scale topographic data. The achieved vertical accuracy (RMSE ≈ 0.25 m) confirms the applicability of UAV-derived DEMs for large-scale mapping (1:1000–1:2000) and urban spatial analysis. Unlike studies focused on runoff simulation, this work emphasizes the accuracy-controlled generation and validation of DEMs as a primary spatial dataset for urban planning applications. The results demonstrate that DEM accuracy depends strongly on flight planning, ground control distribution, and hybrid automatic–manual point cloud refinement. Full article
(This article belongs to the Special Issue Sustainable Agricultural Systems: Energy, Waste, and Soil)
Show Figures

Figure 1

25 pages, 7911 KB  
Article
A High-Resolution Dataset for Arabica Coffee Distribution in Yunnan, Southwestern China
by Hongyu Shan, Tao Ye, Zhe Chen, Wenzhi Zhao, Xuehong Chen and Hao Sun
Remote Sens. 2026, 18(6), 940; https://doi.org/10.3390/rs18060940 - 19 Mar 2026
Abstract
Coffee, as a perennial commodity crop, plays a crucial role in global agricultural markets, regional livelihoods, and poverty alleviation. Yunnan Province of China (21°8′–29°15′N) represents the northernmost coffee-growing region worldwide, and its production has gained increasing attention in international markets. However, the absence [...] Read more.
Coffee, as a perennial commodity crop, plays a crucial role in global agricultural markets, regional livelihoods, and poverty alleviation. Yunnan Province of China (21°8′–29°15′N) represents the northernmost coffee-growing region worldwide, and its production has gained increasing attention in international markets. However, the absence of a spatially explicit and high-resolution coffee distribution dataset has constrained environmental assessment, land-use analysis, and policy-making in this subtropical and marginal growing region. In this study, we developed the first 10 m resolution Arabica coffee distribution dataset for Yunnan Province for the year 2023 using Sentinel-2 optical imagery and Shuttle Radar Topographic Mission (SRTM) terrain data within the Google Earth Engine (GEE) platform. An object-based workflow was implemented to generate spatially coherent mapping units, followed by supervised classification to identify coffee plantations. The resulting map achieved an overall accuracy (OA) of 0.87, with user accuracy (UA), producer accuracy (PA), and F1 score of 0.90, 0.96, and 0.93 for the coffee class, demonstrating its reliability for regional-scale applications. Feature contribution analysis indicates that shortwave infrared (SWIR) and red-edge information, particularly during the dry season, plays an important role in coffee discrimination. These results enhance confidence in the ecological relevance and stability of the mapping framework. The proposed workflow provides a practical and transferable approach for perennial crop mapping in complex mountainous environments. More importantly, the generated high-resolution coffee distribution dataset establishes a spatial baseline for monitoring land-use dynamics, assessing ecological impacts, and supporting sustainable coffee development in southwestern China. Full article
(This article belongs to the Special Issue AI-Driven Mapping Using Remote Sensing Data)
Show Figures

Figure 1

35 pages, 11244 KB  
Article
Cloud-Model-Based Evaluation of Reference Evapotranspiration Variability for Reference Crops Within the Xizang Plateau’s Agricultural Regions
by Qiang Meng, Jingxia Liu, Peng Chen, Junzeng Xu, Qiang He, Yangzong Cidan, Yun Su, Yuanzhi Zhang and Lijiang Huang
Water 2026, 18(6), 730; https://doi.org/10.3390/w18060730 - 19 Mar 2026
Abstract
Against the backdrop of ongoing climate change, the Qinghai–Tibet Plateau, a region highly sensitive to climatic variation, exhibits intricate spatiotemporal patterns in reference crop evapotranspiration (ETO), with significant implications for regional water-resource planning. This study selected four agro-climatic zones across the [...] Read more.
Against the backdrop of ongoing climate change, the Qinghai–Tibet Plateau, a region highly sensitive to climatic variation, exhibits intricate spatiotemporal patterns in reference crop evapotranspiration (ETO), with significant implications for regional water-resource planning. This study selected four agro-climatic zones across the plateau region (TSA, TSH, TAZ, and WCH). Long-term daily observations from 28 meteorological stations were used to estimate ETO via the FAO 56 Penman–Monteith equation. This extensive dataset enabled robust trend analysis using the Mann–Kendall test, alongside a cloud-model framework, and analyses of sensitivity and contributions to evaluate ETO’s spatiotemporal evolution, its distributional uncertainty, and the underlying drivers. Results reveal pronounced regional heterogeneity in the interannual variability of ETO. Annual ETO declined in TSH and TSA (trend rates of −1.12 and −6.58 mm·10a−1, respectively) and increased in TAZ and WCH (15.76 and 10.74 mm·10a−1, respectively). At monthly and seasonal timescales, ETO exhibited an unimodal pattern, with the greatest stability in winter and spring and lower stability in summer and autumn. The cloud-model parameter He indicates that ETO stability is greatest in TSH and weakest in WCH, with He values of 7.15 and 12.29 mm, respectively. Contribution-rate analyses identify Tmax and Tmean as the principal determinants of rising ETO across all study zones, reflecting the largest individual contributions. Temperature-related factors together account for the majority of ETO variability across the regions, with their absolute contributions ranging from 5.61% to 8.63%, well above those of aerodynamic factors (0.62–1.78%). Stability assessments indicate that ETO is generally more unstable than its meteorological drivers, with substantial regional disparities, implying that ETO evolution cannot be explained by a single controlling factor. Overall, the study characterizes the uncertainty in ETO variations under complex terrain, highlights the value of the cloud model for refined hydrological assessments, and provides a scientific basis for adaptive agricultural water-resource management in the region. Full article
(This article belongs to the Section Water, Agriculture and Aquaculture)
Show Figures

Figure 1

22 pages, 3785 KB  
Article
Determination and Analysis of Martian Height Anomalies Using GMM-3 and JGMRO_120D Gravity Field Models
by Dongfang Zhao, Houpu Li and Shaofeng Bian
Appl. Sci. 2026, 16(6), 2982; https://doi.org/10.3390/app16062982 - 19 Mar 2026
Abstract
Height anomaly, defined as the separation between the quasi-geoid and the reference ellipsoid, is fundamental to quasi-geoid refinement. While the Goddard Mars Model-3 (GMM-3) developed by NASA’s Goddard Space Flight Center (GSFC) and the JPL Mars gravity field MRO120D (JGMRO_120D) model developed by [...] Read more.
Height anomaly, defined as the separation between the quasi-geoid and the reference ellipsoid, is fundamental to quasi-geoid refinement. While the Goddard Mars Model-3 (GMM-3) developed by NASA’s Goddard Space Flight Center (GSFC) and the JPL Mars gravity field MRO120D (JGMRO_120D) model developed by NASA’s Jet Propulsion Laboratory (JPL) stand as two representative Martian gravity field models, the systematic differences between them and their associated physical implications remain insufficiently quantified. This study establishes a validated computational framework for Martian height anomaly determination using updated physical parameters and spherical harmonic expansions. Validation against terrestrial datasets confirms high reliability (standard deviation: 0.0695 m relative to International Centre for Global Earth Models (ICGEM)), ensuring confidence in subsequent analysis. Our analysis reveals three critical findings: (1) Systematic latitudinal biases between GMM-3 and JGMRO_120D exhibit a monotonic gradient from −1.3 m near the equator to +3.9 m at the North Pole, suggesting differential parameterization of polar mass loading or tidal models between the two centers. (2) Polar clustering of uncertainties and outliers exceeding the 95th percentile (>7 m) concentrate non-randomly at latitudes >60°, which is attributed to sparse satellite tracking and seasonal ice cap modeling limitations. (3) There is error amplification in lowland terrains, where relative errors exceed 60% in flat regions (near-zero anomalies), posing critical risks for precision landing missions. While global consistency between models is high (R2 = 0.9999), the identified discrepancies provide new constraints on Mars’s geophysical models and essential guidance for future gravity field improvements and mission planning. Full article
(This article belongs to the Section Earth Sciences)
Show Figures

Figure 1

24 pages, 5923 KB  
Article
UAV-Based Soil Erosion Assessment in Mediterranean Agricultural Orchards
by Tijs de Pagter, João Nuno Gomes Vicente Canedo, Anton Pijl, Luisa Coelho, João Pedro Nunes and Sergio Prats
Agronomy 2026, 16(6), 645; https://doi.org/10.3390/agronomy16060645 - 19 Mar 2026
Abstract
Unmanned Aerial Vehicle (UAV) imagery has become an important tool for erosion monitoring, but little is known about its application in Mediterranean agricultural systems such as vineyards and olive groves. In this study, drone flights were conducted in vineyards and olive groves where [...] Read more.
Unmanned Aerial Vehicle (UAV) imagery has become an important tool for erosion monitoring, but little is known about its application in Mediterranean agricultural systems such as vineyards and olive groves. In this study, drone flights were conducted in vineyards and olive groves where mulch and biochar treatments had been applied. Digital terrain models (DTMs) and orthomosaics were constructed using a photogrammetry workflow, and model error was determined via global positioning system (GPS) transects. Erosion was assessed using Digital elevation models of Difference (DoD) and compared with field-based erosion plot measurements. Explanatory variables for erosion (soil roughness, slope length, steepness, vegetation cover) were derived from DTMs and orthomosaics and were evaluated in a multiple linear regression model. Although direct measurement of erosion from the DoDs was difficult, this was primarily influenced by the unexpectedly low erosion rates during the study period, and the high root mean square error (RMSE) of the DTMs. Significant differences in DTM-derived variables were found between study areas, and especially between areas with organic and integrated management, even though treatments showed similar patterns. The multiple linear regression model demonstrated strong explanatory power, accounting for a large part of the variation in measured erosion using the UAV-derived variables (R2 = 0.81). Slope and slope length were the most important predictors of erosion together with the interaction between these two variables. The results suggest that soil erosion in the study areas was mostly determined by topographic and management factors, rather than the applied treatments. This study highlights the value of UAV imagery in advancing the understanding of erosion processes in Mediterranean agricultural systems, while also identifying the challenge of accurately measuring erosion from DoDs under conditions of low erosion rates. Full article
(This article belongs to the Special Issue Soil Health and Properties in a Changing Environment—2nd Edition)
Show Figures

Figure 1

24 pages, 4055 KB  
Article
Design and Experimental Study of Rope-Type Moso Bamboo Transportation Equipment
by Hang Zheng, Hongliang Huang, Wenfu Zhang, Xianglei Xue, Ning Ren, Zhaowei Hu, Jiezheng Zheng and Guohong Yu
Forests 2026, 17(3), 371; https://doi.org/10.3390/f17030371 - 16 Mar 2026
Viewed by 134
Abstract
To address the limitations regarding poor adaptability to complex forest environments as well as high installation and operational costs in existing mountain transportation equipment, a modular cable-type equipment for moso bamboo transportation was designed based on the terrain characteristics of steep bamboo forests [...] Read more.
To address the limitations regarding poor adaptability to complex forest environments as well as high installation and operational costs in existing mountain transportation equipment, a modular cable-type equipment for moso bamboo transportation was designed based on the terrain characteristics of steep bamboo forests and specific transportation requirements. This study first presents the overall structure and working principle of the transportation equipment. Next, a theoretical analysis and component selection were conducted for critical parts such as the wire rope, supporting components, wire-rope-driven devices, and hydraulic systems. Then, the static characteristics of the supporting components and the vibration characteristics of the wire rope were simulated and analyzed. Finally, performance testing of the equipment was conducted, focusing on transportation productivity and machine utilization. The results showed that the maximum deformation of the supporting components was 1.75 mm, occurring at the lower roller–rail contact region. During unloading, the first-order principal vibration amplitude of the wire rope had the greatest impact at the mid-span position, with a value of 0.27 m. The vibration frequency of the wire rope during operation is influenced by the its initial tension, load mass, and attachment distance, with the first-order frequency range approximately between 0.85 and 3.90 Hz. Within this frequency range, the bouncing excitation caused by moso bamboo does not induce resonance in the wire rope. The transportation productivity of the equipment was 2.61 tons per hour, with the machine utilization rate exceeding 95%. This study indicates that the designed cable-type equipment effectively meets the requirements for moso bamboo transportation in complex forest environments. Full article
(This article belongs to the Section Forest Operations and Engineering)
Show Figures

Figure 1

21 pages, 3597 KB  
Article
Responses of Microbial Community Structure and Carbon, Nitrogen, and Sulfur Metabolic Potential in the Chishui River to Disturbances from the Characteristic Baijiu Industry
by Lan Zhang, Song Liu, Pinhua Xia, Hui Wang, Bi Chen, Chun Qing and Xianfei Huang
Water 2026, 18(6), 688; https://doi.org/10.3390/w18060688 - 15 Mar 2026
Viewed by 147
Abstract
Microbial community structure and its carbon, nitrogen, and sulfur metabolic potentials are playing crucial roles in biogeochemical cycles within river ecosystems. However, in karst terrain regions, the impact of the distinctive baijiu industry on these ecosystems remains incompletely understood. This study integrates hydrogeochemical [...] Read more.
Microbial community structure and its carbon, nitrogen, and sulfur metabolic potentials are playing crucial roles in biogeochemical cycles within river ecosystems. However, in karst terrain regions, the impact of the distinctive baijiu industry on these ecosystems remains incompletely understood. This study integrates hydrogeochemical and metagenomic techniques to elucidate how microbial communities and their metabolic potentials respond to the baijiu industry. The results indicate that microbial community richness was higher in the downstream section than in the upstream and core zones. Microbial network modularity decreased from 0.832 upstream to 0.439 downstream, indicating reduced network stability. The migration rate decreased from upstream to downstream, suggesting that species diffusion limitation was gradually enhanced. The NST index gradually decreased from upstream to downstream, reflecting a weakening of random processes and strengthening of deterministic processes within the community. We found significant enrichment of genes associated with dissimilatory nitrate reduction, sulfur oxidation, carbon fixation, and methanogenesis in the core zone, whereas the abundance of denitrification genes decreased. Environmental factor analysis revealed that pH, DO, and elevation are the key hydrochemical parameters driving changes in microbial community structure and metabolic functions. This study reveals the potential impact mechanisms of the baijiu industry on karst river ecosystems from the perspectives of microbial community ecology and metabolic functions, providing a scientific basis for watershed ecological conservation and sustainable management. Full article
(This article belongs to the Section Ecohydrology)
Show Figures

Figure 1

20 pages, 2758 KB  
Article
A Dynamic Risk Assessment System for Expressway Lane-Changing: Integrating Bayesian Networks and Markov Chains Under High-Density Traffic
by Quantao Yang and Peikun Li
Systems 2026, 14(3), 306; https://doi.org/10.3390/systems14030306 - 15 Mar 2026
Viewed by 139
Abstract
In high-density expressway environments, lane-changing (LC) maneuvers act as stochastic perturbations that compromise the hydrodynamic stability of traffic flow, leading to safety hazards and operational delays. While existing literature has extensively modeled crash severity in static complex environments (e.g., tunnels and mountainous terrains), [...] Read more.
In high-density expressway environments, lane-changing (LC) maneuvers act as stochastic perturbations that compromise the hydrodynamic stability of traffic flow, leading to safety hazards and operational delays. While existing literature has extensively modeled crash severity in static complex environments (e.g., tunnels and mountainous terrains), there remains a critical deficiency in quantifying the dynamic, systemic risks induced by LC maneuvers under saturation conditions. To address this gap, this study proposes a novel Systemic Risk Assessment Framework. First, a Hidden Markov Model (HMM) is employed to decode the latent state transitions of following vehicles, quantifying the systemic consequence of LC maneuvers as “operational delay” based on traffic wave theory. Second, a Bayesian Network (BN) is constructed to infer the causal probability of risk, integrating geometric proxies such as insertion angle with kinematic variables. Validated with real-world trajectory data, the model achieves high accuracy in identifying risk accumulation precursors. This research contributes to the field of transportation systems by shifting the risk paradigm from static collision prediction to dynamic system reliability analysis, offering theoretical support for Connected and Autonomous Vehicle (CAV) decision logic. Full article
Show Figures

Figure 1

29 pages, 27328 KB  
Article
Robust-Registration-Based Systematic Error Correction for Time-Series Point Clouds
by Chao Zhu, Fuquan Tang, Qian Yang, Jingxiang Li, Junlei Xue, Jiawei Yi and Yu Su
Appl. Sci. 2026, 16(6), 2776; https://doi.org/10.3390/app16062776 - 13 Mar 2026
Viewed by 137
Abstract
Accurate registration of multi-temporal LiDAR point clouds is essential for reliable monitoring of mining subsidence. Systematic errors in point clouds acquired at different times can arise from GNSS/INS positioning drift, sensor calibration bias, and differences in observation geometry. These errors typically manifest as [...] Read more.
Accurate registration of multi-temporal LiDAR point clouds is essential for reliable monitoring of mining subsidence. Systematic errors in point clouds acquired at different times can arise from GNSS/INS positioning drift, sensor calibration bias, and differences in observation geometry. These errors typically manifest as global reference shifts or gradual distortions. When such errors are superimposed on real terrain changes, they can mask subsidence signals and introduce observational pseudo-differences, thereby increasing the difficulty of separating actual subsidence from artifacts. To address this issue, this study proposes Robust-Registration-Based Systematic Error Correction for Time-Series Point Clouds (RR-SEC), which establishes a consistent reference framework across epochs. The method does not assume that stable areas remain strictly unchanged. Instead, it identifies regions whose local change patterns are more temporally consistent using an information entropy analysis of multi-temporal differences. Under complex terrain, the method selects points with lower difference entropy as stable control points and uses them to constrain the registration process. It then performs Generalized Iterative Closest Point (GICP) rigid registration under these constraints to estimate the overall three-dimensional translation and rotation between point clouds from different periods. The estimated transformation is applied to the entire point cloud to correct inter-epoch reference mismatches and unify the coordinate reference across all epochs. Comprehensive validation using simulated complex terrain data containing rigid reference biases and non-rigid deformations, as well as UAV LiDAR data collected from the MuduChaideng Coal Mine, shows that, compared with the baseline GICP method, RR-SEC reduces alignment errors. It decreases the mean residual in stable areas by approximately 85%. The subsidence values computed from the corrected point clouds are more consistent with measured values, and the spatial deformation patterns are easier to interpret. RR-SEC demonstrates robust performance and can serve as a practical approach to improve the accuracy of deformation monitoring in mining areas and potentially other geoscientific applications. Full article
(This article belongs to the Section Earth Sciences)
Show Figures

Figure 1

27 pages, 12169 KB  
Article
Spatial–Temporal Patterns of Cultural Heritage in the Three Gorges of the Yangtze River and Their Relationship with the Natural Environment
by Yinghuaxia Wu, Huasong Mao and Yu Cheng
Heritage 2026, 9(3), 110; https://doi.org/10.3390/heritage9030110 - 12 Mar 2026
Viewed by 209
Abstract
Against the backdrop of a gradual shift in the focus of cultural heritage (CH) conservation and utilization toward the integrated system formed by CH and its surrounding environment as well as regional systems, research on the coordinated protection of nature and culture to [...] Read more.
Against the backdrop of a gradual shift in the focus of cultural heritage (CH) conservation and utilization toward the integrated system formed by CH and its surrounding environment as well as regional systems, research on the coordinated protection of nature and culture to promote regional high-quality development has become a new trend. However, systematic summaries of the spatial–temporal distribution of CH in cross-regional typical geomorphic units at the river basin scale and their correlation with the natural environment remain insufficient. This study takes 387 Cultural Relics Protection Units in the Three Gorges of the Yangtze River (the Three Gorges region) as the research objects, utilizing GIS spatial analysis technology to examine the impact of the natural environment on CH across different periods and types. The theory of time-depth is introduced to reveal the layering mechanisms and underlying cultural logics. Coupled with the Minimum Cumulative Resistance (MCR) model, this study constructs a cultural corridor network and proposes spatial planning strategies. The findings are as follows: (1) The absolute core area for the distribution of CH across all periods remains the gentle slope zone near the river, characterized by elevations below 500 m, slopes within 25°, and distances from water systems within 1 km. However, the adaptive scope exhibits a diachronic evolution from core accumulation to peripheral expansion. (2) Different types of CH exhibited distinct natural adaptation strategies and vertical accumulation. Settlement Sites in the Before Qin Dynasty Period formed the foundational layer of survival rationality, while Ordinary Tombs in the Qin–Yuan Dynasty Period reinforced sedentism. Ancient Architecture in the Ming–Qing Dynasty Period underwent a transformation from “adapting to nature” to “reconstructing nature” as a product of environmental construction. Modern and Contemporary Significant Historical Sites and Representative Buildings in the After Qing Dynasty Period are characterized by a ruptured insertion on steep slopes, inscribing revolutionary memory onto space. The main stream of the Yangtze River serves as the core area of continuous deposition, while the extremely steep slopes form a distinctive stratigraphic accumulation of precipitous terrain. (3) Based on these distribution patterns, the study further proposes a spatial framework for CH called “One Corridor, Three Wings.” This framework uses the main stream of the Yangtze River as the spatial–temporal axis, linking the four core overlapping nodes of Fengjie, Wushan, Badong, and Xiling, supplemented by three secondary cultural clusters of the red heritage sites in southern Badong, the ancient town along the Daning River in Wushan, and the fortress sites in the Xiling–Yiling area. This research not only reveals the evolutionary path of CH in the Three Gorges region, but also provides a scientific basis for the systematic conservation and differentiated utilization of regional CH. Furthermore, it serves as a planning foundation and strategic reference for planning the Yangtze River National Cultural Park, as well as for the integrated preservation and utilization of river basin CH and linear CH with the aim of coordinated natural and cultural conservation. Full article
Show Figures

Figure 1

33 pages, 11613 KB  
Article
Full-Link Background Radiation Suppression and Detection Capability Optimization of Mid-Wave Infrared Hyperspectral Remote Sensing in Complex Scenarios
by Yun Wang, Bingqi Qiu, Huairong Kang, Xuanbin Liu, Mengyang Chai, Huijie Han and Yinnian Liu
Photonics 2026, 13(3), 271; https://doi.org/10.3390/photonics13030271 - 11 Mar 2026
Viewed by 209
Abstract
To address the technical bottlenecks of strong background radiation interference and weak target signals in mid-wave infrared (MWIR) hyperspectral mineral detection over complex terrain, this paper proposes a “full-link background radiation suppression” methodological framework. A coupled illumination-terrain-atmosphere-sensor radiative transfer model is constructed to [...] Read more.
To address the technical bottlenecks of strong background radiation interference and weak target signals in mid-wave infrared (MWIR) hyperspectral mineral detection over complex terrain, this paper proposes a “full-link background radiation suppression” methodological framework. A coupled illumination-terrain-atmosphere-sensor radiative transfer model is constructed to systematically quantify how multidimensional parameters—such as observation geometry, surface temperature, elevation, aerosol optical depth, and water vapor content—influence the target background radiation contrast. The findings reveal that daytime observation, lower surface temperature, higher altitude, dry atmosphere, and moderate solar and observation zenith angles are key factors for maximizing the signal-to-noise ratio. Comprehensive optimization analysis demonstrates that observations during midday in autumn and winter achieve optimal performance, with the target background relative contrast potentially enhanced by up to 6.29 times compared to unfavorable conditions such as summer nights. This work elucidates the physical mechanisms governing MWIR hyperspectral detection efficacy in complex scenarios, provides direct parameter-optimization strategies for intelligent mission planning of spaceborne imaging systems, and holds significant value for advancing mineral remote sensing from “passive acquisition” to “cognitive detection”. Full article
Show Figures

Figure 1

28 pages, 14317 KB  
Article
Divergent Terrain Responses to Arctic Warming: A Multi-Decadal Analysis in Kaffiøyra, Svalbard (1985–2023)
by Hong-Son Vo, Chuen-Fa Ni, Yu-Huan Chang, Slawomir Jack Giletycz, Ping-Yu Chang, Nguyen Hoang Hiep and Thai-Vinh-Truong Nguyen
Water 2026, 18(6), 661; https://doi.org/10.3390/w18060661 - 11 Mar 2026
Viewed by 252
Abstract
Arctic regions are experiencing accelerated environmental change, yet integrated assessments of terrain-scale responses remain limited. This study quantifies the spatial-temporal variability of glaciers, shorelines, and outwash plains in Kaffiøyra, Svalbard, Norway, over four decades (1985–2023) using cross-evaluated Landsat and Sentinel imagery. Our results [...] Read more.
Arctic regions are experiencing accelerated environmental change, yet integrated assessments of terrain-scale responses remain limited. This study quantifies the spatial-temporal variability of glaciers, shorelines, and outwash plains in Kaffiøyra, Svalbard, Norway, over four decades (1985–2023) using cross-evaluated Landsat and Sentinel imagery. Our results reveal systematic retreat across all eight glaciers (R2 = 0.83–0.96), with tidewater glaciers experiencing substantially greater terminus area loss (62.8% and 72.1%) compared to land-terminating glaciers (34.5–69.0%). Coastal changes were highly variable: erosion (up to −3.2 m/yr) was most pronounced on shores exposed to southwesterly summer waves, while significant accretion (+13.0 m/yr) occurred near the tidewater glacier terminus. The insignificant outwash changes (−6.4% to +2.7%) despite substantial land-terminating glacier retreat indicate these systems respond to different controls. A moderate negative correlation between glacier terminus area and summer temperatures (r = −0.55 to −0.69) enabled a simple projection model. Diagnostic projections to 2020–2039 showed that both downscaled climate models and extrapolated local data overestimated retreat. However, extrapolated local data proved more accurate, with its projection gap averaging 11% for land-terminating and 46% for tidewater glaciers. The study provides crucial insights into Arctic terrain behaviors, highlighting complex and divergent responses. These findings emphasize the need for enhanced localized monitoring systems through ongoing high-resolution image surveys and planned modeling to understand accelerating polar environmental changes. Full article
(This article belongs to the Special Issue Hydroclimatic Changes in the Cold Regions)
Show Figures

Figure 1

Back to TopTop