Sign in to use this feature.

Years

Between: -

Subjects

remove_circle_outline
remove_circle_outline
remove_circle_outline
remove_circle_outline
remove_circle_outline
remove_circle_outline
remove_circle_outline

Journals

Article Types

Countries / Regions

Search Results (50)

Search Parameters:
Keywords = SMURF2

Order results
Result details
Results per page
Select all
Export citation of selected articles as:
16 pages, 714 KB  
Article
Non-HDL Cholesterol and Residual Cardiometabolic Risk in Middle Eastern Patients with Atherosclerotic Cardiovascular Disease
by Osama Alkouri, Ahmad M. Al-Bashaireh, Alanoud Alobaidly, Ghaleb Alharbi, Rahma Musaed Alabkal, Abdullah Hasan, Ayman Hammoudeh, Nisreen Nusair, Jolly Isaac, Abdulkareem Alshehri, Ahmad Rajeh Saifan and Nezam Al-Nsair
Healthcare 2026, 14(5), 565; https://doi.org/10.3390/healthcare14050565 - 25 Feb 2026
Viewed by 387
Abstract
Background: Although low-density-lipoprotein cholesterol (LDL-C) remains the primary target of lipid-lowering therapy, many patients with atherosclerotic cardiovascular disease (ASCVD) continue to experience cardiovascular events. This residual risk suggests that LDL-C alone does not fully capture the total atherogenic burden. Alternative lipid measures, [...] Read more.
Background: Although low-density-lipoprotein cholesterol (LDL-C) remains the primary target of lipid-lowering therapy, many patients with atherosclerotic cardiovascular disease (ASCVD) continue to experience cardiovascular events. This residual risk suggests that LDL-C alone does not fully capture the total atherogenic burden. Alternative lipid measures, including non-high-density lipoprotein cholesterol (non-HDL-C) and cholesterol ratios, may provide a more comprehensive risk assessment, particularly in populations with a high prevalence of metabolic disorders. This study assessed the prevalence and clinical determinants of elevated non-HDL cholesterol and adverse cholesterol ratios among Middle Eastern patients with established ASCVD. Methods: This pooled cross-sectional analysis included 2763 adults with confirmed ASCVD from the Jordan SMuRF-less Study and six cardiovascular registries across the Middle East. Patients were stratified by standard modifiable cardiovascular risk factors (SMuRFs). Demographic, clinical, treatment, and lifestyle data were harmonized and analyzed using multivariable regression models. Results: Elevated non-HDL-C was observed in 54% of patients. Those with elevated non-HDL-C were younger (55.0 vs. 59.9 years) and more frequently current smokers (52.6% vs. 43.1%). Hypertension (64.2% vs. 51.0%) and heart failure (25.0% vs. 15.4%) were more common among patients with lower non-HDL-C, whereas dyslipidemia (90.8% vs. 75.8%) and acute coronary syndrome (88.1% vs. 83.7%) were more prevalent in the elevated group. Elevated non-HDL-C was associated with higher baseline LDL-C levels measured prior to the initiation of lipid-lowering therapy (141.3 vs. 81.1 mg/dL) and higher triglycerides (221.4 vs. 140.9 mg/dL). In multivariable analyses, age > 60 years (OR = 0.45), hypertension (OR = 0.74), and heart failure (OR = 0.61) were inversely associated with elevated non-HDL-C. Conclusions: Elevated non-HDL cholesterol is common among Middle Eastern patients with ASCVD, particularly younger individuals, reflecting early metabolic risk and increased atherogenic burden. Non-HDL-C is a valuable marker of residual cardiovascular risk, supporting earlier screening and region-specific prevention strategies. Full article
(This article belongs to the Section Clinical Care)
Show Figures

Figure 1

14 pages, 1898 KB  
Article
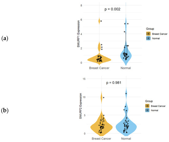
SMURF1 Downregulation Highlights Its Potential Role in Breast Cancer
by Leyla Tekin, Funda Dinç, Cenk Yazkan, Murat Cenik, Çilem Özdemir, Onur Amaç and Tuba Edgünlü
Int. J. Mol. Sci. 2026, 27(4), 1921; https://doi.org/10.3390/ijms27041921 - 17 Feb 2026
Viewed by 319
Abstract
This study aimed to evaluate the mRNA and protein levels of SMURF1 and SMURF2 in breast cancer and to elucidate their potential biological roles through in silico analyses. Tumor and adjacent normal tissue samples were collected from 30 newly diagnosed breast cancer patients [...] Read more.
This study aimed to evaluate the mRNA and protein levels of SMURF1 and SMURF2 in breast cancer and to elucidate their potential biological roles through in silico analyses. Tumor and adjacent normal tissue samples were collected from 30 newly diagnosed breast cancer patients who underwent mastectomy. The mRNA expression levels of SMURF1 and SMURF2 were analyzed by quantitative PCR (qPCR), and their protein expression patterns were evaluated using immunohistochemistry (IHC). In addition, protein–protein interaction (PPI) and functional enrichment analyses were performed via the STRING database to identify potential molecular interactions and biological pathways associated with these genes. The mRNA expression level of SMURF1 was significantly downregulated in tumor tissues compared to normal breast tissues (p = 0.002), whereas no significant difference was observed in SMURF2 mRNA expression (p = 0.981). IHC results revealed that SMURF1 and SMURF2 protein levels did not differ significantly between tumor and normal samples. The in silico analysis demonstrated that SMURF1 and SMURF2 interact with multiple proteins involved in key signaling pathways, particularly the TGF-β/BMP and Wnt/β-catenin pathways. The findings suggest that the downregulation of SMURF1 in breast cancer may contribute to tumor progression by enhancing Wnt/β-catenin signaling activity. The interactions of SMURF1 and SMURF2 with TGF-β/BMP pathway regulators indicate that these genes may play dual roles in both tumor-suppressive and oncogenic mechanisms, depending on the cellular context. Full article
(This article belongs to the Special Issue 25th Anniversary of IJMS: Updates and Advances in Molecular Oncology)
Show Figures

Figure 1

24 pages, 2897 KB  
Review
SMURF2 in Anticancer Therapy: Dual Role in Carcinogenesis and Theranostics
by Joy Eom, Yejin Chun and Hae Ryung Chang
Int. J. Mol. Sci. 2026, 27(3), 1538; https://doi.org/10.3390/ijms27031538 - 4 Feb 2026
Viewed by 430
Abstract
Cancer is a heterogeneous disease at the cellular level and analyzing the genetic and molecular profile is essential for targeted therapy. Cancer cells continue to mutate, often resulting in drug resistance. In addition, cancers such as triple-negative breast cancer (TNBC) lack the target [...] Read more.
Cancer is a heterogeneous disease at the cellular level and analyzing the genetic and molecular profile is essential for targeted therapy. Cancer cells continue to mutate, often resulting in drug resistance. In addition, cancers such as triple-negative breast cancer (TNBC) lack the target proteins used in some of the most effective therapies. This necessitates the identification of novel target proteins and biomarkers for effective treatment strategies. Ubiquitin E3 ligases are often differentially expressed in cancer cells, and numerous anticancer agents have been developed to inhibit them. SMURF2 is an E3 ligase that is differentially expressed in multiple cancer types. Although inhibiting upregulated SMURF2 may be strategically straightforward, enhancing the downregulated gene is often difficult. In addition, because E3 ligases ubiquitinate a variety of substrate proteins, targeting SMURF2 requires detailed analysis to achieve anticancer effect. This review discusses the dual role of SMURF2 in carcinogenesis and addresses the complex context-dependent function of SMURF2 in the various cellular pathways. In addition, resistance to existing cancer therapy related to SMURF2 and sensitivity mechanisms is discussed. Lastly, theranostic strategies for anticancer agents and biomarker development are suggested. Full article
Show Figures

Figure 1

19 pages, 3255 KB  
Article
AgentRed: Towards an Agent-Based Approach to Automated Network Attack Traffic Generation
by Koffi Anderson Koffi, Kyle Lucke, Elijah Danquah Darko, Tollan Berhanu, Robert Angelo Borrelli and Constantinos Kolias
Algorithms 2026, 19(1), 43; https://doi.org/10.3390/a19010043 - 4 Jan 2026
Viewed by 661
Abstract
Network security tools are indispensable in testing and evaluating the security of computer networks. Existing tools, such as Hping3, however, offer a limited set of options and attack-specific configurations, which restrict their use solely to well-known attack patterns. Although highly parameterizable libraries, such [...] Read more.
Network security tools are indispensable in testing and evaluating the security of computer networks. Existing tools, such as Hping3, however, offer a limited set of options and attack-specific configurations, which restrict their use solely to well-known attack patterns. Although highly parameterizable libraries, such as Scapy, provide more options and scripting capabilities, they require extensive manual setup and often a steep learning curve. The development of powerful AI models, capitalizing on the transformer architecture, has enabled cybersecurity researchers to develop or incorporate these models into existing cyber-defense systems and red-team assessments. Prominent models such as NetGPT, TrafficFormer, and TrafficGPT can be effective, but require extensive computational resources for fine-tuning and a complex setup to adapt to proprietary networking environments and protocols. In this work, we propose AgentRed, a lightweight tool for generating network attack traffic with minimal human configuration and setup. Our tool integrates an AI agent and a large language model with fewer than a billion parameters into the network traffic generation process. Our method creates lightweight Low-Rank Adaptation (LoRA) adapters that can learn specific traffic patterns in a particular network environment. Our agent can autonomously train the LoRA adapters, search online documentation for attack patterns and parameters, and select appropriate adapters to generate network traffic specific to the user’s needs. It utilizes the LoRA adapters to create an intermediate traffic representation that can be parsed and executed by tools such as Scapy to generate malicious traffic in a virtualized test environment. We assess the performance of the proposed approach on six popular network attacks, including flooding attacks, Smurf, Ping-of-Death, and normal ICMP ping traffic. Our results validate the ability of the proposed tool to efficiently generate network packets with 97.9% accuracy using the LoRA adapters, compared to 95.4% accuracy using the base pre-trained Qwen3 0.6B model. When the AI agent performs online searches to enrich the LoRA adapters’ context during traffic generation, our method maintains an accuracy of 96.0% across all tested traffic patterns. Full article
Show Figures

Figure 1

22 pages, 4653 KB  
Review
Curcumin as a Dual Modulator of Pyroptosis: Mechanistic Insights and Therapeutic Potential
by Dong Oh Moon
Int. J. Mol. Sci. 2025, 26(15), 7590; https://doi.org/10.3390/ijms26157590 - 6 Aug 2025
Cited by 8 | Viewed by 1819 | Correction
Abstract
Curcumin, a polyphenolic compound derived from Curcuma longa, has drawn significant attention for its pleiotropic pharmacological activities, including anti-inflammatory and anticancer effects. Pyroptosis, an inflammatory form of programmed cell death mediated by inflammasome activation and gasdermin cleavage, has emerged as a critical [...] Read more.
Curcumin, a polyphenolic compound derived from Curcuma longa, has drawn significant attention for its pleiotropic pharmacological activities, including anti-inflammatory and anticancer effects. Pyroptosis, an inflammatory form of programmed cell death mediated by inflammasome activation and gasdermin cleavage, has emerged as a critical target in both chronic inflammatory diseases and cancer therapy. This review comprehensively explores the dual roles of curcumin in the regulation of NLRP3 inflammasome-mediated pyroptosis. Curcumin exerts inhibitory effects by suppressing NF-κB signaling, attenuating mitochondrial reactive oxygen species (ROS) and ER stress, preventing potassium efflux, and disrupting inflammasome complex assembly. Conversely, in certain cancer contexts, curcumin promotes pyroptosis by stabilizing NLRP3 through the inhibition of Smurf2-mediated ubiquitination. Molecular docking studies support curcumin’s direct binding to several pyroptosis-associated proteins, including NLRP3, AMPK, caspase-1, and Smurf2. These context-dependent regulatory effects underscore the therapeutic potential of curcumin as both an inflammasome suppressor in inflammatory diseases and a pyroptosis inducer in cancer. Full article
(This article belongs to the Collection Latest Review Papers in Bioactives and Nutraceuticals)
Show Figures

Figure 1

16 pages, 1251 KB  
Article
Enhanced Detection of Intrusion Detection System in Cloud Networks Using Time-Aware and Deep Learning Techniques
by Nima Terawi, Huthaifa I. Ashqar, Omar Darwish, Anas Alsobeh, Plamen Zahariev and Yahya Tashtoush
Computers 2025, 14(7), 282; https://doi.org/10.3390/computers14070282 - 17 Jul 2025
Cited by 8 | Viewed by 2425
Abstract
This study introduces an enhanced Intrusion Detection System (IDS) framework for Denial-of-Service (DoS) attacks, utilizing network traffic inter-arrival time (IAT) analysis. By examining the timing between packets and other statistical features, we detected patterns of malicious activity, allowing early and effective DoS threat [...] Read more.
This study introduces an enhanced Intrusion Detection System (IDS) framework for Denial-of-Service (DoS) attacks, utilizing network traffic inter-arrival time (IAT) analysis. By examining the timing between packets and other statistical features, we detected patterns of malicious activity, allowing early and effective DoS threat mitigation. We generate real DoS traffic, including normal, Internet Control Message Protocol (ICMP), Smurf attack, and Transmission Control Protocol (TCP) classes, and develop nine predictive algorithms, combining traditional machine learning and advanced deep learning techniques with optimization methods, including the synthetic minority sampling technique (SMOTE) and grid search (GS). Our findings reveal that while traditional machine learning achieved moderate accuracy, it struggled with imbalanced datasets. In contrast, Deep Neural Network (DNN) models showed significant improvements with optimization, with DNN combined with GS (DNN-GS) reaching 89% accuracy. However, we also used Recurrent Neural Networks (RNNs) combined with SMOTE and GS (RNN-SMOTE-GS), which emerged as the best-performing with a precision of 97%, demonstrating the effectiveness of combining SMOTE and GS and highlighting the critical role of advanced optimization techniques in enhancing the detection capabilities of IDS models for the accurate classification of various types of network traffic and attacks. Full article
Show Figures

Graphical abstract

17 pages, 1350 KB  
Review
Regulatory Roles of E3 Ubiquitin Ligases and Deubiquitinases in Bone
by Haotian He, Lifei Wang, Bao Xian and Yayi Xia
Biomolecules 2025, 15(5), 679; https://doi.org/10.3390/biom15050679 - 7 May 2025
Cited by 3 | Viewed by 2738
Abstract
E3 ubiquitin ligases and deubiquitinating enzymes (DUBs) are pivotal regulators of bone homeostasis, orchestrating osteoblast differentiation, proliferation, and osteoclast activity by controlling protein degradation and stability. This review delineates the roles of key E3 ligases (e.g., Smurf1, Smurf2, TRIM family) and DUBs (e.g., [...] Read more.
E3 ubiquitin ligases and deubiquitinating enzymes (DUBs) are pivotal regulators of bone homeostasis, orchestrating osteoblast differentiation, proliferation, and osteoclast activity by controlling protein degradation and stability. This review delineates the roles of key E3 ligases (e.g., Smurf1, Smurf2, TRIM family) and DUBs (e.g., USP family) in bone formation and resorption. E3 ligases such as Smurf1/2 inhibit osteogenesis by degrading BMP/Smad signaling components, while TRIM proteins and HERC ligases promote osteoblast differentiation. Conversely, DUBs like USP2 and USP34 stabilize β-catenin and Smad1/RUNX2, enhancing osteogenic pathways, whereas USP10 and USP12 suppress differentiation. Dysregulation of these enzymes contributes to osteoporosis, fracture non-union, and other bone disorders. The interplay between ubiquitination and deubiquitination, alongside the regulatory role of miRNA and environmental factors, underscores their therapeutic potential. Future research should focus on developing therapies targeting E3 ubiquitin ligases, deubiquitinases, miRNA regulators, and small-molecule inhibitors to restore bone homeostasis in osteoporosis and fracture healing disorders. Full article
(This article belongs to the Section Molecular Medicine)
Show Figures

Figure 1

14 pages, 1832 KB  
Article
Poor Mental Health Status as a Risk Factor and Prognosticator in SMuRF-Less Acute Myocardial Infarction
by Dimitrios V. Moysidis, Georgios Giannopoulos, Vasileios Anastasiou, Stylianos Daios, Andreas S. Papazoglou, Alexandros C. Liatsos, Efstathios Spyridonidis, Vasileios Kamperidis, Matthaios Didagelos, Georgios Tagarakis, Christos Savopoulos, Panagiotis Kyriakidis, Sonia Konstantinidou, George Giannakoulas, Vassilios Vassilikos and Antonios Ziakas
J. Clin. Med. 2025, 14(8), 2645; https://doi.org/10.3390/jcm14082645 - 11 Apr 2025
Cited by 2 | Viewed by 1232
Abstract
Background: The etiology of acute myocardial infarction (AMI) in patients without history of standard modifiable risk factors (SMuRFs) remains unclear. Simultaneously, evidence suggests that mental health status (MHS) contributes to the pathogenesis of AMI and worsens its outcomes. Methods: This analysis of the [...] Read more.
Background: The etiology of acute myocardial infarction (AMI) in patients without history of standard modifiable risk factors (SMuRFs) remains unclear. Simultaneously, evidence suggests that mental health status (MHS) contributes to the pathogenesis of AMI and worsens its outcomes. Methods: This analysis of the prospective “Beyond-SMuRFs” (NCT05535582) study included 650 consecutive patients with AMI who had available data on self-reported MHS before AMI, calculated by the SF36-Questionnaire mental component summary (MCS). Poor MHS was defined as MCS ≤ 50. Multivariable logistic-regression and Cox-regression analyses were implemented to investigate poor MHS as a potential predictor of SMuRF-less AMIs and compare all-cause mortality based on SMuRF-less and MH status, respectively. Results: Of 650 patients with AMI (mean age 62.6 ± 12.1 years), 288 (44.3%) had MCS ≤ 50 and 128 (19.7%) were SMuRF-less patients. Three out of four SMuRF-less patients reported an MCS ≤ 50 (n = 96, 75%), a significantly higher percentage than the corresponding percentage in patients with SMuRFs (n = 192, 36.8%; p < 0.01). The multivariable logistic regression model showed that MCS ≤ 50 was an independent predictor of SMuRF-less AMI [aOR = 0.95; 95% CI (0.94–0.96)]. Time-to-event analysis for all-cause mortality showed that patients with MCS > 50 had lower mortality rates than those with poor MHS (aHR, 3.61 [95% CI, 2.02 to 6.43], p < 0.01). Higher risk for all-cause mortality was also observed in SMuRF-less patients with poor MHS compared to patients with at least one SMuRF and good MHS [aHR, 4.52 (95% CI, 0.94–21.73)]. Conclusions: Poor MHS was an independent predictor of the occurrence of SMuRF-less AMI and predictive of higher mortality in patients with and without SMuRFs. Full article
Show Figures

Figure 1

13 pages, 2531 KB  
Article
Increased Kindlin-2 via SMURF1 Inhibition Attenuates Endothelial Permeability and Acute Lung Injury
by Weiguo Chen, Yulia Epshtein, Christen Vagts, Anne E. Cress and Jeffrey R. Jacobson
Int. J. Mol. Sci. 2025, 26(5), 1880; https://doi.org/10.3390/ijms26051880 - 22 Feb 2025
Cited by 1 | Viewed by 1441
Abstract
Integrin β4 (ITGB4) mediates lung endothelial cell (EC) inflammation attenuated by simvastatin, an HMG CoA-reductase inhibitor. The cytoplasmic domain of ITGB4 is predicted to bind kindlin-2. Kindlin-2 expression is mediated by SMURF1, an E3 ubiquitin ligase that promotes kindlin-2 ubiquitination and degradation. We [...] Read more.
Integrin β4 (ITGB4) mediates lung endothelial cell (EC) inflammation attenuated by simvastatin, an HMG CoA-reductase inhibitor. The cytoplasmic domain of ITGB4 is predicted to bind kindlin-2. Kindlin-2 expression is mediated by SMURF1, an E3 ubiquitin ligase that promotes kindlin-2 ubiquitination and degradation. We hypothesized that increased kindlin-2 expression via the inhibition of SMURF1 mediates EC inflammatory responses relevant to acute lung injury (ALI). To investigate this, human lung ECs were treated with simvastatin (5 µM, 16 h) prior to the immunoprecipitation of kindlin-2 and Western blotting for ITGB4. Next, ECs were treated with a SMURF1 inhibitor, A01, and increased kindlin-2 expression was confirmed. In assays of barrier function, kindlin-2 was silenced (siRNA) in ECs prior to thrombin and measurements of transendothelial resistance (TER) and FITC-dextran transwell flux. Repeat assessments of barrier function were performed in A01-treated ECs. Finally, mice were pretreated with A01 prior to LPS; bronchoalveolar lavage (BAL) fluid was collected, and their lungs were used for histology. Simvastatin increased ITGB4:kindlin-2 association, while A01 increased kindlin-2 expression. Thrombin-induced EC barrier disruption was both increased after kindlin-2 silencing and decreased by A01. Finally, murine ALI was significantly attenuated by A01. Our findings suggest that the augmentation of kindlin-2 may serve as a novel ALI therapeutic strategy. Full article
(This article belongs to the Section Molecular Biology)
Show Figures

Figure 1

17 pages, 3816 KB  
Article
SMURF1-Induced Ubiquitination of FTH1 Disrupts Iron Homeostasis and Suppresses Myogenesis
by Xia Xiong, Wen Li, Chunlin Yu, Mohan Qiu, Zengrong Zhang, Chenming Hu, Shiliang Zhu, Li Yang, Han Pen, Xiaoyan Song, Jialei Chen, Bo Xia, Shunshun Han and Chaowu Yang
Int. J. Mol. Sci. 2025, 26(3), 1390; https://doi.org/10.3390/ijms26031390 - 6 Feb 2025
Cited by 6 | Viewed by 3075
Abstract
Ferritin heavy chain 1 (FTH1) is pivotal in the storage, release, and utilization of iron, plays a crucial role in the ferroptosis pathway, and exerts significant impacts on various diseases. Iron influences skeletal muscle development and health by promoting cell growth, ensuring energy [...] Read more.
Ferritin heavy chain 1 (FTH1) is pivotal in the storage, release, and utilization of iron, plays a crucial role in the ferroptosis pathway, and exerts significant impacts on various diseases. Iron influences skeletal muscle development and health by promoting cell growth, ensuring energy metabolism and ATP synthesis, maintaining oxygen supply, and facilitating protein synthesis. However, the precise molecular mechanisms underlying iron’s regulation of skeletal muscle growth and development remain elusive. In this study, we demonstrated that the conditional knockout (cKO) of FTH1 in skeletal muscle results in muscle atrophy and impaired exercise endurance. In vitro studies using FTH1 cKO myoblasts revealed notable decreases in GSH concentrations, elevated levels of lipid peroxidation, and the substantial accumulation of Fe2+, collectively implying the induction of ferroptosis. Mechanistically, E3 ubiquitin-protein ligase SMURF1 (SMURF1) acts as an E3 ubiquitin ligase for FTH1, thereby facilitating the ubiquitination and subsequent degradation of FTH1. Consequently, this activation of the ferroptosis pathway by SMURF1 impedes myoblast differentiation into myotubes. This study identifies FTH1 as a novel regulator of muscle cell differentiation and skeletal muscle development, implicating its potential significance in maintaining skeletal muscle health through the regulation of iron homeostasis. Full article
(This article belongs to the Special Issue Molecular Mechanisms of Skeletal Muscle Metabolism)
Show Figures

Figure 1

21 pages, 1339 KB  
Article
Stacking Ensemble Deep Learning for Real-Time Intrusion Detection in IoMT Environments
by Easa Alalwany, Bader Alsharif, Yazeed Alotaibi, Abdullah Alfahaid, Imad Mahgoub and Mohammad Ilyas
Sensors 2025, 25(3), 624; https://doi.org/10.3390/s25030624 - 22 Jan 2025
Cited by 30 | Viewed by 5842
Abstract
The Internet of Medical Things (IoMT) is revolutionizing healthcare by enabling advanced patient care through interconnected medical devices and systems. However, its critical role and sensitive data make it a prime target for cyber threats, requiring the implementation of effective security solutions. This [...] Read more.
The Internet of Medical Things (IoMT) is revolutionizing healthcare by enabling advanced patient care through interconnected medical devices and systems. However, its critical role and sensitive data make it a prime target for cyber threats, requiring the implementation of effective security solutions. This paper presents a novel intrusion detection system (IDS) specifically designed for IoMT networks. The proposed IDS leverages machine learning (ML) and deep learning (DL) techniques, employing a stacking ensemble method to enhance detection accuracy by integrating the strengths of multiple classifiers. To ensure real-time performance, the IDS is implemented within a Kappa Architecture framework, enabling continuous processing of IoMT data streams. The system effectively detects and classifies a wide range of cyberattacks, including ARP spoofing, DoS, Smurf, and Port Scan, achieving an outstanding detection accuracy of 0.991 in binary classification and 0.993 in multi-class classification. This research highlights the potential of combining advanced ML and DL methods with ensemble learning to address the unique cybersecurity challenges of IoMT systems, providing a reliable and scalable solution for safeguarding healthcare services. Full article
(This article belongs to the Special Issue Sensors in mHealth Applications)
Show Figures

Figure 1

16 pages, 2853 KB  
Article
E3 Ubiquitin Ligase Smurf1 Regulates the Inflammatory Response in Macrophages and Attenuates Hepatic Damage during Betacoronavirus Infection
by Luiz P. Souza-Costa, Felipe R. S. Santos, Jordane C. Pimenta, Celso M. Queiroz-Junior, Fernanda L. Tana, Danielle C. Teixeira, Manoela G. G. Couto, Natalia F. M. Oliveira, Rafaela D. Pereira, Vinicius A. Beltrami, Pedro A. C. Costa, Larisse S. B. Lacerda, Josiane T. Andrade-Chaves, Pedro P. G. Guimarães, Renato S. Aguiar, Mauro M. Teixeira, Vivian V. Costa and Luis H. Franco
Pathogens 2024, 13(10), 871; https://doi.org/10.3390/pathogens13100871 - 3 Oct 2024
Cited by 1 | Viewed by 2883
Abstract
The E3 ubiquitin ligase Smurf1 catalyzes the ubiquitination and proteasomal degradation of several protein substrates related to inflammatory responses and antiviral signaling. This study investigated the role of Smurf1 in modulating inflammation induced by Betacoronavirus infection. Bone marrow-derived macrophages (BMDMs) from C57BL/6 (wild-type) [...] Read more.
The E3 ubiquitin ligase Smurf1 catalyzes the ubiquitination and proteasomal degradation of several protein substrates related to inflammatory responses and antiviral signaling. This study investigated the role of Smurf1 in modulating inflammation induced by Betacoronavirus infection. Bone marrow-derived macrophages (BMDMs) from C57BL/6 (wild-type) or Smurf1-deficient (Smurf1−/−) mice were infected with MHV-A59 to evaluate the inflammatory response in vitro. Smurf1 was found to be required to downregulate the macrophage production of pro-inflammatory mediators, including TNF, and CXCL1; to control viral release from infected cells; and to increase cell viability. To assess the impact of Smurf 1 in vivo, we evaluated the infection of mice with MHV-A59 through the intranasal route. Smurf1−/− mice infected with a lethal inoculum of MHV-A59 succumbed earlier to infection. Intranasal inoculation with a 10-fold lower dose of MHV-A59 resulted in hematological parameter alterations in Smurf1−/− mice suggestive of exacerbated systemic inflammation. In the lung parenchyma, Smurf1 expression was essential to promote viral clearance, downregulating IFN-β mRNA and controlling the inflammatory profile of macrophages and neutrophils. Conversely, Smurf1 did not affect IFN-β mRNA regulation in the liver, but it was required to increase TNF and iNOS expression in neutrophils and decrease TNF expression in macrophages. In addition, Smurf1−/− mice exhibited augmented liver injuries, accompanied by high serum levels of alanine aminotransferase (ALT). These findings suggest that Smurf1 plays a critical role in regulating the inflammatory response in macrophages and attenuating systemic inflammation during Betacoronavirus infection. Full article
(This article belongs to the Special Issue Host Immune Responses to Intracellular Pathogens)
Show Figures

Graphical abstract

12 pages, 3331 KB  
Article
SMURF1/2 Are Novel Regulators of WNK1 Stability
by Ankita B. Jaykumar, Sakina Plumber, Derk Binns, Chonlarat Wichaidit, Katherine Luby-Phelps and Melanie H. Cobb
Kinases Phosphatases 2024, 2(3), 294-305; https://doi.org/10.3390/kinasesphosphatases2030019 - 20 Sep 2024
Viewed by 1736
Abstract
Angiogenesis is essential for remodeling and repairing existing vessels, and this process requires signaling pathways including those controlled by transforming growth factor beta (TGF-β). We have previously reported crosstalk between TGF-β and the protein kinase With No lysine (K) 1 (WNK1). Homozygous disruption [...] Read more.
Angiogenesis is essential for remodeling and repairing existing vessels, and this process requires signaling pathways including those controlled by transforming growth factor beta (TGF-β). We have previously reported crosstalk between TGF-β and the protein kinase With No lysine (K) 1 (WNK1). Homozygous disruption of the gene encoding WNK1 results in lethality in mice near embryonic day E12 due to impaired angiogenesis, and this defect can be rescued by the endothelial-specific expression of an activated form of the WNK1 substrate kinase Oxidative Stress-Responsive 1 (OSR1). However, molecular processes regulated via a collaboration between TGF-β and WNK1/OSR1 are not well understood. Here, we show that WNK1 interacts with the E3 ubiquitin ligases SMURF1/2. In addition, we discovered that WNK1 regulates SMURF1/2 protein stability and vice versa. We also demonstrate that WNK1 activity regulates TGF-β receptor levels, in turn, controlling TGF-β signaling. Full article
Show Figures

Figure 1

3 pages, 983 KB  
Correction
Correction: Dong et al. Smurf1 Suppression Enhances Temozolomide Chemosensitivity in Glioblastoma by Facilitating PTEN Nuclear Translocation. Cells 2022, 11, 3302
by Lei Dong, Yang Li, Liqun Liu, Xinyi Meng, Shengzhen Li, Da Han, Zhenyu Xiao and Qin Xia
Cells 2024, 13(18), 1575; https://doi.org/10.3390/cells13181575 - 19 Sep 2024
Viewed by 971
Abstract
In the original publication [...] Full article
(This article belongs to the Special Issue Double-Strand DNA Break Repair and Human Disease II)
Show Figures

Figure 1

16 pages, 1738 KB  
Article
Vascular Cytokines and Atherosclerosis: Differential Serum Levels of TRAIL, IL-18, and OPG in Obstructive Coronary Artery Disease
by Katharine A. Bate, Elijah Genetzakis, Joshua Vescovi, Michael P. Gray, David S. Celermajer, Helen M. McGuire, Stuart M. Grieve, Stephen T. Vernon, Siân P. Cartland, Jean Y. Yang, Mary M. Kavurma and Gemma A. Figtree
Biomolecules 2024, 14(9), 1119; https://doi.org/10.3390/biom14091119 - 4 Sep 2024
Cited by 4 | Viewed by 2043
Abstract
The risk-factor-based prediction of atherosclerotic coronary artery disease (CAD) remains suboptimal, particularly in the absence of any of the standard modifiable cardiovascular risk factors (SMuRFs), making the discovery of biomarkers that correlate with atherosclerosis burden critically important. We hypothesized that cytokines and receptors [...] Read more.
The risk-factor-based prediction of atherosclerotic coronary artery disease (CAD) remains suboptimal, particularly in the absence of any of the standard modifiable cardiovascular risk factors (SMuRFs), making the discovery of biomarkers that correlate with atherosclerosis burden critically important. We hypothesized that cytokines and receptors associated with inflammation in CAD—tumor necrosis factor-related apoptosis-inducing ligand (TRAIL), interleukin-18 (IL-18), and osteoprotegerin (OPG)—would be independently associated with CAD. To determine this, we measured the serum biomarker levels of 993 participants from the BioHEART study who had CT coronary angiograms that were scored for severity of stenosis and plaque composition. We found that the quartiles of TRAIL, OPG, and IL-18 were significantly associated with disease scores, and that the IL-18/TRAIL and OPG/TRAIL ratios demonstrated significant differences between no CAD vs. STEMI whereas only the OPG/TRAIL ratio showed differences between no CAD and obstructive CAD (stenosis > 50%). However, these associations did not persist after adjustment for age, sex, SMuRFs, and a family history of CAD. In conclusion, TRAIL, IL-18, and OPG and the derived ratios of IL-18/TRAIL and OPG/TRAIL demonstrate significant associations with raw disease scores and risk factors, but these markers are not discriminatory biomarkers for the prediction of CAD when incorporated into multi-variable risk models. Full article
(This article belongs to the Special Issue Biomarkers of Cardiovascular and Cerebrovascular Diseases)
Show Figures

Figure 1

Back to TopTop