Sign in to use this feature.

Years

Between: -

Subjects

remove_circle_outline
remove_circle_outline
remove_circle_outline
remove_circle_outline
remove_circle_outline
remove_circle_outline
remove_circle_outline
remove_circle_outline
remove_circle_outline

Journals

remove_circle_outline
remove_circle_outline
remove_circle_outline
remove_circle_outline
remove_circle_outline

Article Types

Countries / Regions

remove_circle_outline
remove_circle_outline
remove_circle_outline
remove_circle_outline
remove_circle_outline

Search Results (254)

Search Parameters:
Keywords = Recurrence Plots

Order results
Result details
Results per page
Select all
Export citation of selected articles as:
20 pages, 3275 KB  
Article
Machine Learning-Based Models for the Prediction of Postoperative Recurrence Risk in MVI-Negative HCC
by Chendong Wang, Qunzhe Ding, Mingjie Liu, Rundong Liu, Qiang Zhang, Bixiang Zhang and Jia Song
Biomedicines 2025, 13(10), 2507; https://doi.org/10.3390/biomedicines13102507 - 15 Oct 2025
Viewed by 288
Abstract
Background: Hepatocellular carcinoma (HCC) patients without microvascular invasion (MVI) face significant postoperative early recurrence (ER) risks, yet prognostic determinants remain understudied. Existing models often rely on linear assumptions. This study aimed to develop and validate an interpretable machine learning model using routine [...] Read more.
Background: Hepatocellular carcinoma (HCC) patients without microvascular invasion (MVI) face significant postoperative early recurrence (ER) risks, yet prognostic determinants remain understudied. Existing models often rely on linear assumptions. This study aimed to develop and validate an interpretable machine learning model using routine clinical parameters to predict early recurrence (ER) in MVI-negative HCC patients. Methods: We retrospectively analyzed 578 MVI-negative HCC patients undergoing radical resection. Seven machine learning (ML) algorithms were systematically benchmarked using clinical/laboratory/imaging features optimized via recursive feature elimination (RFE) and hyperparameter tuning. Model interpretability was achieved via SHapley Additive exPlanations (SHAP). Results: The CatBoost model demonstrated superior performance (AUC: 0.7957, Accuracy: 0.7290). SHAP analysis identified key predictors: tumor capsule absence, elevated HBV-DNA and CA125 levels, larger tumor diameter, and lower body weight significantly increased ER risk. Individualized SHAP force plots enhanced clinical interpretability. Conclusions: The CatBoost model exhibits robust predictive performance for ER in MVI-negative HCC, offering a clinically interpretable tool for personalized risk stratification and optimization of postoperative management strategies. Full article
(This article belongs to the Special Issue Advances in Hepatology)
Show Figures

Figure 1

22 pages, 4315 KB  
Article
Automated Identification, Warning, and Visualization of Vortex-Induced Vibration
by Min He, Peng Liang, Xing-Shun Lu, Yu-Hao Pan and Di Zhang
Sensors 2025, 25(19), 6169; https://doi.org/10.3390/s25196169 - 5 Oct 2025
Viewed by 386
Abstract
Vortex-induced vibration (VIV) is a kind of abnormal vibration which needs to be automatically identified and warned in real time to guarantee the operational safety of a bridge. However, the existing VIV identification methods only focus on identification and have limitations in visualizing [...] Read more.
Vortex-induced vibration (VIV) is a kind of abnormal vibration which needs to be automatically identified and warned in real time to guarantee the operational safety of a bridge. However, the existing VIV identification methods only focus on identification and have limitations in visualizing identification results, which causes difficulty for bridge governors in other fields to quickly confirm the identification results. This paper proposes an automatic VIV identification, warning, and visualization method. First, a recurrence plot is introduced to analyze the signal to extract the characteristics of the vibration signal in a time domain. Then, a feature index defined as recurrence cycle smoothness is proposed to quantify the stability of the vibration signal, based on which the VIV can be automatically identified. An automatic VIV identification and multi-level warning process is finally established based on the severity of the vibration amplitude. The proposed method is validated through a suspension bridge with serious VIVs. The result indicates that the proposed method can automatically identify the VIV correctly without any manual intervention and can visualize the identification results using a graph, providing a good tool to quickly confirm the VIV identification results. The multi-level warning can successfully warn the serious VIV and provide possible early warning for large amplitude VIV. Full article
(This article belongs to the Section Intelligent Sensors)
Show Figures

Figure 1

12 pages, 599 KB  
Article
The Utility of T2-Weighted MRI Radiomics in the Prediction of Post-Exenteration Disease Recurrence: A Multi-Centre Externally Validated Study via the PelvEx Collaborative
by PelvEx Collaborative
Cancers 2025, 17(18), 3061; https://doi.org/10.3390/cancers17183061 - 19 Sep 2025
Viewed by 541
Abstract
Introduction: Recurrence after pelvic exenteration remains a significant concern in patients with locally advanced rectal cancer (LARC). Therefore, there is a need for improved non-invasive predictive tools to aid in patient selection. Radiomics, which extracts quantitative imaging features, may help identify patients at [...] Read more.
Introduction: Recurrence after pelvic exenteration remains a significant concern in patients with locally advanced rectal cancer (LARC). Therefore, there is a need for improved non-invasive predictive tools to aid in patient selection. Radiomics, which extracts quantitative imaging features, may help identify patients at greater risk of recurrence. This study aimed to develop and validate a radiomics-based nomogram using pre-treatment MRI to predict postoperative recurrence risk in LARC. Methods: The largest multicenter retrospective radiomics analysis of 191 patients with pathologically confirmed LARC treated at fourteen centres (2016–2018) was performed. All patients received neoadjuvant chemoradiotherapy followed by curative-intent exenterative surgery. Manual tumour segmentation was performed on pre-treatment T2-weighted MRI. Feature selection employed LASSO regression with 5-fold cross-validation across 1000 bootstrap samples. The most frequently selected features were used to construct a logistic regression model via stepwise backward selection. Model performance was assessed using ROC analysis, calibration plots, decision curve analysis, and internal validation with 1000 bootstraps. A nomogram was generated to enable individualized recurrence risk estimation. Results: Postoperative recurrence occurred in 51% (n = 98) of cases. Five radiomic features reflecting tumour heterogeneity, morphology, and texture were included in the final model. In multivariable analysis, all selected features were significantly associated with recurrence, with odds ratios ranging from 0.63 to 1.64. The model achieved an optimism-adjusted AUC of 0.70, indicating fair discrimination. Calibration plots showed good agreement between predicted and observed recurrence probabilities. Decision curve analysis confirmed clinical utility across relevant thresholds. A clinically interpretable nomogram was developed based on the final model. Conclusions: A radiomics-based model using preoperative MRI can predict recurrence in LARC. The derived nomogram provides a practical tool for preoperative risk assessment. Prospective validation is necessary. Full article
(This article belongs to the Special Issue Radiomics and Imaging in Cancer Analysis)
Show Figures

Figure 1

22 pages, 5739 KB  
Article
Dynamical Analysis and Solitary Wave Solutions of the Zhanbota-IIA Equation with Computational Approach
by Beenish, Maria Samreen and Manuel De la Sen
Math. Comput. Appl. 2025, 30(5), 100; https://doi.org/10.3390/mca30050100 - 15 Sep 2025
Viewed by 335
Abstract
This study conducts an in-depth analysis of the dynamical characteristics and solitary wave solutions of the integrable Zhanbota-IIA equation through the lens of planar dynamic system theory. This research applies Lie symmetry to convert nonlinear partial differential equations into ordinary differential equations, enabling [...] Read more.
This study conducts an in-depth analysis of the dynamical characteristics and solitary wave solutions of the integrable Zhanbota-IIA equation through the lens of planar dynamic system theory. This research applies Lie symmetry to convert nonlinear partial differential equations into ordinary differential equations, enabling the investigation of bifurcation, phase portraits, and dynamic behaviors within the framework of chaos theory. A variety of analytical instruments, such as chaotic attractors, return maps, recurrence plots, Lyapunov exponents, Poincaré maps, three-dimensional phase portraits, time analysis, and two-dimensional phase portraits, are utilized to scrutinize both perturbed and unperturbed systems. Furthermore, the study examines the power frequency response and the system’s sensitivity to temporal delays. A novel classification framework, predicated on Lyapunov exponents, systematically categorizes the system’s behavior across a spectrum of parameters and initial conditions, thereby elucidating aspects of multistability and sensitivity. The perturbed system exhibits chaotic and quasi-periodic dynamics. The research employs the maximum Lyapunov exponent portrait as a tool for assessing system stability and derives solitary wave solutions accompanied by illustrative visualization diagrams. The methodology presented herein possesses significant implications for applications in optical fibers and various other engineering disciplines. Full article
(This article belongs to the Section Natural Sciences)
Show Figures

Figure 1

19 pages, 1946 KB  
Systematic Review
High-Energy Lasers in Oral Oncology: A Systematic Review and Meta-Analysis
by Diana Dembicka-Mączka, Jakub Fiegler-Rudol, Dariusz Skaba, Aleksandra Kawczyk-Krupka and Rafał Wiench
J. Clin. Med. 2025, 14(18), 6419; https://doi.org/10.3390/jcm14186419 - 11 Sep 2025
Viewed by 436
Abstract
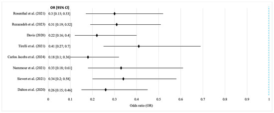
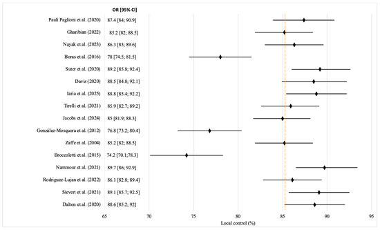
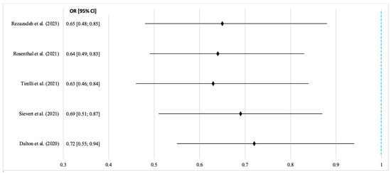
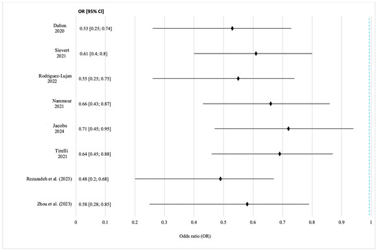
Background: High-energy laser systems may offer oncologic control with fewer complications in OSCC. Methods: Following PRISMA 2020, 30 studies were synthesized. Effect sizes were pooled as HR, OR, or SMD, with 95% CIs using inverse variance methods. Fixed effects were used when [...] Read more.
Background: High-energy laser systems may offer oncologic control with fewer complications in OSCC. Methods: Following PRISMA 2020, 30 studies were synthesized. Effect sizes were pooled as HR, OR, or SMD, with 95% CIs using inverse variance methods. Fixed effects were used when I2 ≤ 50, random effects otherwise. Risk of bias was assessed with RoB 2 and ROBINS-I. Results: Compared with conventional surgery, laser resection was associated with lower local recurrence (OR 0.58, 95% CI 0.43 to 0.77, I2 47, random effects), higher 3-year overall survival (HR 0.72, 95% CI 0.55 to 0.94, I2 22, fixed effects), and fewer intraoperative complications (OR 0.29, 95% CI 0.18 to 0.47, I2 39, random effects). Quality of life favored lasers at 3 months (SMD 0.61, 95% CI 0.38 to 0.84, I2 66, random effects). Upon subgroup analysis, CO2 and Er,Cr:YSGG showed the most consistent benefits. Risk of bias was commonly low for sequence generation and reporting, but high for blinding due to the surgical context. Several cohorts were observational with potential confounding. Funnel plots and Egger tests did not indicate major small-study effects for the primary outcomes. Conclusions: High-energy lasers, particularly CO2 and Er,Cr:YSGG, are associated with improved oncologic and functional outcomes versus conventional surgery. Given the study heterogeneity, limited RCTs, and risks of bias, these findings should be interpreted with caution and confirmed in standardized, multicenter randomized trials. The protocol is registered with PROSPERO (CRD420251119822). Full article
(This article belongs to the Section Dentistry, Oral Surgery and Oral Medicine)
Show Figures

Figure 1

16 pages, 2129 KB  
Article
A Multimodal Convolutional Neural Network Framework for Intelligent Real-Time Monitoring of Etchant Levels in PCB Etching Processes
by Chuen-Sheng Cheng, Pei-Wen Chen, Hen-Yi Jen and Yu-Tang Wu
Mathematics 2025, 13(17), 2804; https://doi.org/10.3390/math13172804 - 1 Sep 2025
Viewed by 557
Abstract
In recent years, machine learning (ML) techniques have gained significant attention in time series classification tasks, particularly in industrial applications where early detection of abnormal conditions is crucial. This study proposes an intelligent monitoring framework based on a multimodal convolutional neural network (CNN) [...] Read more.
In recent years, machine learning (ML) techniques have gained significant attention in time series classification tasks, particularly in industrial applications where early detection of abnormal conditions is crucial. This study proposes an intelligent monitoring framework based on a multimodal convolutional neural network (CNN) to classify normal and abnormal copper ion (Cu2+) concentration states in the etching process in the printed circuit board (PCB) industry. Maintaining precise control Cu2+ concentration is critical in ensuring the quality and reliability of the etching processes. A sliding window approach is employed to segment the data into fixed-length intervals, enabling localized temporal feature extraction. The model fuses two input modalities—raw one-dimensional (1D) time series data and two-dimensional (2D) recurrence plots—allowing it to capture both temporal dynamics and spatial recurrence patterns. Comparative experiments with traditional machine learning classifiers and single-modality CNNs demonstrate that the proposed multimodal CNN significantly outperforms baseline models in terms of accuracy, precision, recall, F1-score, and G-measure. The results highlight the potential of multimodal deep learning in enhancing process monitoring and early fault detection in chemical-based manufacturing. This work contributes to the development of intelligent, adaptive quality control systems in the PCB industry. Full article
(This article belongs to the Special Issue Mathematics Methods of Robotics and Intelligent Systems)
Show Figures

Figure 1

19 pages, 2102 KB  
Article
Multi-Modal Time-Frequency Image Fusion for Weak Target Detection on Sea Surface
by Han Wu, Hongyan Xing, Mengjie Li and Chenyu Hang
J. Mar. Sci. Eng. 2025, 13(9), 1625; https://doi.org/10.3390/jmse13091625 - 26 Aug 2025
Viewed by 587
Abstract
Aiming at the problem of harrowing target feature extraction for one-dimensional radar signals in the strong sea clutter background, this paper proposes a weak target detection method based on the combination of multi-modal time-frequency map fusion and deep learning in the sea clutter [...] Read more.
Aiming at the problem of harrowing target feature extraction for one-dimensional radar signals in the strong sea clutter background, this paper proposes a weak target detection method based on the combination of multi-modal time-frequency map fusion and deep learning in the sea clutter background. The one-dimensional signal is converted into three gray-scale maps with complementary characteristics by three signal processing methods: normalized continuous wavelet transform, Normalized Smooth Pseudo Wigner-Ville Distribution, and recurrence plot; the resulting two-dimensional grayscale maps are adaptively mapped to the R, G, and B channels through an adaptive weighting matrix for feature fusion, ultimately generating a fused color image. Subsequently, an improved multi-modal EfficientNetV2s classification framework was constructed, wherein the decision threshold of the Softmax layer was optimized to achieve controllable false alarm rates for weak signal detection. Experiments are carried out on the IPIX dataset and the China Yantai dataset, and the proposed method achieves certain improvement in detection performance compared with existing detection methods. Full article
(This article belongs to the Section Ocean Engineering)
Show Figures

Figure 1

43 pages, 5207 KB  
Article
Noise-Induced Transitions in Nonlinear Oscillators: From Quasi-Periodic Stability to Stochastic Chaos
by Adil Jhangeer and Atef Abdelkader
Fractal Fract. 2025, 9(8), 550; https://doi.org/10.3390/fractalfract9080550 - 21 Aug 2025
Cited by 1 | Viewed by 684
Abstract
This paper presents a comprehensive dynamical analysis of a nonlinear oscillator subjected to both deterministic and stochastic excitations. Utilizing a diverse suite of analytical tools—including phase portraits, Poincaré sections, Lyapunov exponents, recurrence plots, Fokker–Planck equations, and sensitivity diagnostics—we investigate the transitions between quasi-periodicity, [...] Read more.
This paper presents a comprehensive dynamical analysis of a nonlinear oscillator subjected to both deterministic and stochastic excitations. Utilizing a diverse suite of analytical tools—including phase portraits, Poincaré sections, Lyapunov exponents, recurrence plots, Fokker–Planck equations, and sensitivity diagnostics—we investigate the transitions between quasi-periodicity, chaos, and stochastic disorder. The study reveals that quasi-periodic attractors exhibit robust topological structure under moderate noise but progressively disintegrate as stochastic intensity increases, leading to high-dimensional chaotic-like behavior. Recurrence quantification and Lyapunov spectra validate the transition from coherent dynamics to noise-dominated regimes. Poincaré maps and sensitivity analysis expose multistability and intricate basin geometries, while the Fokker–Planck formalism uncovers non-equilibrium steady states characterized by circulating probability currents. Together, these results provide a unified framework for understanding the geometry, statistics, and stability of noisy nonlinear systems. The findings have broad implications for systems ranging from mechanical oscillators to biological rhythms and offer a roadmap for future investigations into fractional dynamics, topological analysis, and data-driven modeling. Full article
Show Figures

Figure 1

32 pages, 13817 KB  
Article
Comprehensive Analysis of Cutting-Force Components in Milling Using RQA: Effect of Edge Geometry and Process Parameters
by Marcin Płodzień, Łukasz Żyłka, Michał Wydra and Rafał Rusinek
Materials 2025, 18(16), 3768; https://doi.org/10.3390/ma18163768 - 11 Aug 2025
Viewed by 516
Abstract
This study investigates the influence of cutting edge geometry (continuous, serrated, and wavy) and selected machining parameters (cutting speed vc, feed per tooth fz, and radial infeed ae) on cutting-force components and dynamic behavior during the milling [...] Read more.
This study investigates the influence of cutting edge geometry (continuous, serrated, and wavy) and selected machining parameters (cutting speed vc, feed per tooth fz, and radial infeed ae) on cutting-force components and dynamic behavior during the milling of an AlZn5.5MgCu aluminum alloy. The analysis was based on box plots and Recurrence Quantification Analysis (RQA) applied to the cutting-force signal. The results demonstrated that serrated and wavy-edge tools generated significantly lower values of the normal force component FfN—up to −57% on average—compared to the continuous-edge tool, particularly at lower fz and vc, indicating enhanced process dynamics. At higher ae values, however, these tools induced increased signal variability—up to 300% greater—suggesting potential resonance excitation. RQA indicators, such as DET, Lmax, and LAM, revealed a strong dependence of system dynamics on tool edge geometry. Linear Discriminant Analysis (LDA) confirmed that RQA measures effectively distinguish between cutting-edge types. The study concludes that tooldge geometry substantially affects milling process stability and can be purposefully selected to optimize performance under varying machining conditions. Full article
(This article belongs to the Section Manufacturing Processes and Systems)
Show Figures

Graphical abstract

16 pages, 3082 KB  
Review
Pleomorphic Adenoma: Extracapsular Dissection vs. Superficial Parotidectomy—An Updated Systematic Review and Meta-Analysis
by Giovanni Salzano, Veronica Scocca, Stefania Troise, Vincenzo Abbate, Paola Bonavolontà, Luigi Angelo Vaira, Umberto Committeri, Jerome R. Lechien, Sara Tramontano, Vitanna Canterino and Giovanni Dell’Aversana Orabona
Med. Sci. 2025, 13(3), 104; https://doi.org/10.3390/medsci13030104 - 31 Jul 2025
Viewed by 1369
Abstract
Background/Objectives: The aim of our study was to evaluate clinical outcomes in patients with small pleomorphic adenoma (PA) after extracapsular dissection (ED) versus superficial parotidectomy (SP). Methods: Following the PRISMA guidelines, a systematic review covering the years from 1950 to 2025 [...] Read more.
Background/Objectives: The aim of our study was to evaluate clinical outcomes in patients with small pleomorphic adenoma (PA) after extracapsular dissection (ED) versus superficial parotidectomy (SP). Methods: Following the PRISMA guidelines, a systematic review covering the years from 1950 to 2025 was conducted using the Pubmed/MEDLINE, Cochrane Library, Scopus, Ovid MEDLINE and Embase databases. A single-arm meta-analysis was performed to evaluate intraoperative capsular rupture, recurrence, transient and permanent facial nerve palsy, Frey’s syndrome, salivary fistula, seroma and hematoma of patients who underwent ED vs. those who underwent SP, and funnel plots were constructed to evaluate the robustness of the findings. Results: Of the 1793 identified papers, 21 articles met the inclusion criteria. The meta-analysis (2507 patients) reported the following: (1) the risk of recurrence is similar in patients treated with ED and SP; (2) the transient facial nerve palsy rate is lower after ED (p < 0.05), while the permanent facial nerve palsy rate is similar with ED and SP; (3) post-operative complications, especially Frey’s syndrome (p < 0.05), are more common after SP. Conclusions: Given the similar recurrence rate and the lower morbidity compared to SP, ED could be considered the treatment of choice for pleomorphic adenomas of the parotid gland that are up to 3 cm in size, mobile and located in the superficial lobe of the parotid gland. Full article
(This article belongs to the Section Cancer and Cancer-Related Research)
Show Figures

Figure 1

25 pages, 2761 KB  
Article
Leveraging Deep Learning, Grid Search, and Bayesian Networks to Predict Distant Recurrence of Breast Cancer
by Xia Jiang, Yijun Zhou, Alan Wells and Adam Brufsky
Cancers 2025, 17(15), 2515; https://doi.org/10.3390/cancers17152515 - 30 Jul 2025
Viewed by 788
Abstract
Background: Unlike most cancers, breast cancer poses a persistent risk of distant recurrence—often years after initial treatment—making long-term risk stratification uniquely challenging. Current tools fall short in predicting late metastatic events, particularly for early-stage patients. Methods: We present an interpretable machine [...] Read more.
Background: Unlike most cancers, breast cancer poses a persistent risk of distant recurrence—often years after initial treatment—making long-term risk stratification uniquely challenging. Current tools fall short in predicting late metastatic events, particularly for early-stage patients. Methods: We present an interpretable machine learning (ML) pipeline to predict distant recurrence-free survival at 5, 10, and 15 years, integrating Bayesian network-based causal feature selection, deep feed-forward neural network models (DNMs), and SHAP-based interpretation. Using electronic health record (EHR)-based clinical data from over 6000 patients, we first applied the Markov blanket and interactive risk factor learner (MBIL) to identify minimally sufficient predictor subsets. These were then used to train optimized DNM classifiers, with hyperparameters tuned via grid search and benchmarked against models from 10 traditional ML methods and models trained using all predictors. Results: Our best models achieved area under the curve (AUC) scores of 0.79, 0.83, and 0.89 for 5-, 10-, and 15-year predictions, respectively—substantially outperforming baselines. MBIL reduced input dimensionality by over 80% without sacrificing accuracy. Importantly, MBIL-selected features (e.g., nodal status, hormone receptor expression, tumor size) overlapped strongly with top SHAP contributors, reinforcing interpretability. Calibration plots further demonstrated close agreement between predicted probabilities and observed recurrence rates. The percentage performance improvement due to grid search ranged from 25.3% to 60%. Conclusions: This study demonstrates that combining causal selection, deep learning, and grid search improves prediction accuracy, transparency, and calibration for long-horizon breast cancer recurrence risk. The proposed framework is well-positioned for clinical use, especially to guide long-term follow-up and therapy decisions in early-stage patients. Full article
(This article belongs to the Special Issue AI-Based Applications in Cancers)
Show Figures

Figure 1

19 pages, 5198 KB  
Article
Research on a Fault Diagnosis Method for Rolling Bearings Based on the Fusion of PSR-CRP and DenseNet
by Beining Cui, Zhaobin Tan, Yuhang Gao, Xinyu Wang and Lv Xiao
Processes 2025, 13(8), 2372; https://doi.org/10.3390/pr13082372 - 25 Jul 2025
Viewed by 583
Abstract
To address the challenges of unstable vibration signals, indistinct fault features, and difficulties in feature extraction during rolling bearing operation, this paper presents a novel fault diagnosis method based on the fusion of PSR-CRP and DenseNet. The Phase Space Reconstruction (PSR) method transforms [...] Read more.
To address the challenges of unstable vibration signals, indistinct fault features, and difficulties in feature extraction during rolling bearing operation, this paper presents a novel fault diagnosis method based on the fusion of PSR-CRP and DenseNet. The Phase Space Reconstruction (PSR) method transforms one-dimensional bearing vibration data into a three-dimensional space. Euclidean distances between phase points are calculated and mapped into a Color Recurrence Plot (CRP) to represent the bearings’ operational state. This approach effectively reduces feature extraction ambiguity compared to RP, GAF, and MTF methods. Fault features are extracted and classified using DenseNet’s densely connected topology. Compared with CNN and ViT models, DenseNet improves diagnostic accuracy by reusing limited features across multiple dimensions. The training set accuracy was 99.82% and 99.90%, while the test set accuracy is 97.03% and 95.08% for the CWRU and JNU datasets under five-fold cross-validation; F1 scores were 0.9739 and 0.9537, respectively. This method achieves highly accurate diagnosis under conditions of non-smooth signals and inconspicuous fault characteristics and is applicable to fault diagnosis scenarios for precision components in aerospace, military systems, robotics, and related fields. Full article
(This article belongs to the Section Process Control and Monitoring)
Show Figures

Figure 1

21 pages, 1871 KB  
Article
Fusion of Recurrence Plots and Gramian Angular Fields with Bayesian Optimization for Enhanced Time-Series Classification
by Maria Mariani, Prince Appiah and Osei Tweneboah
Axioms 2025, 14(7), 528; https://doi.org/10.3390/axioms14070528 - 10 Jul 2025
Cited by 1 | Viewed by 1503
Abstract
Time-series classification remains a critical task across various domains, demanding models that effectively capture both local recurrence structures and global temporal dependencies. We introduce a novel framework that transforms time series into image representations by fusing recurrence plots (RPs) with both Gramian Angular [...] Read more.
Time-series classification remains a critical task across various domains, demanding models that effectively capture both local recurrence structures and global temporal dependencies. We introduce a novel framework that transforms time series into image representations by fusing recurrence plots (RPs) with both Gramian Angular Summation Fields (GASFs) and Gramian Angular Difference Fields (GADFs). This fusion enriches the structural encoding of temporal dynamics. To ensure optimal performance, Bayesian Optimization is employed to automatically select the ideal image resolution, eliminating the need for manual tuning. Unlike prior methods that rely on individual transformations, our approach concatenates RP, GASF, and GADF into a unified representation and generalizes to multivariate data by stacking transformation channels across sensor dimensions. Experiments on seven univariate datasets show that our method significantly outperforms traditional classifiers such as one-nearest neighbor with Dynamic Time Warping, Shapelet Transform, and RP-based convolutional neural networks. For multivariate tasks, the proposed fusion model achieves macro F1 scores of 91.55% on the UCI Human Activity Recognition dataset and 98.95% on the UCI Room Occupancy Estimation dataset, outperforming standard deep learning baselines. These results demonstrate the robustness and generalizability of our framework, establishing a new benchmark for image-based time-series classification through principled fusion and adaptive optimization. Full article
Show Figures

Figure 1

12 pages, 600 KB  
Article
Expanded Performance Comparison of the Oncuria 10-Plex Bladder Cancer Urine Assay Using Three Different Luminex xMAP Instruments
by Sunao Tanaka, Takuto Shimizu, Ian Pagano, Wayne Hogrefe, Sherry Dunbar, Charles J. Rosser and Hideki Furuya
Diagnostics 2025, 15(14), 1749; https://doi.org/10.3390/diagnostics15141749 - 10 Jul 2025
Viewed by 771
Abstract
Background/Objectives: The clinically validated multiplex Oncuria bladder cancer (BC) assay quickly and noninvasively identifies disease risk and tracks treatment success by simultaneously profiling 10 protein biomarkers in voided urine samples. Oncuria uses paramagnetic bead-based fluorescence multiplex technology (xMAP®; Luminex, Austin, [...] Read more.
Background/Objectives: The clinically validated multiplex Oncuria bladder cancer (BC) assay quickly and noninvasively identifies disease risk and tracks treatment success by simultaneously profiling 10 protein biomarkers in voided urine samples. Oncuria uses paramagnetic bead-based fluorescence multiplex technology (xMAP®; Luminex, Austin, TX, USA) to simultaneously measure 10 protein analytes in urine [angiogenin, apolipoprotein E, carbonic anhydrase IX (CA9), interleukin-8, matrix metalloproteinase-9 and -10, alpha-1 anti-trypsin, plasminogen activator inhibitor-1, syndecan-1, and vascular endothelial growth factor]. Methods: In a pilot study (N = 36 subjects; 18 with BC), Oncuria performed essentially identically across three different common analyzers (the laser/flow-based FlexMap 3D and 200 systems, and the LED/image-based MagPix system; Luminex). The current study compared Oncuria performance across instrumentation platforms using a larger study population (N = 181 subjects; 51 with BC). Results: All three analyzers assessed all 10 analytes in identical samples with excellent concordance. The percent coefficient of variation (%CV) in protein concentrations across systems was ≤2.3% for 9/10 analytes, with only CA9 having %CVs > 2.3%. In pairwise correlation plot comparisons between instruments for all 10 biomarkers, R2 values were 0.999 for 15/30 comparisons and R2 ≥ 0.995 for 27/30 comparisons; CA9 showed the greatest variability (R2 = 0.948–0.970). Standard curve slopes were statistically indistinguishable for all 10 biomarkers across analyzers. Conclusions: The Oncuria BC assay generates comprehensive urinary protein signatures useful for assisting BC diagnosis, predicting treatment response, and tracking disease progression and recurrence. The equivalent performance of the multiplex BC assay using three popular analyzers rationalizes test adoption by CLIA (Clinical Laboratory Improvement Amendments) clinical and research laboratories. Full article
(This article belongs to the Special Issue Diagnostic Markers of Genitourinary Tumors)
Show Figures

Figure 1

23 pages, 2320 KB  
Article
Visualizing Relaxation in Wearables: Multi-Domain Feature Fusion of HRV Using Fuzzy Recurrence Plots
by Puneet Arya, Mandeep Singh and Mandeep Singh
Sensors 2025, 25(13), 4210; https://doi.org/10.3390/s25134210 - 6 Jul 2025
Viewed by 778
Abstract
Traditional relaxation techniques such as meditation and slow breathing often rely on subjective self-assessment, making it difficult to objectively monitor physiological changes. Electrocardiograms (ECG), which are commonly used by clinicians, provide one-dimensional signals to interpret cardiovascular activity. In this study, we introduce a [...] Read more.
Traditional relaxation techniques such as meditation and slow breathing often rely on subjective self-assessment, making it difficult to objectively monitor physiological changes. Electrocardiograms (ECG), which are commonly used by clinicians, provide one-dimensional signals to interpret cardiovascular activity. In this study, we introduce a visual interpretation framework that transforms heart rate variability (HRV) time series into fuzzy recurrence plots (FRPs). Unlike ECGs’ linear traces, FRPs are two-dimensional images that reveal distinctive textural patterns corresponding to autonomic changes. These visually rich patterns make it easier for even non-experts with minimal training to track changes in relaxation states. To enable automated detection, we propose a multi-domain feature fusion framework suitable for wearable systems. HRV data were collected from 60 participants during spontaneous and slow-paced breathing sessions. Features were extracted from five domains: time, frequency, non-linear, geometric, and image-based. Feature selection was performed using the Fisher discriminant ratio, correlation filtering, and greedy search. Among six evaluated classifiers, support vector machine (SVM) achieved the highest performance, with 96.6% accuracy and 100% specificity using only three selected features. Our approach offers both human-interpretable visual feedback through FRP and accurate automated detection, making it highly promising for objectively monitoring real-time stress and developing biofeedback systems in wearable devices. Full article
(This article belongs to the Special Issue Sensors for Heart Rate Monitoring and Cardiovascular Disease)
Show Figures

Figure 1

Back to TopTop