Sign in to use this feature.

Years

Between: -

Subjects

remove_circle_outline
remove_circle_outline
remove_circle_outline
remove_circle_outline
remove_circle_outline
remove_circle_outline
remove_circle_outline
remove_circle_outline
remove_circle_outline

Journals

remove_circle_outline
remove_circle_outline
remove_circle_outline
remove_circle_outline
remove_circle_outline
remove_circle_outline
remove_circle_outline

Article Types

Countries / Regions

remove_circle_outline
remove_circle_outline
remove_circle_outline
remove_circle_outline
remove_circle_outline
remove_circle_outline
remove_circle_outline
remove_circle_outline

Search Results (926)

Search Parameters:
Keywords = Stacked Ensemble

Order results
Result details
Results per page
Select all
Export citation of selected articles as:
26 pages, 853 KB  
Article
A Machine Learning Approach for Predicting 30-Day Hospital Readmission in Patients with Diabetes
by Safaa Saad Salim and Abdullahi Abdu Ibrahim
Healthcare 2026, 14(9), 1185; https://doi.org/10.3390/healthcare14091185 - 28 Apr 2026
Abstract
Background: Hospital readmission among patients with diabetes remains a major challenge for healthcare systems, contributing to increased costs and adverse patient outcomes. Early identification of high-risk patients may support targeted interventions and improved care management. Objectives: This study aimed to develop and rigorously [...] Read more.
Background: Hospital readmission among patients with diabetes remains a major challenge for healthcare systems, contributing to increased costs and adverse patient outcomes. Early identification of high-risk patients may support targeted interventions and improved care management. Objectives: This study aimed to develop and rigorously evaluate a machine learning framework for predicting 30-day hospital readmission in patients with diabetes using a large multi-institutional clinical dataset. Methods: The study utilized the Diabetes 130-US Hospitals dataset from the UCI Machine Learning Repository, comprising 101,766 hospital encounters. Data preprocessing included missing-value handling and feature engineering. Several machine learning models were evaluated, including Logistic Regression, Random Forest, XGBoost, and LightGBM, alongside a stacking ensemble model. Model performance was assessed using nested cross-validation (5 outer folds, 3 inner folds), probability calibration via Platt scaling, and statistical robustness through 1000 bootstrap resamples. Clinical utility was evaluated using decision curve analysis and clinical impact curves, while SHAP analysis was applied for model interpretability. Results: The stacking ensemble model achieved a nested cross-validated ROC–AUC of 0.664 and a calibrated AUC of 0.688, with a Brier score of 0.094. Risk stratification demonstrated a clear gradient between low- and high-risk groups, and decision curve analysis indicated positive clinical net benefit across relevant decision thresholds. Conclusions: The proposed machine learning framework provides a robust and clinically interpretable approach for predicting 30-day hospital readmission in diabetic patients, with potential utility for supporting clinical decision-making and care management. Full article
23 pages, 731 KB  
Article
Tempered Fractional Gradient Descent for Stacked Ensembles in Smart Grid Stability Prediction: Improving Calibration and Reliability
by Alaa Alaerjan
Fractal Fract. 2026, 10(5), 298; https://doi.org/10.3390/fractalfract10050298 - 28 Apr 2026
Abstract
This paper introduces a reliability-centric stacking framework for smart-grid stability prediction, considered here as the binary classification of stable versus unstable operating conditions in a benchmark smart-grid dataset. A key methodological strength of the proposed approach is its leakage-safe evaluation protocol, which combines [...] Read more.
This paper introduces a reliability-centric stacking framework for smart-grid stability prediction, considered here as the binary classification of stable versus unstable operating conditions in a benchmark smart-grid dataset. A key methodological strength of the proposed approach is its leakage-safe evaluation protocol, which combines strict outer cross-validation with out-of-fold meta-features so that performance is assessed without reusing validation information. The meta-learner is trained with Tempered Fractional Gradient Descent (TFGD), a history-aware optimizer designed to stabilize meta-level learning and improve the trustworthiness of probability estimates. On the UCI Electrical Grid Stability dataset, the proposed TFGD-stacking framework preserves strong discrimination performance while delivering clear gains in calibration and probabilistic quality compared with soft voting and strong single learners. In particular, it improves Balanced Accuracy and substantially reduces calibration error and proper scoring losses, leading to more reliable probability estimates for threshold-based decision-making. Risk–coverage analysis further shows that these reliability gains translate into better decision support under uncertainty. These findings support TFGD-stacking as a practical and principled approach for smart-grid applications where calibrated probabilities are essential for operational supervision and intervention. Full article
(This article belongs to the Section Probability and Statistics)
25 pages, 1013 KB  
Article
Illuminating the Shadows: An Explainable AI-Driven Approach with Ensemble Learning for Insider Threat Detection
by Shahad Ghawa and Ashwaq Alhargan
Electronics 2026, 15(9), 1863; https://doi.org/10.3390/electronics15091863 - 28 Apr 2026
Abstract
In response to the increasing complexity of insider threats, this study proposes an explainable AI-driven framework designed to emulate real-world analyst workflows in security operations centers (SOCs). The framework integrates ensemble learning models—Random Forest, XGBoost, and Stacking—with behavioral feature engineering across multiple temporal [...] Read more.
In response to the increasing complexity of insider threats, this study proposes an explainable AI-driven framework designed to emulate real-world analyst workflows in security operations centers (SOCs). The framework integrates ensemble learning models—Random Forest, XGBoost, and Stacking—with behavioral feature engineering across multiple temporal granularities (session, daily, and weekly), enabling both fine-grained detection and long-term behavioral analysis. The framework follows a structured pipeline in which LLM-driven filtering is first applied to refine behavioral data using dataset metadata and MITRE ATT&CK-aligned logic, followed by ensemble learning for detection, explainability through SHAP and LIME, and LLM-based interpretation for analyst-oriented insights. A key contribution of this work is a dual-layer explainability architecture, where SHAP values capture global feature importance and LIME values provide instance-level explanations, enhanced by LLM-generated interpretations aligned with the MITRE ATT&CK framework. Due to computational constraints, modeling, full SHAP/LIME explainability, and LLM-guided filtering are applied at the weekly level. This design enables stable and interpretable behavioral analysis, while finer-grained analysis at daily and session levels remains part of future work. The filtering logic simulates SOC playbook-based automation using dataset metadata and MITRE-aligned patterns, reflecting how large-scale behavioral data are handled in practice. Despite the absence of contextual telemetry such as Security Information and Event Management (SIEM), Data Loss Prevention (DLP), or network logs, the proposed pipeline produces transparent and prioritized alerts that reduce false positives and improve analyst trust. Future work will extend the framework to finer temporal granularities—particularly daily and session levels—by applying the same pipeline to ensure consistency across analysis levels, in addition to exploring semi-supervised learning to adapt to evolving insider threat tactics. Full article
(This article belongs to the Section Computer Science & Engineering)
Show Figures

Figure 1

30 pages, 12283 KB  
Article
A Robust Ensemble Learning Approach to URL-Based Phishing Webpage Detection
by Abdellah Rezoug and Mohamed Bader-el-den
Big Data Cogn. Comput. 2026, 10(5), 136; https://doi.org/10.3390/bdcc10050136 - 27 Apr 2026
Viewed by 93
Abstract
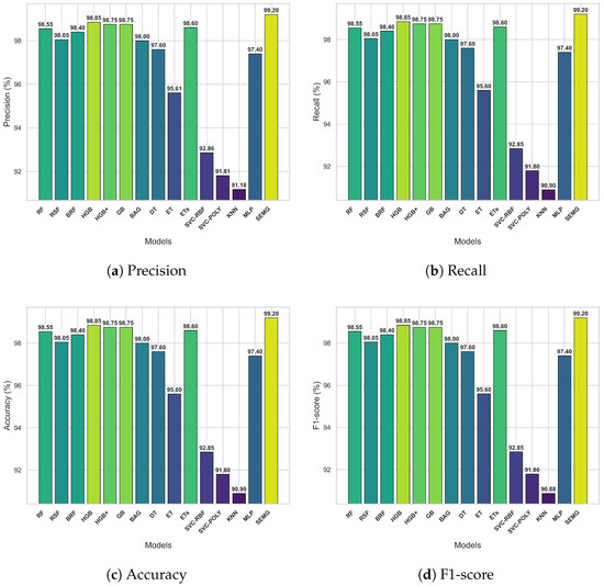
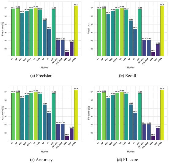
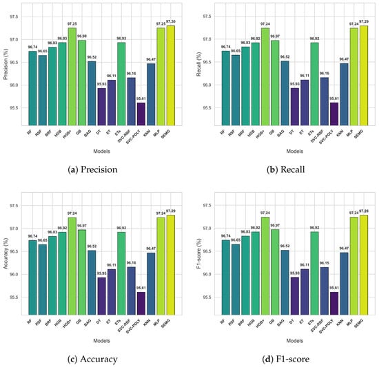
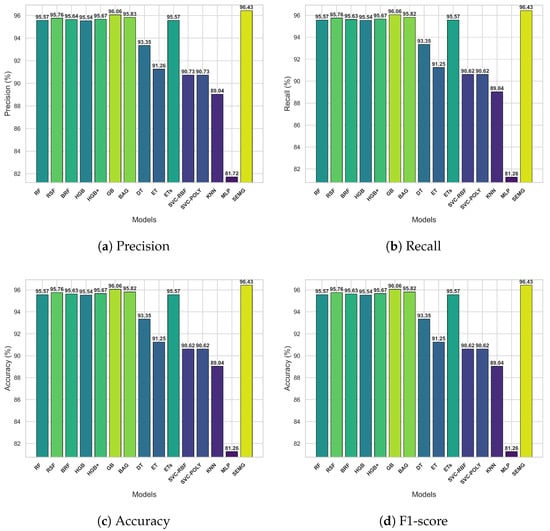
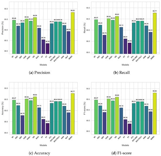
The proliferation of online fraud has resulted in substantial financial damage to individuals and organizations alike, with web phishing emerging as one of the most pervasive and harmful attack vectors. In response, this paper proposes the Stacking Ensemble Models Generator (SEMG), a URL-based [...] Read more.
The proliferation of online fraud has resulted in substantial financial damage to individuals and organizations alike, with web phishing emerging as one of the most pervasive and harmful attack vectors. In response, this paper proposes the Stacking Ensemble Models Generator (SEMG), a URL-based phishing detection approach that leverages a multi-objective Genetic Algorithm to jointly optimize Precision and Recall in the selection and configuration of stacking ensemble models. An initial pool of base learners is trained on labeled datasets and subsequently evolved through genetic operators toward a globally optimal ensemble. Experimental evaluation across five datasets sourced from Mendeley and UCI repositories demonstrates that SEMG consistently surpasses individual base learners and compares favorably against existing methods, attaining 99.2% performance across all metrics on D2 while matching or exceeding state-of-the-art results on the remaining benchmarks. These outcomes underscore the framework’s robustness and its potential for deployment in real-world phishing detection systems. Full article
(This article belongs to the Section Data Mining and Machine Learning)
Show Figures

Figure 1

24 pages, 2467 KB  
Article
Comparative Development of Machine Learning Models for Short-Term Indoor CO2 Forecasting Using Low-Cost IoT Sensors: A Case Study in a University Smart Laboratory
by Zhanel Baigarayeva, Assiya Boltaboyeva, Zhuldyz Kalpeyeva, Raissa Uskenbayeva, Maksat Turmakhan, Adilet Kakharov, Aizhan Anartayeva and Aiman Moldagulova
Algorithms 2026, 19(5), 328; https://doi.org/10.3390/a19050328 - 24 Apr 2026
Viewed by 198
Abstract
Unlike reactive systems, mechanical ventilation controlled by CO2 concentration operates at a target efficiency that dynamically increases whenever the target CO2 level is exceeded. This approach eliminates the typical ‘dead-time’ and prevents air quality degradation by ensuring the system adjusts its [...] Read more.
Unlike reactive systems, mechanical ventilation controlled by CO2 concentration operates at a target efficiency that dynamically increases whenever the target CO2 level is exceeded. This approach eliminates the typical ‘dead-time’ and prevents air quality degradation by ensuring the system adjusts its performance immediately in response to concentration changes. In this work, the study focuses on the development and evaluation of data-driven predictive models for near-term indoor CO2 forecasting that can be integrated into pre-occupancy ventilation strategies, rather than designing a complete control scheme. Experimental data were collected over four months in a 48 m2 smart laboratory configured as an open-plan office, where a heterogeneous IoT sensing architecture logged synchronized time-series measurements of CO2 and microclimate variables (temperature, relative humidity, PM2.5, TVOCs), together with acoustic noise levels and appliance-level energy consumption used as indirect occupancy-related signals. Raw telemetry was transformed into a 22-feature state vector using a structured feature engineering method incorporating z-score standardization, cyclic time encodings, multi-horizon CO2 lags, rolling statistics, momentum features, and non-linear interactions to represent temporal autocorrelation and daily periodicity. The study benchmarks multiple regression paradigms, including simple baselines and ensemble methods, and found that an automated multi-level stacked ensemble achieved the highest predictive fidelity for short-term forecasting, with an Mean Absolute Error (MAE) of 32.97 ppm across an observed CO2 range of 403–2305 ppm, representing improvements of approximately 24% and 43% over Linear Regression and K-Nearest Neighbors (KNN), respectively. Temporal diagnostics showed strong phase alignment with observed CO2 rises during occupancy transitions and statistically reliable prediction intervals. Five-fold walk-forward cross-validation confirmed the temporal stability of these results, with top models achieving consistent R2 values of 0.93–0.95 across Folds 2–5. These results demonstrate that, within a single-room university laboratory setting, historical sensor data from low-cost IoT devices can support accurate short-term CO2 forecasting, providing a predictive layer that could support future proactive ventilation scheduling aimed at reducing CO2 lag at the start of occupancy while avoiding unnecessary ventilation runtime. Generalization to other building types and occupancy profiles requires further validation. Full article
(This article belongs to the Special Issue Emerging Trends in Distributed AI for Smart Environments)
Show Figures

Figure 1

31 pages, 5378 KB  
Article
FUSEPOP: A Multi-Modal Fusion with Mutual Information Weighting and Stacked Ensemble for Social Media Popularity Prediction
by Ömer Ayberk Şencan, İsmail Atacak, İbrahim Alper Doğru, Sinan Toklu, Necaattin Barışçı and Kazım Kılıç
Appl. Sci. 2026, 16(9), 4160; https://doi.org/10.3390/app16094160 - 23 Apr 2026
Viewed by 371
Abstract
Short-form video content has gained importance as a popular form of digital media due to the rising popularity of social media platforms and the decreasing attention spans of consumers. However, a major obstacle to popularity detection in short-form content is the heterogeneous nature [...] Read more.
Short-form video content has gained importance as a popular form of digital media due to the rising popularity of social media platforms and the decreasing attention spans of consumers. However, a major obstacle to popularity detection in short-form content is the heterogeneous nature of the data, encompassing textual, visual, and metadata components. To tackle this challenge, we propose FUSEPOP, a robust multi-modal architecture. The proposed framework utilizes ResNet-50 for visual feature extraction and XLM-RoBERTa for encoding multilingual textual information. FUSEPOP employs a mutual information-based modality weighting mechanism with logarithmic smoothing and a 0.7 weight ceiling to balance contributions from each input stream. Furthermore, FUSEPOP implements a robust stacked generalization strategy trained via stratified 5-fold cross-validation. This approach utilizes a logistic regression meta-learner to dynamically synthesize predictions from random forest, XGBoost, and a neural network-based classifier. Experimental results show that this architecture significantly outperforms benchmark models, achieving an accuracy of 0.980 and an average F1-score of 0.964 on the feature configuration selected for this study, and remains competitive on a literature-aligned alternative configuration. These findings confirm that the proposed model successfully detects popularity on short-form social media content. Full article
Show Figures

Figure 1

20 pages, 2659 KB  
Article
A Security-Aware Ambient Intelligence Framework for Detecting Violent Language in Airline Customer Reviews
by Fahad Alanazi and Osama Rabie
Future Internet 2026, 18(5), 224; https://doi.org/10.3390/fi18050224 - 22 Apr 2026
Viewed by 224
Abstract
The aviation industry operates in a security-sensitive environment where customer feedback may contain not only expressions of satisfaction or dissatisfaction but also threatening or violent language with potential security implications. While conventional sentiment analysis effectively captures customer opinions, it remains insufficient for identifying [...] Read more.
The aviation industry operates in a security-sensitive environment where customer feedback may contain not only expressions of satisfaction or dissatisfaction but also threatening or violent language with potential security implications. While conventional sentiment analysis effectively captures customer opinions, it remains insufficient for identifying security-relevant linguistic cues that could signal risks requiring proactive intervention. This study addresses this gap by introducing a security-aware ambient intelligence framework for detecting violent language in airline customer reviews. This framework supports intelligent internet-based monitoring systems and real-time threat detection. We present the first annotated dataset of airline reviews specifically labeled for violent and threatening content, derived from 3629 reviews and balanced through manual resampling to achieve equal representation across positive, neutral, negative, and violent classes. The proposed framework employs VADER-based sentiment analysis for initial polarity estimation, combined with a validated annotation process to identify violent or threat-related content, followed by comprehensive feature engineering combining TF-IDF (2000 features) with text statistics and sentiment scores. We systematically evaluate individual classifiers (Random Forest, Decision Tree, SVM, Naive Bayes) against ensemble methods (Voting, Stacking, Boosting) using accuracy, precision, recall, F1-score, and ROC AUC metrics. Results demonstrate that Stacking achieves the highest raw performance (98.57% accuracy, F1-macro 0.9856), while Naive Bayes offers an optimal balance between effectiveness and computational efficiency (81.79% accuracy, F1-macro 0.8172, training time 0.03 s). This is the first dataset and framework designed for security-aware analysis of airline reviews. The selected Naive Bayes model achieves per-class F1-scores of 0.9978 for neutral, 0.7814 for negative, 0.7482 for violent, and 0.7415 for positive reviews, with a macro-average ROC AUC of 0.7123. The framework is deployed with serialized components enabling real-time prediction, supporting both single-review analysis and batch processing for integration into airline security monitoring systems. This work establishes a foundation for security-aware natural language processing in critical infrastructure contexts, bridging the gap between conventional sentiment analysis and proactive threat detection. Full article
Show Figures

Figure 1

28 pages, 12499 KB  
Article
A SHAP-Based Analysis for Explaining Income Group Misclassification Through Environmental Health Performance
by Esra Erarslan, Celal Cakiroglu, Mehmet Hakan Özdemir, Batin Latif Aylak, Sinan Melih Nigdeli and Gebrail Bekdaş
Sustainability 2026, 18(8), 4110; https://doi.org/10.3390/su18084110 - 21 Apr 2026
Viewed by 206
Abstract
From the 1987 Brundtland Report to the present day, sustainable development has been a fundamental principle influencing the global environmental and economic agenda. The Environmental Performance Index (EPI) serves as a comprehensive and multidimensional framework for objectively assessing countries’ progress in sustainable development [...] Read more.
From the 1987 Brundtland Report to the present day, sustainable development has been a fundamental principle influencing the global environmental and economic agenda. The Environmental Performance Index (EPI) serves as a comprehensive and multidimensional framework for objectively assessing countries’ progress in sustainable development through measurable indicators of national environmental outcomes. The 2024 EPI Framework classifies 58 indicators into 11 issue categories and three policy objectives. This study utilized 13 indicators pertaining to environmental health policy as input features, with income level serving as the output feature. The income level was predicted utilizing the stacking classifier algorithm. The stacking classifier algorithm is an ensemble learning method that integrates various base estimators to enhance predictive accuracy. This study employed extreme gradient boosting, light gradient boosting machine, and Extra Trees classifiers as the base estimators for the stacking classifier, while the Random Forest classifier served as the final estimator. It was observed that the income level could be predicted with an overall precision of 88.4% and recall of 89.5%, with class-level F1 scores ranging from 0.796 to 0.991. Full article
Show Figures

Figure 1

27 pages, 2500 KB  
Article
Injury Severity Prediction for Older Driver Accidents via Denoised Cascade Framework and Probability Calibration
by Yiyong Pan, Xilai Jia, Jieru Huang, Gen Li and Pengyu Xu
World Electr. Veh. J. 2026, 17(4), 219; https://doi.org/10.3390/wevj17040219 - 20 Apr 2026
Viewed by 240
Abstract
Accurately estimating the severity of crash injuries among older drivers is paramount for enhancing traffic safety, a task challenged by class imbalance and label noise. Traditional predictive paradigms often struggle to identify rare severe cases, as they tend to prioritize global accuracy, thereby [...] Read more.
Accurately estimating the severity of crash injuries among older drivers is paramount for enhancing traffic safety, a task challenged by class imbalance and label noise. Traditional predictive paradigms often struggle to identify rare severe cases, as they tend to prioritize global accuracy, thereby compromising sensitivity to high-risk outcomes. To overcome these limitations, this study develops a Log-Loss Cleaned and Probability-Calibrated Cascade (L-CSC) framework by strategically integrating existing advanced algorithmic components for robust and reliable severity prediction. Initially, a Log-Loss-based noise filtering mechanism is implemented to purge outliers and ambiguous samples from the training data, thereby enabling higher-quality representation learning. Subsequently, a two-stage cascade architecture is designed to decouple the classification task. Stage I employs a Preliminary Screening Model, optimized via Bayesian optimization for F2-score, to specifically maximize the recall for severe and fatal cases. In Stage II, a Stacking ensemble classifier is deployed to achieve a fine-grained classification of injury levels among the cases identified in the initial screening. Finally, Isotonic Regression is employed to calibrate the output probabilities from both stages, ensuring that the resulting risk estimations are statistically sound and reliable. Empirical evaluations demonstrate that the L-CSC framework effectively balances overall performance with critical risk detection, achieving a robust Macro-F1 of 0.7296. Specifically, compared to the best-performing baseline, the recall and F1-score for the critical severe and fatal category showed relative improvements of over 82% and 62%, respectively. Ablation analyses further substantiate the vital contributions of both the data cleaning and calibration modules. This research demonstrates that the cascaded framework effectively mitigates the biases inherent in imbalanced datasets, providing a robust algorithmic foundation to potentially support future traffic safety interventions. Full article
(This article belongs to the Section Marketing, Promotion and Socio Economics)
Show Figures

Figure 1

43 pages, 2312 KB  
Article
Classification Model of Emotional Tone in Hate Speech and Its Relationship with Inequality and Gender Stereotypes, Using NLP and Machine Learning Algorithms
by Aymé Escobar Díaz, Ricardo Rivadeneira, Walter Fuertes and Washington Loza
Future Internet 2026, 18(4), 218; https://doi.org/10.3390/fi18040218 - 20 Apr 2026
Viewed by 149
Abstract
Hate speech on social media reproduces norms of inequality and gender stereotypes, disproportionately affecting women. This study proposes a hybrid approach that integrates emotional tone classification with explicit hostility detection to strengthen preventive moderation. We constructed a corpus from three open data sets [...] Read more.
Hate speech on social media reproduces norms of inequality and gender stereotypes, disproportionately affecting women. This study proposes a hybrid approach that integrates emotional tone classification with explicit hostility detection to strengthen preventive moderation. We constructed a corpus from three open data sets (1,236,371 records; 1,003,991 after ETL) and represented the text using TF-IDF and contextual RoBERTa embeddings. We trained individual models (RoBERTa fine-tuned, Random Forest, and XGBoost) and a stacking metamodel (Gradient Boosting) that combines their probabilities. On the test set, the ensemble outperformed the base classifiers, achieving accuracy of 0.93 in hate detection and 0.90 in emotion classification, with an AUC of 0.98 for emotion classification. We implemented a RESTful API and a web client to validate the moderation flow before publication, along with an administration panel for auditing. Performance tests in a prototype deployment (Google Colab exposed through an Ngrok tunnel) provided proof-of-concept validation, revealing concurrency limitations from around 300 users due to infrastructure constraints. In general, the results indicate that incorporating emotional tone analysis improves the model’s ability to identify implicit hostility and offers a practical way to promote safer digital environments. The probabilistic outputs produced by the ensemble model were subsequently analyzed using the Bayesian Calibration and Optimal Design under Asymmetric Risk (BACON-AR) framework, which serves as a mathematical post hoc decision layer for evaluating classification behaviour under unequal error costs. Rather than modifying the trained architecture or improving its predictive performance, the framework identifies a cost-sensitive operating threshold that minimizes the total expected risk under the selected asymmetric cost configuration. The experiments were conducted using an English-language data set; therefore, the findings of this study are limited to hate speech detection in English. Full article
(This article belongs to the Section Techno-Social Smart Systems)
Show Figures

Graphical abstract

29 pages, 7713 KB  
Article
Toward Adversarial Robustness Network Intrusion Detection Based on Multi-Model Ensemble Approach
by Thi-Thu-Huong Le, Jaehan Cho, Dawit Shin and Howon Kim
Sensors 2026, 26(8), 2478; https://doi.org/10.3390/s26082478 - 17 Apr 2026
Viewed by 197
Abstract
Machine learning-based network intrusion detection systems (NIDSs) remain vulnerable to adversarial manipulation, but the robustness literature for tabular NIDS data is still dominated by single-model, single-dataset, and non-adaptive evaluations. In this paper, we reposition the manuscript as a comparative robustness study of a [...] Read more.
Machine learning-based network intrusion detection systems (NIDSs) remain vulnerable to adversarial manipulation, but the robustness literature for tabular NIDS data is still dominated by single-model, single-dataset, and non-adaptive evaluations. In this paper, we reposition the manuscript as a comparative robustness study of a four-component defense pipeline rather than as a claim of a universal defense primitive. We evaluate XGBoost, LightGBM, TabNet, and Residual MLP on RT_IOT2022 and Web_IDS23 under standard attacks, representative constrained/adaptive attacks, component-wise ablations, sample-fraction sensitivity, repeated-run significance tests, per-class F1 analysis, and computational-overhead measurements. The results show strong dataset and architecture dependence. On RT_IOT2022, tree-based models close most of the robustness gap under strong attacks but often only after large clean-accuracy reductions; Residual MLP achieves a more favorable balance, while the full defense stack over-regularizes TabNet. On Web_IDS23, aggregate robustness-gap reduction remains positive, yet simpler baselines such as adversarial-training-only or ensemble-only configurations frequently outperform the full four-stage pipeline in absolute clean/attack accuracy. Across both datasets, median filtering is the most fragile component: larger filter windows substantially degrade both clean and attacked accuracy, whereas contamination rate, anomaly-mixing weight, and ensemble size are comparatively stable. Representative constrained/adaptive evaluations reduce performance only modestly relative to standard FGSM/PGD, but per-class and overhead analyses show that minority-class collapse and training cost remain important deployment limitations. These findings support a more cautious conclusion: adversarial defense for tabular NIDS is validation driven and dataset specific, and the full defense stack should not be treated as a universal default. Full article
(This article belongs to the Special Issue Advances and Challenges in Sensor Security Systems)
Show Figures

Figure 1

20 pages, 1432 KB  
Article
A Multi-Parallel Hybrid Neural Network Model for Short-Term Electricity Price Forecasting Under High Market Volatility
by Neringa Radziukynienė, Gabrielė Dargė and Arturas Klementavičius
Appl. Sci. 2026, 16(8), 3865; https://doi.org/10.3390/app16083865 - 16 Apr 2026
Viewed by 221
Abstract
The extreme volatility of European energy markets in 2022 has exposed the limitations of conventional forecasting models, necessitating more robust architectures capable of handling non-linear price shocks. This study proposes a novel multi-parallel hybrid forecasting framework that integrates seven heterogeneous neural networks to [...] Read more.
The extreme volatility of European energy markets in 2022 has exposed the limitations of conventional forecasting models, necessitating more robust architectures capable of handling non-linear price shocks. This study proposes a novel multi-parallel hybrid forecasting framework that integrates seven heterogeneous neural networks to predict day-ahead electricity prices. The architecture employs a hierarchical approach where six parallel base models (NN1–NN6) feed into a meta-network (NN7) to generate baseline forecasts. To further enhance predictive fidelity, these results undergo a calibration stage using probabilistic error distribution analysis to produce final probability-adjusted forecasts. The model was validated using the Lithuanian electricity market during the highly volatile period of 2020–2022. Empirical results demonstrate a clear “stacking effect,” where the incremental integration of base networks consistently reduces forecasting residuals. The final probability-adjusted configuration achieved a notable nMAE of 1.57% and a sMAPE of 34.25%, significantly outperforming baseline ensemble outputs and state-of-the-art benchmarks reported in recent literature. Specifically, the probability-based refinement proved highly effective in mitigating systematic biases during nighttime and early morning hours, confirming the model’s capacity to maintain accuracy under extreme market stress. Full article
Show Figures

Figure 1

37 pages, 10482 KB  
Article
A Calibrated Multi-Task Ensemble Architecture for Biomedical Risk Prediction
by Zhainagul Khamitova, Gulmira Omarova, Madi Akhmetzhanov, Roza Burganova, Maksym Orynbassar, Umida Sabirova, Almagul Bukatayeva, Aliya Barakova, Gulnoz Jiyanmuratova and Dilchekhra Yuldasheva
Computers 2026, 15(4), 244; https://doi.org/10.3390/computers15040244 - 15 Apr 2026
Viewed by 218
Abstract
Risk stratification of impaired glycemic control remains a major challenge in biomedical data analysis due to heterogeneous metabolic, behavioral, and therapeutic factors observed in large-scale populations. This study proposes a calibrated and interpretable decision–support framework, termed Calibrated Multi-Task Stacking Ensemble (CMSE), for joint [...] Read more.
Risk stratification of impaired glycemic control remains a major challenge in biomedical data analysis due to heterogeneous metabolic, behavioral, and therapeutic factors observed in large-scale populations. This study proposes a calibrated and interpretable decision–support framework, termed Calibrated Multi-Task Stacking Ensemble (CMSE), for joint modeling of clinically related glycemic outcomes. The framework integrates demographic variables, lipid profiles, renal and inflammatory biomarkers, dietary and smoking indicators, and therapy-related features within a unified predictive architecture. Robust modeling is ensured through leakage-aware preprocessing, quantile-based Winsorization, out-of-fold stacking, and isotonic calibration of probabilistic outputs. The physiological coherence between short-term and long-term glycemic markers is investigated using an explicit intertask coupling mechanism based on the estimated average glucose (eAG) ratio. Model interpretability is supported using SHAP analysis, mutual information, distance correlation, and feature importance metrics. In the primary medication-free screening configuration, the framework is evaluated on the NHANES 2017–March 2020 dataset, achieving ROC-AUC of 0.865 for diabetes classification and R2 values of 0.385 and 0.366 for plasma glucose and HbA1c prediction, respectively. These results indicate that CMSE provides a reliable and explainable approach for calibrated glycemic risk assessment and clinical decision support. Full article
Show Figures

Graphical abstract

28 pages, 31901 KB  
Article
Flood Susceptibility Mapping of the Kosi Megafan Using Ensemble Machine Learning and SAR Data
by Khaled Mahamud Khan, Bo Wang, Hemal Dey, Dhiraj Pradhananga and Laurence C. Smith
Remote Sens. 2026, 18(8), 1158; https://doi.org/10.3390/rs18081158 - 13 Apr 2026
Viewed by 892
Abstract
Every year, floods disrupt the lives of hundreds of millions of people worldwide. Their impacts are further intensified by climate change, rapid urbanization, and land-use changes, making it crucial to identify areas most susceptible to flooding. While machine learning (ML) models have proven [...] Read more.
Every year, floods disrupt the lives of hundreds of millions of people worldwide. Their impacts are further intensified by climate change, rapid urbanization, and land-use changes, making it crucial to identify areas most susceptible to flooding. While machine learning (ML) models have proven effective in identifying flood susceptibility, their validity and the integration of human risk remain underexplored in geomorphologically complex and highly flood-prone regions. This study developed an ensemble ML framework for flood susceptibility mapping in the Kosi Megafan, located in Nepal and India. We compared its performance with established ML models and a one-dimensional convolutional neural network (1D-CNN), validated results using Dartmouth Flood Observatory (DFO) and Sentinel-1 SAR (Synthetic Aperture Radar) data, and assessed the population exposed to high-risk zones. A total of 13 (8 retained) flood conditioning factors (FCFs) were derived from remote sensing datasets, and a flood inventory was created to train multiple ML models, including Random Forest (RF), Extreme Gradient Boosting (XGBoost), Adaptive Boosting (AdaBoost), Support Vector Machine (SVM), 1D-CNN, and a Stacked Ensemble model. Among these, the stacked ensemble model achieved the highest performance (AUC = 0.76, accuracy = 0.70, precision = 0.69, recall = 0.72, F1-score = 0.70). The resulting susceptibility map identified high-risk zones mainly in the southern and southwestern Megafan, showing strong spatial agreement with the Sentinel-1-derived flood inventory and the DFO flood data (1992–2022). This study highlights the effectiveness of combining SAR-derived flood evidence with ensemble ML approaches for accurate and scalable flood susceptibility mapping in data-scarce, hazard-prone basins. Ultimately, the research supports efforts to build resilience and mitigate the long-term impact of flooding in the region. Full article
Show Figures

Figure 1

45 pages, 27918 KB  
Article
Early Crop Type Classification Based on Seasonal Spectral Features and Machine Learning Methods
by Ainagul Alimagambetova, Moldir Yessenova, Assem Konyrkhanova, Ten Tatyana, Aliya Beissegul, Zhuldyz Tashenova, Kuanysh Kadirkulov, Aitimova Ulzada and Gulalem Mauina
Technologies 2026, 14(4), 221; https://doi.org/10.3390/technologies14040221 - 10 Apr 2026
Viewed by 505
Abstract
This paper explores the feasibility of early-season crop classification based on Sentinel-2-time series using the TimeSen2Crop dataset (≈1 million pixels, 16 crops). The aim of the study was to evaluate the spectral-phenological separability of crops during the season and compare the performance of [...] Read more.
This paper explores the feasibility of early-season crop classification based on Sentinel-2-time series using the TimeSen2Crop dataset (≈1 million pixels, 16 crops). The aim of the study was to evaluate the spectral-phenological separability of crops during the season and compare the performance of classical tabular algorithms, deep sequence models, and a seasonally oriented hybrid stacking scheme. Based on multispectral observations, a feature set was formed from 9 optical channels and 13 vegetation indices for 30 dates. F-criteria were calculated, confirming a sharp increase in interclass separability during the active vegetative growth phase and substantiating three time series truncation scenarios (early, early + mid-season, and full season). Random Forest (macro-F1: 0.46/0.74/0.75) was used as the base tabular model. LSTM, BiLSTM, GRU, 1D-CNN, and Transformer were trained in parallel, with Transformer showing the best results among the deep architectures (0.42/0.68/0.78). The main contribution of the work is a hybrid multi-layer stacking scheme combining heterogeneous base algorithms and OOF meta-features, which provides the highest quality (0.51/0.83/0.86) in all scenarios. The obtained results confirm the effectiveness of phenology-oriented selection of time windows, informative indices, and hybrid ensemble learning for improving the accuracy of early-season crop monitoring. Full article
(This article belongs to the Section Information and Communication Technologies)
Show Figures

Figure 1

Back to TopTop