Sign in to use this feature.

Years

Between: -

Subjects

remove_circle_outline
remove_circle_outline
remove_circle_outline
remove_circle_outline
remove_circle_outline
remove_circle_outline

Journals

Article Types

Countries / Regions

Search Results (18)

Search Parameters:
Keywords = Stacking-RR

Order results
Result details
Results per page
Select all
Export citation of selected articles as:
31 pages, 3644 KB  
Article
Machine Learning for Basketball Game Outcomes: NBA and WNBA Leagues
by João M. Alves and Ramiro S. Barbosa
Computation 2025, 13(10), 230; https://doi.org/10.3390/computation13100230 - 1 Oct 2025
Viewed by 467
Abstract
Artificial intelligence has become crucial in sports, leveraging its analytical capabilities to enhance the understanding and prediction of complex events. Machine learning algorithms in sports, especially basketball, are transforming performance analysis by identifying patterns and trends invisible to traditional methods. This technology provides [...] Read more.
Artificial intelligence has become crucial in sports, leveraging its analytical capabilities to enhance the understanding and prediction of complex events. Machine learning algorithms in sports, especially basketball, are transforming performance analysis by identifying patterns and trends invisible to traditional methods. This technology provides in-depth insights into individual and team performance, enabling precise evaluation of strategies and tactics. Consequently, the detailed analysis of every aspect of a team’s routine can significantly elevate the level of competition in the sport. This study investigates a range of machine learning models, including Logistic Regression (LR), Ridge Regression Classifier (RR), Random Forest (RF), Naive Bayes (NB), K-Nearest Neighbors (KNNs), Support Vector Machine (SVM), Stacking Classifier (STACK), Bagging Classifier (BAG), Multi-Layer Perceptron (MLP), AdaBoost (AB), and XGBoost (XGB), as well as deep learning architectures such as Long Short-Term Memory (LSTM) networks and Convolutional Neural Networks (CNNs), to compare their effectiveness in predicting game outcomes in the NBA and WNBA leagues. The results show highly acceptable prediction accuracies of 65.50% for the NBA and 67.48% for the WNBA. This study allows us to understand the impact that artificial intelligence can have on the world of basketball and its current state in relation to previous studies. It can provide valuable insights for coaches, performance analysts, team managers, and sports strategists by using machine learning and deep learning models to predict NBA and WNBA outcomes, enabling informed decisions and enhancing competitive performance. Full article
(This article belongs to the Section Computational Engineering)
Show Figures

Figure 1

25 pages, 3640 KB  
Article
Ensemble Learning-Driven and UAV Multispectral Analysis for Estimating the Leaf Nitrogen Content in Winter Wheat
by Yu Han, Jiaxue Zhang, Yan Bai, Zihao Liang, Xinhui Guo, Yu Zhao, Meichen Feng, Lujie Xiao, Xiaoyan Song, Meijun Zhang, Wude Yang, Guangxin Li, Sha Yang, Xingxing Qiao and Chao Wang
Agronomy 2025, 15(7), 1621; https://doi.org/10.3390/agronomy15071621 - 2 Jul 2025
Viewed by 718
Abstract
The aim of this study is to develop a rapid method for monitoring leaf nitrogen content (LNC) in winter wheat, which is essential for precise field management and accurate crop growth assessment. This study used a natural winter wheat population at Shanxi Agricultural [...] Read more.
The aim of this study is to develop a rapid method for monitoring leaf nitrogen content (LNC) in winter wheat, which is essential for precise field management and accurate crop growth assessment. This study used a natural winter wheat population at Shanxi Agricultural University’s experimental base as the subject. UAV-mounted multispectral sensors collected images at jointing, heading, pre-grouting, and late grouting stages. Canopy spectral reflectance was extracted using image segmentation, and vegetation indices were calculated. Correlation analysis identified highly relevant indices with LNC. Support Vector Regression (SVR), Random Forest (RF), Ridge Regression (RR), K-Nearest Neighbors (K-NN), and ensemble learning algorithms (Voting and Stacking) were employed to model the relationship between selected vegetation indices and LNC. Model performance was evaluated using the coefficient of determination (R2) and root mean square error (RMSE). Results showed that the Voting-based ensemble learning model outperformed other models. At the pre-grouting stage, this model achieved an R2 of 0.85 and an RMSE of 1.57 for the training set, and an R2 of 0.82 and an RMSE of 1.64 for the testing set. This study provides a theoretical basis and technical reference for monitoring LNC in winter wheat at key growth stages using low-altitude multispectral sensors, supporting precision agriculture and variety evaluation. Full article
Show Figures

Figure 1

12 pages, 1433 KB  
Article
Outstanding Adsorption of Reactive Red 2 and Reactive Blue 19 Dyes on MIL-101 (Cr): Novel Physicochemical Analysis of Underlying Mechanism Through Statistical Physics Modeling
by Lotfi Sellaoui, Nour Sghaier and Alessandro Erto
Water 2025, 17(11), 1665; https://doi.org/10.3390/w17111665 - 30 May 2025
Viewed by 685
Abstract
An outstanding adsorbent, such as the metal–organic framework (MOF) MIL-101 (Cr), was employed to study the adsorption of two dyes, namely reactive red 2 (RR2) and reactive blue 19 (RB19). Experimental adsorption data were retrieved at T = 25, 35 and 45 °C [...] Read more.
An outstanding adsorbent, such as the metal–organic framework (MOF) MIL-101 (Cr), was employed to study the adsorption of two dyes, namely reactive red 2 (RR2) and reactive blue 19 (RB19). Experimental adsorption data were retrieved at T = 25, 35 and 45 °C and analyzed to define the adsorption mechanism of these dyes. A modeling approach based on a double-layer model derived from statistical physics was used. The maximum adsorption capacity (MAC) was found to be 875, 954 and 1002 mg/g for RR2 and 971, 1093 and 1148 mg/g for RB19, at T = 25, 35 and 45 °C, respectively. These values indicate that MIL-101 (Cr) exhibits outstanding performance in removing potential water pollutants such as the RR2 and RB19 dyes. The possible orientations of the RR2 and RB19 dyes upon adsorption were determined by analyzing the number of dye molecules bound per MIL-101 (Cr) active sites during the adsorption process. It was found that the RR2 dye was removed via a mixed parallel and non-parallel orientation on MIL-101 (Cr), while RB19 was removed via an inclined orientation at higher temperatures. The adsorption mechanism suggested that MIL-101 (Cr) site density was reduced due to an exothermic effect, which decreases the number of active sites participating in dye adsorption, even though the reduction in water adsorption may be attributed to the overall endothermic behavior. From the adsorption energy (AE) and the chemical structure of MIL-101 (Cr) and both dyes, it was concluded that hydrogen bonds, Van der Waals forces and π-π stacking are involved in the dye removal process. This research provides new physical insights into the adsorption mechanism of two relevant dyes on an outstanding adsorbent such as the MIL-101 (Cr) MOF. Full article
(This article belongs to the Section Wastewater Treatment and Reuse)
Show Figures

Figure 1

18 pages, 2795 KB  
Article
Study on the Detection of Chlorophyll Content in Tomato Leaves Based on RGB Images
by Xuehui Zhang, Huijiao Yu, Jun Yan and Xianyong Meng
Horticulturae 2025, 11(6), 593; https://doi.org/10.3390/horticulturae11060593 - 26 May 2025
Viewed by 1884
Abstract
Chlorophyll is a key substance in plant photosynthesis, and its content detection methods are of great significance in the field of agricultural AI. These methods provide important technical support for crop growth monitoring, pest and disease identification, and yield prediction, playing a crucial [...] Read more.
Chlorophyll is a key substance in plant photosynthesis, and its content detection methods are of great significance in the field of agricultural AI. These methods provide important technical support for crop growth monitoring, pest and disease identification, and yield prediction, playing a crucial role in improving agricultural productivity and the level of intelligence in farming. This paper aims to explore an efficient and low-cost non-destructive method for detecting chlorophyll content (SPAD) and investigate the feasibility of smartphone image analysis technology in predicting chlorophyll content in greenhouse tomatoes. This study uses greenhouse tomato leaves as the experimental object and analyzes the correlation between chlorophyll content and image color features. First, leaf images are captured using a smartphone, and 42 color features based on the red, green, and blue (R, G, B) color channels are constructed to assess their correlation with chlorophyll content. The experiment selects eight color features most sensitive to chlorophyll content, including B, (2G − R − B)/(2G + R + B), GLA, RGBVI, g, g − b, ExG, and CIVE. Based on this, this study constructs and evaluates the predictive performance of multiple models, including multiple linear regression (MLR), ridge regression (RR), support vector regression (SVR), random forest (RF), and the Stacking ensemble learning model. The experimental results indicate that the Stacking ensemble learning model performs the best in terms of prediction accuracy and stability (R2 = 0.8359, RMSE = 0.8748). The study confirms the feasibility of using smartphone image analysis for estimating chlorophyll content, providing a convenient, cost-effective, and efficient technological approach for crop health monitoring and precision agriculture management. This method helps agricultural workers to monitor crop growth in real-time and optimize management decisions. Full article
(This article belongs to the Section Vegetable Production Systems)
Show Figures

Figure 1

17 pages, 12137 KB  
Article
Ensemble Learning for Oat Yield Prediction Using Multi-Growth Stage UAV Images
by Pengpeng Zhang, Bing Lu, Jiali Shang, Xingyu Wang, Zhenwei Hou, Shujian Jin, Yadong Yang, Huadong Zang, Junyong Ge and Zhaohai Zeng
Remote Sens. 2024, 16(23), 4575; https://doi.org/10.3390/rs16234575 - 6 Dec 2024
Cited by 4 | Viewed by 1992
Abstract
Accurate crop yield prediction is crucial for optimizing cultivation practices and informing breeding decisions. Integrating UAV-acquired multispectral datasets with advanced machine learning methodologies has markedly refined the accuracy of crop yield forecasting. This study aimed to construct a robust and versatile yield prediction [...] Read more.
Accurate crop yield prediction is crucial for optimizing cultivation practices and informing breeding decisions. Integrating UAV-acquired multispectral datasets with advanced machine learning methodologies has markedly refined the accuracy of crop yield forecasting. This study aimed to construct a robust and versatile yield prediction model for multi-genotyped oat varieties by investigating 14 modeling scenarios that combine multispectral data from four key growth stages. An ensemble learning framework, StackReg, was constructed by stacking four base algorithms—ridge regression (RR), support vector machines (SVM), Cubist, and extreme gradient boosting (XGBoost)—to predict oat yield. The results show that, for single growth stages, base models achieved R2 values within the interval of 0.02 to 0.60 and RMSEs ranging from 391.50 to 620.49 kg/ha. By comparison, the StackReg improved performance, with R2 values extending from 0.25 to 0.61 and RMSEs narrowing to 385.33 and 542.02 kg/ha. In dual-stage and multi-stage settings, the StackReg consistently surpassed the base models, reaching R2 values of up to 0.65 and RMSE values as low as 371.77 kg/ha. These findings underscored the potential of combining UAV-derived multispectral imagery with ensemble learning for high-throughput phenotyping and yield forecasting, advancing precision agriculture in oat cultivation. Full article
(This article belongs to the Section Remote Sensing in Agriculture and Vegetation)
Show Figures

Graphical abstract

23 pages, 5725 KB  
Article
Estimation of the Aboveground Carbon Storage of Dendrocalamus giganteus Based on Spaceborne Lidar Co-Kriging
by Huanfen Yang, Zhen Qin, Qingtai Shu, Lei Xi, Cuifen Xia, Zaikun Wu, Mingxing Wang and Dandan Duan
Forests 2024, 15(8), 1440; https://doi.org/10.3390/f15081440 - 15 Aug 2024
Cited by 2 | Viewed by 1896
Abstract
Bamboo forests, as some of the integral components of forest ecosystems, have emerged as focal points in forestry research due to their rapid growth and substantial carbon sequestration capacities. In this paper, satellite-borne lidar data from GEDI and ICESat-2/ATLAS are utilized as the [...] Read more.
Bamboo forests, as some of the integral components of forest ecosystems, have emerged as focal points in forestry research due to their rapid growth and substantial carbon sequestration capacities. In this paper, satellite-borne lidar data from GEDI and ICESat-2/ATLAS are utilized as the main information sources, with Landsat 9 and DEM data as covariates, combined with 51 pieces of ground-measured data. Using random forest regression (RFR), boosted regression tree (BRT), k-nearest neighbor (KNN), Cubist, extreme gradient boosting (XGBoost), and Stacking-ridge regression (RR) machine learning methods, an aboveground carbon (AGC) storage model was constructed at a regional scale. The model evaluation indices were the coefficient of determination (R2), root mean square error (RMSE), and overall estimation accuracy (P). The results showed that (1) The best-fit semivariogram models for cdem, fdem, fndvi, pdem, and andvi were Gaussian models, while those for h1b7, h2b7, h3b7, and h4b7 were spherical models; (2) According to Pearson correlation analysis, the AGC of Dendrocalamus giganteus showed an extremely significant correlation (p < 0.01) with cdem and pdem from GEDI, and also showed an extremely significant correlation with andvi, h1b7, h2b7, h3b7, and h4b7 from ICESat-2/ATLAS; moreover, AGC showed a significant correlation (0.01 < p < 0.05) with fdem and fndvi from GEDI; (3) The estimation accuracy of the GEDI model was superior to that of the ICESat-2/ATLAS model; additionally, the estimation accuracy of the Stacking-RR model, which integrates GEDI and ICESat-2/ATLAS (R2 = 0.92, RMSE = 5.73 Mg/ha, p = 86.19%), was better than that of any single model (XGBoost, RFR, BRT, KNN, Cubist); (4) Based on the Stacking-RR model, the estimated AGC of Dendrocalamus giganteus within the study area was 1.02 × 107 Mg. The average AGC was 43.61 Mg/ha, with a maximum value of 76.43 Mg/ha and a minimum value of 15.52 Mg/ha. This achievement can serve as a reference for estimating other bamboo species using GEDI and ICESat-2/ATLAS remote sensing technologies and provide decision support for the scientific operation and management of Dendrocalamus giganteus. Full article
Show Figures

Figure 1

19 pages, 2488 KB  
Article
Predicting Grapevine Physiological Parameters Using Hyperspectral Remote Sensing Integrated with Hybrid Convolutional Neural Network and Ensemble Stacked Regression
by Prakriti Sharma, Roberto Villegas-Diaz and Anne Fennell
Remote Sens. 2024, 16(14), 2626; https://doi.org/10.3390/rs16142626 - 18 Jul 2024
Cited by 4 | Viewed by 2170
Abstract
Grapevine rootstocks are gaining importance in viticulture as a strategy to combat abiotic challenges, as well as enhance scion physiology. Direct leaf-level physiological parameters like net assimilation rate, stomatal conductance to water vapor, quantum yield of PSII, and transpiration can illuminate the rootstock [...] Read more.
Grapevine rootstocks are gaining importance in viticulture as a strategy to combat abiotic challenges, as well as enhance scion physiology. Direct leaf-level physiological parameters like net assimilation rate, stomatal conductance to water vapor, quantum yield of PSII, and transpiration can illuminate the rootstock effect on scion physiology. However, these measures are time-consuming and limited to leaf-level analysis. This study used different rootstocks to investigate the potential application of aerial hyperspectral imagery in the estimation of canopy level measurements. A statistical framework was developed as an ensemble stacked regression (REGST) that aggregated five different individual machine learning algorithms: Least absolute shrinkage and selection operator (Lasso), Partial least squares regression (PLSR), Ridge regression (RR), Elastic net (ENET), and Principal component regression (PCR) to optimize high-throughput assessment of vine physiology. In addition, a Convolutional Neural Network (CNN) algorithm was integrated into an existing REGST, forming a hybrid CNN-REGST model with the aim of capturing patterns from the hyperspectral signal. Based on the findings, the performance of individual base models exhibited variable prediction accuracies. In most cases, Ridge Regression (RR) demonstrated the lowest test Root Mean Squared Error (RMSE). The ensemble stacked regression model (REGST) outperformed the individual machine learning algorithms with an increase in R2 by (0.03 to 0.1). The performances of CNN-REGST and REGST were similar in estimating the four different traits. Overall, these models were able to explain approximately 55–67% of the variation in the actual ground-truth data. This study suggests that hyperspectral features integrated with powerful AI approaches show great potential in tracing functional traits in grapevines. Full article
Show Figures

Figure 1

18 pages, 3298 KB  
Article
Wheat Yield Prediction Using Machine Learning Method Based on UAV Remote Sensing Data
by Shurong Yang, Lei Li, Shuaipeng Fei, Mengjiao Yang, Zhiqiang Tao, Yaxiong Meng and Yonggui Xiao
Drones 2024, 8(7), 284; https://doi.org/10.3390/drones8070284 - 24 Jun 2024
Cited by 31 | Viewed by 4844
Abstract
Accurate forecasting of crop yields holds paramount importance in guiding decision-making processes related to breeding efforts. Despite significant advancements in crop yield forecasting, existing methods often struggle with integrating diverse sensor data and achieving high prediction accuracy under varying environmental conditions. This study [...] Read more.
Accurate forecasting of crop yields holds paramount importance in guiding decision-making processes related to breeding efforts. Despite significant advancements in crop yield forecasting, existing methods often struggle with integrating diverse sensor data and achieving high prediction accuracy under varying environmental conditions. This study focused on the application of multi-sensor data fusion and machine learning algorithms based on unmanned aerial vehicles (UAVs) in wheat yield prediction. Five machine learning (ML) algorithms, namely random forest (RF), partial least squares (PLS), ridge regression (RR), k-nearest neighbor (KNN) and extreme gradient boosting decision tree (XGboost), were utilized for multi-sensor data fusion, together with three ensemble methods including the second-level ensemble methods (stacking and feature-weighted) and the third-level ensemble method (simple average), for wheat yield prediction. The 270 wheat hybrids were used as planting materials under full and limited irrigation treatments. A cost-effective multi-sensor UAV platform, equipped with red–green–blue (RGB), multispectral (MS), and thermal infrared (TIR) sensors, was utilized to gather remote sensing data. The results revealed that the XGboost algorithm exhibited outstanding performance in multi-sensor data fusion, with the RGB + MS + Texture + TIR combination demonstrating the highest fusion performance (R2 = 0.660, RMSE = 0.754). Compared with the single ML model, the employment of three ensemble methods significantly enhanced the accuracy of wheat yield prediction. Notably, the third-layer simple average ensemble method demonstrated superior performance (R2 = 0.733, RMSE = 0.668 t ha−1). It significantly outperformed both the second-layer ensemble methods of stacking (R2 = 0.668, RMSE = 0.673 t ha−1) and feature-weighted (R2 = 0.667, RMSE = 0.674 t ha−1), thereby exhibiting superior predictive capabilities. This finding highlighted the third-layer ensemble method’s ability to enhance predictive capabilities and refined the accuracy of wheat yield prediction through simple average ensemble learning, offering a novel perspective for crop yield prediction and breeding selection. Full article
Show Figures

Figure 1

13 pages, 2415 KB  
Article
A Pair of Multifunctional Cu(II)–Dy(III) Enantiomers with Zero–Field Single–Molecule Magnet Behaviors, Proton Conduction Properties and Magneto–Optical Faraday Effects
by Shui-Dong Zhu, Yu-Lin Zhou, Fang Liu, Yu Lei, Sui-Jun Liu, He-Rui Wen, Bin Shi, Shi-Yong Zhang, Cai-Ming Liu and Ying-Bing Lu
Molecules 2023, 28(22), 7506; https://doi.org/10.3390/molecules28227506 - 9 Nov 2023
Cited by 4 | Viewed by 2152
Abstract
Multifunctional materials with a coexistence of proton conduction properties, single–molecule magnet (SMM) behaviors and magneto–optical Faraday effects have rarely been reported. Herein, a new pair of Cu(II)–Dy(III) enantiomers, [DyCu2(RR/SS–H2L)2(H2O)4(NO3) [...] Read more.
Multifunctional materials with a coexistence of proton conduction properties, single–molecule magnet (SMM) behaviors and magneto–optical Faraday effects have rarely been reported. Herein, a new pair of Cu(II)–Dy(III) enantiomers, [DyCu2(RR/SS–H2L)2(H2O)4(NO3)2]·(NO3)·(H2O) (R1 and S1) (H4L = [RR/SS] –N,N′–bis [3–hydroxysalicylidene] –1,2–cyclohexanediamine), has been designed and prepared using homochiral Schiff–base ligands. R1 and S1 contain linear Cu(II)–Dy(III)–Cu(II) trinuclear units and possess 1D stacking channels within their supramolecular networks. R1 and S1 display chiral optical activity and strong magneto–optical Faraday effects. Moreover, R1 shows a zero–field SMM behavior. In addition, R1 demonstrates humidity– and temperature–dependent proton conductivity with optimal values of 1.34 × 10−4 S·cm−1 under 50 °C and 98% relative humidity (RH), which is related to a 1D extended H–bonded chain constructed by water molecules, nitrate and phenol groups of the RR–H2L ligand. Full article
(This article belongs to the Special Issue Exclusive Feature Papers in Inorganic Chemistry, 2nd Edition)
Show Figures

Graphical abstract

20 pages, 15813 KB  
Article
Exploring Multisource Feature Fusion and Stacking Ensemble Learning for Accurate Estimation of Maize Chlorophyll Content Using Unmanned Aerial Vehicle Remote Sensing
by Weiguang Zhai, Changchun Li, Qian Cheng, Fan Ding and Zhen Chen
Remote Sens. 2023, 15(13), 3454; https://doi.org/10.3390/rs15133454 - 7 Jul 2023
Cited by 30 | Viewed by 3495
Abstract
Crop chlorophyll content measuring plays a vital role in monitoring crop growth and optimizing agricultural inputs such as water and fertilizer. However, traditional methods for measuring chlorophyll content primarily rely on labor-intensive chemical analysis. These methods not only involve destructive sampling but also [...] Read more.
Crop chlorophyll content measuring plays a vital role in monitoring crop growth and optimizing agricultural inputs such as water and fertilizer. However, traditional methods for measuring chlorophyll content primarily rely on labor-intensive chemical analysis. These methods not only involve destructive sampling but also are time-consuming, often resulting in obtaining monitoring results after the optimal growth period of crops. Unmanned aerial vehicle (UAV) remote sensing technology offers the potential for rapidly acquiring chlorophyll content estimations over large areas. Currently, most studies only utilize single features from UAV data and employ traditional machine learning algorithms to estimate chlorophyll content, while the potential of multisource feature fusion and stacking ensemble learning in chlorophyll content estimation research remains largely unexplored. Therefore, this study collected UAV spectral features, thermal features, structural features, as well as chlorophyll content data during maize jointing, trumpet, and big trumpet stages, creating a multisource feature dataset. Subsequently, chlorophyll content estimation models were built based on four machine learning algorithms, namely, ridge regression (RR), light gradient boosting machine (LightGBM), random forest regression (RFR), and stacking ensemble learning. The research results demonstrate that (1) the multisource feature fusion approach achieves higher estimation accuracy compared to the single-feature method, with R2 ranging from 0.699 to 0.754 and rRMSE ranging from 8.36% to 9.47%; and (2) the stacking ensemble learning outperforms traditional machine learning algorithms in chlorophyll content estimation accuracy, particularly when combined with multisource feature fusion, resulting in the best estimation results. In summary, this study proves the effective improvement in chlorophyll content estimation accuracy through multisource feature fusion and stacking ensemble learning. The combination of these methods provides reliable estimation of chlorophyll content using UAV remote sensing technology and brings new insights to precision agriculture management in this field. Full article
Show Figures

Graphical abstract

21 pages, 10928 KB  
Article
A Machine-Learning Model Based on the Fusion of Spectral and Textural Features from UAV Multi-Sensors to Analyse the Total Nitrogen Content in Winter Wheat
by Zongpeng Li, Xinguo Zhou, Qian Cheng, Shuaipeng Fei and Zhen Chen
Remote Sens. 2023, 15(8), 2152; https://doi.org/10.3390/rs15082152 - 19 Apr 2023
Cited by 30 | Viewed by 3847
Abstract
Timely and accurate monitoring of the nitrogen levels in winter wheat can reveal its nutritional status and facilitate informed field management decisions. Machine learning methods can improve total nitrogen content (TNC) prediction accuracy by fusing spectral and texture features from UAV-based image data. [...] Read more.
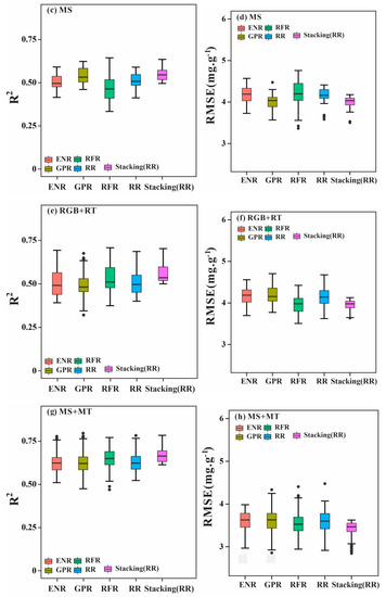
Timely and accurate monitoring of the nitrogen levels in winter wheat can reveal its nutritional status and facilitate informed field management decisions. Machine learning methods can improve total nitrogen content (TNC) prediction accuracy by fusing spectral and texture features from UAV-based image data. This study used four machine learning models, namely Gaussian Process Regression (GPR), Random Forest Regression (RFR), Ridge Regression (RR), and Elastic Network Regression (ENR), to fuse data and the stacking ensemble learning method to predict TNC during the winter wheat heading period. Thirty wheat varieties were grown under three nitrogen treatments to evaluate the predictive ability of multi-sensor (RGB and multispectral) spectral and texture features. Results showed that adding texture features improved the accuracy of TNC prediction models constructed based on spectral features, with higher accuracy observed with more features input into the model. The GPR, RFR, RR, and ENR models yielded coefficient of determination (R2) values ranging from 0.382 to 0.697 for TNC prediction accuracy. Among these models, the ensemble learning approach produced the best TNC prediction performance (R2 = 0.726, RMSE = 3.203 mg·g−1, MSE = 10.259 mg·g−1, RPD = 1.867, RPIQ = 2.827). Our findings suggest that accurate TNC prediction based on UAV multi-sensor spectral and texture features can be achieved through data fusion and ensemble learning, offering a high-throughput phenotyping approach valuable for future precision agriculture research. Full article
(This article belongs to the Section Remote Sensing in Agriculture and Vegetation)
Show Figures

Figure 1

23 pages, 6263 KB  
Article
Black Carbon Emission Prediction of Diesel Engine Using Stacked Generalization
by Yongbo Zhang, Miaomiao Wen, Ying Sun, Hui Chen and Yunkai Cai
Atmosphere 2022, 13(11), 1855; https://doi.org/10.3390/atmos13111855 - 8 Nov 2022
Cited by 7 | Viewed by 2206
Abstract
With the continuous growth of international maritime trade, black carbon (BC) emissions from ships have caused great harm to the natural environment and human health. Controlling the BC emissions from ships is of positive significance for Earth’s environmental governance. In order to accelerate [...] Read more.
With the continuous growth of international maritime trade, black carbon (BC) emissions from ships have caused great harm to the natural environment and human health. Controlling the BC emissions from ships is of positive significance for Earth’s environmental governance. In order to accelerate the development process of ship BC emission control technologies, this paper proposes a BC emission prediction model based on stacked generalization (SG). The meta learner of the prediction model is Ridge Regression (RR), and the base learner combines four models: Extreme Gradient Boosting (XGB), Light Gradient Boosting Machine (LGB), Random Forest (RF), and Support Vector Regression (SVR). We used mutual information (MI) to measure the correlation between combustion characteristic parameters (CCPs) and BC emission concentration, and selected them as the features of the prediction model. The results show that the CCPs have a strong correlation with the BC emission concentration of the diesel engine under different working conditions, which can be used to describe the influence of the changes to the combustion process in the cylinder on the BC generation. The introduction of the stacked generalization method reconciles the inherent bias of various models. Compared with traditional models, the fusion model has achieved higher prediction accuracy on the same datasets. The research results of this paper can provide a reference for the research and development of ship black carbon emission control technologies and the formulation of relevant regulations. Full article
(This article belongs to the Special Issue Industrial Air Pollution: Emission, Management and Policy)
Show Figures

Figure 1

22 pages, 5949 KB  
Article
Choosing Feature Selection Methods for Spatial Modeling of Soil Fertility Properties at the Field Scale
by Caner Ferhatoglu and Bradley A. Miller
Agronomy 2022, 12(8), 1786; https://doi.org/10.3390/agronomy12081786 - 29 Jul 2022
Cited by 11 | Viewed by 3278
Abstract
With the growing availability of environmental covariates, feature selection (FS) is becoming an essential task for applying machine learning (ML) in digital soil mapping (DSM). In this study, the effectiveness of six types of FS methods from four categories (filter, wrapper, embedded, and [...] Read more.
With the growing availability of environmental covariates, feature selection (FS) is becoming an essential task for applying machine learning (ML) in digital soil mapping (DSM). In this study, the effectiveness of six types of FS methods from four categories (filter, wrapper, embedded, and hybrid) were compared. These FS algorithms chose relevant covariates from an exhaustive set of 1049 environmental covariates for predicting five soil fertility properties in ten fields, in combination with ten different ML algorithms. Resulting model performance was compared by three different metrics (R2 of 10-fold cross validation (CV), robustness ratio (RR; developed in this study), and independent validation with Lin’s concordance correlation coefficient (IV-CCC)). FS improved CV, RR, and IV-CCC compared to the models built without FS for most fields and soil properties. Wrapper (BorutaShap) and embedded (Lasso-FS, Random forest-FS) methods usually led to the optimal models. The filter-based ANOVA-FS method mostly led to overfit models, especially for fields with smaller sample quantities. Decision-tree based models were usually part of the optimal combination of FS and ML. Considering RR helped identify optimal combinations of FS and ML that can improve the performance of DSM compared to models produced from full covariate stacks. Full article
Show Figures

Figure 1

2 pages, 218 KB  
Abstract
Capillary Electrophoresis–Tandem Mass Spectrometry as an Analytical Technique for the Simultaneous Determination of Multiclass Cyanotoxins
by Rocío Carmona-Molero, María Mar Aparicio-Muriana, Francisco J. Lara, Rafael Cazorla-Vílchez, Maykel Hernández-Mesa, Ana M. García-Campaña and Monsalud del Olmo-Iruela
Biol. Life Sci. Forum 2022, 14(1), 29; https://doi.org/10.3390/blsf2022014029 - 22 Jul 2022
Viewed by 1448
Abstract
Cyanotoxins are toxic metabolites produced by most cyanobacteria. In recent years, the occurrence of cyanobacterial blooms in aquatic ecosystems has temporally and spatially increased because of nutrient oversupply caused by human and also by climatic changes. This increase has a negative impact on [...] Read more.
Cyanotoxins are toxic metabolites produced by most cyanobacteria. In recent years, the occurrence of cyanobacterial blooms in aquatic ecosystems has temporally and spatially increased because of nutrient oversupply caused by human and also by climatic changes. This increase has a negative impact on water quality, ecosystem integrity, and human health. Cyanotoxins constitute a group of compounds with diverse physicochemical properties and their presence in drinkable, fishable, and recreational water is the main health-damaging cause. They are also able to bioaccumulate in plants and vegetables irrigated with contaminated water. Research on the development of suitable analytical methods is needed to establish early-warning strategies for the improved protectionof humans and ecosystems health. Liquid chromatography coupled with mass spectrometry (LC-MS) has been the preferred option for the control of these compounds, mainly using reverse-phase mode or hydrophilic interaction liquid chromatography (HILIC) in order to separate multiclass cyanotoxins of varying polarity, which cannot be handled by the commonly used reverse phase columns. In this work, we propose the use of capillary electrophoresis (CE) coupled with tandem mass spectrometry using triple quadrupole and positive electrospray ionization (CE-(ESI)-MS/MS) to determine a mixture of cyanotoxins with different polarity. CE is an advantageous alternative to LC given its short analysis times, high resolution, low sample and reagent volumes, and the use of silica capillaries and buffers as separation media, resulting in lower cost and low environmental impact. Moreover, CE allows the analysis of molecules hardly affordable by LC, such as polar and very similar compounds (e.g., isomers). The method is designed for the simultaneous determination of eight cyanotoxins belonging to three different classes: cyclic peptides (microcystin-LR, microcystin-RR, and nodularin), alkaloids (cylindrospermopsin, anatoxin-a), and three non-protein amino acids isomers (β-methylamino-L-alanine, 2,4-diaminobutyric acid, and N-(2-aminoethyl) glycine). Separation was achieved using an acidic background electrolyte (BGE) consisting in 2 M of formic acid (FA) and 20% acetonitrile in water. The proper separation and resolution of the three non-protein amino acid isomers was one of the main challenges of the method. This was overcome by applying a voltage of 30 kV in a 90 cm length capillary at 20 °C. Parameters affecting MS detection and the sheath–liquid interface were also studied. Finally, the fixed values were: a sheath gas flow rate of 5 L/min at 195 °C; sheath–liquid consists of MeOH/H2O/FA (50:49.95:0.05 v/v/v), a flow rate of 15 μL/min; and a nozzle voltage of 2000 V; N2 dry gas rate of 11 L/min at 150 °C; a nebulizer pressure of 10 psi; and a capillary voltage of 2000 V. Online pre-concentration approaches were tested in order to achieve higher sensitivity, obtaining a enrichment factor of 4 with a mixed technique of pH-junction and Field Amplied Sample Stacking (FASS). Full article
18 pages, 2336 KB  
Article
An Enhanced Stacking Ensemble Method for Granule Moisture Prediction in Fluidized Bed Granulation
by Binbin Chen, Panling Huang, Jun Zhou and Mindong Li
Processes 2022, 10(4), 725; https://doi.org/10.3390/pr10040725 - 9 Apr 2022
Cited by 3 | Viewed by 2567
Abstract
Moisture is a crucial quality property for granules in fluidized bed granulation (FBG) and accurate prediction of the granule moisture is significant for decision making. This study proposed a novel stacking ensemble method to predict the granule moisture based on granulation process parameters. [...] Read more.
Moisture is a crucial quality property for granules in fluidized bed granulation (FBG) and accurate prediction of the granule moisture is significant for decision making. This study proposed a novel stacking ensemble method to predict the granule moisture based on granulation process parameters. The proposed method employed k-nearest neighbor (KNN), random forest (RF), light gradient boosting machine (LightGBM) and deep neural networks (DNNs) as the base learners, and ridge regression (RR) as the meta learner. To improve the diversity of the base learners, perturbations of the input variables and network structures were adopted in the proposed method, implemented by feature construction and combination of multiple DNNs with a different number of hidden layers, respectively. In the feature construction, a SHapley Additive exPlanations (SHAP) approach was innovatively utilized to construct effective synthetic features, which enhanced the prediction performance of the base learners. The cross-validation results demonstrated that the proposed stacking ensemble method outperformed other machine learning (ML) algorithms in terms of performance evaluation criteria, for which the parameters MAE, MAPE, RMSE, and Adj. R2 were 0.0596, 1.5819, 0.0844, and 0.99485, respectively. Full article
Show Figures

Figure 1

Back to TopTop