Sign in to use this feature.

Years

Between: -

Subjects

remove_circle_outline
remove_circle_outline
remove_circle_outline
remove_circle_outline
remove_circle_outline
remove_circle_outline
remove_circle_outline
remove_circle_outline
remove_circle_outline

Journals

remove_circle_outline
remove_circle_outline
remove_circle_outline
remove_circle_outline
remove_circle_outline
remove_circle_outline
remove_circle_outline
remove_circle_outline
remove_circle_outline
remove_circle_outline
remove_circle_outline
remove_circle_outline

Article Types

Countries / Regions

remove_circle_outline
remove_circle_outline
remove_circle_outline
remove_circle_outline
remove_circle_outline

Search Results (1,193)

Search Parameters:
Keywords = TNF inhibitor

Order results
Result details
Results per page
Select all
Export citation of selected articles as:
18 pages, 991 KB  
Article
Toward Personalized Withdrawal of TNF-α Inhibitors in Non-Systemic Juvenile Idiopathic Arthritis: Predictors of Biologic-Free Remission and Flare
by Ekaterina I. Alexeeva, Irina T. Tsulukiya, Tatyana M. Dvoryakovskaya, Ivan A. Kriulin, Dmitry A. Kudlay, Anna N. Fetisova, Maria S. Botova, Tatyana Y. Kriulina, Elizaveta A. Krekhova, Natalya M. Kondratyeva, Meiri Sh. Shingarova, Maria Y. Kokina, Alyona N. Shilova and Mikhail M. Kostik
Pharmaceuticals 2026, 19(1), 125; https://doi.org/10.3390/ph19010125 - 10 Jan 2026
Viewed by 97
Abstract
Background: Tumor necrosis factor-α (TNFα) inhibitors have significantly improved outcomes in children with non-systemic juvenile idiopathic arthritis (JIA), achieving long-term clinical remission for many patients. However, the optimal strategy for TNF-α inhibitor withdrawal remains unknown, whether through abrupt discontinuation, gradual dose reduction, or [...] Read more.
Background: Tumor necrosis factor-α (TNFα) inhibitors have significantly improved outcomes in children with non-systemic juvenile idiopathic arthritis (JIA), achieving long-term clinical remission for many patients. However, the optimal strategy for TNF-α inhibitor withdrawal remains unknown, whether through abrupt discontinuation, gradual dose reduction, or interval extension. Objective: We aim to identify patient-, disease-, and treatment-related predictors of successful TNF-α inhibitor withdrawal in children with non-systemic JIA. Methods: In this prospective, randomized, open-label, single-center study, 76 children with non-systemic JIA in stable remission for ≥24 months on etanercept or adalimumab were enrolled. At the time of TNF-α inhibitor discontinuation, all patients underwent a comprehensive evaluation, including a clinical examination, laboratory tests (serum calprotectin [S100 proteins] and high-sensitivity C-reactive protein [hsCRP]), and advanced joint imaging (musculoskeletal ultrasound and magnetic resonance imaging [MRI]) to assess subclinical disease activity. Patients were randomized (1:1:1, sealed-envelope allocation) to one of three predefined tapering strategies: (I) abrupt discontinuation; (II) extension of dosing intervals (etanercept 0.8 mg/kg every 2 weeks; adalimumab 24 mg/m2 every 4 weeks); or (III) gradual dose reduction (etanercept 0.4 mg/kg weekly; adalimumab 12 mg/m2 every 2 weeks). Follow-up visits were scheduled at 3, 6, 9, 12, and 18 months to monitor for disease relapse. Results: Higher baseline Childhood Health Assessment Questionnaire (CHAQ) scores (≥2), elevated serum calprotectin [S100 proteins] and hsCRP levels at withdrawal, imaging evidence of subclinical synovitis, and a history of uveitis were all significantly associated with increased risk of flare. No significant associations were found for other clinical or demographic characteristics. Conclusions: Early significant clinical response, absence of subclinical disease activity, and concomitant low-dose methotrexate therapy were key predictors of sustained drug-free remission. These findings may inform personalized strategies for biologic tapering in pediatric JIA. Full article
31 pages, 3161 KB  
Review
Oral Dysbiosis and Neuroinflammation: Implications for Alzheimer’s, Parkinson’s and Mood Disorders
by Laura Carolina Zavala-Medina, Joan Sebastian Salas-Leiva, Carlos Esteban Villegas-Mercado, Juan Antonio Arreguín-Cano, Uriel Soto-Barreras, Sandra Aidé Santana-Delgado, Ana Delia Larrinua-Pacheco, María Fernanda García-Vega and Mercedes Bermúdez
Microorganisms 2026, 14(1), 143; https://doi.org/10.3390/microorganisms14010143 - 8 Jan 2026
Viewed by 297
Abstract
Background: Growing evidence indicates that oral microbiome dysbiosis contributes to systemic inflammation, immune activation, and neural dysfunction. These processes may influence the onset and progression of major neuropsychiatric and neurodegenerative disorders. This review integrates clinical, epidemiological, and mechanistic findings linking periodontal pathogens and [...] Read more.
Background: Growing evidence indicates that oral microbiome dysbiosis contributes to systemic inflammation, immune activation, and neural dysfunction. These processes may influence the onset and progression of major neuropsychiatric and neurodegenerative disorders. This review integrates clinical, epidemiological, and mechanistic findings linking periodontal pathogens and oral microbial imbalance to Alzheimer’s disease (AD), Parkinson’s disease (PD), depression, and anxiety. Methods: A narrative review was conducted using PubMed/MEDLINE, Scopus, Web of Science, and Google Scholar to identify recent studies examining alterations in the oral microbiota, microbial translocation, systemic inflammatory responses, blood–brain barrier disruption, cytokine signaling, and neural pathways implicated in brain disorders. Results: Evidence from human and experimental models demonstrates that oral pathogens, particularly Porphyromonas gingivalis, Fusobacterium nucleatum, and Treponema denticola, can disseminate systemically, alter immune tone, and affect neural tissues. Their virulence factors promote microglial activation, cytokine release (IL-1β, IL-6, TNF-α), amyloid-β aggregation, and α-synuclein misfolding. Epidemiological studies show associations between oral dysbiosis and cognitive impairment, motor symptoms in PD, and alterations in mood-related taxa linked to stress hormone profiles. Immunometabolic pathways, HPA-axis activation, and the oral–gut–brain axis further integrate these findings into a shared neuroinflammatory framework. Conclusions: Oral dysbiosis emerges as a modifiable contributor to neuroinflammation and brain health. Periodontal therapy, probiotics, prebiotics, synbiotics, and targeted inhibitors of bacterial virulence factors represent promising strategies to reduce systemic and neural inflammation. Longitudinal human studies and standardized microbiome methodologies are still needed to clarify causality and evaluate whether restoring oral microbial balance can modify the course of neuropsychiatric and neurodegenerative disorders. Full article
(This article belongs to the Section Microbiomes)
Show Figures

Figure 1

18 pages, 2338 KB  
Article
L1CAM Promotes Human Endometrial Cancer Via NF-κB Activation
by Hiroyuki Kurosu, Hiroshi Asano, Alaa-eldin Salah-eldin, Kazuya Hamada, Shugo Tanaka, Asuka Ishii, Issei Kawakita, Kentaro Kumagai, Kensuke Nakazono, Yuko Katayama, Rino Saito, Chihiro Terasaka, Sari Iwasaki, Satoshi Tanaka, Atsushi Niida, Hidemichi Watari and Koji Taniguchi
Cancers 2026, 18(2), 198; https://doi.org/10.3390/cancers18020198 - 8 Jan 2026
Viewed by 317
Abstract
Background/Objectives: Endometrial cancer is one of the most common gynecological malignancies, with increasing incidence and mortality rates, particularly in developed countries. L1 cell adhesion molecule (L1CAM) has been identified as a poor prognostic factor for human endometrial cancer; however, the molecular mechanisms [...] Read more.
Background/Objectives: Endometrial cancer is one of the most common gynecological malignancies, with increasing incidence and mortality rates, particularly in developed countries. L1 cell adhesion molecule (L1CAM) has been identified as a poor prognostic factor for human endometrial cancer; however, the molecular mechanisms underlying its role in tumor progression remain unclear. Methods: We investigated the biological significance of L1CAM in human endometrial cancer using multiple cell lines. Functional analyses, including cell proliferation, cell cycle, and apoptosis assays, were performed after L1CAM knockdown or overexpression. Results: L1CAM promoted the transition of endometrial cancer cells from the G0/G1 phase and enhanced cell proliferation. L1CAM knockdown inhibited NF-κB signaling by reducing NF-κB (p65) phosphorylation and downregulating the expression of downstream targets such as TNF. Overexpression of constitutively active IKKβ restored the proliferation defect caused by L1CAM knockdown, supporting the role of NF-κB as a key downstream effector of L1CAM. Immunohistochemical analysis revealed a significant correlation between L1CAM expression and nuclear NF-κB (p65) positivity rates in human patient samples. Furthermore, combination therapy with cisplatin and an IKK inhibitor enhanced the anti-proliferative effect. Conclusions: Our study demonstrated that L1CAM promotes proliferation and chemotherapy resistance in human endometrial cancer through activation of the NF-κB signaling pathway. Therapeutic strategies targeting the L1CAM-NF-κB pathway may represent a promising treatment option for improving prognosis in L1CAM-positive human endometrial cancer. Full article
(This article belongs to the Section Molecular Cancer Biology)
Show Figures

Figure 1

13 pages, 755 KB  
Article
Hepatotoxicity Risk of Isoniazid in Patients with Autoimmune Rheumatic Diseases and Prior Liver Injury Due to Disease-Modifying Antirheumatic Drugs: A Single-Center Experience and Literature Review
by Joy Selene Osorio-Chávez, Virginia Portilla González, Iván Ferraz-Amaro, Santos Castañeda, José Manuel Cifrián Martínez and Ricardo Blanco Alonso
J. Clin. Med. 2026, 15(2), 432; https://doi.org/10.3390/jcm15020432 - 6 Jan 2026
Viewed by 120
Abstract
Background/Objectives: Patients with rheumatic immune-mediated inflammatory diseases (R-IMID) require latent tuberculosis infection screening and, in case of positivity, chemoprophylaxis. Isoniazid INH remains the standard regimen, but hepatotoxicity is an underrecognized concern. To describe the characteristics of R-IMID patients developing hepatotoxicity during INH [...] Read more.
Background/Objectives: Patients with rheumatic immune-mediated inflammatory diseases (R-IMID) require latent tuberculosis infection screening and, in case of positivity, chemoprophylaxis. Isoniazid INH remains the standard regimen, but hepatotoxicity is an underrecognized concern. To describe the characteristics of R-IMID patients developing hepatotoxicity during INH therapy and identify potential risk factors through clinical analysis and literature review. Methods: Retrospective study of 64 R-IMID who developed hepatotoxicity with INH. Mean age was 53.4 ± 10.5 years; 70.3% female. Diagnoses included spondyloarthritis/psoriatic arthritis (56.3%), rheumatoid arthritis (32.8%), systemic sclerosis (4.7%), connective tissue diseases (4.7%), and other IMIDs (3.2%). All patients showed ≥ 2 × upper limit of normality (ULN) liver enzyme elevation, 34.4% ≥ 3 ULN, 20.3% ≥ 4 ULN. Literature review (19 studies) revealed INH-related hepatotoxicity rates of 1–41%, exacerbated by concurrent methotrexate, sulfasalazine, TNF inhibitors, and prior drug-induced liver injury. Results: Hepatotoxicity was frequent when INH was combined with other hepatotoxic drugs, especially methotrexate. Conclusions: INH prophylaxis in R-IMID patients carries substantial hepatotoxic risk. Careful hepatic monitoring and individualized risk stratification are essential to prevent liver injury in immunosuppressed populations. Full article
(This article belongs to the Special Issue Clinical Updates on Rheumatoid Arthritis: 2nd Edition)
Show Figures

Graphical abstract

23 pages, 45505 KB  
Article
Jaceosidin Attenuates Sepsis-Induced Myocardial Dysfunction by Promoting SIRT2-Mediated Inhibition of Histone H3K18 Lactylation
by Huiming Yu, Minfu Liu, Shuwan Hou, Jiaqin Wu, Qianqian Du, Fan Feng, Sixiang Wang, Chunli Wang and Kang Xu
Pharmaceuticals 2026, 19(1), 97; https://doi.org/10.3390/ph19010097 - 4 Jan 2026
Viewed by 166
Abstract
Background: Sepsis-induced myocardial dysfunction (SIMD) is a life-threatening complication with limited therapeutic options. Jaceosidin (JAC), a natural flavonoid from Folium Artemisiae Argyi, shows potential in cardiovascular diseases, but its role and mechanism in SIMD remain unclear. This study aims to investigate the protective [...] Read more.
Background: Sepsis-induced myocardial dysfunction (SIMD) is a life-threatening complication with limited therapeutic options. Jaceosidin (JAC), a natural flavonoid from Folium Artemisiae Argyi, shows potential in cardiovascular diseases, but its role and mechanism in SIMD remain unclear. This study aims to investigate the protective effects of JAC against SIMD and explore the underlying molecular mechanisms. Methods: In vitro, AC16 human cardiomyocytes were stimulated with TNF-α and treated with JAC. Cell viability and apoptosis were assessed using CCK−8 and flow cytometry, respectively. Transcriptomic and metabolomic analyses were performed to identify altered pathways. Molecular docking evaluated JAC’s interaction with SIRT2. The SIRT2 inhibitor AGK2 was used to validate its role. Chromatin immunoprecipitation quantitative PCR (ChIP-qPCR) determined H3K18la enrichment on target gene promoters. In vivo, a murine SIMD model was established via LPS injection, and cardiac function was evaluated by echocardiography. Serum markers (cTnT, CK−MB) and myocardial lactylation levels were measured. Results: JAC significantly attenuated TNF-α−induced injury in AC16 cells by enhancing viability and reducing apoptosis. Multi-omics analyses revealed JAC suppressed glycolysis and lactate production. JAC specifically inhibited histone H3K18 lactylation (H3K18la), and molecular docking indicated strong binding affinity with SIRT2. AGK2 treatment reversed JAC-mediated suppression of H3K18la. ChIP-qPCR confirmed H3K18la directly regulates IL-6, BAX, and BCL-2 expression. In vivo, JAC improved cardiac function (LVEF, LVFS, LVDd, LVDs), reduced serum cTnT and CK−MB levels, and decreased myocardial H3K18la in LPS−treated mice. Conclusions: JAC alleviates SIMD by activating SIRT2, which inhibits H3K18la, thereby modulating inflammatory and apoptotic pathways. This study identifies JAC as a novel metabolic-epigenetic therapeutic agent for SIMD. Full article
Show Figures

Graphical abstract

19 pages, 2935 KB  
Review
The Double Face of Microglia in the Brain
by Moisés Rubio-Osornio, Carmen Rubio, Maximiliano Ganado and Héctor Romo-Parra
Neuroglia 2026, 7(1), 3; https://doi.org/10.3390/neuroglia7010003 - 2 Jan 2026
Viewed by 492
Abstract
The microglia, first identified by Pío del Río-Hortega, are resident macrophages in the CNS that aid in immune monitoring, synaptic remodeling, and tissue repair. Microglial biology’s dual functions in maintaining homeostasis and contributing to neurodegeneration are examined in this review, with a focus [...] Read more.
The microglia, first identified by Pío del Río-Hortega, are resident macrophages in the CNS that aid in immune monitoring, synaptic remodeling, and tissue repair. Microglial biology’s dual functions in maintaining homeostasis and contributing to neurodegeneration are examined in this review, with a focus on neurodegenerative disease treatment targets. Methods: We reviewed microglial research using single-cell transcriptomics, molecular genetics, and neuroimmunology to analyze heterogeneity and activation states beyond the M1/M2 paradigm. Results: Microglia maintains homeostasis through phagocytosis, trophic factor production, and synaptic pruning. They acquire activated morphologies in pathological conditions, releasing proinflammatory cytokines and reactive oxygen species via NF-κB, MAPK, and NLRP3 signaling. Single-cell investigations show TREM2 and APOE-expressing disease-associated microglia (DAM) in neurodegenerative lesions. Microglial senescence, mitochondrial failure, and chronic inflammation result from Nrf2/Keap1 redox pathway malfunction in ageing. Microglial interactions with astrocytes via IL-1α, TNF-α, and C1q result in neurotoxic or neuroprotective A2 astrocytes, demonstrating linked glial responses. Microglial inflammatory or reparative responses are influenced by epigenetic and metabolic reprogramming, such as regulation of PGC-1α, SIRT1, and glycolytic flux. Microglia are essential to neuroprotection and neurodegeneration. TREM2 agonists, NLRP3 inhibitors, and epigenetic modulators can treat chronic neuroinflammation and restore CNS homeostasis in neurodegenerative illnesses by targeting microglial signaling pathways. Full article
Show Figures

Figure 1

12 pages, 587 KB  
Article
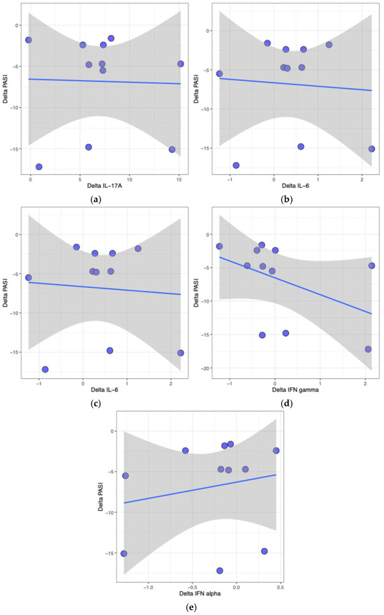
Impact of Brodalumab on Serum Levels of IL-6, IL-17A, IFN-α, IFN-γ, and TNF-α in Patients with Psoriasis Who Failed Treatment with TNF-α Inhibitors
by Lucia Medjedovic, Admir Vižlin, Ylva Andersch Björkman, Anna-Maj Albertsson, Sukanya Raghavan, Martin Gillstedt and Amra Osmancevic
Int. J. Mol. Sci. 2026, 27(1), 458; https://doi.org/10.3390/ijms27010458 - 1 Jan 2026
Viewed by 440
Abstract
Psoriasis is a chronic, immune-mediated inflammatory skin disorder that significantly impacts patients’ quality of life. While TNF-α inhibitors are frequently used to treat moderate-to-severe cases, not all patients respond adequately. Brodalumab, a monoclonal antibody targeting the IL-17 receptor A, has emerged as an [...] Read more.
Psoriasis is a chronic, immune-mediated inflammatory skin disorder that significantly impacts patients’ quality of life. While TNF-α inhibitors are frequently used to treat moderate-to-severe cases, not all patients respond adequately. Brodalumab, a monoclonal antibody targeting the IL-17 receptor A, has emerged as an alternative for individuals unresponsive to prior therapies. This prospective study investigated the effects of brodalumab on serum cytokine levels—specifically IL-6, IL-17A, IFN-α, IFN-γ, and TNF-α—and their correlation with disease severity as assessed by Psoriasis Area and Severity Index (PASI). Eighteen patients with moderate-to-severe psoriasis who were unresponsive to TNF-α inhibitors received brodalumab for 12 weeks. Cytokine concentrations were measured at baseline and week 12 using an automated immunoassay (ELLA), and clinical outcomes were evaluated using PASI. The results showed a significant increase in IL-17A levels, while changes in IL-6, IFN-α, IFN-γ, and TNF-α did not reach statistical significance. No significant correlations were found between changes in cytokine levels and PASI improvement. However, the small number of available serum samples at week 12 (n = 11) limited the statistical power to detect treatment-related changes in cytokine levels. These findings suggest that while brodalumab influences specific immune markers, the clinical response may not be directly reflected by serum cytokine levels. This highlights the multifactorial nature of psoriasis pathogenesis and underscores the need for further studies to clarify the role of cytokine biomarkers in treatment response. Full article
Show Figures

Figure 1

25 pages, 9168 KB  
Article
Eurotium cristatum-Fermented White Tea Ameliorates DSS-Induced Colitis by Multi-Scale
by Huini Wu, Xiangrui Kong, Ruiyang Shan, Song Peng, Mengshi Zhao, Wenquan Yu, Changsong Chen, Xiuping Wang and Zhaolong Li
Foods 2026, 15(1), 72; https://doi.org/10.3390/foods15010072 - 25 Dec 2025
Viewed by 346
Abstract
Eurotium cristatum-Fermented White Tea (FWT) significantly alters white tea (WT) composition, increasing caffeine while decreasing polyphenols and amino acids. FWT effectively ameliorated dextran sulfate sodium (DSS)-induced murine colitis symptoms (reducing weight loss, colon shortening). Mechanistically, FWT suppressed TLR4/Myd88/NF-κB signaling and pro-inflammatory cytokines [...] Read more.
Eurotium cristatum-Fermented White Tea (FWT) significantly alters white tea (WT) composition, increasing caffeine while decreasing polyphenols and amino acids. FWT effectively ameliorated dextran sulfate sodium (DSS)-induced murine colitis symptoms (reducing weight loss, colon shortening). Mechanistically, FWT suppressed TLR4/Myd88/NF-κB signaling and pro-inflammatory cytokines (TNF-α, IL-6, IL-1β) while upregulating tight junction proteins (ZO-1, occludin, claudin-1), MUC2, and E-cadherin. Single-cell/spatial transcriptomics revealed that FWT treatments augment enterocyte, goblet cell, and stem cell populations, optimize goblet function, restructure stem cell differentiation, and induce epithelial REG3B (antimicrobial) and LYPD8 (motility inhibitor), plus immunomodulator GM42418 lncRNA across cell types, repairing the barrier. FWT intervention was also associated with an increase in beneficial bacteria (Akkermansia, Lactobacillus, Bifidobacterium), restoration of microbiota balance, and elevated levels of short-chain fatty acids (SCFAs) and was associated with alterations in caffeine-related metabolite profiles. Collectively, these multi-scale changes correlate with the alleviation of UC, suggesting an integrated mechanism involving mucosal barrier repair, immune–stromal modulation, microbiota–metabolism regulation, and cellular reprogramming. Full article
(This article belongs to the Section Food Nutrition)
Show Figures

Graphical abstract

20 pages, 1706 KB  
Article
Engineering Single-Chain Antibody Fragment (scFv) Variants Targeting A Disintegrin and Metalloproteinase-17 (ADAM-17)
by Masoud Kalantar, Elham Khorasani Buxton, Korey M. Reid, Donald Bleyl, David M. Leitner and Maryam Raeeszadeh-Sarmazdeh
Biomolecules 2026, 16(1), 31; https://doi.org/10.3390/biom16010031 - 24 Dec 2025
Viewed by 265
Abstract
Metalloproteinases (MPs) are zinc-dependent endopeptidases, including matrix metalloproteinases (MMPs) and a disintegrin and metalloproteinases (ADAMs), implicated in various diseases such as cancer, neurodegenerative disorders, and cardiovascular conditions. Among MPs, ADAM-17, also known as tumor necrosis factor-α (TNF-α)-converting enzyme (TACE), plays a crucial role [...] Read more.
Metalloproteinases (MPs) are zinc-dependent endopeptidases, including matrix metalloproteinases (MMPs) and a disintegrin and metalloproteinases (ADAMs), implicated in various diseases such as cancer, neurodegenerative disorders, and cardiovascular conditions. Among MPs, ADAM-17, also known as tumor necrosis factor-α (TNF-α)-converting enzyme (TACE), plays a crucial role in extracellular matrix remodeling and cytokine release. Dysregulation of ADAM-17 contributes to inflammatory diseases, cancer progression, and immune modulation. While small-molecule inhibitors have been limited by off-target effects and instability, antibody-based approaches offer a more selective strategy. Monoclonal antibodies show promise in blocking ADAM-17 activity, but there are concerns about toxicity due to the lack of selectivity. Enhancing the binding affinity and selectivity of single-chain antibodies requires unraveling the structural details that drive MP targeting. This study uses yeast surface display (YSD) and fluorescence-activated cell sorting (FACS) to engineer single-chain variable fragment (scFv) antibodies with optimized complementarity-determining region 3 of the heavy chain (CDR-H3) conformations. Next-generation sequencing (NGS) was used to identify key residues contributing to high-affinity ADAM-17 binding. These findings offer a framework for designing monoclonal antibodies against ADAM-17 and other MPs, paving the way for novel antibody-based designer scaffolds with applications in developing therapeutics. Full article
Show Figures

Figure 1

15 pages, 1638 KB  
Review
The RNA-Binding Protein KSRP Is a Negative Regulator of Innate Immunity
by Vanessa Bolduan, Andrea Pautz and Matthias Bros
Biomolecules 2026, 16(1), 30; https://doi.org/10.3390/biom16010030 - 24 Dec 2025
Viewed by 321
Abstract
KSRP (KH-type splicing regulatory protein) has emerged as a pivotal regulator of gene expression at multiple levels, acting as a transcription and splicing factor in the nucleus, and mediating AU-rich element (ARE)-dependent mRNA decay, translational silencing, and microRNA (miRNA) maturation in the cytoplasm. [...] Read more.
KSRP (KH-type splicing regulatory protein) has emerged as a pivotal regulator of gene expression at multiple levels, acting as a transcription and splicing factor in the nucleus, and mediating AU-rich element (ARE)-dependent mRNA decay, translational silencing, and microRNA (miRNA) maturation in the cytoplasm. We and others have shown that KSRP acts as a regulator of immune responses, e.g., by dampening the expression of proinflammatory cytokines such as TNF-α, IL-6, IL-8, but also of NOS2, and facilitating the maturation of regulatory miRNAs, including let-7a, miR-129, and miR-155. This review aims to present current knowledge on the regulation of KSRP activity as conferred by miRNAs, phosphorylation, ubiquitination, SUMOylation, and interactions with long non-coding RNAs to enable dynamic responses towards inflammatory stimuli, and the effects of KSRP on innate immune reactions. Here, KSRP acts as an inhibitor by attenuating RIG-I-mediated antiviral signaling, cytokine production, and phagocytosis. In vivo, KSRP deficiency reduced arthritis severity but heightened inflammatory responses in sepsis and enhanced pathogen clearance in invasive pulmonary aspergillosis. These findings position KSRP as a dual regulator that limits tissue damage while constraining antimicrobial immunity. As a perspective, modulation of KSRP activity by applying pharmacological inhibitors may provide strategies to either suppress hyperinflammation in autoimmunity and sepsis or enhance host defense in immunocompromised states. Full article
(This article belongs to the Special Issue Feature Papers in Molecular Biology Section 2025)
Show Figures

Figure 1

18 pages, 2258 KB  
Review
The Interplay Between Rheumatoid Arthritis and Chronic Kidney Disease: From Mechanisms to Treatment
by Kunihiro Ichinose
J. Clin. Med. 2026, 15(1), 108; https://doi.org/10.3390/jcm15010108 - 23 Dec 2025
Viewed by 418
Abstract
Chronic kidney disease (CKD) is a frequent and clinically significant comorbidity in patients with rheumatoid arthritis (RA), with a reported prevalence ranging from 20% to 50% depending on the cohort and definition applied. The high burden of CKD in RA reflects the complex [...] Read more.
Chronic kidney disease (CKD) is a frequent and clinically significant comorbidity in patients with rheumatoid arthritis (RA), with a reported prevalence ranging from 20% to 50% depending on the cohort and definition applied. The high burden of CKD in RA reflects the complex interplay between traditional risk factors (aging, hypertension, diabetes, and dyslipidemia) and RA-specific factors such as persistent systemic inflammation, immune complex deposition, and long-term exposure to nephrotoxic agents, including older DMARDs (gold, D-penicillamine) and calcineurin inhibitors. Histopathologically, RA-associated kidney involvement encompasses a broad spectrum of conditions, including mesangial proliferative glomerulonephritis, membranous nephropathy, AA amyloidosis, and drug-induced interstitial nephritis. Recent advances in RA therapy, particularly the widespread use of biologic DMARDs, have markedly reduced the incidence of AA amyloidosis and may exert indirect renoprotective effects through stringent inflammation control. However, targeted synthetic DMARDs such as Janus kinase (JAK) inhibitors require careful dose adjustment in CKD and heightened infection vigilance. CKD in RA is a strong predictor of cardiovascular events, serious infections, and all-cause mortality. Importantly, recent data indicate that even low-grade albuminuria below the traditional microalbuminuria threshold is associated with excess mortality in RA. Early detection through routine monitoring of eGFR and urinary albumin-to-creatinine ratio (uACR), combined with individualized pharmacologic adjustment and close collaboration with nephrologists, is essential for optimizing long-term outcomes. This review provides an updated synthesis of the epidemiology, pathophysiological mechanisms, therapeutic strategies, and prognostic implications of CKD in RA, with a particular focus on both Japanese and international evidence. Full article
(This article belongs to the Special Issue Rheumatoid Arthritis: Clinical Updates on Diagnosis and Treatment)
Show Figures

Figure 1

16 pages, 26224 KB  
Article
Exploring the Protective Effect of Gastrodia elata Extract on D-Galactose-Induced Liver Injury in Mice Based on the PI3K/Akt Signaling Pathway
by Liu Han, Hongyu Zhai, Xiangyu Ma, He Li, Qiaosen Ren, Jiating Liu, Zhe Zhang, Xintong Li, Qiuyue Zhang and Xin Sun
Curr. Issues Mol. Biol. 2026, 48(1), 6; https://doi.org/10.3390/cimb48010006 - 20 Dec 2025
Viewed by 372
Abstract
In this research, we sought to methodically examine the protective effects of Gastrodia elata extract (GEE) on liver damage induced by D-galactose (D-gal) in mice and clarify the underlying mechanisms. The chemical composition of GEE was characterized using Ultra-Performance Liquid Chromatography–Tandem Mass Spectrometry [...] Read more.
In this research, we sought to methodically examine the protective effects of Gastrodia elata extract (GEE) on liver damage induced by D-galactose (D-gal) in mice and clarify the underlying mechanisms. The chemical composition of GEE was characterized using Ultra-Performance Liquid Chromatography–Tandem Mass Spectrometry (UPLC-MS/MS), while network pharmacology analysis was employed to predict potential molecular targets and signaling pathways. A mouse model of liver injury was established through daily intraperitoneal injection of D-gal over a 42-day period, during which the hepatoprotective efficacy of GEE was evaluated. Biochemical, histopathological, and molecular analyses were subsequently performed. UPLC-MS/MS identified ingredients such as amino acids, aromatic compounds, fatty acids, and terpenoids in GEE. A network pharmacology analysis enabled the identification of 272 common targets linked to GEE and liver damage, demonstrating notable enrichment within the phosphatidylinositol 3-kinase/protein kinase B (PI3K/Akt) signaling pathway. In vivo experiments demonstrated that GEE effectively alleviated D-gal-induced body weight loss and elevated liver index values, alleviated hepatic histological damage, and reduced serum levels of Alanine Aminotransferase (ALT), Aspartate Aminotransferase (AST), and Alkaline Phosphatase (ALP). Furthermore, GEE enhanced the activities of the antioxidant enzymes superoxide dismutase (SOD) and catalase (CAT), decreased malondialdehyde (MDA) levels, and downregulated the mRNA expression of the pro-inflammatory cytokines Interleukin-6 (IL-6), Interleukin-1 beta (IL-1β), and Tumor Necrosis Factor-alpha (TNF-α). Western blot analysis confirmed that GEE activated the PI3K/Akt pathway, as evidenced by increased ratios of phosphorylated Phosphatidylinositol 3-kinase/Phosphatidylinositol 3-kinase (p-PI3K/PI3K) and phosphorylated AKT/Protein Kinase B (p-AKT/AKT); restored the B-cell lymphoma 2-associated X protein/B-cell lymphoma-2 (Bax/Bcl-2) balance; and reduced cyclin-dependent kinase inhibitor 1 (p21) expression. The results suggest that GEE protects against D-gal-induced liver damage by reducing oxidative stress, inhibiting inflammatory responses, and modulating apoptosis through the activation of the PI3K/Akt signaling pathway, providing support for its potential use in hepatoprotection. Full article
Show Figures

Figure 1

16 pages, 6166 KB  
Article
Potential Use of VYN202, a Novel Small Molecular Bromodomain and Extra-Terminal Inhibitor, in Mitigating Secondhand Smoke (SHS)-Induced Pulmonary Inflammation
by Katelyn A. Sturgis, Benjamin D. Davidson, Andrew W. Richardson, Olivia Hiatt, Blake C. Edwards, Ethan P. Evans, Carrleigh Campbell, Jack H. Radford, Juan A. Arroyo, Benjamin T. Bikman and Paul R. Reynolds
Curr. Issues Mol. Biol. 2025, 47(12), 1062; https://doi.org/10.3390/cimb47121062 - 18 Dec 2025
Viewed by 216
Abstract
Inflammation underpins pulmonary disease progression during tobacco smoke exposure, which may culminate in irreversible pulmonary disease. While primary smoke poses a notable risk, nearly half of the US population is also susceptible due to frequent exposure to secondhand smoke (SHS). In the present [...] Read more.
Inflammation underpins pulmonary disease progression during tobacco smoke exposure, which may culminate in irreversible pulmonary disease. While primary smoke poses a notable risk, nearly half of the US population is also susceptible due to frequent exposure to secondhand smoke (SHS). In the present study, we assessed the potential role of VYN202, a novel small molecular bromodomain and extra-terminal inhibitor, as a possible means of attenuating SHS-mediated inflammation. We exposed wild-type mice to an acute time course of room air (RA), SHS via a nose-only delivery system (Scireq Scientific, Montreal, Canada), or to both SHS and 10 mg/kg VYN202 (efficacious dose from prior inflammatory models) via oral gavage three times a week. Specific smoke exposure delivery to mice involved SHS from two cigarettes over 10 min, equilibration in room air for 10 min, followed by exposure to SHS from one cigarette for an additional 10 min, for a total SHS exposure of 20 min per day, five days a week for 30 days. We evaluated leukocyte abundance and the secretion of inflammatory mediators in bronchoalveolar lavage fluid (BALF). We also assessed general morphology via histology staining and the activation of receptor tyrosine kinase (RTK) family members. While standard hematoxylin and eosin (H&E) staining resulted in unchanged morphology, SHS-mediated increases in BALF protein abundance, total cellularity, and percent PMNs were attenuated with concomitant administration of VYN202. We also discovered SHS-induced activation of RTKs that were pro-inflammatory (JAK1, JAK3, ABL1, and ACK1), as well as RTKs related to endothelial and vascular remodeling (VEGFR3, VEGFR2, EphB4, EphB6, and FAK). Furthermore, inflammatory cytokines including GCSF, IFN-γ, IL-12p70, IL-17A, LIX, and TNF-α were all augmented by SHS exposure. Despite SHS exposure, each of these RTKs and cytokines/chemokines was significantly attenuated by VYN202. In summary, inflammatory responses induced by SHS exposure were mitigated by VYN202. These data reveal fascinating potential for the utility of VYN202 in lessening smoke-induced pulmonary exacerbations. Full article
(This article belongs to the Section Molecular Medicine)
Show Figures

Figure 1

20 pages, 3578 KB  
Article
Decoding Bromodomain and Extra-Terminal Domain Protein-Mediated Epigenetic Mechanisms in Human Uterine Fibroids
by Qiwei Yang, Somayeh Vafaei, Ali Falahati, Azad Khosh, Mervat M. Omran, Tao Bai, Maria Victoria Bariani, Mohamed Ali, Thomas G. Boyer and Ayman Al-Hendy
Int. J. Mol. Sci. 2025, 26(24), 12144; https://doi.org/10.3390/ijms262412144 - 17 Dec 2025
Viewed by 309
Abstract
Uterine Fibroids (UFs) are the most common benign tumors in women of reproductive age, affecting ~77% of women overall and are clinically manifest in ~25% by age 50. Bromodomain and extra-terminal domain (BET) proteins play key roles in epigenetic transcriptional regulation, influencing many [...] Read more.
Uterine Fibroids (UFs) are the most common benign tumors in women of reproductive age, affecting ~77% of women overall and are clinically manifest in ~25% by age 50. Bromodomain and extra-terminal domain (BET) proteins play key roles in epigenetic transcriptional regulation, influencing many biological processes, such as proliferation, differentiation, and DNA damage response. Although BET dysregulation contributes to various diseases, their specific role in the pathogenesis of UFs remains largely unexplored. The present study aimed to determine the expression pattern of BET proteins in UFs and matched myometrium and further assess the impact of BET inhibitors on UF phenotype and epigenetic changes. Our studies demonstrated that the levels of Bromodomain-containing protein (BRD)2 and detection rate of BRD4 were significantly altered in UFs compared to matched myometrium, suggesting that aberrant BET protein expression may contribute to the pathogenesis of UFs. To investigate the biological effects of BET proteins, two small-molecule inhibitors, JQ1 and I-BET762, were used to assess their impact on UF cell behavior and transcriptomic profiles. Targeted inhibition of BET proteins markedly reduced UF cell viability compared with myometrial cells and induced cell cycle arrest. Unbiased transcriptomic profiling coupled with bioinformatic analysis revealed that BET inhibition altered multiple biological pathways, including G2M checkpoint, E2F targets, mitotic spindle, mTORC1 signaling, TNF-α signaling via NF-κB, and inflammatory response, as well as reprogrammed the UF cell epigenome. Notably, BET inhibition decreased the expression of several genes encoding extracellular matrix (ECM) proteins, a hallmark of UFs. Collectively, these results support that BET proteins play a pivotal role in regulating key signaling pathways and cellular processes in UFs. Targeting BET proteins may therefore represent a promising non-hormonal therapeutic strategy for UF treatment. Full article
(This article belongs to the Section Biochemistry)
Show Figures

Figure 1

16 pages, 1006 KB  
Review
Should Fertility Preservation Be Offered to Young Women with Melanoma Receiving Immune Checkpoint Inhibitors? A SWOT Analysis
by Diego Raimondo, Michele Miscia, Antonio Raffone, Manuela Maletta, Linda Cipriani, Paola Valeria Marchese, Francesca Comito, Rossella Vicenti, Federica Cortese, Enrico Pazzaglia, Linda Bertoldo, Luigi Cobellis and Renato Seracchioli
Curr. Oncol. 2025, 32(12), 702; https://doi.org/10.3390/curroncol32120702 - 12 Dec 2025
Viewed by 484
Abstract
Immune checkpoint inhibitors (ICIs) have reshaped melanoma care, yielding durable remissions even in high-risk stages. As survival improves, fertility becomes a key survivorship concern for young women, yet the reproductive safety of ICIs remains insufficiently characterised. We performed a SWOT (Strengths, Weaknesses, Opportunities, [...] Read more.
Immune checkpoint inhibitors (ICIs) have reshaped melanoma care, yielding durable remissions even in high-risk stages. As survival improves, fertility becomes a key survivorship concern for young women, yet the reproductive safety of ICIs remains insufficiently characterised. We performed a SWOT (Strengths, Weaknesses, Opportunities, Threats) analysis synthesizing preclinical and clinical evidence to evaluate the rationale for fertility preservation (FP) prior to checkpoint inhibitor therapy. Preclinical models of PD-1/CTLA-4 blockade demonstrate ovarian immune activation, cytokine release (e.g., TNF-α), and follicular loss. Conversely, human data are limited to correlative analyses suggesting potential declines in ovarian reserve markers. In conclusion, while prospective studies are required to definitively quantify risk, proactive fertility preservation counselling should be routinely offered prior to treatment initiation to safeguard reproductive autonomy without compromising oncologic safety. Full article
(This article belongs to the Section Childhood, Adolescent and Young Adult Oncology)
Show Figures

Figure 1

Back to TopTop