Sign in to use this feature.

Years

Between: -

Subjects

remove_circle_outline
remove_circle_outline
remove_circle_outline
remove_circle_outline
remove_circle_outline

Journals

Article Types

Countries / Regions

Search Results (13)

Search Parameters:
Keywords = Taraxacum mongolicum Hand.-Mazz.

Order results
Result details
Results per page
Select all
Export citation of selected articles as:
14 pages, 3446 KB  
Article
Shrub–Herb Plant Configuration Patterns and Their Relationship with Environmental Factors in the Northern and Southern Mountain Regions of Lhasa
by Norzin Tso, Xinyao Li, Junwei Wang, Gusang Qunzong, Shuaishuai Huang, Yonghong Zhou and Ruojin Liu
Forests 2026, 17(1), 41; https://doi.org/10.3390/f17010041 - 27 Dec 2025
Viewed by 431
Abstract
This study explores shrub–herb configuration patterns in the northern and southern mountains of Lhasa and examines associations between slope aspect, soil properties, and plant community composition. By comparing plant communities on shady and sunny slopes (n = 15 plots), we found that [...] Read more.
This study explores shrub–herb configuration patterns in the northern and southern mountains of Lhasa and examines associations between slope aspect, soil properties, and plant community composition. By comparing plant communities on shady and sunny slopes (n = 15 plots), we found that shady slopes supported higher species diversity (Shannon index: 3.62 vs. 3.14) and more even distributions. Exploratory regression analyses suggested that soil moisture, salinity, and pH may be associated with the occurrence patterns of native woody species, though these relationships require validation with larger sample sizes. Principal component analysis identified several recurring shrub–herb associations, including Rosa sericea Lindl. with Cynoglossum amabile Stapf & Drummond and Argentina anserine (L.) Rydb., and Cotoneaster adpressus Bois with Taraxacum mongolicum Hand.-Mazz. and Carex myosuroides Vill. These associations exhibited higher co-occurrence frequencies across plots. Our findings provide preliminary guidance for shrub–herb configuration and ecological restoration in this region. This study offers baseline data and hypotheses for vegetation restoration, forestry greening, and ecological protection in the northern and southern mountain regions of Lhasa, though expanded research is needed to validate these exploratory patterns. Full article
(This article belongs to the Special Issue Growing the Urban Forest: Building Our Understanding)
Show Figures

Figure 1

16 pages, 5501 KB  
Article
Artificial Domestication Enhances Bioactive Profiles and Antioxidant Capacity in Two Wild Asteraceae Plants
by Aihong Zheng, Hanfeng Gao, Zhixin Wei, Dongyang Sun, Shuyu Han, Xuling Ren, Xuhua Wan, Yonggang Cao, Keshun Wu and Bo Sun
Plants 2025, 14(23), 3662; https://doi.org/10.3390/plants14233662 - 1 Dec 2025
Viewed by 500
Abstract
Taraxacum mongolicum Hand.-Mazz. and Sonchus oleraceus L. are perennial herbaceous species with strong antioxidant capacities; however, these species have not been widely utilized as medicinal materials because their natural populations are limited, and manual harvesting is labor-intensive. In this study, we compared the [...] Read more.
Taraxacum mongolicum Hand.-Mazz. and Sonchus oleraceus L. are perennial herbaceous species with strong antioxidant capacities; however, these species have not been widely utilized as medicinal materials because their natural populations are limited, and manual harvesting is labor-intensive. In this study, we compared the yield, bioactive components (in leaves and roots), and antioxidant capacity of domesticated and wild populations of both species. Domesticated cultivation significantly increased the contents of ascorbic acid, total phenols, and flavonoids in T. mongolicum leaves, total phenols in T. mongolicum roots, and total phenols and flavonoids in S. oleraceus leaves. Domestication markedly enhanced antioxidant capacity (with the exception of S. oleraceus roots) and the free radical scavenging capacity in the leaves and roots of both wild vegetable species (with the exception of S. oleraceus roots). Domesticated cultivation also substantially improved yield, with T. mongolicum yield increasing by 12,850 kg/ha (fresh weight) and S. oleraceus yield increasing by 18,600 kg/ha (fresh weight). Correlation analysis showed that the free radical scavenging capacity of leaves in both species was significantly negatively correlated with the soluble sugar content, whereas the soluble sugar content in roots was significantly positively correlated with the soluble protein content. Overall, our findings will aid further studies of bioactive substances and antioxidant-related genes in T. mongolicum and S. oleraceus. Full article
Show Figures

Figure 1

27 pages, 5977 KB  
Article
Multi-Target Screening of Anti-Diabetic and Antioxidant Potential Bioactive Constituents from Dandelion
by Xiaocui Zhuang, Yang Xu, Yuanqing Zhou, Dongbao Hu, Minxia Fan, Xinyi Cui, Mingyang Luo, Ya Shu, Li Wang, Yahong Fei, Wei Shi and Mingquan Guo
Foods 2025, 14(23), 3990; https://doi.org/10.3390/foods14233990 - 21 Nov 2025
Viewed by 771
Abstract
Taraxacum mongolicum Hand.-Mazz (TMHM), a primary source of dandelion, is a globally recognized edible and medicinal plant with significant potential in food, medicine, daily chemical products, and animal husbandry. Although hypoglycemic effects have been reported in other Taraxacum species, the specific hypoglycemic constituents [...] Read more.
Taraxacum mongolicum Hand.-Mazz (TMHM), a primary source of dandelion, is a globally recognized edible and medicinal plant with significant potential in food, medicine, daily chemical products, and animal husbandry. Although hypoglycemic effects have been reported in other Taraxacum species, the specific hypoglycemic constituents and mechanisms of TMHM are not well understood. The absence of comprehensive multi-target screening methodologies has hindered the elucidation of TMHM’s dual inhibitory effects on α-amylase and α-glucosidase, as well as its associated molecular mechanisms. In this study, a multi-target screening strategy was developed to concurrently evaluate α-amylase and α-glucosidase inhibition, integrating multi-target affinity ultrafiltration coupled with ultra-performance liquid chromatography-tandem mass spectrometry (MTAUF-UPLC-MS/MS), molecular docking, and molecular dynamics (MD) simulations. Using this approach, 13 dual-target inhibitors were identified from TMHM. Moreover, at least 5 of these compounds exhibited anti-diabetic activities comparable to the positive control drug acarbose, suggesting that they are principal bioactive constituents responsible for its hypoglycemic effects. Subsequent investigation of the antioxidant capacities of 7 out of the 13 bioactive compounds revealed that most exhibited more potent antioxidant activities than vitamin C (Vc). Based on these findings, molecular docking and MD simulations further validated that quercetin (8) and kaempferol (15), which demonstrated significant hypoglycemic and antioxidant activities, exhibited particularly strong affinities and stable interactions with α-amylase and α-glucosidase, respectively. In conclusion, these findings underscored the considerable potential of TMHM as a natural source of multifunctional bioactive compounds for nutraceutical, functional, and pharmaceutical applications. This study provided a critical foundation for elucidating the mechanisms underlying TMHM’s anti-diabetic effects and its therapeutic potential in mitigating diabetes-related complications, thereby facilitating future development and utilization. Full article
Show Figures

Figure 1

20 pages, 7711 KB  
Article
Preliminary Analysis of the Salt-Tolerance Mechanisms of Different Varieties of Dandelion (Taraxacum mongolicum Hand.-Mazz.) Under Salt Stress
by Wei Feng, Ran Meng, Yue Chen, Zhaojia Li, Xuelin Lu, Xiuping Wang and Zhe Wu
Curr. Issues Mol. Biol. 2025, 47(6), 449; https://doi.org/10.3390/cimb47060449 - 11 Jun 2025
Cited by 2 | Viewed by 1055
Abstract
Soil salinization hinders plant growth and agricultural production, so breeding salt-tolerant crops is an economical way to exploit saline–alkali soils. However, the specific metabolites and associated pathways involved in salt tolerance of the dandelion have not been clearly elucidated so far. Here, we [...] Read more.
Soil salinization hinders plant growth and agricultural production, so breeding salt-tolerant crops is an economical way to exploit saline–alkali soils. However, the specific metabolites and associated pathways involved in salt tolerance of the dandelion have not been clearly elucidated so far. Here, we compared the transcriptome and metabolome responses of 0.7% NaCl-stressed dandelion ‘BINPU2’ (variety A) and ‘TANGHAI’ (variety B). Our results showed that 222 significantly altered metabolites mainly enriched in arginine biosynthesis and pyruvate metabolism according to a KEGG database analysis in variety A, while 147 differential metabolites were predominantly enriched in galactose metabolism and the pentose phosphate pathway in variety B. The transcriptome data indicated that the differentially expressed genes (DEGs) in variety A were linked to secondary metabolite biosynthesis, phenylpropanoid biosynthesis, and photosynthesis–antenna proteins. Additionally, KEGG annotations revealed the DEGs had functions assigned to general function prediction only, post-translation modification, protein turnover, chaperones, and signal transduction mechanisms in variety A. By contrast, the DEGs had functions assigned to variety B as plant–pathogen interactions, phenylpropanoid biosynthesis, and photosynthesis–antenna proteins, including general function prediction, signal transduction mechanisms, and secondary metabolite biosynthesis from the KOG database functional annotation. Furthermore, 181 and 162 transcription factors (TFs) expressed under saline stress conditions specifically were detected between varieties A and B, respectively, representing 36 and 37 TF families. Metabolomics combined with transcriptomics revealed that salt stress induced substantial changes in terpenoid metabolites, ubiquinone biosynthesis metabolites, and pyruvate metabolites, mediated by key enzymes from the glycoside hydrolase family, adenylate esterases family, and P450 cytochrome family at the mRNA and/or metabolite levels. These results may uncover the potential salt-response mechanisms in different dandelion varieties, providing insights for breeding salt-tolerant crop plants suitable for saline–alkali land cultivation. Full article
(This article belongs to the Section Molecular Plant Sciences)
Show Figures

Figure 1

14 pages, 11718 KB  
Article
Identification of R2R3-MYB Gene Family and Functional Analysis of Responses of S22 Subfamily to Abiotic Stresses in Dandelion (Taraxacum mongolicum Hand.-Mazz.)
by Liangruinan Lu, Songle Fan, Bi Qin, Jingang Wang, Lifeng Wang and Shizhong Liu
Int. J. Mol. Sci. 2025, 26(7), 3422; https://doi.org/10.3390/ijms26073422 - 5 Apr 2025
Viewed by 1407
Abstract
Dandelions possess a wide range of medicinal properties and demonstrate remarkable adaptability and tolerance to salinity and alkalinity. MYB genes in plants are implicated in growth, differentiation, metabolism, and responses to both biotic and abiotic stresses. The function of MYB genes in dandelions, [...] Read more.
Dandelions possess a wide range of medicinal properties and demonstrate remarkable adaptability and tolerance to salinity and alkalinity. MYB genes in plants are implicated in growth, differentiation, metabolism, and responses to both biotic and abiotic stresses. The function of MYB genes in dandelions, particularly the R2R3-MYB gene family, requires further investigation. In this study, we identified a total of 130 members of the dandelion R2R3-MYB gene family at the genome-wide level, all of which were mapped to eight dandelion chromosomes. MEME analysis revealed that TmR2R3-MYB proteins contain three conserved motifs. Phylogenetic analysis categorized all TmR2R3-MYBs into 29 subfamilies. Transcriptomic studies in different tissues indicated that TmR2R3-MYBs exhibit distinct expression patterns in different tissues, indicating their diverse functions in dandelions. Notably, TmMYB44 from the S22 subfamily displayed the highest expression level in roots. Additionally, six representative TmR2R3-MYBs were selected from the S22 subfamily for expression profiling under salinity and alkalinity treatments. The results demonstrated that the TmR2R3-MYBs from the S22 subfamily are involved in the response to salinity and alkalinity stress. These findings provide a basis for further exploration of the functions of TmR2R3-MYBs in abiotic stress tolerance. Full article
(This article belongs to the Special Issue Plant Responses to Biotic and Abiotic Stresses)
Show Figures

Figure 1

20 pages, 5239 KB  
Article
Investigation of the Lipid-Lowering Activity and Mechanism of Three Extracts from Astragalus membranaceus, Hippophae rhamnoides L., and Taraxacum mongolicum Hand. Mazz Based on Network Pharmacology and In Vitro and In Vivo Experiments
by Xue Yang, Mingjie Jia, Jiayuan Luo, Yuning An, Zefu Chen and Yihong Bao
Foods 2024, 13(17), 2795; https://doi.org/10.3390/foods13172795 - 2 Sep 2024
Cited by 4 | Viewed by 3435
Abstract
Hyperlipidemia is a metabolic disorder characterized by abnormal lipid metabolism, resulting in lipid accumulation in the plasma. According to reports, medicinal and edible plants can reduce the risk of metabolic diseases such as hyperlipidemia. This study investigates the effects and mechanisms of Astragalus [...] Read more.
Hyperlipidemia is a metabolic disorder characterized by abnormal lipid metabolism, resulting in lipid accumulation in the plasma. According to reports, medicinal and edible plants can reduce the risk of metabolic diseases such as hyperlipidemia. This study investigates the effects and mechanisms of Astragalus membranaceus extract (AME), Hippophae rhamnoides L. extract (HRE), and Taraxacum mongolicum Hand. Mazz extract (TME) on hyperlipidemia. Active compounds and potential gene targets of AME, HRE, and TME were screened using LC-MS and TCMSP databases, and hyperlipidemia targets were detected from the OMIM and DisGeNet databases. A drug-target pathway disease network was constructed through protein interactions, GO enrichment, and KEGG pathway analysis. Finally, the lipid-lowering effects of three extracts were validated through in vitro HepG2 cell and in vivo animal experiments. The results show that LC-MS and network pharmacology methodologies identified 41 compounds and 140 targets. KEGG analysis indicated that the PI3K-Akt and MAPK signaling pathways significantly treat hyperlipidemia with AHT. In vitro experiments have shown that AHT is composed of a ratio of AME:HRE:TME = 3:1:2. HepG2 cell and animal experiments revealed that AHT exhibits strong lipid-lowering and antioxidant properties, significantly regulating the levels of total cholesterol (TC), triglycerides (TG), high-density lipoprotein cholesterol (HDL-C), low-density lipoprotein cholesterol (LDL-C), superoxide dismutase (SOD), and total antioxidant capacity (T-AOC). It is worth noting that AHT can effectively downregulate the protein expression levels of p-AKT/AKT and p-PI3K/PI3K and upregulate the protein expression levels of p-AMPK/AMPK and SIRT1, verifying the results predicted by network pharmacology. This study presents a novel approach to utilizing these natural plant extracts as safe and effective treatments for hyperlipidemia. Full article
(This article belongs to the Section Food Engineering and Technology)
Show Figures

Figure 1

15 pages, 9252 KB  
Article
Study of Dandelion (Taraxacum mongolicum Hand.-Mazz.) Salt Response and Caffeic Acid Metabolism under Saline Stress by Transcriptome Analysis
by Zhe Wu, Ran Meng, Wei Feng, Tassnapa Wongsnansilp, Zhaojia Li, Xuelin Lu and Xiuping Wang
Genes 2024, 15(2), 220; https://doi.org/10.3390/genes15020220 - 9 Feb 2024
Cited by 7 | Viewed by 2724
Abstract
Utilizing salt-tolerant plants is a cost-effective strategy for agricultural production on salinized land. However, little is known about the mechanism of dandelion (Taraxacum mongolicum Hand.-Mazz.) in response to saline stress and caffeic acid biosynthesis. We investigated the morphological and physiological variations of [...] Read more.
Utilizing salt-tolerant plants is a cost-effective strategy for agricultural production on salinized land. However, little is known about the mechanism of dandelion (Taraxacum mongolicum Hand.-Mazz.) in response to saline stress and caffeic acid biosynthesis. We investigated the morphological and physiological variations of two dandelions, namely, “BINPU2” (dandelion A) and “TANGHAI” (dandelion B) under gradient NaCl concentrations (0, 0.3%, 0.5%, 0.7%, and 0.9%), and analyzed potential mechanisms through a comparison analysis of transcriptomes in the two dandelions. Dandelion A had a high leaf weight; high ρ-coumaric acid, caffeic acid, ferulic acid, and caffeoyl shikimic acid contents; and high activities of POD and Pro. The maximum content of four kinds of phenolic acids mostly occurred in the 0.7% NaCl treatment. In this saline treatment, 2468 and 3238 differentially expressed genes (DEGs) in dandelion A and B were found, of which 1456 and 1369 DEGs in the two dandelions, respectively, showed up-regulation, indicating that more up-regulated DEGs in dandelion A may cause its high salt tolerance. Further, Gene Ontology (GO) analysis and Kyoto Encyclopedia of Genes and Genomes (KEGG) analysis showed that dandelion salt response and caffeic acid metabolism were mainly enriched in the phenylpropanoid biosynthesis pathway (ko00940) and response to ethylene (GO: 0009723). The caffeic acid biosynthesis pathway was reconstructed based on DEGs which were annotated to PAL, C4H, 4CL, HCT, C3′H, and CSE. Most of these genes showed a down-regulated mode, except for parts of DEGs of 4CL (TbA05G077650 and TbA07G073600), HCT (TbA03G009110, TbA03G009080, and novel.16880), and COMT (novel.13839). In addition, more up-regulated transcription factors (TFs) of ethylene TFs in dandelion A were found, but the TFs of ERF104, CEJ1, and ERF3 in the two dandelions under saline stress showed an opposite expression pattern. These up-regulated genes could enhance dandelion salt tolerance, and down-regulated DEGs in the caffeic acid biosynthesis pathway, especially CSE (TbA08G014310) and COMT (TbA04G07330), could be important candidate genes in the synthesis of caffeic acid under saline stress. The above findings revealed the potential mechanisms of salt response and caffeic acid metabolism in dandelion under saline stress, and provide references for salt-tolerant plant breeding and cultivation on saline–alkali land in the future. Full article
(This article belongs to the Special Issue Genomics and Genetics of Medicinal Plants)
Show Figures

Figure 1

15 pages, 1530 KB  
Article
Effects of Total Flavonoids from Taraxacum mongolicum Hand.-Mazz. on Fermentation Quality, Antioxidant Status and Microbial Community of Caragana korshinskii Kom. silage
by Shuai Huang, Wencan Ke, Qiang Lu, Longfei Gao, Xiaodong Zhou and Chengyan Ma
Fermentation 2023, 9(11), 949; https://doi.org/10.3390/fermentation9110949 - 2 Nov 2023
Cited by 9 | Viewed by 2491
Abstract
The present study aims to investigate effects of total flavonoids from Taraxacum mongolicum Hand.-Mazz. (FT) on fermentation quality, antioxidant status, and microbial community of Caragana korshinskii Kom. (CK) silage. CK was ensiled with no additive (CON), 1% FT, and 2% FT on a [...] Read more.
The present study aims to investigate effects of total flavonoids from Taraxacum mongolicum Hand.-Mazz. (FT) on fermentation quality, antioxidant status, and microbial community of Caragana korshinskii Kom. (CK) silage. CK was ensiled with no additive (CON), 1% FT, and 2% FT on a fresh weight (FW) basis for 60 days. The results showed that 1% FT and 2% FT groups displayed higher DM content than CON group, and 2% FT group had the best effect on nutrient preservation. Compared with CON and 1% FT groups, 2% FT group exhibited the best silage fermentation quality and the highest antioxidant activity, including increased lactic acid, acetic acid concentrations, and the activities of antioxidant enzymes, as well as decreased pH and the ammonia nitrogen (NH3-N) concentration. Moreover, the addition of 2% FT significantly affected the microbial community, such as increased abundance of Lactobacillus and decreased abundances of Pseudomonas and unidentified Cyanobacteria. The abundances of Lactobacillus parafarraginis and Lactobacillus brevis were negatively correlated to pH, while they were positively correlated with T-AOC, GSH-Px, and CAT activities. In conclusion, 2% FT may be used as additives to promote the fermentation quality and antioxidant activity of CK silage. Full article
(This article belongs to the Section Microbial Metabolism, Physiology & Genetics)
Show Figures

Figure 1

19 pages, 5401 KB  
Article
Structural Characteristic and In-Vitro Anticancer Activities of Dandelion Leaf Polysaccharides from Pressurized Hot Water Extraction
by Pei Chen, Suyun Ding, Zhiqian Yan, Huiping Liu, Jianqiu Tu, Yi Chen and Xiaowei Zhang
Nutrients 2023, 15(1), 80; https://doi.org/10.3390/nu15010080 - 24 Dec 2022
Cited by 23 | Viewed by 3599
Abstract
Dandelion (Taraxacum mongolicum Hand.-Mazz.) is a medicinal and edible plant. Dandelion has great development value for its health promoting benefits; additionally, Dandelion grows almost anywhere in the world. In this study, we report the structural characteristics and anti-cancer activity of novel [...] Read more.
Dandelion (Taraxacum mongolicum Hand.-Mazz.) is a medicinal and edible plant. Dandelion has great development value for its health promoting benefits; additionally, Dandelion grows almost anywhere in the world. In this study, we report the structural characteristics and anti-cancer activity of novel dandelion leaf polysaccharides extracted by pressurized hot water extraction at 120 °C (DLP120) with Mw relative to dextran of 1.64 × 106 Da. Structural analysis indicated that DLP120 is a complex polysaccharide composed of pectin and arabinogalactan. It was mainly composed of arabinose (32.35 mol%) and galactose (44.91 mol%). The main glycosidic linkages of DLP120 were 4-β-D-Galp, 4-α-D-GalpA, T-β-D-Galp, 5-α-L-Araf, 3,5-α-L-Araf, and T-α-L-Araf. In vitro, DLP120 inhibited HepG2 cell proliferation in a dose-dependent manner by inducing cell apoptosis. Cell cycle detection results revealed that DLP120 mainly arrests the cell cycle in S phase. Cells treated with DLP120 displayed obvious apoptotic morphology, including cell volume shrinks and cytoskeleton breaks down. In short, DLP120 has potential as an anti-cancer agent. Full article
(This article belongs to the Section Carbohydrates)
Show Figures

Figure 1

19 pages, 4830 KB  
Article
Isolation and Characterization of Flavonoids from Fermented Dandelion (Taraxacum mongolicum Hand.-Mazz.), and Assessment of Its Antioxidant Actions In Vitro and In Vivo
by Na Yin, Yuan Wang, Xuerong Ren, Yang Zhao, Na Liu, Xiaoping An and Jingwei Qi
Fermentation 2022, 8(7), 306; https://doi.org/10.3390/fermentation8070306 - 28 Jun 2022
Cited by 13 | Viewed by 3505
Abstract
Flavonoids are famous for their diverse sources, strong biological activity, and low toxicity and could be used as a natural antioxidant in animal husbandry. In this study, the purification process and antioxidant activity of flavonoids from fermented dandelion were investigated. The adsorption and [...] Read more.
Flavonoids are famous for their diverse sources, strong biological activity, and low toxicity and could be used as a natural antioxidant in animal husbandry. In this study, the purification process and antioxidant activity of flavonoids from fermented dandelion were investigated. The adsorption and desorption characterizations of AB-8 macroporous resin for flavonoids from fermented dandelion (FD) were determined and purification parameters were optimized. Qualitative analysis using UPLC-MS/MS analysis was explored to identify the components of the purified flavonoids of FD (PFDF). The antioxidant activity of PFDF in vitro and in vivo was analyzed. The optimum purification parameters were as follows: a sample concentration of 2 mg/mL, 120 mL of the sample volume, a pH of 2.0, and eluted with 90 mL of 70% ethanol (pH 5). After purification, the concentration of the flavonoids in PFDF was 356.08 mg/mL. By comparison with reference standards or the literature data, 135 kinds of flavonoids in PFDF were identified. Furthermore, PFDF had a strong reducing power and scavenging ability against 8-hydroxy radical and DPPH radical. PFDF can effectively reduce the oxidative stress of zebrafish embryos and IPCE-J2 cells by modulating antioxidant enzyme activities. In summary, the purified flavonoids from fermented dandelion have good antioxidant activity and display superior potential as a natural antioxidant in animal husbandry. Full article
(This article belongs to the Section Industrial Fermentation)
Show Figures

Figure 1

14 pages, 3577 KB  
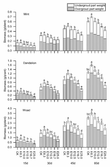
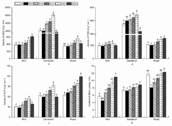
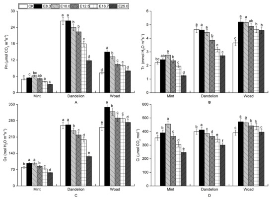
Article
The Effects of Fig Tree (Ficus carica L.) Leaf Aqueous Extract on Seed Germination and Seedling Growth of Three Medicinal Plants
by Chunying Li, Xue Yang, Yao Tian, Meiting Yu, Sen Shi, Bin Qiao, Chunjian Zhao and Liang Mao
Agronomy 2021, 11(12), 2564; https://doi.org/10.3390/agronomy11122564 - 16 Dec 2021
Cited by 14 | Viewed by 6963
Abstract
Fig tree cultivation land resources are not fully utilized and introducing them into sustainable medicinal agroforestry systems can effectively achieve resource protection and reuse. Laboratory and pot experiments were applied to study the allelopathic effects of fig tree (Ficus carica L.) leaf [...] Read more.
Fig tree cultivation land resources are not fully utilized and introducing them into sustainable medicinal agroforestry systems can effectively achieve resource protection and reuse. Laboratory and pot experiments were applied to study the allelopathic effects of fig tree (Ficus carica L.) leaf aqueous extract at five mass concentrations of 8.3, 10.0, 12.5, 16.7, and 25.0 g/L on the morphological and physiological indexes of mint (Mentha haplocalyx Briq.), dandelion (Taraxacum mongolicum Hand.-Mazz.), and woad (Isatis indigotica Fort.). The results showed that mint had the best seed germination rate. The leaf aqueous extract at lower concentrations had a strong promoting effect on the biomass and photosynthetic parameters of mint, dandelion, and woad. With the increase in leaf aqueous extract concentration, the superoxide dismutase, peroxidase, and catalase activity of mint, dandelion, and woad increased initially and then decreased, but the malondialdehyde content increased. The synthetic allelopathic indexes of the three medicinal plants were in the following order: mint > woad > dandelion. Both the low and medium concentration extracts (8.3 g/L–12.5 g/L) showed an obvious promoting effect, while high concentrations exhibited distinct inhibiting effects. In conclusion, mint is the most suitable medicinal plant to be interplanted with fig trees for introduction into medicinal agroforestry systems. Full article
(This article belongs to the Section Farming Sustainability)
Show Figures

Figure 1

15 pages, 3526 KB  
Article
Dandelion (Taraxacum mongolicum Hand.-Mazz.) Supplementation-Enhanced Rumen Fermentation through the Interaction between Ruminal Microbiome and Metabolome
by Yan Li, Mei Lv, Jiaqi Wang, Zhonghong Tian, Bo Yu, Bing Wang, Jianxin Liu and Hongyun Liu
Microorganisms 2021, 9(1), 83; https://doi.org/10.3390/microorganisms9010083 - 31 Dec 2020
Cited by 26 | Viewed by 4642
Abstract
This study investigated the effects of dandelion on the ruminal metabolome and microbiome in lactating dairy cows. A total of 12 mid-lactation dairy cows were selected and randomly classified into two groups, supplementing dandelion with 0 (CON) and 200 g/d per cow (DAN) [...] Read more.
This study investigated the effects of dandelion on the ruminal metabolome and microbiome in lactating dairy cows. A total of 12 mid-lactation dairy cows were selected and randomly classified into two groups, supplementing dandelion with 0 (CON) and 200 g/d per cow (DAN) above basal diet, respectively. Rumen fluid samples were collected in the last week of the trial for microbiome and metabolome analysis. The results showed that supplementation of DAN increased the concentrations of ammonia nitrogen, acetate, and butyrate significantly. The rumen bacterial community was significantly changed in the DAN group, with Bacterioidetes, Firmicutes, and Proteobacteria being the main ruminal bacterial phyla. The abundance of Ruminococcaceae_NK4A214_group, UCG_005, and Christensenellaceae_R_7_group were relatively higher, whereas that of Erysipelotrichaceae_UCG_002 and Dialister were lower in the DAN than those in the CON. Metabolomics analysis showed that the content of d-glucose, serotonin, ribulose-5-phosphate, and d-glycerate were higher in the DAN group. These metabolites were enriched in the starch and sucrose metabolism, pentose phosphate pathway, tryptophan metabolism, and glycerolipid metabolism. The ribulose-5-phosphate and d-glycerate were correlated with Ruminococcaceae_NK4A214_group, UCG_005, and Christensenellaceae_R-7_group positively. This study demonstrated that the supplementation of dandelion impacts the ruminal microorganisms and metabolites in a way that rumen fermentation was enhanced in lactating dairy cows. Full article
(This article belongs to the Section Gut Microbiota)
Show Figures

Figure 1

15 pages, 941 KB  
Article
Anticoccidial Effect of Herbal Powder “Shi Ying Zi” in Chickens Infected with Eimeria tenella
by Xu Song, Yunhe Li, Shufan Chen, Renyong Jia, Yongyuan Huang, Yuanfeng Zou, Lixia Li, Xinxin Zhao and Zhongqiong Yin
Animals 2020, 10(9), 1484; https://doi.org/10.3390/ani10091484 - 24 Aug 2020
Cited by 31 | Viewed by 5210
Abstract
Coccidiosis is one of the most economically important diseases affecting the poultry industry. Currently, anticoccidial drugs used in veterinary clinics show many deficiencies, and new control measures are urgently needed. This study presents an anticoccidial herbal powder “Shi Yin Zi”, which consists of [...] Read more.
Coccidiosis is one of the most economically important diseases affecting the poultry industry. Currently, anticoccidial drugs used in veterinary clinics show many deficiencies, and new control measures are urgently needed. This study presents an anticoccidial herbal powder “Shi Yin Zi”, which consists of Cnidium monnieri (L.) Cuss, Taraxacum mongolicum Hand.-Mazz., and sodium chloride. In chickens infected with Eimeria tenella, supplementation with “Shi Yin Zi” powder for 3 d prior to infection or treatment with “Shi Yin Zi” powder after infection could improve the survival rate and relative growth rate and alleviate the pathological changes in the cecum, liver, and kidney. “Shi Yin Zi” powder could recover the levels of alanine aminotransferase, creatinine, albumin, and triglycerides in serum. The hemorrhage occurrence and total number of oocysts in feces were reduced. The anti-coccidial indexes reached 165 for the prophylactic effect and 144 for the therapeutic effect. The anti-coccidial effects were equal to positive controls (monensin and sulfamlopyrazine). These results suggest that “Shi Ying Zi” powder possesses a potent anticoccidial effect and exhibits the potential to control E. tenella infection. Full article
(This article belongs to the Special Issue Infectious Disease in Animals: Threats to the Global Food Supply)
Show Figures

Figure 1

Back to TopTop