Sign in to use this feature.

Years

Between: -

Subjects

remove_circle_outline
remove_circle_outline
remove_circle_outline
remove_circle_outline

Journals

Article Types

Countries / Regions

Search Results (18)

Search Parameters:
Keywords = Rayleigh–Stokes problem

Order results
Result details
Results per page
Select all
Export citation of selected articles as:
14 pages, 267 KB  
Article
A Quasi-Boundary Value Method for Solving a Backward Problem of the Fractional Rayleigh–Stokes Equation
by Xiaomin Wang and Aimin Yang
Axioms 2025, 14(11), 833; https://doi.org/10.3390/axioms14110833 - 12 Nov 2025
Viewed by 362
Abstract
In this paper, we study a backward problem for a fractional Rayleigh–Stokes equation by using a quasi-boundary value method. This problem is ill-posed; i.e., the solution (if it exists) does not depend continuously on the data. To overcome its instability, a regularization method [...] Read more.
In this paper, we study a backward problem for a fractional Rayleigh–Stokes equation by using a quasi-boundary value method. This problem is ill-posed; i.e., the solution (if it exists) does not depend continuously on the data. To overcome its instability, a regularization method is employed, and convergence rate estimates are derived under both a priori and a posteriori criteria for selecting the regularization parameter. The theoretical results demonstrate the effectiveness of the proposed method in deriving stable and accurate solutions. Full article
(This article belongs to the Special Issue Differential Equations and Inverse Problems, 2nd Edition)
18 pages, 4907 KB  
Article
The Development of a Mesh-Free Technique for the Fractional Model of the Inverse Problem of the Rayleigh–Stokes Equation with Additive Noise
by Farzaneh Safari and Xingya Feng
Fractal Fract. 2025, 9(8), 551; https://doi.org/10.3390/fractalfract9080551 - 21 Aug 2025
Cited by 2 | Viewed by 716
Abstract
We are especially interested in the general framework and ability of a semi-analytic method (SAM) to use the trigonometric basis function (TBF) in different domains. Moreover, the stabilizing effect of increasing boundary nodes on the convergence of the method when a level of [...] Read more.
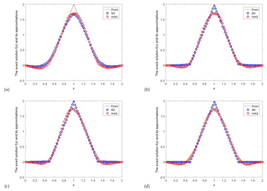
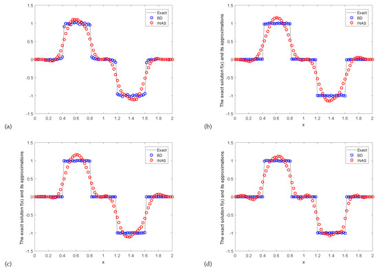
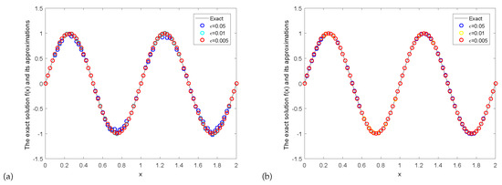
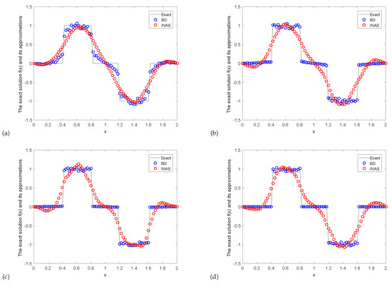
We are especially interested in the general framework and ability of a semi-analytic method (SAM) to use the trigonometric basis function (TBF) in different domains. Moreover, the stabilizing effect of increasing boundary nodes on the convergence of the method when a level of noise is added to the boundary data of the inverse boundary value problem for the nonlinear Rayleigh–Stokes (R-S) equation is investigated. The solution of the ill-conditioned Rayleigh–Stokes equation which the equation is reduced to the linear system [C]= with corrupted boundary data by quasilinearization technical on nonlinear source terms relies on TBFs and radial basis functions (RBFs). Finally, the implementation of the scheme is supported by the numerical experiments. Full article
Show Figures

Figure 1

17 pages, 1315 KB  
Article
A Fractional Tikhonov Regularization Method for Identifying a Time-Independent Source in the Fractional Rayleigh–Stokes Equation
by Songshu Liu, Lixin Feng and Chao Liu
Fractal Fract. 2024, 8(10), 601; https://doi.org/10.3390/fractalfract8100601 - 15 Oct 2024
Cited by 3 | Viewed by 1910
Abstract
The aim of this paper is to identify a time-independent source term in the Rayleigh–Stokes equation with a fractional derivative where additional data are considered at a fixed time point. This inverse problem is proved to be ill-posed in the sense of Hadamard. [...] Read more.
The aim of this paper is to identify a time-independent source term in the Rayleigh–Stokes equation with a fractional derivative where additional data are considered at a fixed time point. This inverse problem is proved to be ill-posed in the sense of Hadamard. By using a fractional Tikhonov regularization method, we construct a regularized solution. Then, according to a priori and a posteriori regularization parameter selection rules, we prove the convergence estimates of the regularization method. Finally, we provide some numerical examples to prove the effectiveness of the proposed method. Full article
Show Figures

Figure 1

13 pages, 5765 KB  
Article
The Characteristics of the Electro-Thermo-Convective Flow of a Dielectric Liquid Analyzed through the Electric Nusselt Number
by Dantchi Koulova, Philippe Traore and Hubert Romat
Fluids 2024, 9(10), 233; https://doi.org/10.3390/fluids9100233 - 3 Oct 2024
Cited by 1 | Viewed by 1244
Abstract
This paper presents a fundamental study of electro-thermo-convective flows within a layer of dielectric liquid subjected to both an electric field and a thermal gradient. A low-conductivity liquid enclosed between two horizontal electrodes and subjected to unipolar charge injection is considered. The interplay [...] Read more.
This paper presents a fundamental study of electro-thermo-convective flows within a layer of dielectric liquid subjected to both an electric field and a thermal gradient. A low-conductivity liquid enclosed between two horizontal electrodes and subjected to unipolar charge injection is considered. The interplay between electric and thermal fields ignites complex physical interactions within the flows, all governed by a set of coupled electro-thermo-hydrodynamic equations. These equations include Maxwell, Navier–Stokes, and energy equations and are solved numerically using an in-house code based on the finite volume method. Electro-thermo-convective flows are driven by two dimensionless instability criteria: Rayleigh number Ra and the stability parameter T, and also by the dimensionless mobility parameter M and Prandtl number Pr. The electric Nusselt number (Ne) analogue to the Nusselt number (Nu) in pure thermal problems serves as an indicator to monitor the shift from a thermo- to an electro-convective flow and its eventual evolution into unsteady, and, later, chaotic flow. This change in regime is observed by tracking the electric Nusselt number’s behavior as a function of the stability parameter (T), for different values of the non-dimensional parameters (M, Ra, and Pr). The important role of mobility parameter M for the development of the flow is shown. The flow structure during different development stages in terms of the number of convective cells is also discussed. Full article
(This article belongs to the Special Issue Advances in Electrohydrodynamic Flow)
Show Figures

Figure 1

12 pages, 268 KB  
Article
On a Backward Problem for the Rayleigh–Stokes Equation with a Fractional Derivative
by Songshu Liu, Tao Liu and Qiang Ma
Axioms 2024, 13(1), 30; https://doi.org/10.3390/axioms13010030 - 30 Dec 2023
Cited by 1 | Viewed by 1542
Abstract
The Rayleigh–Stokes equation with a fractional derivative is widely used in many fields. In this paper, we consider the inverse initial value problem of the Rayleigh–Stokes equation. Since the problem is ill-posed, we adopt the Tikhonov regularization method to solve this problem. In [...] Read more.
The Rayleigh–Stokes equation with a fractional derivative is widely used in many fields. In this paper, we consider the inverse initial value problem of the Rayleigh–Stokes equation. Since the problem is ill-posed, we adopt the Tikhonov regularization method to solve this problem. In addition, this paper not only analyzes the ill-posedness of the problem but also gives the conditional stability estimate. Finally, the convergence estimates are proved under two regularization parameter selection rules. Full article
(This article belongs to the Special Issue Differential Equations and Inverse Problems)
21 pages, 886 KB  
Article
The Hölder Regularity for Abstract Fractional Differential Equation with Applications to Rayleigh–Stokes Problems
by Jiawei He and Guangmeng Wu
Fractal Fract. 2023, 7(7), 549; https://doi.org/10.3390/fractalfract7070549 - 16 Jul 2023
Cited by 2 | Viewed by 1814
Abstract
In this paper, we studied the Hölder regularities of solutions to an abstract fractional differential equation, which is regarded as an abstract version of fractional Rayleigh–Stokes problems, rising up to describing a non-Newtonian fluid with a Riemann–Liouville fractional derivative. The purpose of this [...] Read more.
In this paper, we studied the Hölder regularities of solutions to an abstract fractional differential equation, which is regarded as an abstract version of fractional Rayleigh–Stokes problems, rising up to describing a non-Newtonian fluid with a Riemann–Liouville fractional derivative. The purpose of this article was to establish the Hölder regularities of mild solutions, classical solutions, and strict solutions. We introduced an interpolation space in terms of an analytic resolvent to lower the spatial regularity of initial value data. By virtue of the properties of analytic resolvent and the interpolation space, the Hölder regularities were obtained. As applications, the main conclusions were applied to the regularities of fractional Rayleigh–Stokes problems. Full article
(This article belongs to the Special Issue Initial and Boundary Value Problems for Differential Equations)
16 pages, 342 KB  
Article
A Non-Local Problem for the Fractional-Order Rayleigh–Stokes Equation
by Ravshan Ashurov, Oqila Mukhiddinova and Sabir Umarov
Fractal Fract. 2023, 7(6), 490; https://doi.org/10.3390/fractalfract7060490 - 20 Jun 2023
Cited by 4 | Viewed by 2248
Abstract
A nonlocal boundary value problem for the fractional version of the Rayleigh–Stokes equation, well-known in fluid dynamics, is studied. Namely, the condition u(x,T)=βu(x,0)+φ(x), where [...] Read more.
A nonlocal boundary value problem for the fractional version of the Rayleigh–Stokes equation, well-known in fluid dynamics, is studied. Namely, the condition u(x,T)=βu(x,0)+φ(x), where β is an arbitrary real number, is proposed instead of the initial condition. If β=0, then we have the inverse problem in time, called the backward problem. It is well-known that the backward problem is ill-posed in the sense of Hadamard. If β=1, then the corresponding non-local problem becomes well-posed in the sense of Hadamard, and moreover, in this case a coercive estimate for the solution can be established. The aim of this work is to find values of the parameter β, which separates two types of behavior of the semi-backward problem under consideration. We prove the following statements: if β1, or β<0, then the problem is well-posed; if β(0,1), then depending on the eigenvalues of the elliptic part of the equation, for the existence of a solution an additional condition on orthogonality of the right-hand side of the equation and the boundary function to some eigenfunctions of the corresponding elliptic operator may emerge. Full article
(This article belongs to the Special Issue Feature Papers for Mathematical Physics Section)
16 pages, 914 KB  
Article
Exact Solutions of Navier–Stokes Equations for Quasi-Two-Dimensional Flows with Rayleigh Friction
by Natalya Burmasheva, Sergey Ershkov, Evgeniy Prosviryakov and Dmytro Leshchenko
Fluids 2023, 8(4), 123; https://doi.org/10.3390/fluids8040123 - 3 Apr 2023
Cited by 13 | Viewed by 3422
Abstract
To solve the problems of geophysical hydrodynamics, it is necessary to integrally take into account the unevenness of the bottom and the free boundary for a large-scale flow of a viscous incompressible fluid. The unevenness of the bottom can be taken into account [...] Read more.
To solve the problems of geophysical hydrodynamics, it is necessary to integrally take into account the unevenness of the bottom and the free boundary for a large-scale flow of a viscous incompressible fluid. The unevenness of the bottom can be taken into account by setting a new force in the Navier–Stokes equations (the Rayleigh friction force). For solving problems of geophysical hydrodynamics, the velocity field is two-dimensional. In fact, a model representation of a thin (bottom) baroclinic layer is used. Analysis of such flows leads to the redefinition of the system of equations. A compatibility condition is constructed, the fulfillment of which guarantees the existence of a nontrivial solution of the overdetermined system under consideration. A non-trivial exact solution of the overdetermined system is found in the class of Lin–Sidorov–Aristov exact solutions. In this case, the flow velocities are described by linear forms from horizontal (longitudinal) coordinates. Several variants of the pressure representation that do not contradict the form of the equation system are considered. The article presents an algebraic condition for the existence of a non-trivial exact solution with functional arbitrariness for the Lin–Sidorov–Aristov class. The isobaric and gradient flows of a viscous incompressible fluid are considered in detail. Full article
(This article belongs to the Special Issue Boundary Layer Processes in Geophysical/Environmental Flows)
Show Figures

Figure 1

18 pages, 350 KB  
Article
Backward and Non-Local Problems for the Rayleigh-Stokes Equation
by Ravshan Ashurov and Nafosat Vaisova
Fractal Fract. 2022, 6(10), 587; https://doi.org/10.3390/fractalfract6100587 - 13 Oct 2022
Cited by 10 | Viewed by 1926
Abstract
This paper presents the method of separation of variables to find conditions on the right-hand side and on the initial data in the Rayleigh-Stokes problem, which ensure the existence and uniqueness of the solution. Further, in the Rayleigh-Stokes problem, instead of the initial [...] Read more.
This paper presents the method of separation of variables to find conditions on the right-hand side and on the initial data in the Rayleigh-Stokes problem, which ensure the existence and uniqueness of the solution. Further, in the Rayleigh-Stokes problem, instead of the initial condition, the non-local condition is considered: u(x,T)=βu(x,0)+φ(x), where β is equal to zero or one. It is well known that if β=0, then the corresponding problem, called the backward problem, is ill-posed in the sense of Hadamard, i.e., a small change in u(x,T) leads to large changes in the initial data. Nevertheless, we will show that if we consider sufficiently smooth current information, then the solution exists, it is unique and stable. It will also be shown that if β=1, then the corresponding non-local problem is well-posed and inequalities of coercive type are satisfied. Full article
25 pages, 8252 KB  
Article
2D Newton Schwarz Legendre Collocation Method for a Convection Problem
by Darío Martínez, Henar Herrero and Francisco Pla
Mathematics 2022, 10(19), 3718; https://doi.org/10.3390/math10193718 - 10 Oct 2022
Cited by 2 | Viewed by 2220
Abstract
In this work, an alternate Schwarz domain decomposition method is proposed to solve a Rayleigh–Bénard problem. The problem is modeled with the incompressible Navier–Stokes equations coupled with a heat equation in a rectangular domain. The Boussinesq approximation is considered. The nonlinearity is solved [...] Read more.
In this work, an alternate Schwarz domain decomposition method is proposed to solve a Rayleigh–Bénard problem. The problem is modeled with the incompressible Navier–Stokes equations coupled with a heat equation in a rectangular domain. The Boussinesq approximation is considered. The nonlinearity is solved with Newton’s method. Each iteration of Newton’s method is discretized with an alternating Schwarz scheme, and each Schwarz problem is solved with a Legendre collocation method. The original domain is divided into several subdomains in both directions of the plane. Legendre collocation meshes are coarse, so the problem in each subdomain is well conditioned, and the size of the total mesh can grow by increasing the number of subdomains. In this way, the ill conditioning of Legendre collocation is overcome. The present work achieves an efficient alternating Schwarz algorithm such that the number of subdomains can be increased indefinitely in both directions of the plane. The method has been validated with a benchmark with numerical solutions obtained with other methods and with real experiments. Thanks to this domain decomposition method, the aspect ratio and Rayleigh number can be increased considerably by adding subdomains. Rayleigh values near to the turbulent regime can be reached. Namely, the great advantage of this method is that we obtain solutions close to turbulence, or in domains with large aspect ratios, by solving systems of linear equations with well-conditioned matrices of maximum size one thousand. This is an advantage over other methods that require solving systems with huge matrices of the order of several million, usually with conditioning problems. The computational cost is comparable to other methods, and the code is parallelizable. Full article
Show Figures

Figure 1

15 pages, 436 KB  
Article
Numerical Approximation of the Fractional Rayleigh–Stokes Problem Arising in a Generalised Maxwell Fluid
by Le Dinh Long, Bahman Moradi, Omid Nikan, Zakieh Avazzadeh and António M. Lopes
Fractal Fract. 2022, 6(7), 377; https://doi.org/10.3390/fractalfract6070377 - 2 Jul 2022
Cited by 10 | Viewed by 2343
Abstract
This paper presents a numerical technique to approximate the Rayleigh–Stokes model for a generalised Maxwell fluid formulated in the Riemann–Liouville sense. The proposed method consists of two stages. First, the time discretization of the problem is accomplished by using the finite difference. Second, [...] Read more.
This paper presents a numerical technique to approximate the Rayleigh–Stokes model for a generalised Maxwell fluid formulated in the Riemann–Liouville sense. The proposed method consists of two stages. First, the time discretization of the problem is accomplished by using the finite difference. Second, the space discretization is obtained by means of the predictor–corrector method. The unconditional stability result and convergence analysis are analysed theoretically. Numerical examples are provided to verify the feasibility and accuracy of the proposed method. Full article
Show Figures

Figure 1

16 pages, 644 KB  
Article
A Fast Galerkin Approach for Solving the Fractional Rayleigh–Stokes Problem via Sixth-Kind Chebyshev Polynomials
by Ahmed Gamal Atta, Waleed Mohamed Abd-Elhameed, Galal Mahrous Moatimid and Youssri Hassan Youssri
Mathematics 2022, 10(11), 1843; https://doi.org/10.3390/math10111843 - 27 May 2022
Cited by 25 | Viewed by 2013
Abstract
Herein, a spectral Galerkin method for solving the fractional Rayleigh–Stokes problem involving a nonlinear source term is analyzed. Two kinds of basis functions that are related to the shifted sixth-kind Chebyshev polynomials are selected and utilized in the numerical treatment of the problem. [...] Read more.
Herein, a spectral Galerkin method for solving the fractional Rayleigh–Stokes problem involving a nonlinear source term is analyzed. Two kinds of basis functions that are related to the shifted sixth-kind Chebyshev polynomials are selected and utilized in the numerical treatment of the problem. Some specific integer and fractional derivative formulas are used to introduce our proposed numerical algorithm. Moreover, the stability and convergence accuracy are derived in detail. As a final validation of our theoretical results, we present a few numerical examples. Full article
Show Figures

Figure 1

18 pages, 21893 KB  
Article
Blasius–Rayleigh–Stokes Flow of Hybrid Nanomaterial Liquid Past a Stretching Surface with Generalized Fourier’s and Fick’s Law
by Yingzi Jiang, Juan Zhang, Thabet Abdeljawad, Shafiq Ahmad, Muhammad Naveed Khan, Aysha Rehman, Abdulrazak H. Almaliki and Ahmed S. El-Shafay
Nanomaterials 2022, 12(3), 439; https://doi.org/10.3390/nano12030439 - 27 Jan 2022
Cited by 15 | Viewed by 2521
Abstract
The effect of Stefan blowing on the Cattaneo–Christov characteristics of the Blasius–Rayleigh–Stokes flow of self-motive Ag-MgO/water hybrid nanofluids, with convective boundary conditions and a microorganism density, are examined in this study. Further, the impact of the transitive magnetic field, ablation/accretion, melting heat, and [...] Read more.
The effect of Stefan blowing on the Cattaneo–Christov characteristics of the Blasius–Rayleigh–Stokes flow of self-motive Ag-MgO/water hybrid nanofluids, with convective boundary conditions and a microorganism density, are examined in this study. Further, the impact of the transitive magnetic field, ablation/accretion, melting heat, and viscous dissipation effects are also discussed. By performing appropriate transformations, the mathematical models are turned into a couple of self-similarity equations. The bvp4c approach is used to solve the modified similarity equations numerically. The fluid flow, microorganism density, energy, and mass transfer features are investigated for dissimilar values of different variables including magnetic parameter, volume fraction parameter, Stefan blowing parameter, thermal and concentration Biot number, Eckert number, thermal and concentration relaxation parameter, bio-convection Lewis parameter, and Peclet number, to obtain a better understanding of the problem. The liquid velocity is improved for higher values of the volume fraction parameter and magnetic characteristic, due to the retardation effect. Further, a higher value of the Stefan blowing parameter improves the liquid momentum and velocity boundary layer thickness. Full article
Show Figures

Figure 1

14 pages, 1358 KB  
Article
An Implicit Numerical Approach for 2D Rayleigh Stokes Problem for a Heated Generalized Second Grade Fluid with Fractional Derivative
by Anam Naz, Umair Ali, Ashraf Elfasakhany, Khadiga Ahmed Ismail, Abdullah G. Al-Sehemi and Ahmed A. Al-Ghamdi
Fractal Fract. 2021, 5(4), 283; https://doi.org/10.3390/fractalfract5040283 - 20 Dec 2021
Cited by 6 | Viewed by 3205
Abstract
In this research work, our aim is to use the fast algorithm to solve the Rayleigh–Stokes problem for heated generalized second-grade fluid (RSP-HGSGF) involving Riemann–Liouville time fractional derivative. We suggest the modified implicit scheme formulated in the Riemann–Liouville integral sense and the scheme [...] Read more.
In this research work, our aim is to use the fast algorithm to solve the Rayleigh–Stokes problem for heated generalized second-grade fluid (RSP-HGSGF) involving Riemann–Liouville time fractional derivative. We suggest the modified implicit scheme formulated in the Riemann–Liouville integral sense and the scheme can be applied to the fractional RSP-HGSGF. Numerical experiments will be conducted, to show that the scheme is stress-free to implement, and the outcomes reveal the ideal execution of the suggested technique. The Fourier series will be used to examine the proposed scheme stability and convergence. The technique is stable, and the approximation solution converges to the exact result. To demonstrate the applicability and viability of the suggested strategy, a numerical demonstration will be provided. Full article
Show Figures

Figure 1

19 pages, 653 KB  
Article
Landweber Iterative Regularization Method for Identifying the Initial Value Problem of the Rayleigh–Stokes Equation
by Dun-Gang Li, Jun-Liang Fu, Fan Yang and Xiao-Xiao Li
Fractal Fract. 2021, 5(4), 193; https://doi.org/10.3390/fractalfract5040193 - 2 Nov 2021
Cited by 5 | Viewed by 2346
Abstract
In this paper, we study an inverse problem to identify the initial value problem of the homogeneous Rayleigh–Stokes equation for a generalized second-grade fluid with the Riemann–Liouville fractional derivative model. This problem is ill posed; that is, the solution (if it exists) does [...] Read more.
In this paper, we study an inverse problem to identify the initial value problem of the homogeneous Rayleigh–Stokes equation for a generalized second-grade fluid with the Riemann–Liouville fractional derivative model. This problem is ill posed; that is, the solution (if it exists) does not depend continuously on the data. We use the Landweber iterative regularization method to solve the inverse problem. Based on a conditional stability result, the convergent error estimates between the exact solution and the regularization solution by using an a priori regularization parameter choice rule and an a posteriori regularization parameter choice rule are given. Some numerical experiments are performed to illustrate the effectiveness and stability of this method. Full article
Show Figures

Figure 1

Back to TopTop