Sign in to use this feature.

Years

Between: -

Subjects

remove_circle_outline
remove_circle_outline
remove_circle_outline
remove_circle_outline
remove_circle_outline
remove_circle_outline
remove_circle_outline
remove_circle_outline
remove_circle_outline

Journals

remove_circle_outline
remove_circle_outline
remove_circle_outline
remove_circle_outline
remove_circle_outline
remove_circle_outline

Article Types

Countries / Regions

remove_circle_outline
remove_circle_outline
remove_circle_outline
remove_circle_outline

Search Results (284)

Search Parameters:
Keywords = SRR2

Order results
Result details
Results per page
Select all
Export citation of selected articles as:
35 pages, 13531 KB  
Article
A Theory-Guided Transformer for Interpretable Hyperspectral Unmixing
by Hongyue Cao, Fanlei Meng, Haixin Sun, Xinyu Cui and Dan Shao
Remote Sens. 2026, 18(6), 886; https://doi.org/10.3390/rs18060886 - 13 Mar 2026
Viewed by 322
Abstract
Hyperspectral unmixing (HU) is fundamental for conducting quantitative analyses in remote sensing, yet existing methods face a persistent tradeoff between model performance and physical interpretability. Although deep learning models achieve superior performance, even “gray-box” models that incorporate physical constraints still suffer from an [...] Read more.
Hyperspectral unmixing (HU) is fundamental for conducting quantitative analyses in remote sensing, yet existing methods face a persistent tradeoff between model performance and physical interpretability. Although deep learning models achieve superior performance, even “gray-box” models that incorporate physical constraints still suffer from an intrinsically opaque decision-making process, which hinders their trustworthiness in critical applications. To address this challenge, this paper introduces a theory-guided unmixing framework aimed at enhancing mechanistic interpretability called the sparse and subspace-attentive transformer unmixing network (SSTU-Net). Unlike heuristic architectures, SSTU-Net is rigorously derived from the first principles of sparse rate reduction (SRR) theory. Its core modules—the multi-head subspace self-attention (MSSA) and the iterative shrinkage-thresholding algorithm (ISTA)—directly implement the essential mathematical steps of information compression and sparsification within the SRR theory, respectively. Extensive experiments on both synthetic and real hyperspectral datasets demonstrate that SSTU-Net achieves competitive performance compared to representative state-of-the-art methods—including advanced autoencoder-based networks (e.g., CyCU-Net and DAAN) and recent transformer-based unmixing architectures (e.g., DeepTrans and MAT-Net)—while strictly adhering to theoretically predicted evolutionary trajectories. More importantly, a series of specifically designed structural interpretability validation experiments mechanistically confirm the theoretically predicted behaviors, such as layer-wise information compression, feature sparsification, and subspace orthogonalization. These results reveal the internal working mechanisms of SSTU-Net, validating the feasibility and significant potential of our principled theory-guided framework for developing high-performance and trustworthy intelligent models in remote sensing. Full article
Show Figures

Figure 1

14 pages, 2483 KB  
Article
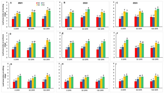
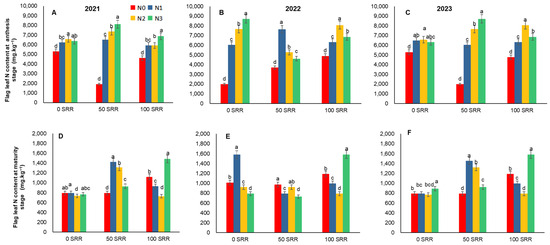
A High Proportion of Basal Nitrogen Application Mitigates Straw Return-Induced Nitrogen Immobilization and Sustains Winter Wheat Yield on the Jianghan Plain
by Gabriel Hopla Akwakwa, Kem Senou Pavel Daryl, Meixue Zhou and Xiaoyan Wang
Agronomy 2026, 16(5), 493; https://doi.org/10.3390/agronomy16050493 - 24 Feb 2026
Viewed by 331
Abstract
Winter wheat (Triticum aestivum L.) productivity in intensive rice–wheat systems of the Jianghan Plain is constrained by sub-optimal nitrogen (N) management and residue handling. Straw residue return (SRR) can increase soil organic carbon and improve soil structure but may also immobilize N [...] Read more.
Winter wheat (Triticum aestivum L.) productivity in intensive rice–wheat systems of the Jianghan Plain is constrained by sub-optimal nitrogen (N) management and residue handling. Straw residue return (SRR) can increase soil organic carbon and improve soil structure but may also immobilize N and alter the temporal pattern of soil mineral N (SMN). Although straw return and N fertilization have been widely studied, the combined effects on SRR and N applications on wheat yield and soil N dynamics in this region remain insufficiently resolved. In this study, we evaluated three SRR levels (0, 50, and 100% of approximately 3.5 t rice straw ha−1) combined with four N application treatments over three years of field trials in the Jianghan Plain of Yangtze River Basin. Treatments were arranged in a randomized complete block design. Our results show that wheat performance is closely associated with SMN (NO3-N, NH4+-N, total N) at 0–20 soil layers from booting to maturity. Grain yield increased sharply with N application, with SRR further enhancing yield. The combination of a 100% SRR and 70/30 basal-to-overwinter N split with a total N rate of 180 kg ha−1 (T11) achieved the highest three-year mean grain yield. This superior performance was driven by optimized yield components, including a maximum of 55 grains per spike and a 1000-grain weight of 42.4 g under T11. Soil total N, nitrate-N, ammonium-N, and SOC were all significantly influenced by both N application timing and SRR. Across the three-year experiment, we concluded that 50–100% SRR combined with 70–100% basal N application represents an optimal agronomic practice for rice–wheat rotations in the Jianghan Plain. Full article
(This article belongs to the Section Agroecology Innovation: Achieving System Resilience)
Show Figures

Figure 1

17 pages, 3224 KB  
Article
Visualizing Enhanced Microfluidic Electromembrane Desalination Using Nafion-Coated Heterogeneous Ion-Exchange Membranes
by Hyunwoo Choi, Bonseung Ku, Seokhee Han and Bumjoo Kim
Molecules 2026, 31(4), 719; https://doi.org/10.3390/molecules31040719 - 19 Feb 2026
Viewed by 312
Abstract
Heterogeneous ion-exchange membranes (IEMs) are cost-effective but suffer from low electrochemical efficiency due to surface inhomogeneities. While surface coating with homogeneous ionomers is a known modification strategy, its direct impact on electro-hydrodynamic behavior and desalination performance has rarely been visually verified. In this [...] Read more.
Heterogeneous ion-exchange membranes (IEMs) are cost-effective but suffer from low electrochemical efficiency due to surface inhomogeneities. While surface coating with homogeneous ionomers is a known modification strategy, its direct impact on electro-hydrodynamic behavior and desalination performance has rarely been visually verified. In this study, we employed a microfluidic platform to visualize and quantify the performance enhancement of Nafion-coated heterogeneous cation exchange membranes (CEMs). Contrary to conventional theories linking electro-convection (EC) to surface hydrophobicity, our results show that the hydrophilic Nafion coating significantly amplifies EC vortices. Direct visualization revealed that the coating layer acts as an electrical nozzle, inducing intense electric field focusing that triggers macroscopic vortex growth. Furthermore, we visually confirmed that the coating layer physically seals catalytic sites, effectively suppressing parasitic water-splitting reactions. In continuous desalination experiments, this hydrodynamic synergy led to a 32% increase in current efficiency (CE: 1.23) and an 18% increase in salt removal ratio (SRR: 79.4%) compared to bare membranes in the over-limiting regime. These findings demonstrate that inducing controlled hydrodynamic instability via surface modification is a dominant factor for high-efficiency desalination. Full article
(This article belongs to the Special Issue Design, Fabrication, and Applications of Nano-Membrane Materials)
Show Figures

Figure 1

15 pages, 3315 KB  
Article
RFID Ultra-High Frequency Tag Antenna Based on SRR Resonant Superstrate
by Zhenhao Huang, Minghan Ke, Haonan Zhang, Lihao Luo, Chaohai Zhang and Guozhi Zhang
Sensors 2026, 26(4), 1233; https://doi.org/10.3390/s26041233 - 13 Feb 2026
Viewed by 290
Abstract
Addressing the pressing need to extend the communication range of RF RFID tag antennas, this paper introduces a novel UHF RFID tag antenna technology based on resonant superstrate regulation using a Split-Ring Resonator (SRR). First, a finite element model of the UHF RFID [...] Read more.
Addressing the pressing need to extend the communication range of RF RFID tag antennas, this paper introduces a novel UHF RFID tag antenna technology based on resonant superstrate regulation using a Split-Ring Resonator (SRR). First, a finite element model of the UHF RFID folded dipole antenna was constructed based on the tag chip’s port impedance. Subsequently, a Two-element SRR resonant superstrate was employed to enhance the dipole antenna’s gain through “resonance and near-field coupling” technology. A folded dipole antenna gain-enhancing SRR resonant superstrate unit was designed, and a multi-parameter joint optimization method was adopted to obtain the optimal SRR resonant superstrate configuration for regulating the dipole antenna. Near-field coupling technology was used to design SRR resonant superstrate elements that enhance the folded dipole antenna’s gain. A multi-parameter joint optimization method was employed to obtain the optimal structural parameter set for the SRR resonant superstrate-controlled dipole antenna. Finally, simulations and experimental measurements of the RFID antenna performance revealed that: within the 920–925 MHz band, the maximum measured forward reading distance enhancement reached 62.1%. The research findings significantly enhance the practical performance of UHF RFID tags in complex environments, enabling more stable and efficient long-range identification in applications such as logistics tracking, asset management, and smart warehousing. Full article
(This article belongs to the Section Electronic Sensors)
Show Figures

Figure 1

28 pages, 635 KB  
Article
Harmonizing Supervised Fine-Tuning and Reinforcement Learning with Reward-Based Sampling for Continual Machine Unlearning
by Jiaqi Lang, Jiahao Zhao, Linjing Li and Daniel Dajun Zeng
Electronics 2026, 15(4), 771; https://doi.org/10.3390/electronics15040771 - 11 Feb 2026
Viewed by 327
Abstract
Large language models (LLMs) are pretrained on massive internet data and inevitably memorize sensitive or copyrighted content. This continually raises privacy, legal, and security concerns. Machine unlearning has been proposed as an approach to remove the influence of undesired data while maintaining model [...] Read more.
Large language models (LLMs) are pretrained on massive internet data and inevitably memorize sensitive or copyrighted content. This continually raises privacy, legal, and security concerns. Machine unlearning has been proposed as an approach to remove the influence of undesired data while maintaining model utility. However, in real-world scenarios, unlearning requests continuously emerge, and existing approaches often struggle to handle these sequential requests, leading to utility degradation. To address this challenge, we propose the harmonization of Supervised fine-tuning and Reinforcement learning with Reward-based Sampling (SRRS) framework, which dynamically harmonizes supervised fine-tuning (SFT) and reinforcement learning (RL) via reward signals: SFT ensures forgetting efficacy, while RL preserves utility under continual adaptation. By harmonizing these paradigms, SRRS achieves reliable forgetting and sustained utility across sequential unlearning tasks, demonstrating competitive performance compared to baseline methods on TOFU and R-TOFU datasets. Full article
(This article belongs to the Special Issue Artificial Intelligence Safety and Security)
Show Figures

Figure 1

22 pages, 3356 KB  
Article
Effect of TiO2 and SiO2 Nanoparticles on Traction, Wear, and High-Shear Viscosity of PAG Lubricants Under Elastohydrodynamic (EHL) Conditions for Refrigeration Systems
by Mohd Zaki Sharif, Mohd Syafiq Abd Aziz, Mohd Farid Ismail, Mohd Fadzli Bin Abdollah, Abdul Aziz Mohamad Redhwan, Nor Azazi Ngatiman and Anwar Ilmar Ramadhan
Lubricants 2026, 14(2), 78; https://doi.org/10.3390/lubricants14020078 - 9 Feb 2026
Viewed by 473
Abstract
This study tests TiO2 and SiO2 nanolubricants in PAG oil using a Mini Traction Machine and an Ultra Shear Viscometer. The loads were 20 N and 40 N. The entrainment speeds ranged from 2.5 to 500 mm/s. The slide-to-roll ratio (SRR) [...] Read more.
This study tests TiO2 and SiO2 nanolubricants in PAG oil using a Mini Traction Machine and an Ultra Shear Viscometer. The loads were 20 N and 40 N. The entrainment speeds ranged from 2.5 to 500 mm/s. The slide-to-roll ratio (SRR) ranged from 25 to 150%. The nanoparticle concentrations were 0.01, 0.03, and 0.05%. The ball size was 19.05 mm, and the disc was 46 mm. All tests were run at 40 °C. Only the 0.05% concentration lowered traction compared with PAG at a fixed SRR. TiO2 at 0.05% showed the largest drop, up to 4.89% at 20 N and 2.99% at 40 N. However, lower concentrations increased traction. All the nanolubricants reduced wear. TiO2 at 0.03% gave the lowest wear, with a reduction of about 35 µm at 40 N. Nanolubricant samples stayed between 40.2 and 40.5 °C, while PAG reached about 41.0 °C. TiO2 produced slightly lower temperatures than SiO2. Ultra-shear tests from 40 to 100 °C showed shear thinning. In most conditions, TiO2 at 0.05% kept the highest viscosity at 40 and 60 °C, up to 12% above PAG. SiO2 showed smaller changes. TiO2 delivered better friction, wear, temperature, and viscosity performance. Overall, both nanolubricants at 0.03% are suitable when wear reduction and thermal stability are prioritised over traction reduction, such as in refrigeration applications, while the 0.05% suits high-load or high-shear use. Full article
(This article belongs to the Special Issue Tribological Behavior of Nanolubricants: Do We Know Enough?)
Show Figures

Figure 1

25 pages, 4707 KB  
Article
A Novel 3D Probe for Near-Field Scanning Microwave Microscopy
by Ali M. Almuhlafi and Omar M. Ramahi
Sensors 2026, 26(3), 995; https://doi.org/10.3390/s26030995 - 3 Feb 2026
Viewed by 553
Abstract
Near-field scanning microwave microscopy (NSMM) offers the ability to probe local electromagnetic properties beyond the classical Abbe diffraction limit, but achieving high resolution over practical scan areas remains challenging. In this work, we introduce a novel three-dimensional (3D) NSMM probe consisting of a [...] Read more.
Near-field scanning microwave microscopy (NSMM) offers the ability to probe local electromagnetic properties beyond the classical Abbe diffraction limit, but achieving high resolution over practical scan areas remains challenging. In this work, we introduce a novel three-dimensional (3D) NSMM probe consisting of a split-ring resonator (SRR) coupled to a microstrip line and loaded with vertically extended metallic bars. The 3D loading enhances electric-field localization in the sensing region by introducing field singularities. Full-wave numerical simulations are used to extract the field-spread function (FSF) of the probe and to quantify how probe geometry, stand-off distance, and bar dimensions control the FSF and its spatial-frequency (k-space) content. An imaging model is then developed in which the NSMM image is represented as a convolution between the object and FSF in one and two dimensions. This framework demonstrates that progressively localized FSFs, obtained through 3D loading and resonator miniaturization, systematically improve image fidelity and preserve higher spatial frequencies. The probe is fabricated using printed circuit board technology (PCB) with vertically attached metallic bars, and its performance is validated by imaging a dielectric slab containing a cylindrical air-filled void. The measured line profiles and two-dimensional images are in good agreement in general characteristics with the convolution-based model, confirming that the proposed 3D SRR-based probe operates as a spatial filter whose engineered near-field distribution governs the achievable resolution in NSMM imaging. Full article
Show Figures

Figure 1

17 pages, 1737 KB  
Article
The Synthesis of Bis(α-aryl-methylphosphonoyl)amines by the Microwave-Assisted Catalyst-Free Tandem Kabachnik–Fields Reaction
by Bence Bajusz, Konstantin Karaghiosoff, László Drahos, Ágnes Gömöry and György Keglevich
Catalysts 2026, 16(2), 148; https://doi.org/10.3390/catal16020148 - 3 Feb 2026
Viewed by 499
Abstract
Potentially biologically active α-aminophosphonic derivatives were prepared by the Kabachnik–Fields condensation of α-amino-α-aryl-methylphosphonates, arylaldehydes, and diethyl phosphite to afford bis(α-aryl-methylphosphonoyl)-amines as a mixture of racemic and meso isomers. To go “green”—performing the transformations under microwave irradiation—there was no need for a catalyst. On [...] Read more.
Potentially biologically active α-aminophosphonic derivatives were prepared by the Kabachnik–Fields condensation of α-amino-α-aryl-methylphosphonates, arylaldehydes, and diethyl phosphite to afford bis(α-aryl-methylphosphonoyl)-amines as a mixture of racemic and meso isomers. To go “green”—performing the transformations under microwave irradiation—there was no need for a catalyst. On the other hand, the phospha-Mannich reaction of α-amino-α-phenyl-methylphosphonate with arylaldehydes led to (α-aryl-methylphosphonoyl)-(α-phenyl-methylphosphonoyl)-amines as a mixture of SS/RR and SR/RS racemates. Moreover, the respective symmetric products with identical aryl groups were also present. The outcome was similar, when α-amino-α-aryl-methyl-phosphonates were condensed with benzaldehyde and diethyl phosphite. The products were analyzed by 1D and 2D NMR spectroscopy. The combined NMR analysis of the products confirmed their structure. Full article
(This article belongs to the Section Catalysis in Organic and Polymer Chemistry)
Show Figures

Graphical abstract

24 pages, 4916 KB  
Article
Mechanism of SARS-CoV-2 Nucleocapsid Protein Phosphorylation-Induced Functional Switch
by Megan S. Sullivan, Michael Morse, Kaylee Grabarkewitz, Dina Bayachou, Ioulia Rouzina, Vicki Wysocki, Mark C. Williams and Karin Musier-Forsyth
Viruses 2026, 18(1), 105; https://doi.org/10.3390/v18010105 - 13 Jan 2026
Viewed by 957
Abstract
The SARS-CoV-2 nucleocapsid protein (Np) is essential for viral RNA replication and genomic RNA packaging. Phosphorylation of Np within its central Ser-Arg-rich (SRR) linker is proposed to modulate these functions. To gain mechanistic insights into these distinct roles, we performed in vitro biophysical [...] Read more.
The SARS-CoV-2 nucleocapsid protein (Np) is essential for viral RNA replication and genomic RNA packaging. Phosphorylation of Np within its central Ser-Arg-rich (SRR) linker is proposed to modulate these functions. To gain mechanistic insights into these distinct roles, we performed in vitro biophysical and biochemical studies using recombinantly expressed ancestral Np and phosphomimetic SRR variants. Limited-proteolysis showed minor cleavage differences between wild-type (WT) and phosphomimetic Np, but no major structure or stability changes in the N- and C-terminal domains were observed by circular dichroism spectroscopy and differential scanning fluorimetry, respectively. Mass photometry (MP) revealed that WT Np dimerized more readily than phosphomimetic variants. Crosslinking-MP showed that WT Np formed discrete complexes on viral 5′ UTR stem-loop (SL) 5 RNA, whereas phosphomimetic Np assembled preferentially on SL1–4. WT Np bound non-specifically to all RNAs tested primarily via hydrophobic interactions, whereas phosphomimetic Np showed selectivity for SARS-CoV-2-derived RNAs despite binding more electrostatically. A major difference was observed in the binding kinetics; WT Np compacted and irreversibly bound single-stranded DNA, whereas phosphomimetic Np displayed reduced compaction and fast on/off binding kinetics. These mechanistic insights support a model where phosphorylated Np functions in RNA replication and chaperoning, while non-phosphorylated Np facilitates genomic RNA packaging. The findings also help to explain infectivity differences and clinical outcomes associated with SRR linker variants. Full article
(This article belongs to the Section Coronaviruses)
Show Figures

Graphical abstract

21 pages, 6702 KB  
Article
Modeling of Oil-Film Traction Behavior and Lubricant Selection for Aeroengine Mainshaft Ball Bearings
by Kaiwen Deng, Xinlin Qing, Florian Pape and Yishou Wang
Lubricants 2026, 14(1), 33; https://doi.org/10.3390/lubricants14010033 - 10 Jan 2026
Cited by 1 | Viewed by 546
Abstract
The traction behavior of lubricant films forms the foundation of dynamic modeling for aeroengine mainshaft ball bearings. Its accuracy directly determines the reliability of predicted dynamic responses and the available design safety margins. Existing traction models produce artificial friction in the zero slip [...] Read more.
The traction behavior of lubricant films forms the foundation of dynamic modeling for aeroengine mainshaft ball bearings. Its accuracy directly determines the reliability of predicted dynamic responses and the available design safety margins. Existing traction models produce artificial friction in the zero slip region and exhibit strong sensitivity to ball size effects, which leads to significant deviations from experimental observations. These limitations make them unsuitable for high-fidelity analyses of aeroengine mainshaft bearings. In this study, a self-developed high-speed traction test rig was used to systematically measure the traction–slip responses of three aviation lubricants, including the newly developed 4102 (7 cSt) and the inservice 4050 (5 cSt) and 4010 (3 cSt). The tests covered a wide range of operating conditions, including maximum Hertzian pressures of 1.0 to 1.5 GPa, oil supply temperatures of 25 to 120 °C, entrainment speeds of 25 to 40 m/s, and slide–roll ratios (SRR) of 0 to 0.3. The evolution of lubricant traction characteristics was examined in detail. Based on the experimental data, a four-parameter and three-coefficient traction model was proposed. This model eliminates the non-physical traction outputs at zero slip observed in previous formulations. When embedded into the bearing dynamic simulations, the maximum deviation between the predicted friction torque and the measured values is only 3.79%. On the basis of typical operating conditions of aeroengine bearings, lubricant selection guidelines were established. Under combined high-speed, light-load, and high-temperature conditions, the high-viscosity lubricant 4102 is preferred because it suppresses cage sliding and enhances film stiffness. When the cage slip ratio is below 15% and lubrication is sufficient, the low-viscosity lubricant 4010 is recommended, followed by 4050, in order to reduce frictional heating. This study provides a theoretical basis for high-accuracy dynamic design and lubricant selection for aeroengine ball bearings. Full article
Show Figures

Figure 1

21 pages, 3571 KB  
Article
A Linear and High-Sensitivity Microwave Biosensor on a FR-4 Substrate for Aqueous Glucose Monitoring Using a Concentric Square-Shaped Split-Ring Resonator
by Khouloud Jomaa, Sehmi Saad, Darine Kaddour, Pierre Lemaître-Auger and Hatem Garrab
Sensors 2026, 26(1), 131; https://doi.org/10.3390/s26010131 - 24 Dec 2025
Viewed by 772
Abstract
Non-invasive glucose monitoring remains a significant challenge in diabetes management, with existing approaches often limited by poor accuracy, high cost, or patient discomfort. Microwave-based biosensors offer a promising label-free alternative by exploiting the dielectric contrast between glucose and water. This paper presents a [...] Read more.
Non-invasive glucose monitoring remains a significant challenge in diabetes management, with existing approaches often limited by poor accuracy, high cost, or patient discomfort. Microwave-based biosensors offer a promising label-free alternative by exploiting the dielectric contrast between glucose and water. This paper presents a compact, dual-band concentric square-shaped split-ring resonator (SRR-type) biosensor fabricated on a low-cost FR-4 substrate for aqueous glucose detection. The sensor leverages electric field confinement in inter-ring gaps to transduce glucose-induced permittivity changes into measurable shifts in resonance frequency and reflection coefficient. Experimental results demonstrate a linear, monotonic response across the clinical range up to 250 mg/dL, with a frequency-domain sensitivity of 1.964 MHz/(mg/dL) and amplitude-domain sensitivity of 0.0332 dB/(mg/dL), achieving high coefficients of determination (R2 = 0.9956 and 0.9927, respectively). The design achieves a normalized size of 0.137 λg2, combining high sensitivity and compact size within a scalable platform. Operating in the UWB-adjacent band (2.76–3.25 GHz), the proposed biosensor provides a practical, reproducible, and PCB-compatible solution for next-generation label-free glucose monitoring. Full article
(This article belongs to the Section Biosensors)
Show Figures

Figure 1

18 pages, 542 KB  
Article
Perceptions of the Sexual and Reproductive Rights of Indigenous Women in Northern Colombia
by Dailyng Boom-Cárcamo, Kelly Anaya-Cuello, Josefina Cuello-Daza and Efrain Boom-Cárcamo
Societies 2026, 16(1), 5; https://doi.org/10.3390/soc16010005 - 23 Dec 2025
Viewed by 537
Abstract
This study examines the perceptions and experiences of Indigenous Kankuamo women in northern Colombia regarding their sexual and reproductive rights (SRR), exploring how cultural traditions and public policies shape their exercise. The main objective was to understand the tensions between ancestral values, community [...] Read more.
This study examines the perceptions and experiences of Indigenous Kankuamo women in northern Colombia regarding their sexual and reproductive rights (SRR), exploring how cultural traditions and public policies shape their exercise. The main objective was to understand the tensions between ancestral values, community leadership, and internationally recognized rights. A mixed-methods approach (qualitative–quantitative) was employed, based on semi-structured interviews conducted with 30 women. The instrument included closed Likert-type questions and open-ended items addressing perceptions, cultural practices, access to health services, and government programs. Data were analyzed using descriptive statistics, Spearman correlations, and content analysis through thematic development. The findings revealed a strong correlation between trust in health services, accessibility, cultural compatibility, and the frequency of adolescent pregnancies. Divided perceptions regarding the role of community leaders were identified, along with a recurring demand for education and awareness-raising on sexuality and rights. Participants also noted limitations in state programs, mainly due to their limited cultural relevance. Kankuamo women face ongoing tensions between cultural preservation and sexual autonomy. Strengthening education, inclusive leadership, and policies with an ethnic and gender perspective is recommended to ensure the full exercise of their SRR. Full article
Show Figures

Figure 1

12 pages, 745 KB  
Systematic Review
The Association Between Nut Consumption and Risk of Depressive Symptoms: A Meta-Analysis of Observational Studies
by Sohyun Kim, Hyogyeong Lee, Qiao-Yi Chen, Yooheon Park and NaNa Keum
Nutrients 2025, 17(24), 3810; https://doi.org/10.3390/nu17243810 - 5 Dec 2025
Viewed by 2272
Abstract
Background/Objectives: Accumulating evidence suggests that dietary factors such as nuts may play a role in depressive symptoms. Yet, existing evidence regarding the relationship between nut consumption and depressive symptoms remains inconsistent. To clarify this association, we conducted a meta-analysis. Methods: PubMed and Embase [...] Read more.
Background/Objectives: Accumulating evidence suggests that dietary factors such as nuts may play a role in depressive symptoms. Yet, existing evidence regarding the relationship between nut consumption and depressive symptoms remains inconsistent. To clarify this association, we conducted a meta-analysis. Methods: PubMed and Embase were searched for observational studies on the relationship between nut consumption and depressive symptoms published up to September 2025. Summary relative risks (SRRs) and 95% confidence intervals (CIs) were estimated using the DerSimonian–Laird random effects model. Results: A total of seven observational studies, comprising 70,136 participants, were included. Higher nut consumption was significantly associated with a lower risk of depressive symptoms (SRRs = 0.75, 95% CIs, 0.67–0.85; p < 0.001, I2 = 15%, Pheterogeneity = 0.31). Compared to <1 time/week of nut consumption, the inverse relationship was significant for ≥3 times/week of nut consumption (SRRs = 0.75, 95% CIs = 0.63–0.89, p = 0.001, I2 = 0%, Pheterogeneity = 0.93), but not for 1 to <3 times/week of nut consumption (SRRs = 0.93, 95% CIs = 0.69–1.24, p = 0.62, I2 = 52%, Pheterogeneity = 0.10). Conclusions: Our meta-analysis of observational studies found that higher nut consumption was associated with a reduced risk of depressive symptoms, particularly when intake reached at least three servings per week. Further research, especially randomized controlled trials, is needed to understand the underlying mechanisms. Full article
(This article belongs to the Section Nutrition and Neuro Sciences)
Show Figures

Figure 1

11 pages, 1617 KB  
Article
A 10-Year Follow-Up Study on the Success Rate of Maxillary Sinus Floor Augmentation and Implant Placement in Relation to Strontium Ranelate
by Eliza Dragan, Mihaela Ghinea, Danisia Haba and Gabriel Melian
Dent. J. 2025, 13(12), 565; https://doi.org/10.3390/dj13120565 - 1 Dec 2025
Viewed by 596
Abstract
Background: Maxillary sinus floor augmentation (MSFA) is frequently required for implant placement in the atrophic posterior maxilla. However, limited bone quality and volume can compromise long-term success. Strontium ranelate (SrR), a dual-acting bone agent, stimulates osteoblasts while inhibiting osteoclasts, potentially improving bone density [...] Read more.
Background: Maxillary sinus floor augmentation (MSFA) is frequently required for implant placement in the atrophic posterior maxilla. However, limited bone quality and volume can compromise long-term success. Strontium ranelate (SrR), a dual-acting bone agent, stimulates osteoblasts while inhibiting osteoclasts, potentially improving bone density and osseointegration in grafted sites. Objective: This 10-year preliminary split-mouth study evaluated the long-term effects of SrR on bone density, volume, and implant success following MSFA. Methods: Six patients underwent bilateral MSFA using a lateral window approach. One side received systemic SrR (2 g/day for 6 months) after grafting, while the contralateral side served as a control. CBCT and DEXA analyses were performed to assess bone density and volume. Bone biopsies were examined histologically and by microindentation. Data were analyzed using paired t-tests or Wilcoxon signed-rank tests, depending on distribution, with significance at p < 0.05. Results: After 10 years, SrR-treated sites demonstrated a mean 22.9% increase in bone density versus 12.5% in untreated controls. Although both groups experienced minor reductions in bone volume (SrR: −13.3%; control: −12.8%), SrR samples exhibited greater mineralization, hardness, and lamellar bone maturity. Conclusions: SrR improved bone density and mechanical properties but not long-term volume preservation. Given the small sample size (n = 6) and absence of implant stability and patient-reported outcomes, these results should be interpreted with caution. Future large-scale clinical trials incorporating survival, ISQ, and quality-of-life data are warranted. Full article
(This article belongs to the Special Issue Bone Regeneration and Tissue Reconstruction in Dentistry)
Show Figures

Graphical abstract

14 pages, 1016 KB  
Review
Anti-Müllerian Hormone as a Biomarker for Predicting Testicular Sperm Extraction Outcomes in Azoospermic Patients: A Comprehensive Systematic Review and Meta-Analysis
by Dragoș Puia, Marius Ivănuță, Mihaela Corlade-Andrei, Ovidiu Daniel Bîcă, Bogdan Doroftei and Cătălin Pricop
Int. J. Mol. Sci. 2025, 26(23), 11643; https://doi.org/10.3390/ijms262311643 - 1 Dec 2025
Viewed by 854
Abstract
Male infertility represents a major clinical and societal issue, with azoospermia being one of its most severe forms. Anti-Müllerian Hormone (AMH) has been proposed as a potential biomarker for predicting testicular sperm extraction (TESE) outcomes in men with non-obstructive azoospermia (NOA). This study [...] Read more.
Male infertility represents a major clinical and societal issue, with azoospermia being one of its most severe forms. Anti-Müllerian Hormone (AMH) has been proposed as a potential biomarker for predicting testicular sperm extraction (TESE) outcomes in men with non-obstructive azoospermia (NOA). This study aimed to systematically evaluate the association between AMH levels and sperm retrieval success. We included studies on men with NOA reporting TESE outcomes by AMH level, excluding those without full text or with insufficient data. When cohorts overlapped, the most complete study was used, following PICO criteria focused on AMH measurements and sperm retrieval rates (SRR). A comprehensive search identified 133 potentially relevant publications. Of these, 11 studies published between 2006 and 2023, including 1280 patients, met the inclusion criteria. Pooled analyses were performed using random-effects models. This meta-analysis was recorded in the PROSPERO database (registration ID: CRD420251065256). Reported SRRs ranged from 30.35% to 76.27%. Meta-analysis of nine studies assessing serum AMH concentrations revealed significant heterogeneity (I2 = 88%). Elevated serum AMH was negatively associated with SRR (standardized mean difference [SMD] = −2.58; 95% CI: −4.73 to −0.44; p < 0.00001). In contrast, seminal plasma AMH levels (two studies) showed no significant association with SRR (I2 = 82%). Similarly, preoperative FSH levels (nine studies) did not demonstrate a consistent association with SRR, despite higher mean concentrations in patients with successful TESE (p = 0.02; SMD = −4.86; 95% CI: −9.07 to −0.66). Serum AMH levels are significantly associated with TESE outcomes in men with NOA. However, the predictive value of AMH and other hormonal markers is limited by high inter-individual variability and overlapping values between successful and unsuccessful cases. These findings underscore the complexity of NOA and highlight the need to interpret hormonal markers within a broader clinical and biochemical context. Full article
(This article belongs to the Section Molecular Endocrinology and Metabolism)
Show Figures

Figure 1

Back to TopTop