Sign in to use this feature.

Years

Between: -

Subjects

remove_circle_outline
remove_circle_outline
remove_circle_outline
remove_circle_outline
remove_circle_outline
remove_circle_outline
remove_circle_outline

Journals

Article Types

Countries / Regions

Search Results (33)

Search Parameters:
Keywords = S-lay installation

Order results
Result details
Results per page
Select all
Export citation of selected articles as:
26 pages, 6537 KB  
Article
Design and Optimization of a Compact Machine for Laying and Pressing Straw Checkerboard Sand Barriers in Desert Areas
by Yuan Qi, Derong Kong, Peng Zhang, Yang Zhang, Xiaobao Zheng, Yonghua Su, Xinbing Ma and Bugong Sun
Agriculture 2025, 15(17), 1818; https://doi.org/10.3390/agriculture15171818 - 26 Aug 2025
Viewed by 597
Abstract
Straw checkerboard sand barriers play a critical role in wind erosion control and dune stabilization. However, manual installation remains predominant, leading to low efficiency and inconsistent quality. To address this, a compact integrated machine was developed for straw checkerboard laying and pressing using [...] Read more.
Straw checkerboard sand barriers play a critical role in wind erosion control and dune stabilization. However, manual installation remains predominant, leading to low efficiency and inconsistent quality. To address this, a compact integrated machine was developed for straw checkerboard laying and pressing using rice straw. The design emphasizes the coordinated function of the straw distribution and pressing systems. Physical parameters of rice straw—average bundle length (<120 cm), repose angle (20.95°), and elastic modulus (1.65 MPa)—were measured to guide structural design. A 3D model of the machine and a multibody dynamic simulation of the distribution system were conducted to validate the mechanical configuration. Field trials were performed using straw mass per metre and average layer thickness as evaluation metrics. Single- and multi-factor experiments combined with response surface methodology yielded optimal parameters: conveyor shaft speed of 230 r/min, crankshaft speed of 227 r/min, and a third-stage tooth height of 0.03 m. Field tests in desert environments confirmed straw output of 0.2–0.4 kg/m, layer thickness of 2–3 cm, burial depth of 14.3–19.5 cm, and exposed height of 19.8–39.5 cm. Results meet quality specifications for barrier construction, demonstrating the machine’s strong applicability and potential for engineering deployment in desertification control. Full article
(This article belongs to the Section Agricultural Technology)
Show Figures

Figure 1

17 pages, 7494 KB  
Article
The Effect of Strain Aging on the Microstructure and Mechanical Properties of Steel for Reel-Lay Coiled Steel Pipelines
by Yuxi Cao, Guofeng Zuo, Yang Peng, Lin Zhu, Shuai Tong, Shubiao Yin and Xinjun Sun
Materials 2025, 18(15), 3462; https://doi.org/10.3390/ma18153462 - 24 Jul 2025
Viewed by 765
Abstract
Deep-sea oil and gas pipelines undergo significant plastic strain during reel-lay installation. Additionally, the static strain aging phenomenon that occurs during service can further deteriorate the mechanical properties of the pipelines. This study investigates the plastic deformation mechanism of reel-lay pipeline steel by [...] Read more.
Deep-sea oil and gas pipelines undergo significant plastic strain during reel-lay installation. Additionally, the static strain aging phenomenon that occurs during service can further deteriorate the mechanical properties of the pipelines. This study investigates the plastic deformation mechanism of reel-lay pipeline steel by subjecting the test steel to 5% pre-strain followed by aging treatment at 250 °C for 1 h. The present study systematically correlates the evolution of mechanical properties with microstructural changes through microstructural characterization techniques such as EBSD, TEM, and XRD. The results demonstrate that after pre-straining, the yield strength of the experimental steel increases due to dislocation strengthening and residual stress generation, while its uniform elongation decreases. Although no significant changes in grain size are observed macroscopically, microstructural characterization reveals a substantial increase in dislocation density within the matrix, forming dislocation cells and walls. These substructures lead to a deterioration of the material’s work hardening capacity. Following aging treatment, the tested steel exhibits further increased yield strength and reduced uniform elongation. After aging treatment, although the dislocation density in the matrix slightly decreases and dislocation tangles are somewhat reduced, the Cottrell atmosphere pinning effect leads to a further decline in work hardening capability, ultimately resulting in the deterioration of plasticity in reel-lay pipeline steel. The instantaneous hardening exponent curve shows that the work hardening phenomenon becomes more pronounced in the tested steel after strain aging as the tempering temperature increases. Full article
(This article belongs to the Section Metals and Alloys)
Show Figures

Figure 1

16 pages, 1995 KB  
Article
Numerical and Experimental Multi-Approach Models for a Stone Pinnacle Reinforcement
by Miquel Llorens, Miquel Àngel Chamorro, Irieix Costa, Joan Fontàs and Ester Gifra
Buildings 2025, 15(13), 2148; https://doi.org/10.3390/buildings15132148 - 20 Jun 2025
Viewed by 431
Abstract
The church of Saint Felix in Girona (Spain) is crowned by an octagonal bell tower with a stone pinnacle at each corner. It was built using dry-joint stone masonry, a technique that involves laying stones in a precise pattern to create a solid [...] Read more.
The church of Saint Felix in Girona (Spain) is crowned by an octagonal bell tower with a stone pinnacle at each corner. It was built using dry-joint stone masonry, a technique that involves laying stones in a precise pattern to create a solid and durable structure. In order to strengthen the connection between the stone blocks of the pinnacles, a wooden bar was placed through a central hole carved in the stone structure. Today, the inner structure has completely disappeared. During maintenance and repair work, it was decided to restore the functionality of the disappeared reinforcement by installing a titanium bar in its place. Due to the uncertainty associated with the pinnacle’s behaviour and the lack of both, a proper numerical model of the monument, and an extensive characterization of the materials, a strategy based on multiple approaches was designed. The proposed strategy was based on combining numerical and experimental models, the final objective being to determine the length and mechanical properties of the metallic inclusion, considering the effects of gravity, wind, and seismic forces. A scale model of the pinnacle was evaluated in laboratory conditions. The results were used to calibrate a numerical model representing the scale specimen. After calibration, the results were extrapolated to a full-scale numerical model. The experimental and numerical results showed that the pinnacles needed to be reinforced along their entire height. The tensile stresses cause by wind and seismic forces at different levels, could not be compensated without the contribution of the titanium bar inserted into the pinnacle. Full article
(This article belongs to the Special Issue Mechanics of Masonry Towers)
Show Figures

Figure 1

22 pages, 6584 KB  
Article
Fire Test Study and FDS Verification of Spray Water Volume for Small-Sized Bookstores in the Revitalization of Historical Buildings
by Peng Du, Jing Liu, Cheng Zhang, Zhixin Zheng, Guangyue Gu, Jiaming Zhao, Feng Yan, Songtao Liu, Rutian Li and Jun Zhang
Fire 2025, 8(6), 224; https://doi.org/10.3390/fire8060224 - 3 Jun 2025
Viewed by 1312
Abstract
Small bookstores constructed before the 1970s have a high fire risk in the context of the revitalization of historical buildings; while the setup of simple sprinklers is an effective and cheap method of extinguishing fires, the parameters of the sprinklers are uncertain. In [...] Read more.
Small bookstores constructed before the 1970s have a high fire risk in the context of the revitalization of historical buildings; while the setup of simple sprinklers is an effective and cheap method of extinguishing fires, the parameters of the sprinklers are uncertain. In this study, small bookstores in Beijing were selected, and physical combustion experiments with/without a sprinkler system were carried out following the provisions of the Code for the Design of Sprinkler Systems. After the experiments, an FDS model was set up using fire dynamics software. The results show that the total heat release rate (HRR) of books and desks is related to the square of time, with a coefficient of 2.528 × 10−6, and the maximum heat release rate is 40 KW. Unlike the standard test, the physical combustion experiment is significantly affected by the space. According to numerical simulations, when the sprinkler flow velocity is 60~100 L/min, the water consumption of the sprinkler is 195~218 L. This study lays the foundation for the analysis of the combustion characteristics of small bookstores and provides data support for the installation of simple sprinkler systems in small bookstores. Full article
(This article belongs to the Special Issue Confined Space Fire Safety and Alternative Fuel Fire Safety)
Show Figures

Figure 1

19 pages, 30638 KB  
Article
Thermo-Mechanical Behavior Simulation and Experimental Validation of Segmented Tire Molds Based on Multi-Physics Coupling
by Wenkang Xiao, Fang Cao, Jianghai Lin, Hao Wang and Chongyi Liu
Appl. Sci. 2025, 15(7), 4010; https://doi.org/10.3390/app15074010 - 5 Apr 2025
Viewed by 730
Abstract
To address the challenges of unclear thermo-mechanical coupling mechanisms and unpredictable multi-field synergistic effects in segmented tire molds during vulcanization, this study focuses on segmented tire molds and proposes a multi-physics coupling numerical model. This model integrates fluid flow dynamics into heat transfer [...] Read more.
To address the challenges of unclear thermo-mechanical coupling mechanisms and unpredictable multi-field synergistic effects in segmented tire molds during vulcanization, this study focuses on segmented tire molds and proposes a multi-physics coupling numerical model. This model integrates fluid flow dynamics into heat transfer mechanisms. It systematically reveals molds’ heat transfer characteristics, stress distribution and deformation behavior under combined high-temperature and mechanical loading. Based on a fluid-solid-thermal coupling framework and experimental validations, simulations indicate that the internal temperature field of the mold is highly uniform. The global temperature difference is less than 0.13%. The temperature load has a significant dominant effect on the deformation of key components such as the guide ring and installation ring. Molding forces play a secondary role in total stress. The error between multi-field coupling simulation results and experimental results is controlled within 6%, verifying the model’s reliability. This research not only provides a universally applicable multi-field coupling analysis method for complex mold design but also highlights the critical role of temperature fields in stress distribution and deformation analysis. This lays a theoretical foundation for the intelligent design and process optimization of high-temperature, high-pressure forming equipment. Full article
Show Figures

Figure 1

21 pages, 3614 KB  
Article
Process Synthesis, Design and Techno-Economic Assessment of Malonic Acid Production
by Virginia Ioannidou, Nikiforos Misailidis, Demetri Petrides and Michael C. Georgiadis
Processes 2024, 12(11), 2559; https://doi.org/10.3390/pr12112559 - 16 Nov 2024
Cited by 1 | Viewed by 2334
Abstract
This work focuses on the design and techno-economic evaluation of an industrial facility for the production of malonic acid. The raw material utilized is commercial glucose syrup with a concentration of 95%. Based on a patent of Lygos, Inc., an innovative biotechnology research [...] Read more.
This work focuses on the design and techno-economic evaluation of an industrial facility for the production of malonic acid. The raw material utilized is commercial glucose syrup with a concentration of 95%. Based on a patent of Lygos, Inc., an innovative biotechnology research company, this study presents a comprehensive synthesis, design, and simulation framework for the production of malonic acid through oligosaccharide fermentation. An integrated process flowsheet is proposed and simulated using SuperPro Designer™. The analysis indicates that for an installation capacity of about 8000 MT/yr of the final product with a purity of 99.5%, the production cost is estimated at USD 7.92/kg. A comprehensive study of the capacity’s impact on economics reveals that this cost could decrease to as low as USD 6.05/kg. A parametric analysis and optimization conducted at the flowsheet level identifies opportunities for further reducing production costs, laying the groundwork for a potential decrease in the product’s selling price. Full article
Show Figures

Figure 1

27 pages, 10973 KB  
Article
Integrating Technological Environmental Design and Energy Interventions in the Residential Building Stock: The Pilot Case of the Small Island Procida
by Giada Romano, Serena Baiani and Francesco Mancini
Sustainability 2024, 16(18), 8071; https://doi.org/10.3390/su16188071 - 15 Sep 2024
Cited by 2 | Viewed by 2117
Abstract
The next decade will see severe environmental and technological risks, pushing our adaptive capacity to its limits. The EPBD Case Green directive, to counter this phenomenon, emphasizes accelerating building renovations, reducing GHG emissions and energy consumption, and promoting renewable energy installations. Additionally, it [...] Read more.
The next decade will see severe environmental and technological risks, pushing our adaptive capacity to its limits. The EPBD Case Green directive, to counter this phenomenon, emphasizes accelerating building renovations, reducing GHG emissions and energy consumption, and promoting renewable energy installations. Additionally, it calls for deadlines to phase out fossil fuels and mandates solar system installations. This research provides a comprehensive perspective on the opportunities for and challenges of incorporating renewable energy into the built environment. It focuses on the 2961 residential buildings on Procida, a small island located south of Italy, to efficiently utilize energy resources and lay the groundwork for sustainability. Beginning with an analysis of the territorial, urban, historical–conservation, structural, and geological context, in addition to environmental assessments, the research develops a classification and archetypalization system using in-house software. This system aggregates data on the island’s residential buildings, analyzes their current state, and formulates various intervention scenarios. These scenarios demonstrate how integrating technological–environmental design interventions, such as upgrading the building envelope and enhancing bioclimatic behavior, with energy retrofitting measures, such as replacing mechanical systems and installing solar panels, can improve the overall performance of the existing building stock and achieve energy self-sufficiency. Full article
(This article belongs to the Special Issue Renewable Energies in the Built Environment)
Show Figures

Figure 1

14 pages, 7755 KB  
Article
Turbine-Based Generation in Greenhouse Irrigation Systems
by Ángel M. Rodríguez-Pérez, Antonio García-Chica, Julio J. Caparros-Mancera and César A. Rodríguez
Hydrology 2024, 11(9), 149; https://doi.org/10.3390/hydrology11090149 - 11 Sep 2024
Cited by 2 | Viewed by 2216
Abstract
This study addresses the need for sustainable and energy-efficient agricultural practices by integrating turbine systems into greenhouse irrigation setups that utilize water from storage basins or ponds. The purpose is to harness excess pressure to generate electricity, enhancing overall system efficiency. This study [...] Read more.
This study addresses the need for sustainable and energy-efficient agricultural practices by integrating turbine systems into greenhouse irrigation setups that utilize water from storage basins or ponds. The purpose is to harness excess pressure to generate electricity, enhancing overall system efficiency. This study involves designing a scalable turbine system that adapts to different greenhouse sizes and water pressure conditions. Key methods include a novel 3D design and implementation of a turbine outlet, using CAD modeling and high-precision 3D printing, and the experimental characterization of the system’s power–pressure relationship and pressure losses. Results demonstrate that a single Banki-type turbine generates nearly 12 W at a maximum pressure of 1.4 bar, 0.98 m3/h of flow, pressure 92% loss performance, and 32% efficiency. Scalability tests in the study case reveal that up to eight turbines can be installed in series without dropping below the critical pressure threshold, that is, above 0.6–0.7 bar, the minimum pressure expected for adequate irrigation, and the turbines collectively produce around 60 W, considering the pressure losses with respect to production. These findings confirm the system’s potential to enhance sustainability and energy efficiency in greenhouse operations. This study lays a foundation for future research to optimize 3D-printed components, integrate renewable energy sources, and conduct long-term performance studies, aiming to further improve the system’s applicability and performance in agricultural settings. Full article
Show Figures

Figure 1

27 pages, 17784 KB  
Article
Research on Multi-Hole Localization Tracking Based on a Combination of Machine Vision and Deep Learning
by Rong Hou, Jianping Yin, Yanchen Liu and Huijuan Lu
Sensors 2024, 24(3), 984; https://doi.org/10.3390/s24030984 - 2 Feb 2024
Cited by 7 | Viewed by 2092
Abstract
In the process of industrial production, manual assembly of workpieces exists with low efficiency and high intensity, and some of the assembly process of the human body has a certain degree of danger. At the same time, traditional machine learning algorithms are difficult [...] Read more.
In the process of industrial production, manual assembly of workpieces exists with low efficiency and high intensity, and some of the assembly process of the human body has a certain degree of danger. At the same time, traditional machine learning algorithms are difficult to adapt to the complexity of the current industrial field environment; the change in the environment will greatly affect the accuracy of the robot’s work. Therefore, this paper proposes a method based on the combination of machine vision and the YOLOv5 deep learning model to obtain the disk porous localization information, after coordinate mapping by the ROS communication control robotic arm work, in order to improve the anti-interference ability of the environment and work efficiency but also reduce the danger to the human body. The system utilizes a camera to collect real-time images of targets in complex environments and, then, trains and processes them for recognition such that coordinate localization information can be obtained. This information is converted into coordinates under the robot coordinate system through hand–eye calibration, and the robot is then controlled to complete multi-hole localization and tracking by means of communication between the upper and lower computers. The results show that there is a high accuracy in the training and testing of the target object, and the control accuracy of the robotic arm is also relatively high. The method has strong anti-interference to the complex environment of industry and exhibits a certain feasibility and effectiveness. It lays a foundation for achieving the automated installation of docking disk workpieces in industrial production and also provides a more favorable choice for the production and installation of the process of screw positioning needs. Full article
Show Figures

Figure 1

38 pages, 9487 KB  
Article
The Optimization of a Subsea Pipeline Installation Configuration Using a Genetic Algorithm
by Damir Karabaić, Marko Kršulja, Sven Maričić and Lovro Liverić
J. Mar. Sci. Eng. 2024, 12(1), 156; https://doi.org/10.3390/jmse12010156 - 12 Jan 2024
Cited by 2 | Viewed by 4673
Abstract
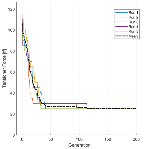
The most commonly used subsea pipeline installation method is the S-Lay method. A very important and complex task in an S-Lay installation engineering analysis is to find the optimal pipelay vessel installation configuration for every distinctive pipeline route section. Installation loads in the [...] Read more.
The most commonly used subsea pipeline installation method is the S-Lay method. A very important and complex task in an S-Lay installation engineering analysis is to find the optimal pipelay vessel installation configuration for every distinctive pipeline route section. Installation loads in the pipeline are very sensitive to small changes in the configuration of the pipeline supports during laying and other influential parameters, such as the tensioner force, stinger angle, trim and draft of the pipelay vessel. Therefore, the process of an engineering installation analysis is very demanding, and there is a need for an automated optimization process. For that purpose, installation engineering methodology criteria and requirements are formalized into a nonlinear optimization problem with mixed continuous and discrete variables. A special tailored multi-objective genetic algorithm is developed that can be adjusted to any desired combination of criteria and offshore standards’ requirements. The optimization algorithm is applied to the representative test cases. The optimization procedure efficiency and quality of the achieved solution prove that the developed genetic algorithm operators and the whole optimization approach are adequate for the presented application. Full article
(This article belongs to the Section Ocean Engineering)
Show Figures

Figure 1

25 pages, 3533 KB  
Article
Sustainable Energy Production in Smart Cities
by Ramiz Salama and Fadi Al-Turjman
Sustainability 2023, 15(22), 16052; https://doi.org/10.3390/su152216052 - 17 Nov 2023
Cited by 16 | Viewed by 5401
Abstract
Finding a method to provide the installed Internet of Things (IoT) nodes with energy that is both ubiquitous and long-lasting is crucial for ensuring continuous smart city optimization. These and other problems have impeded new research into energy harvesting. After the COVID-19 pandemic [...] Read more.
Finding a method to provide the installed Internet of Things (IoT) nodes with energy that is both ubiquitous and long-lasting is crucial for ensuring continuous smart city optimization. These and other problems have impeded new research into energy harvesting. After the COVID-19 pandemic and the lockdown that all but ended daily activity in many countries, the ability of human remote connections to enforce social distancing became crucial. Since they lay the groundwork for surviving a lockdown, Internet of Things (IoT) devices are once again widely recognised as crucial elements of smart cities. The recommended solution of energy collection would enable IoT hubs to search for self-sustaining energy from ecologically large sources. The bulk of urban energy sources that could be used were examined in this work, according to descriptions made by researchers in the literature. Given the abundance of free resources in the city covered in this research, we have also suggested that energy sources can be application-specific. This implies that energy needs for various IoT devices or wireless sensor networks (WSNs) for smart city automation should be searched for near those needs. One of the important smart, ecological and energy-harvesting subjects that has evolved as a result of the advancement of intelligent urban computing is intelligent cities and societies. Collecting and exchanging Internet of Things (IoT) gadgets and smart applications that improve people’s quality of life is the main goal of a sustainable smart city. Energy harvesting management, a key element of sustainable urban computing, is hampered by the exponential rise of Internet of Things (IoT) sensors, smart apps, and complicated populations. These challenges include the requirement to lower the associated elements of energy consumption, power conservation, and waste management for the environment. However, the idea of energy-harvesting management for sustainable urban computing is currently expanding at an exponential rate and requires attention due to regulatory and economic constraints. This study investigates a variety of green energy-collecting techniques in relation to edge-based intelligent urban computing’s smart applications for sustainable and smart cities. The four categories of energy-harvesting strategies currently in use are smart grids, smart environmental systems, smart transportation systems, and smart cities. In terms of developed algorithms, evaluation criteria, and evaluation environments, this review’s objective is to discuss the technical features of energy-harvesting management systems for environmentally friendly urban computing. For sustainable smart cities, which specifically contribute to increasing the energy consumption of smart applications and human life in complex and metropolitan areas, it is crucial from a technical perspective to examine existing barriers and unexplored research trajectories in energy harvesting and waste management. Full article
Show Figures

Figure 1

23 pages, 9395 KB  
Article
A Simplified Approach for Predicting Bend Radius in HDPE Pipelines during Offshore Installation
by Muhammad Zahid Jiwa, Young Tae Kim, Zahiraniza Mustaffa, Seungjun Kim and Do Kyun Kim
J. Mar. Sci. Eng. 2023, 11(10), 2032; https://doi.org/10.3390/jmse11102032 - 23 Oct 2023
Cited by 4 | Viewed by 3769
Abstract
Traditionally, subsea pipelines designed for the transportation of oil, gas, and water are constructed using carbon steel due to its strength, toughness, and ability to operate at temperatures up to 427 °C. However, polyethylene (PE), especially its high-density variant (HDPE), presents advantages such [...] Read more.
Traditionally, subsea pipelines designed for the transportation of oil, gas, and water are constructed using carbon steel due to its strength, toughness, and ability to operate at temperatures up to 427 °C. However, polyethylene (PE), especially its high-density variant (HDPE), presents advantages such as reduced installation costs, diminished water leakage, and superior corrosion resistance. As research endeavours to enhance PE properties, its adoption for subsea applications is anticipated to rise. This study first delineates the mechanical behaviour of HDPE pipelines for offshore installation, identifying pulling tension, dimension ratio, water depth, and air fill ratio as the paramount lay parameters. Subsequently, a theoretical bend radius equation was derived from pipelaying mechanics using a purely geometric approach. Within this equation, two determinants, parameter X and parameter Y, dictate the sagbend bend radius. Regression analysis elucidated the relationships of lay parameters with both X and Y, yielding a general equation for X in terms of pull tension, water depth, and air fill ratio and another for Y as a function of water depth. Together, these geometric determinants underpin the sagbend bend radius estimation model. For overbend bend radius prediction, a lay index (IL) was fashioned from the aforementioned three parameters. Correlation assessments between the lay index and overbend bend radius revealed R2 values of 0.940, 0.836, and 0.712 for pipes with diameters of 2.0, 2.5, and 3.0 metres, respectively. This underscores the model’s proficiency in predicting the bend radius, albeit with decreasing precision for larger-diameter pipelines. Full article
(This article belongs to the Section Ocean Engineering)
Show Figures

Figure 1

17 pages, 2809 KB  
Article
Effects of Laying Depth and Pipe Arc Length on the Mechanical Performance of Large-Diameter Cold-Water Pipes during Float-and-Sink Installation
by Dongshi Wang, Miaozi Zheng, Li Zhang, Zhenyu Mao, Jian Tan, Yulong Zhang and Menglan Duan
J. Mar. Sci. Eng. 2023, 11(8), 1520; https://doi.org/10.3390/jmse11081520 - 30 Jul 2023
Viewed by 1922
Abstract
The successful operation of a large-diameter cold water pipeline installation is crucial for harnessing the potential of ocean thermal energy conversion. However, there is a shortage of research focused on mechanical performance analysis during installation. This study establishes a pipeline response analysis model [...] Read more.
The successful operation of a large-diameter cold water pipeline installation is crucial for harnessing the potential of ocean thermal energy conversion. However, there is a shortage of research focused on mechanical performance analysis during installation. This study establishes a pipeline response analysis model based on a nonlinear beam theory to elucidate the underlying mechanical behaviour. Employing the method of singular perturbation, the general solution for the exterior region of the pipeline, the solution at the boundary layer, and the valid solution across the entire domain are derived. A comparison with numerical solutions is conducted to validate the accuracy and effectiveness of the theoretical model. Based on the theoretical analysis, the influence of installation depth and pipeline curvature on the pipeline’s shape, tension, curvature, and stress is discussed. The results indicate that increasing the installation depth leads to intensified pipeline bending and significant deformation, reaching a maximum bending moment of 3.92 MN∙m at a distance of 50~100 m from the bottom of the pipeline. The results also show that, as the pipeline’s arc length increases from 0 to 100 m, the bending curvature, Von Mises stress, and bending stress exhibit a trend of initial growth followed by a decline, peaking at 7.45 MPa, and 6.83 Mpa, respectively, while the actual tension and axial tension decrease initially and then increase, reaching −0.17 MN and −0.17 MPa, respectively, at the maximum arc length. The findings of this study provide valuable insights for practical cold-water pipe installation and laying. Full article
(This article belongs to the Special Issue Stability and Health Monitoring of Offshore Structures)
Show Figures

Figure 1

24 pages, 3872 KB  
Article
Raising the Resilience of Industrial Manufacturers through Implementing Natural Gas-Fired Distributed Energy Resource Systems with Demand Response
by Anatolyy Dzyuba, Irina Solovyeva and Aleksandr Semikolenov
Sustainability 2023, 15(10), 8241; https://doi.org/10.3390/su15108241 - 18 May 2023
Cited by 4 | Viewed by 2108
Abstract
The use of relatively small-scale distributed electric power generation sources is one of the key focus areas in the development of global industry and regional power generation. By integrating distributed generation sources into their on-site energy infrastructure, industrial consumers gain new characteristics and [...] Read more.
The use of relatively small-scale distributed electric power generation sources is one of the key focus areas in the development of global industry and regional power generation. By integrating distributed generation sources into their on-site energy infrastructure, industrial consumers gain new characteristics and possibilities as entities of the power system that do not only consume power, but in fact can flexibly generate and deliver electricity to local and even centralized grids. This type of entity is called a distributed energy resource system with demand response (Russian: ‘active energy complex’). The purpose of this study is to lay the methodological foundation for the use of distributed energy resource systems with demand response in industrial sites under existing gas and power market conditions and for ensuring the synchronization of parameters that is necessary for managing complex energy consumption. This article provides an empirical study of the principles of the natural gas pricing under the demand volatility of regional markets and the Russian Mercantile Exchange. The article outlines the key drivers, as identified by the authors, that impact gas consumption by a distributed energy resource system, including demand characteristics, limitations and capacity of the gas network and the mode of gas consumption by an industrial enterprise and its generator. Accounting for all of these factors is essential for effective management and proper operational adjustment of a distributed energy resource system with demand response. The result of the study is a proprietary model and a tool for the management of distributed energy resource systems in integration with the gas demand management, which analyze the internal and external parameters of the industrial entity’s operations and its distributed energy resource system, as well as factors existing in the integrated distributed energy system where the consumer is able to buy natural gas in various market segments. The proprietary tool of distributed energy resource system management is based on the centralized control system, which combines performance analytics, operational scheduling of production and the distributed energy resource system, price planning for the wholesale and retail power markets, regional gas markets and exchange, monitoring all elements of the system, and assessment of different active energy management scenarios under various external and internal conditions impacting production and energy demand. Our proprietary tool has been successfully tested in a typical industrial site and was reported to deliver a significant electricity and gas cost-saving effect, which amounted to an 18 percent reduction in the total energy costs of the company, or more than USD 2.6 million per year. The resulting saving effect can recoup the costs of investing in a distributed energy resource system, including construction and installation of the local grid and automation infrastructure, and can be obtained in any country of the world. Full article
(This article belongs to the Special Issue Business Model Innovation for Corporate Sustainability)
Show Figures

Figure 1

16 pages, 11822 KB  
Article
Optimal Charging Pile Configuration and Charging Scheduling for Electric Bus Routes Considering the Impact of Ambient Temperature on Charging Power
by Jing Wang, Heqi Wang and Chunguang Wang
Sustainability 2023, 15(9), 7375; https://doi.org/10.3390/su15097375 - 28 Apr 2023
Cited by 2 | Viewed by 2360
Abstract
Charging piles in the bus depot provide charging services to multiple electric bus (EB) routes operating in the area. As charging needs may overlap between independently operated routes, EB fleets often have to wait in line for charging. However, affected by the ambient [...] Read more.
Charging piles in the bus depot provide charging services to multiple electric bus (EB) routes operating in the area. As charging needs may overlap between independently operated routes, EB fleets often have to wait in line for charging. However, affected by the ambient temperature, the length of the waiting time will cause the battery temperature to change at the beginning of each charging, thereby influencing the charging performance and charging time of the battery. To this end, this paper considers the influence of ambient temperature on battery charging performance, and collaboratively optimizes the number of charging piles in the bus depot and the scheduling problem of EB charging. Aiming at minimizing the cost of laying charging piles in bus stations and the charging costs of bus fleets, as well as minimizing the empty time of electric bus fleets and waiting time for charging in queues, a mixed-integer nonlinear programming model is established, and the immune algorithm is used to solve it. At last, an actual bus depot and four EB routes are taken as examples for verification. The results show that by optimizing the charging waiting time of the electric bus at the bus station, the rapid decline in charging performance caused by the sharp drop in battery temperature is avoided. Without increasing the charging cost of the electric bus fleet, the established method reduces the charging pile installation cost, improves the bus depot’s service efficiency, and ensures the punctuality and integrity of the regional bus route operation. Full article
Show Figures

Figure 1

Back to TopTop