Sign in to use this feature.

Years

Between: -

Subjects

remove_circle_outline
remove_circle_outline
remove_circle_outline
remove_circle_outline
remove_circle_outline
remove_circle_outline
remove_circle_outline
remove_circle_outline
remove_circle_outline

Journals

remove_circle_outline
remove_circle_outline
remove_circle_outline
remove_circle_outline
remove_circle_outline
remove_circle_outline
remove_circle_outline
remove_circle_outline
remove_circle_outline
remove_circle_outline
remove_circle_outline
remove_circle_outline

Article Types

Countries / Regions

remove_circle_outline
remove_circle_outline
remove_circle_outline
remove_circle_outline
remove_circle_outline
remove_circle_outline
remove_circle_outline

Search Results (1,004)

Search Parameters:
Keywords = Red Sea

Order results
Result details
Results per page
Select all
Export citation of selected articles as:
28 pages, 1727 KB  
Article
Impact of Algae Species from the Baltic Sea Region on Ruminal Fermentation Parameters and Methane Mitigation Using an In Vitro Gas Production System
by Sophia Brunnbauer, Ulrich Meyer, Jeannette Kluess, Fabian Billenkamp, Christian Visscher, Marlene Reich, Thomas Schweder, Christian Schulz, Mathias Paschen, Sven Dänicke and Dirk von Soosten
Ruminants 2026, 6(1), 18; https://doi.org/10.3390/ruminants6010018 - 11 Mar 2026
Abstract
This study evaluated the effects of four macroalgae (Colaconema spp., Ulva intestinalis, Ceramium spp., Pylaiella litoralis) and two microalgae (Haematococcus pluvialis, Porphyridium purpureum), chosen due to their local cultivability in the southern Baltic Sea region and potential [...] Read more.
This study evaluated the effects of four macroalgae (Colaconema spp., Ulva intestinalis, Ceramium spp., Pylaiella litoralis) and two microalgae (Haematococcus pluvialis, Porphyridium purpureum), chosen due to their local cultivability in the southern Baltic Sea region and potential gas-reducing properties reported for their taxa, on rumen fermentation and methane production. Therefore, the in vitro ANKOM Rf gas production system was used; three trials were conducted and gas kinetics, gas composition after 48 h of incubation, and short-chain fatty acids (SCFAs) were analyzed. For Trial 1.1, the algae biomasses were added at 4% to a conventional dairy diet and incubated in buffered rumen fluid for 48 h, to evaluate their potential as a supplement. In Trial 1.2, the polysaccharide-enriched algae extracts were added at 2% to the base diet using the same procedure, to investigate the role of the polysaccharide content. For Trial 2, the macroalgae biomasses were evaluated solely to assess their fermentation potential. The addition of the red alga Colaconema spp. (Colaconema) altered the SCFA profile with a shift towards propionate (rate of change in propionate concentration, ΔC3 = 1.216; p < 0.001), without compromising total SCFA yield. The same could be assessed for Ulva intestinalis (U. intestinalis), limited to Trial 2 (ΔC3 = 0.516; p < 0.001). The addition of U. intestinalis led to reduced initial gas production (p = 0.003), reaching the maximum gas production rate at 5.8 h of incubation, 0.3–0.7 h later than the others (5.1–5.5 h). While there was no significant methane reduction at the chosen inclusion rates, the results indicate that both algae influence the SCFA profile and therefore fermentation pattern, with U. intestinalis warranting further investigation on gas production dynamics. Full article
Show Figures

Figure 1

26 pages, 9920 KB  
Article
Integrating Benthic Foraminifera and Heavy Metal Proxies to Evaluate the Environmental Quality of Safaga Bay, Red Sea Coast, Egypt
by Ramadan M. El-Kahawy, Michael Wagreich, Mostafa M. Sayed, Ibrahim M. Ghandour, Ammar Mannaa, Mazen Alsaddah and Dina M. Sayed
Environments 2026, 13(3), 143; https://doi.org/10.3390/environments13030143 - 6 Mar 2026
Viewed by 245
Abstract
Coastal ecosystems are increasingly threatened by anthropogenic activities associated with tourism development and maritime traffic. This study evaluates the environmental quality of a coastal sector using an integrated approach combining sediment characteristics, heavy metal concentrations, and benthic foraminiferal assemblages. Nineteen surface sediments were [...] Read more.
Coastal ecosystems are increasingly threatened by anthropogenic activities associated with tourism development and maritime traffic. This study evaluates the environmental quality of a coastal sector using an integrated approach combining sediment characteristics, heavy metal concentrations, and benthic foraminiferal assemblages. Nineteen surface sediments were collected and analyzed for trace metals using ICP-MS, while benthic foraminiferal assemblages were quantified, and ecological indices were calculated. Results reveal elevated concentrations of trace metals at coastal stations, closely associated with high TOM and fine-grained sediments, indicating significant anthropogenic inputs. These stations are characterized by low species richness, reduced Shannon diversity, high dominance, low living foraminiferal percentages, high malformed individuals, and markedly low FoRAM values, reflecting stressed environmental conditions. Opportunistic taxa such as Ammonia tepida dominate impacted sites, whereas sensitive carbonate-producing taxa (Quinqueloculina lamarckiana, Coscinospira hemprichii, Elphidium striatopunctatum, Elphidium crispum) prevail at less disturbed stations. Multivariate analyses clearly separate polluted coastal stations from relatively unimpacted offshore sites. The combined geochemical and biological evidence demonstrates that tourism-related activities and ship effluents exert a strong negative influence on benthic ecosystems. Benthic foraminifera, together with heavy metals, provide an effective and sensitive tool for assessing anthropogenic impacts and coral reef health for sustainable coastal management of Safaga Bay. Full article
Show Figures

Figure 1

20 pages, 4850 KB  
Article
A Case Study of a Stand-Alone AC and DC Power Network in the Red Sea New City, Kingdom of Saudi Arabia
by Eyad Aldarsi, Rajendra Singh and Jiangfeng Zhang
Electronics 2026, 15(5), 1077; https://doi.org/10.3390/electronics15051077 - 4 Mar 2026
Viewed by 130
Abstract
A photovoltaic (PV) and battery-based energy system can provide the necessary and sufficient electric power to off-grid power system networks due to the technological advancements in both performance improvement and lower system cost. The absence of reactive power in direct current (DC) power [...] Read more.
A photovoltaic (PV) and battery-based energy system can provide the necessary and sufficient electric power to off-grid power system networks due to the technological advancements in both performance improvement and lower system cost. The absence of reactive power in direct current (DC) power system networks has several advantages over corresponding alternating current (AC) power system networks. In this paper, we have investigated a case study for the PV farm coupled with a battery energy storage system (BESS) as a stand-alone power system network in the Red Sea New City, Kingdom of Saudi Arabia. The study consists of two cases, which are the DC battery coupling configuration for the AC power network system and the end-to-end DC (EEDC) configuration for the power network system. Using the same size of solar PV farm and battery storage, we have compared the performance of the two case configurations of different power system networks after thirty years of operation. The results show that implementing the EEDC power system network has a major advantage in improved energy efficiency of the power system (directly related to cost-effectiveness) and lower capital investment of the power system that includes electric power generation, transmission, distribution, and utilization for all applications, including artificial intelligence-based data centers. Full article
(This article belongs to the Section Industrial Electronics)
Show Figures

Figure 1

30 pages, 7149 KB  
Article
Volcanic Hazard Assessment of a Monogenetic Volcanic Field with Sporadic and Limited Information: Deterministic Approach for Harrat Lunayyir, Saudi Arabia
by Károly Németh, Abdulrahman Sowaigh, Mahmoud Ashor, Mostafa Toni and Vladimir Sokolov
GeoHazards 2026, 7(1), 33; https://doi.org/10.3390/geohazards7010033 - 4 Mar 2026
Viewed by 332
Abstract
Saudi Arabia is experiencing interactions between ongoing urbanization, tourism growth, infrastructure projects in western regions along the Red Sea, and volcanic hazards. The area contains extensive monogenetic volcanic fields with hundreds of volcanoes formed during the Quaternary period. The large scale of the [...] Read more.
Saudi Arabia is experiencing interactions between ongoing urbanization, tourism growth, infrastructure projects in western regions along the Red Sea, and volcanic hazards. The area contains extensive monogenetic volcanic fields with hundreds of volcanoes formed during the Quaternary period. The large scale of the region often limits and fragments volcanological research, resulting in insufficient age and chemical data to understand the spatial and temporal development of many volcanic fields. Increased tourism has created a need for volcanic hazard assessments, particularly since some volcanic fields are considered possible tourist destinations. Harrat Lunayyir, in northwestern Saudi Arabia, is an example where such assessments have been conducted. Hazard assessments seek to provide information about potential future eruption types, locations, and impacts over timeframes relevant to urban planning and risk management. Due to rapid local development, these assessments may be required on short notice for specific small areas within larger volcanic fields, even when geological data are limited. This report presents a deterministic, scenario-based method for addressing such requests in the Lunayyir Volcanic Field. Results indicate a young Holocene eruption site characterized by a complex scoria cone associated with lava spattering, Strombolian, violent Strombolian activity and extensive transitional-type lava effusion. Full article
Show Figures

Figure 1

17 pages, 4205 KB  
Article
Anomalous Proliferation of the Native Red Alga Dudresnaya verticillata in the Southern Adriatic Sea
by Andrea Tursi, Giovanni Chimienti, Francesco Mastrototaro and Antonella Bottalico
Water 2026, 18(5), 541; https://doi.org/10.3390/w18050541 - 25 Feb 2026
Viewed by 206
Abstract
Native macroalgal proliferations are emerging as an additional pathway of ecosystem disruption in the Mediterranean Sea, alongside classic invasions by non-indigenous species. Here, we report an unprecedented, large-scale proliferation of the native red alga Dudresnaya verticillata at the Tremiti Islands Marine Protected Area [...] Read more.
Native macroalgal proliferations are emerging as an additional pathway of ecosystem disruption in the Mediterranean Sea, alongside classic invasions by non-indigenous species. Here, we report an unprecedented, large-scale proliferation of the native red alga Dudresnaya verticillata at the Tremiti Islands Marine Protected Area (southern Adriatic Sea), where the species formed extensive filamentous mats across shallow rocks, seagrass meadows, rhodolith and corallith beds, and incoherent bottoms. Underwater surveys documented the widespread occurrence of D. verticillata across the archipelago, and a quantitative photographic analysis was carried out at a representative site characterized by multiple habitat types across the observed depth range of proliferation (10–25 m). Stratified photographic transects were used to estimate percent cover, quantify substrate associations, and evaluate co-occurring benthic components. Taxonomic identification was supported by ad hoc sampling and morphological characters. Overall, D. verticillata covered a mean of 48.7 ± 19.3% of the investigated area, with total cover differing significantly with depth. The highest mean cover occurred at 10–15 m on infralittoral rocky bottoms (60.8 ± 17.4%; 0–90%), intermediate values were recorded at 20–25 m on biogenic/incoherent substrates (49.0 ± 21.3%; 0–100%), and the lowest cover was observed at 15–20 m within a Posidonia oceanica meadow (38.7 ± 15.0%; 0–81%). Degradation forms were detected at all depths, but their relative contribution increased at 20–25 m. These results document a sustained native proliferation with elevated spatial dominance, characterized by rapid expansion and high local cover, highlighting the need to incorporate native “outbreak” dynamics into monitoring and management initiatives in the Mediterranean Sea. Full article
Show Figures

Graphical abstract

29 pages, 11161 KB  
Article
Ecological Risk Assessment and Environmental Status of Heavy Metals for the Bottom Sediments of Sharm El-Luli, Red Sea Coast, Egypt
by Mohammed H. Aljahdali, Ramadan M. El-Kahawy, Mostafa M. Sayed, Petra Heinz and Michael Wagreich
J. Mar. Sci. Eng. 2026, 14(5), 409; https://doi.org/10.3390/jmse14050409 - 24 Feb 2026
Cited by 1 | Viewed by 176
Abstract
Sharm El-Luli, one of the most pristine embayments along Egypt’s Red Sea coast, is increasingly recognized as a sensitive sink for terrigenous inputs and emerging anthropogenic pressures. This study assesses the distribution, sources, and ecological and human health implications of heavy metals in [...] Read more.
Sharm El-Luli, one of the most pristine embayments along Egypt’s Red Sea coast, is increasingly recognized as a sensitive sink for terrigenous inputs and emerging anthropogenic pressures. This study assesses the distribution, sources, and ecological and human health implications of heavy metals in bottom sediments collected throughout the lagoon. Concentrations of Fe, Mn, Zn, Cu, Pb, Ni, Cd, and Co were quantified and assessed using a suite of geochemical indicators and environmentally based indices. Sediment quality guidelines (SQGs; TEL–PEL and ERL–ERM) were applied to evaluate potential biological effects. Most metals exhibited background to minor enrichment, although localized elevations of Pb, Ni, and Zn suggest contributions from episodic wadi runoff and limited tourism-related inputs. Igeo and CF values generally indicated low to moderate contamination, while SQG comparisons showed that exceedances of TEL values occurred primarily for Ni and Pb, implying occasional risk for benthic organisms. Multivariate statistical analysis (PCA) separated metals into two principal components: a lithogenic component dominated by Fe, Mn, and Co, reflecting the influence of Precambrian source rocks; and an anthropogenic-mixed component (Pb, Zn, Cu, Ni) associated with terrigenous pulses and local human activity. Human health risk assessment (non-carcinogenic) showed hazard index (HI) values below unity for both adults and children, indicating negligible immediate health concerns, while potential carcinogenic risk raised in adults via ingestion for Cr followed by Cd and Ni than in children. The results highlight that while Sharm El-Luli remains relatively unimpacted, the lagoon’s geomorphology and low hydrodynamic energy promote metal retention, underscoring the need for continuous monitoring as coastal use intensifies. Full article
(This article belongs to the Section Marine Environmental Science)
Show Figures

Figure 1

25 pages, 8942 KB  
Article
Environmental Controls on Benthic Ostracod Assemblages in a Mangrove-Fringed Lagoon: Insights from Sharm El-Luli, Red Sea Coast, Egypt
by Ramadan M. El-Kahawy, Petra Heinz, Ammar Mannaa, Mostafa M. Sayed, Rabea A. Haredy and Dina M. Sayed
Diversity 2026, 18(2), 130; https://doi.org/10.3390/d18020130 - 21 Feb 2026
Cited by 1 | Viewed by 312
Abstract
Sharm El-Luli, located along the southern Red Sea coast of Egypt, is a semi-enclosed, shallow, mangrove-fringed lagoon characterized by limited hydrodynamic exchange, high salinity, and low terrigenous input. This study investigates the influence of sediment properties, hydrodynamic gradients, and mangrove-associated microhabitats on the [...] Read more.
Sharm El-Luli, located along the southern Red Sea coast of Egypt, is a semi-enclosed, shallow, mangrove-fringed lagoon characterized by limited hydrodynamic exchange, high salinity, and low terrigenous input. This study investigates the influence of sediment properties, hydrodynamic gradients, and mangrove-associated microhabitats on the spatial distribution of benthic ostracod assemblages within this lagoonal system. Eighteen surface sediment samples (W1–W18) were collected along an onshore–offshore gradient and analyzed for ostracod composition, sediment texture, carbonate and organic matter content, and water parameters including temperature, salinity, dissolved oxygen, pH, redox potential, and total dissolved solids. Thirty-four ostracod taxa were identified, revealing a pronounced inner–outer ecological partitioning across the lagoon. Redundancy analysis (RDA) demonstrates that ostracod distribution is primarily controlled by substrate heterogeneity, organic enrichment, salinity, and conductivity-related variables. The inner, low-energy mangrove margin is dominated by Aglaiocypris triebeli, Paranesidea fracticorallicola, and Hiltermannicythere rubrimaris, reflecting stressed, low-diversity conditions associated with organic-rich sediments and restricted circulation. In contrast, mid- and outer-lagoon stations host more diverse assemblages dominated by Xestoleberis spp., Neonesidea schulzi, Loxocorniculum ghardaquensis, and Jugosocythereis borchersi, indicative of better-flushed environments with higher carbonate content and stable marine salinity. These results demonstrate that benthic ostracods respond sensitively to fine-scale environmental gradients in mangrove-fringed lagoons, underscoring their value for assessing ecological health and sedimentary dynamics in semi-enclosed Red Sea coastal systems. Full article
(This article belongs to the Section Marine Diversity)
Show Figures

Figure 1

26 pages, 1699 KB  
Review
New and Emerging Diseases of Temperate Grain Legumes in the Nile Valley and Red Sea Region: Faba Bean Gall and Virus Diseases: A Review
by Seid Ahmed Kemal, Safaa G. Kumari, P. Lava Kumar, Ming Pei You, Joop van Leur and Martin J. Barbetti
Agronomy 2026, 16(4), 479; https://doi.org/10.3390/agronomy16040479 - 20 Feb 2026
Viewed by 342
Abstract
Temperate grain legumes, including faba bean, field pea, chickpea, lentil, and grass pea, are important food and forage crops in the cereal-based cropping system in the Nile Valley and Red Sea region countries. Despite their importance, local production remains insufficient, and the countries [...] Read more.
Temperate grain legumes, including faba bean, field pea, chickpea, lentil, and grass pea, are important food and forage crops in the cereal-based cropping system in the Nile Valley and Red Sea region countries. Despite their importance, local production remains insufficient, and the countries are forced to import to narrow the demand gaps. Emerging diseases, such as faba bean gall disease and several viruses (Chickpea chlorotic dwarf virus, Chickpea chlorotic stunt virus, Faba bean necrotic yellows virus, and Pea seed-borne mosaic virus), are on the rise due to climate variability, changes in farming systems such as monocropping, reduced crop rotations, limited knowledge about the pathogens, and absence of varieties with good levels of resistance. This review synthesizes research achievements in the region and identifies focus areas, primarily resistance breeding, characterization of pathogen populations, developing efficient screening techniques, investigations of mixed virus infections, advancement of pathogen diagnostic techniques, and developing agroecologically based disease management strategies to reduce economic impacts of new and re-emerging diseases. Moreover, research collaboration and information exchange among countries in the region are essential to mitigate the growing threat of emerging legume diseases. Full article
(This article belongs to the Section Pest and Disease Management)
Show Figures

Figure 1

16 pages, 1114 KB  
Technical Note
Fatty Acid Profiles of Raw and Cooked Meat Obtained from the Barents Sea Red King Crab
by Alexander G. Dvoretsky, Vladimir G. Dvoretsky, Fatima A. Bichkaeva, Nina F. Baranova and Olga S. Vlasova
Animals 2026, 16(4), 651; https://doi.org/10.3390/ani16040651 - 18 Feb 2026
Viewed by 413
Abstract
Previous studies have reported the fatty acid composition of red king crab (Paralithodes camtschaticus) meat; however, no comparative analyses have simultaneously investigated raw (RM) and cooked meat (CM). This study addresses this gap by employing gas–liquid chromatography to analyze the fatty [...] Read more.
Previous studies have reported the fatty acid composition of red king crab (Paralithodes camtschaticus) meat; however, no comparative analyses have simultaneously investigated raw (RM) and cooked meat (CM). This study addresses this gap by employing gas–liquid chromatography to analyze the fatty acid profiles of RM and CM from red king crabs from the coastal Barents Sea, Russia. Both products exhibited significant sex-specific differences, with females containing higher levels of fatty acids in their meat than males. Furthermore, males displayed greater dissimilarity between RM and CM compared to females. While nutritional indices were comparable between male and female RM and CM, the cooking process resulted in improved nutritional indices in CM relative to RM. Moreover, the red king crab meat exhibited superior nutritional indices compared to those reported for other, primarily southern, crab species, reflecting a higher polyunsaturated to saturated fatty acid ratio in both RM and CM. Comparisons with the existing literature revealed variability in red king crab meat fatty acid levels across geographical locations and years, suggesting that spatial variations in diet and temporal fluctuations in feeding habits may influence meat quality. Our findings confirm the high nutritional value of red king crab meat, a finding of relevance to both scientific and consumer audiences. Full article
(This article belongs to the Section Animal Products)
Show Figures

Graphical abstract

24 pages, 9601 KB  
Article
Sustainable Aragonite Production from Lime Feedstock Using Continuous Mineral Carbonation System and Seawater as a Natural Chemical Inducer
by Mohammad Ghaddaffi Mohd Noh, Nor Yuliana Yuhana, Mohammad Hafizuddin Hj Jumali, Mohammad Syazwan Onn and Ruzilah Sanum
Appl. Sci. 2026, 16(4), 1933; https://doi.org/10.3390/app16041933 - 14 Feb 2026
Viewed by 181
Abstract
Conventional production methods of aragonite production utilize chemical inducers to promote the evolution of the calcite crystalline phase to the aragonite phase of calcium carbonate. The chemical inducers used require a considerable amount of magnesium chloride (MgCl2) to induce crystallization, which [...] Read more.
Conventional production methods of aragonite production utilize chemical inducers to promote the evolution of the calcite crystalline phase to the aragonite phase of calcium carbonate. The chemical inducers used require a considerable amount of magnesium chloride (MgCl2) to induce crystallization, which is a major operational cost. Application of such materials in large amounts can be a deterrent to achieving a sustainable and economically feasible end-product derived from carbon dioxide (CO2) molecules. A number of previous research works focused mainly on optimizing the usage of MgCl2 or introducing alternative chemical inducers for aragonite production. In this work, we are proposing the usage of natural seawater as it is a naturally available and abundant resource to induce the synthesis and continuous production of aragonite compounds. Due to inconsistent quality and salinity of the natural seawater sampled, harvested, and dried, Red Sea Salt is utilized, blended at 33 g/L throughout the laboratory experiments for better statistical control, and is referred to as blended or artificial seawater. A methodology of utilizing seawater, which has a considerable concentration of MgCl2 compound, can be utilized as a sustainable, natural, and economically feasible natural inducer to synthesize aragonite has been developed by utilizing artificial seawater for laboratory proof of concept. The main effects identified for the optimization of aragonite synthesis are lime (CaO) feedstock concentration in seawater, reaction temperature, and reaction duration. The experiment results indicated that only by increasing temperature and reaction duration, or both, can the aragonite yield be increased. It is suggested that the range of operation to obtain > 80% aragonite purity has been identified with the reaction temperature at 90 °C, reaction duration of 10 min, and CaO concentration in seawater at 1 g/L. The quality of the aragonite synthesized via seawater is characterized using XRD, ICP, FESEM, and TGA, and compared with aragonite particles synthesized using MgCl2 inducers. In comparison, seawater aragonite has lower residual alkalinity compared to both calcite and aragonite via MgCl2 and has a mixture of predominantly needle-shaped crystalline structure and remnants of cubic-shaped particles, presumably calcite, suitable for application in food, beverages, and pharmaceuticals (calcium antacids, nutritional supplements, chewable, lozenges). Full article
Show Figures

Figure 1

22 pages, 6458 KB  
Article
Differential Responses to Heat Stress Between Freshly Isolated and Long-Term Cultured Symbiodinium
by Silvia Arossa, Shannon Grace Klein, Jacqueline Victoria Alva Garcia, Alexandra Steckbauer, Naira Pluma, Luca Genchi, Sergey P. Laptenok, Shiou-Han Hung, Octavio R. Salazar, Manuel Aranda, Carlo Liberale and Carlos Manuel Duarte
Microorganisms 2026, 14(2), 455; https://doi.org/10.3390/microorganisms14020455 - 13 Feb 2026
Viewed by 345
Abstract
Symbiotic dinoflagellates from the family Symbiodiniaceae play a central role in coral reef ecosystems by forming mutualistic relationships with reef invertebrates, particularly stony corals. These relationships underpin reef productivity in nutrient-poor waters but are vulnerable to disruption from marine heatwaves and climate change. [...] Read more.
Symbiotic dinoflagellates from the family Symbiodiniaceae play a central role in coral reef ecosystems by forming mutualistic relationships with reef invertebrates, particularly stony corals. These relationships underpin reef productivity in nutrient-poor waters but are vulnerable to disruption from marine heatwaves and climate change. While laboratory culturing of symbionts has enabled controlled studies of thermal stress, prolonged culturing may lead to physiological changes that do not reflect in hospite conditions. Here, we examined the thermal stress responses of two axenic cultures of Symbiodinium A1, freshly isolated and long-term cultured (2.5 years), originally from the jellyfish Cassiopea andromeda in the Red Sea. Both cultures were exposed to a daily temperature increase of 1 °C, up to 37 °C. Freshly isolated symbionts consistently showed higher photochemical efficiency (0.515 ± 0.007) and growth rates (1.68 ± 0.60 µ day−1) compared to long-term cultured cells (0.401 ± 0.007; −2.25 ± 0.38 µ day−1), which collapsed at 37 °C. Heat stress also led to decreases in O2 and increases in pCO2 across treatments. Long-term cultured symbionts exhibited greater lipid body accumulation, suggesting a shift to anaerobic metabolism. These findings demonstrate that extended batch culturing alters symbiont physiology and stress responses, highlighting the need to consider culture history in experimental designs to avoid bias in interpreting holobiont resilience. Full article
(This article belongs to the Special Issue Coral Microbiome and Microbial Ecology)
Show Figures

Figure 1

17 pages, 2989 KB  
Article
Thermal Anomalies Trigger Widespread Coral Bleaching in Djibouti in 2023: A Scientific Assessment from the Gulf of Aden (Indian Ocean)
by Djama Goumaneh Awaleh, Tahir Atıcı, Abdillahi Houssein Abdallah, Bülent Gözcelioğlu, Moustapha Nour, Ibrahim Souleiman Abdallah, Osman Abdillahi Guedi and Osama S. Saad
Diversity 2026, 18(2), 117; https://doi.org/10.3390/d18020117 - 11 Feb 2026
Viewed by 382
Abstract
Coral reefs in Djibouti, located at the biogeographic junction of the Red Sea and the Indian Ocean, remain among the least studied in the region despite increasing climate-driven pressures. This study provides the first scientific documentation of a large-scale bleaching event in Djibouti [...] Read more.
Coral reefs in Djibouti, located at the biogeographic junction of the Red Sea and the Indian Ocean, remain among the least studied in the region despite increasing climate-driven pressures. This study provides the first scientific documentation of a large-scale bleaching event in Djibouti following the extreme thermal anomaly of 2023. Benthic surveys conducted across 16 sites in Moucha–Maskali Islands, Arta, Tadjourah, and Obock revealed bleaching at all sites, with the highest levels recorded at Ras Bir (23.4%) and Sable Blanc (24.1%), predominantly affecting thermally susceptible such as Acropora and Pocillopora. More thermally tolerant massive corals, particularly Porites, Favia, and Platygyra, exhibited limited bleaching and dominated healthier sites such as Arta. Satellite-derived sea surface temperature (SST) and Degree Heating Week (DHW) data confirmed record-breaking heat stress in 2023, with SST peaking at 35.2 °C and DHW reaching 13.87 °C·week−1—the highest recorded. The pronounced spatial variability in bleaching reflects the combined influence of thermal stress, sedimentation, water quality, and reef geomorphology. Although mortality remained moderate, the findings indicate rising vulnerability of Djibouti’s reefs and underscore the urgent need for continuous monitoring, targeted management interventions, and mitigation of local stressors to enhance resilience in the region. Full article
(This article belongs to the Special Issue Coral Reef Biodiversity Conservation and Ecological Rehabilitation)
Show Figures

Figure 1

16 pages, 13304 KB  
Article
Two-Dimensional Growth Patterns of Coral Nubbins
by David Benyamin, Amalia Murgueitio and Baruch Rinkevich
J. Mar. Sci. Eng. 2026, 14(4), 345; https://doi.org/10.3390/jmse14040345 - 11 Feb 2026
Viewed by 519
Abstract
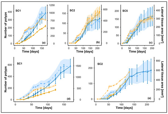
Coral body plans are constructed through repeated modular units, with polyps serving as the fundamental structural and functional units, yet the rules underlying tissue and polyp pattern formation remain poorly understood. This study investigated lateral, two-dimensional (2D) tissue and polyp expansion in the [...] Read more.
Coral body plans are constructed through repeated modular units, with polyps serving as the fundamental structural and functional units, yet the rules underlying tissue and polyp pattern formation remain poorly understood. This study investigated lateral, two-dimensional (2D) tissue and polyp expansion in the coral Stylophora pistillata under controlled laboratory conditions. Using the nubbin assay, we investigated the effects of colony, fragment origin (branch tips versus sub-apical fragments), and nubbin density on this 2D expansion assay. Nubbins from ten colonies (SC1–SC10) were grown on glass slides, and tissue expansion was quantified from digital images over six months. For three fast-growing colonies (SC1, SC2, and SC5), single-, double-, and triple-nubbin configurations were used to evaluate proximity effects. Across all colonies, lateral tissue area strongly correlated with polyp number (R2 = 0.68), indicating a close relationship between surface expansion and polyp proliferation. Pronounced colony differences emerged: SC9 and SC1 exhibited the largest tissue areas, while SC5 developed compact, polyp-dense morphologies. Fragment origin did not influence 2D growth, suggesting the absence of apical dominance. Nubbin density influenced growth in a colony-specific manner; SC1 exhibited strong inhibition under crowded conditions, whereas SC2 and SC5 were largely unaffected. Collectively, these results suggest that intrinsic genetic factors and local spatial interactions, rather than a fragment’s position along a branch, are the primary drivers of 2D growth, highlighting the self-organizing nature of coral tissues and illustrating how controlled 2D systems can clarify the interplay between genetic regulation and local interactions in coral morphogenesis. Full article
(This article belongs to the Section Marine Biology)
Show Figures

Figure 1

21 pages, 3177 KB  
Article
Effects of Different Sources and Dietary Inclusion Levels of Astaxanthin on Growth Performance, Skin Pigmentation, and Physiological Parameters of Red Sea Bream (Pagrus major) Juveniles
by Arkadios Dimitroglou, Stephanie Carvajal Acevedo, Konstantina Evangelia Gleni, Athanasios Samaras, Dimitrios Barkas, Leonidas Papaharisis and Michael Pavlidis
Animals 2026, 16(3), 499; https://doi.org/10.3390/ani16030499 - 5 Feb 2026
Viewed by 434
Abstract
Red seabream (Pagrus major) reared under intensive rearing conditions faces hypermelanosis and dyspigmentation, resulting in darker and less pink/red skin color, losing the natural appearance of the species. This has a great negative impact on consumers’ acceptance and market appeal. Two [...] Read more.
Red seabream (Pagrus major) reared under intensive rearing conditions faces hypermelanosis and dyspigmentation, resulting in darker and less pink/red skin color, losing the natural appearance of the species. This has a great negative impact on consumers’ acceptance and market appeal. Two experiments were performed to test the effect of the source, level, and feeding duration of astaxanthin supplementation in the feed on red seabream skin color reversing the depigmentation problem. Firstly, three different sources of astaxanthin (artificially synthesized, algal-extracted, and yeast-extracted astaxanthin) at the same inclusion level (100 mg kg−1 feed) were tested. Then, the best performing source was tested using five inclusion levels (0, 20, 60, 80, and 100 mg kg−1) in the feed for 60 days. At the same time, growth performance, blood biochemical parameters, antioxidant capacity and cortisol levels were also assessed. The results showed that red seabream appearance can be significantly improved with the inclusion of astaxanthin from the algae Haematococcus pluvialis in the feed even at lower levels compared to the artificially synthesized astaxanthin for a 60-day period. Fish growth performance and blood parameters were not affected by any of the experimental treatments. Full article
(This article belongs to the Section Aquatic Animals)
Show Figures

Figure 1

12 pages, 1979 KB  
Communication
Rhopilema nomadica in the Mediterranean: Molecular Evidence for Migration and Insights into Its Proliferation
by Zafrir Kuplik, Hila Dror, Karin Tamar, Alan Sutton, James Lusana, Blandina Lugendo and Dror L. Angel
Diversity 2026, 18(2), 94; https://doi.org/10.3390/d18020094 - 3 Feb 2026
Viewed by 593
Abstract
Since it was first observed in Israel in the 1970s, and due to its subsequent negative impact on human activities, the nomad jellyfish Rhopilema nomadica has earned itself a spot on the list of the 100 Worst Invasive Alien Species in the Mediterranean. [...] Read more.
Since it was first observed in Israel in the 1970s, and due to its subsequent negative impact on human activities, the nomad jellyfish Rhopilema nomadica has earned itself a spot on the list of the 100 Worst Invasive Alien Species in the Mediterranean. It was assumed to originate in the Red Sea, or in the Indo-Pacific region, but in the absence of additional reports of live specimens outside the Mediterranean, its origins have remained a mystery. Here, via molecular analysis, we present the first verified results of the existence of R. nomadica in the Western Indian Ocean. Moreover, using additional evidence from Cassiopea andromeda and R. nomadica, we propose that the construction of the Aswan High Dam may have led to the proliferation of R. nomadica in the Levantine Basin. Full article
(This article belongs to the Special Issue Cnidaria: Diversity, Ecology, and Evolution)
Show Figures

Figure 1

Back to TopTop