Blasius–Rayleigh–Stokes Flow of Hybrid Nanomaterial Liquid Past a Stretching Surface with Generalized Fourier’s and Fick’s Law
Abstract
:1. Introduction
2. Mathematical Modeling
2.1. Similarity Analysis
2.2. Quantities of Interest
3. Numerical Method and Evidence
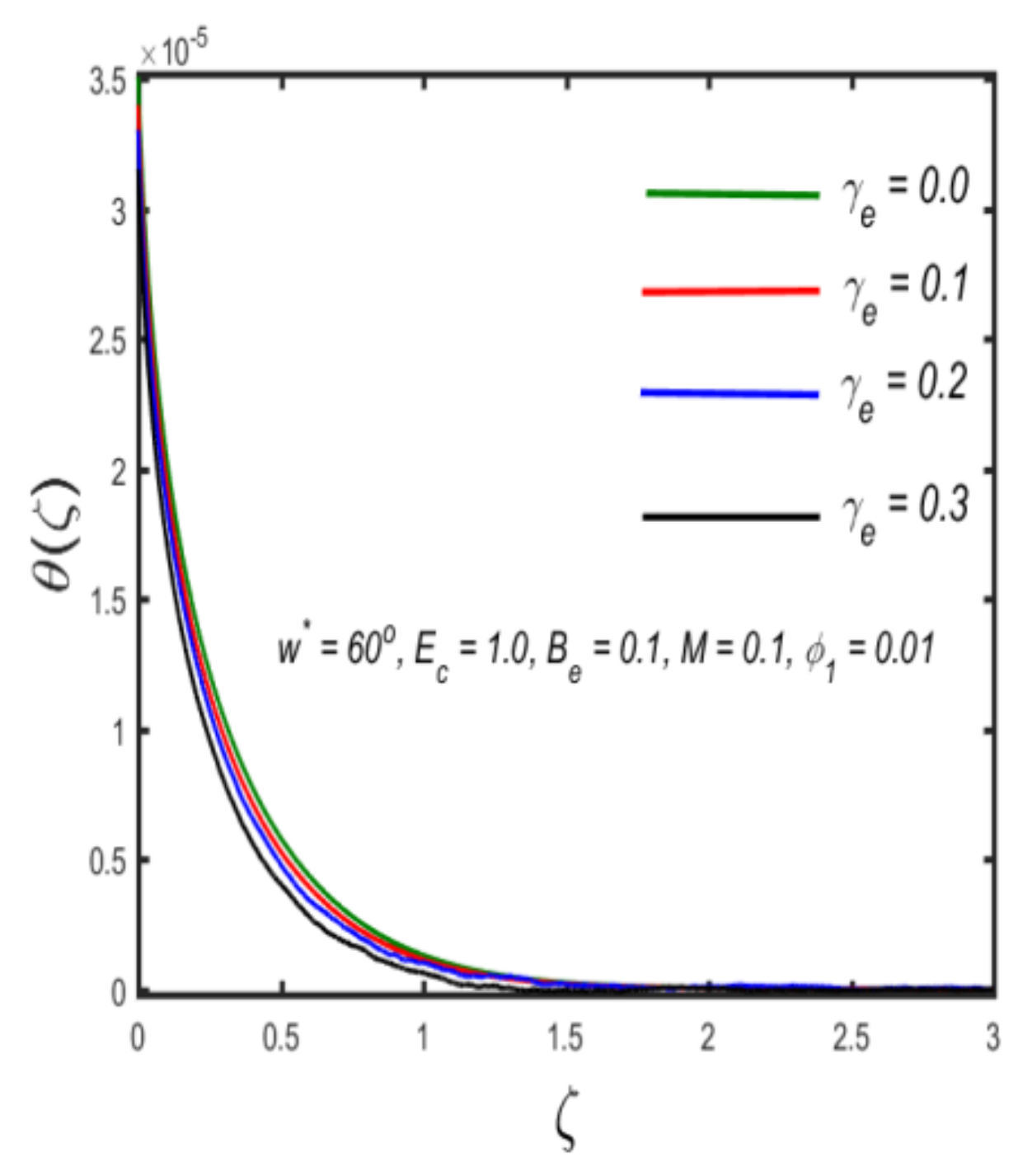
4. Results and Discussion
5. Concluding Remarks
- The velocity of the liquid is increased for higher estimates of the volume fraction parameter and magnetic parameter, due to the retardation effect.
- Higher values of the Stefan blowing parameter improve the velocity of the liquid and the momentum boundary layer thickness.
- A decaying trend occurs due to a higher thermal relaxation characteristic because particles have extra time to transport heat to nearby particles.
- Kinetic energy is transformed into heat energy due to the enhancement of the Eckert number.
- The nanoparticle concentration declines due to larger estimates of concentration relaxation and Stefan blowing parameter.
- A higher estimate of thermal and concentration Biot number improves the heat and mass transfer rates, respectively.
- A decreasing behavior occurs in the microorganism density profile due to larger values of and .
- The motile density transfer rate decays for larger values of .
Author Contributions
Funding
Data Availability Statement
Acknowledgments
Conflicts of Interest
Abbreviations
| Velocity components | Thermal Biot number | ||
| Coordinates | Concentration Biot number | ||
| Magnetic parameter | Microorganism Biot number | ||
| magnetic field | Ablation/accretion parameter | ||
| Temperature, and wall temperature | Greek symbols | ||
| Diffusivity of microorganisms | Density | ||
| Prandtl number | Dynamic viscosity | ||
| Specific heat | Shear stress | ||
| Stretching velocity along the x-direction | Modified thermal diffusivity | ||
| Brownian diffusion coefficient | Heat capacity | ||
| Eckert number | Thermal conductivity | ||
| Surface drag force | The solid volume fraction of particles | ||
| Nusselt number | Scaled boundary-layer coordinate | ||
| Bioconvection Péclet number | Electric conductivity | ||
| Chemotaxis constants | Thermal relaxation time | ||
| Stefan blowing parameter | Concentration relaxation time | ||
| Lewis number | Thermal relaxation parameter | ||
| Maximum cell swimming speed | Concentration relaxation characteristic | ||
| Bio-convection Lewis number | Dimensionless temperature | ||
| Heat, mass, and microorganism transport coefficients, respectively | |||
| Subscripts | |||
| The boundary surface | The ambient surface | ||
| Hybrid nanofluid | Nanofluid | ||
References
- Choi, S.U.; Eastman, J.A. Enhancing Thermal Conductivity of Fluids with Nanoparticles; No. ANL/MSD/CP-84938; CONF-951135-29; Argonne National Lab.: DuPage County, IL, USA, 1995. [Google Scholar]
- Buongiorno, J. Convective Transport in Nanofluids. J. Heat Transfer. 2006, 128, 240–250. [Google Scholar] [CrossRef]
- Sheikholeslami, M.; Chamkha, A.J. Influence of Lorentz forces on nanofluid forced convection considering Marangoni convection. J. Mol. Liq. 2017, 225, 750–757. [Google Scholar] [CrossRef]
- Ahmad, S.; Nadeem, S.; Muhammad, N.; Issakhov, A. Radiative SWCNT and MWCNT nanofluid flow of Falkner–Skan problem with double stratification. Phys. A Stat. Mech. Its Appl. 2020, 547, 124054. [Google Scholar] [CrossRef]
- Hymavathi, T.; Mathews, J.; Kiran Kumar, R.V.M.S.S. Heat transfer and inclined magnetic field effects on un-steady free convection flow of MoS2 and MgO–water based nanofluids over a porous stretching sheet. Int. J. Ambient. Energy 2021, 1–9. [Google Scholar] [CrossRef]
- Nadeem, S.; Ahmad, S.; Muhammad, N. Analysis of ferrite nanoparticles in liquid. Pramana 2020, 94, 54. [Google Scholar] [CrossRef]
- Muhammad, N.; Nadeem, S. Ferrite nanoparticles Ni-ZnFe2O4, Mn-ZnFe2O4 and Fe2O4 in the flow of ferro-magnetic nanofluid. Eur. Phys. J. Plus 2017, 132, 377. [Google Scholar] [CrossRef]
- Vajravelu, K.; Prasad, K.V.; Lee, J.; Lee, C.; Pop, I.; Van Gorder, R.A. Convective heat transfer in the flow of vis-cous Ag–water and Cu–water nanofluids over a stretching surface. Int. J. Therm. Sci. 2011, 50, 843–851. [Google Scholar] [CrossRef]
- Jamshed, W.; Devi, S.U.S.; Goodarzi, M.; Prakash, M.; Nisar, K.S.; Zakarya, M.; Abdel-Aty, A.-H. Evaluating the unsteady Casson nanofluid over a stretching sheet with solar thermal radiation: An optimal case study. Case Stud. Therm. Eng. 2021, 26, 101160. [Google Scholar] [CrossRef]
- Sheikholeslami, M. Influence of Lorentz forces on nanofluid flow in a porous cylinder considering Darcy mod-el. J. Mol. Liq. 2017, 225, 903–912. [Google Scholar] [CrossRef]
- Ahmad, S.; Nadeem, S. Flow analysis by Cattaneo–Christov heat flux in the presence of Thomson and Troian slip condition. Appl. Nanosci. 2020, 10, 4673–4687. [Google Scholar] [CrossRef]
- Rostami, S.; Afrand, M.; Shahsavar, A.; Sheikholeslami, M.; Kalbasi, R.; Aghakhani, S.; Shadloo, M.S.; Oztop, H.F. A review of melting and freezing processes of PCM/nano-PCM and their application in energy storage. Energy 2020, 211, 118698. [Google Scholar] [CrossRef]
- Mingzheng, Z.; Guodong, X.; Jian, L.; Lei, C.; Lijun, Z. Analysis of factors influencing thermal conductivity and viscosity in different kinds of surfactant solutions. Exp. Therm. Fluid Sci. 2012, 36, 22–29. [Google Scholar] [CrossRef]
- Ahmad, S.; Nadeem, S.; Ullah, N. Entropy generation and temperature-dependent viscosity in the study of SWCNT–MWCNT hybrid nanofluid. Appl. Nanosci. 2020, 10, 5107–5119. [Google Scholar] [CrossRef]
- Anuar, N.S.; Bachok, N.; Pop, I. Influence of buoyancy force on Ag-MgO/water hybrid nanofluid flow in an in-clined permeable stretching/shrinking sheet. Int. Commun. Heat Mass Transf. 2021, 123, 105236. [Google Scholar] [CrossRef]
- Maskeen, M.M.; Zeeshan, A.; Mehmood, O.U.; Hassan, M. Heat transfer enhancement in hydromagnetic alumina–copper/water hybrid nanofluid flow over a stretching cylinder. J. Therm. Anal. 2019, 138, 1127–1136. [Google Scholar] [CrossRef]
- Ghalambaz, M.; Sheremet, M.A.; Mehryan, S.A.M.; Kashkooli, F.M.; Pop, I. Local thermal non-equilibrium anal-ysis of conjugate free convection within a porous enclosure occupied with Ag–MgO hybrid nanofluid. J. Therm. Anal. Calorim. 2019, 135, 1381–1398. [Google Scholar] [CrossRef]
- Manna, N.K.; Mondal, C.; Biswas, N.; Sarkar, U.K.; Öztop, H.F.; Abu-Hamdeh, N.H. Effect of multibanded mag-netic field on convective heat transport in linearly heated porous systems filled with hybrid nanofluid. Phys. Fluids 2021, 33, 053604. [Google Scholar] [CrossRef]
- Ahmad, S.; Nadeem, S. Analysis of activation energy and its impact on hybrid nanofluid in the presence of Hall and ion slip currents. Appl. Nanosci. 2020, 10, 5315–5330. [Google Scholar] [CrossRef]
- Esfe, M.H.; Arani, A.A.A.; Rezaie, M.; Yan, W.M.; Karimipour, A. Experimental determination of thermal con-ductivity and dynamic viscosity of Ag–MgO/water hybrid nanofluid. Int. Commun. Heat Mass Transf. 2015, 66, 189–195. [Google Scholar] [CrossRef]
- Rana, P.; Makkar, V.; Gupta, G. Finite Element Modelling of MHD Stefan Blowing Convective Ag-MgO/Water Hybrid Nanofluid induced by Stretching Cylinder utilizing Non-Fourier/Ficks Model; Research Square: Durham, NC, USA, 2021. [Google Scholar]
- Ma, Y.; Mohebbi, R.; Rashidi, M.M.; Yang, Z. MHD convective heat transfer of Ag-MgO/water hybrid nanofluid in a channel with active heaters and coolers. Int. J. Heat Mass Transf. 2019, 137, 714–726. [Google Scholar] [CrossRef]
- Fourier, J.B.J. Théorie Analytique De La Chaleur; Académie des Sciences: Paris, France, 1822; p. 3. [Google Scholar]
- Fick, A. Poggendorff’s flannel. Physik 1855, 94, 297. [Google Scholar]
- Cattaneo, C. Sulla Conduzione Del Calore. In Some Aspects of Diffusion Theory; Springer: Berlin/Heidelberg, Germany, 2011; Volume 3, p. 485. [Google Scholar] [CrossRef]
- Christov, C. On frame indifferent formulation of the Maxwell–Cattaneo model of finite-speed heat conduction. Mech. Res. Commun. 2009, 36, 481–486. [Google Scholar] [CrossRef]
- Han, S.; Zheng, L.; Li, C.; Zhang, X. Coupled flow and heat transfer in viscoelastic fluid with Cattaneo–Christov heat flux model. Appl. Math. Lett. 2014, 38, 87–93. [Google Scholar] [CrossRef]
- Venkateswarlu, S.; Varma, S.V.K.; Durga Prasad, P. MHD Flow of MoS2 and MgO water-based nanofluid through porous medium over a stretching surface with Cattaneo-Christov heat flux model and convective boundary condition. Int. J. Ambient. Energy 2020, 1–10. [Google Scholar] [CrossRef]
- Ali, B.; Hussain, S.; Abdal, S.; Mehdi, M.M. Impact of Stefan blowing on thermal radiation and Cattaneo–Christov characteristics for nanofluid flow containing microorganisms with ablation/accretion of leading edge: FEM approach. Eur. Phys. J. Plus 2020, 135, 821. [Google Scholar] [CrossRef]
- Ahmad, S.; Nadeem, S.; Muhammad, N.; Khan, M.N. Cattaneo–Christov heat flux model for stagnation point flow of micropolar nanofluid toward a nonlinear stretching surface with slip effects. J. Therm. Anal. 2021, 143, 1187–1199. [Google Scholar] [CrossRef]
- Raju, C.S.K.; Sanjeevi, P.; Raju, M.C.; Ibrahim, S.M.; Lorenzini, G.; Lorenzini, E. The flow of magnetohydrody-namic Maxwell nanofluid over a cylinder with Cattaneo–Christov heat flux model. Contin. Mech. Thermodyn. 2017, 29, 1347–1363. [Google Scholar] [CrossRef]
- Malik, R.; Khan, M.; Mushtaq, M. Cattaneo-Christov heat flux model for Sisko fluid flow past a permeable non-linearly stretching cylinder. J. Mol. Liq. 2016, 222, 430–434. [Google Scholar] [CrossRef]
- Jamshed, W.; Aziz, A. Cattaneo–Christov based study of TiO2–CuO/EG Casson hybrid nanofluid flow over a stretching surface with entropy generation. Appl. Nanosci. 2018, 8, 685–698. [Google Scholar] [CrossRef]
- Garia, R.; Rawat, S.K.; Kumar, M.; Yaseen, M. Hybrid nanofluid flow over two different geometries with Catta-neo–Christov heat flux model and heat generation: A model with correlation coefficient and probable error. Chin. J. Phys. 2021, 74, 421–439. [Google Scholar] [CrossRef]
- Sahoo, B. Effects of slip, viscous dissipation and Joule heating on the MHD flow and heat transfer of a second grade fluid past a radially stretching sheet. Appl. Math. Mech. 2010, 31, 159–173. [Google Scholar] [CrossRef]
- Shehzad, S.A.; Alsaedi, A.; Hayat, T. Influence of thermophoresis and joule heating on the radiative flow of jeffrey fluid with mixed convection. Braz. J. Chem. Eng. 2013, 30, 897–908. [Google Scholar] [CrossRef]
- Waqas, H.; Farooq, U.; Khan, S.A.; Alshehri, H.M.; Goodarzi, M. Numerical analysis of dual variable of conduc-tivity in bioconvection flow of Carreau–Yasuda nanofluid containing gyrotactic motile microorganisms over a porous me-dium. J. Therm. Anal. Calorim. 2021, 145, 2033–2044. [Google Scholar] [CrossRef]
- Kumar, K.G.; Ramesh, G.K.; Gireesha, B.; Gorla, R. Characteristics of Joule heating and viscous dissipation on three-dimensional flow of Oldroyd B nanofluid with thermal radiation. Alex. Eng. J. 2018, 57, 2139–2149. [Google Scholar] [CrossRef]
- Hayat, T.; Khan, M.I.; Alsaedi, A. Joule heating and viscous dissipation in flow of nanomaterial by a rotating disk. Int. Commun. Heat Mass Transf. 2017, 89, 190–197. [Google Scholar] [CrossRef]
- Chakraborty, R.; Dey, R.; Chakraborty, S. Thermal characteristics of electromagnetohydrodynamic flows in nar-row channels with viscous dissipation and Joule heating under constant wall heat flux. Int. J. Heat Mass Transf. 2013, 67, 1151–1162. [Google Scholar] [CrossRef]
- Chen, C.H. Combined effects of Joule heating and viscous dissipation on magnetohydrodynamic flow past a per-meable, stretching surface with free convection and radiative heat transfer. J. Heat Transf. 2010, 132, 064503. [Google Scholar] [CrossRef]
- Na, T. Boundary layer flow of Reiner-Philippoff fluids. Int. J. Non-Linear Mech. 1994, 29, 871–877. [Google Scholar] [CrossRef] [Green Version]
- Fang, T. A note on the unsteady boundary layers over a flat plate. Int. J. Non-Linear Mech. 2008, 43, 1007–1011. [Google Scholar] [CrossRef]
- Todd, L. A family of laminar boundary layers along a semi-infinite flat plate. Fluid Dyn. Res. 1997, 19, 235–249. [Google Scholar] [CrossRef]
- Reddy, M.G.; Rani, M.S.; Kumar, K.G.; Prasannakumar, B.C.; Chamkha, A.J. Cattaneo–Christov heat flux model on Blasius–Rayleigh–Stokes flow through a transitive magnetic field and Joule heating. Phys. A Stat. Mech. Its Appl. 2020, 548, 123991. [Google Scholar] [CrossRef]
- Ahmad, A. Flow of ReinerPhilippoff based nano-fluid past a stretching sheet. J. Mol. Liq. 2016, 219, 643–646. [Google Scholar] [CrossRef]
- Mabood, F.; Khan, W.A. A computational study of unsteady radiative magnetohydrodynamic Blasius and Sakiadis flow with leading-edge accretion (ablation). Heat Transf. 2020, 49, 1355–1373. [Google Scholar] [CrossRef]
- Sajid, T.; Jamshed, W.; Shahzad, F.; Eid, M.R.; Alshehri, H.M.; Goodarzi, M.; Akgül, E.K.; Nisar, K.S. Micropolar fluid past a convectively heated surface embedded with nth order chemical reaction and heat source/sink. Phys. Scr. 2021, 96, 104010. [Google Scholar] [CrossRef]
- Ahmad, S.; Naveed Khan, M.; Rehman, A.; Felemban, B.F.; Alqurashi, M.S.; Alharbi, F.M.; Galal, A.M. Analysis of Heat and Mass Transfer Features of Hybrid Casson Nanofluid Flow with the Magnetic Dipole Past a Stretched Cylin-der. Appl. Sci. 2021, 11, 11203. [Google Scholar] [CrossRef]
















| Physical Properties | Base Fluid | Nanoparticle | |
|---|---|---|---|
| Water | Ag | MgO | |
| 4179.0 | 235 | 955 | |
| 997.10 | 10,500 | 3560 | |
| 0.620 | 429 | 45 | |
| Mabood et al. [47] | Todd et al. [44] | Ali et al. [29] | Our Results | |
|---|---|---|---|---|
| 0 | 0.564189 | 0.5642 | 0.564190 | 0.564191 |
| 0.575016 | 0.5750 | 0.575019 | 0.575020 | |
| 0.580728 | 0.5807 | 0.580726 | 0.580727 | |
| 0.577001 | 0.5770 | 0.577002 | 0.577003 | |
| 0.552875 | 0.5529 | 0.552876 | 0.552877 | |
| 0.507218 | 0.5072 | 0.507221 | 0.507222 | |
| 0.436864 | 0.4369 | 0.436867 | 0.436868 | |
| 0.389999 | 0.3900 | 0.390002 | 0.390003 | |
| 0.332057 | 0.3321 | 0.332057 | 0.332058 |
| 0.0 | 1.0 | 50° | 1.0 | 0.62880 |
| 0.01 | 0.68261 | |||
| 0.02 | 0.70860 | |||
| 2.0 | 0.65672 | |||
| 3.0 | 0.64121 | |||
| 4.0 | 0.62612 | |||
| 0° | 0.26505 | |||
| 30° | 0.24703 | |||
| 45° | 0.22704 | |||
| 0.2 | 0.34735 | |||
| 0.3 | 0.32034 | |||
| 0.4 | 0.30347 |
| 0.5 | 0.4 | 0.2 | 3.84684 | |
| 0.6 | 3.92359 | |||
| 0.7 | 3.99025 | |||
| 0.1 | 3.49515 | |||
| 0.3 | 3.58288 | |||
| 0.5 | 3.67057 | |||
| 0.4 | 3.83391 | |||
| 0.5 | 3.81670 | |||
| 0.6 | 3.80203 | |||
| 3.88790 | ||||
| 3.92790 | ||||
| 3.96792 |
Publisher’s Note: MDPI stays neutral with regard to jurisdictional claims in published maps and institutional affiliations. |
© 2022 by the authors. Licensee MDPI, Basel, Switzerland. This article is an open access article distributed under the terms and conditions of the Creative Commons Attribution (CC BY) license (https://creativecommons.org/licenses/by/4.0/).
Share and Cite
Jiang, Y.; Zhang, J.; Abdeljawad, T.; Ahmad, S.; Naveed Khan, M.; Rehman, A.; Almaliki, A.H.; El-Shafay, A.S. Blasius–Rayleigh–Stokes Flow of Hybrid Nanomaterial Liquid Past a Stretching Surface with Generalized Fourier’s and Fick’s Law. Nanomaterials 2022, 12, 439. https://doi.org/10.3390/nano12030439
Jiang Y, Zhang J, Abdeljawad T, Ahmad S, Naveed Khan M, Rehman A, Almaliki AH, El-Shafay AS. Blasius–Rayleigh–Stokes Flow of Hybrid Nanomaterial Liquid Past a Stretching Surface with Generalized Fourier’s and Fick’s Law. Nanomaterials. 2022; 12(3):439. https://doi.org/10.3390/nano12030439
Chicago/Turabian StyleJiang, Yingzi, Juan Zhang, Thabet Abdeljawad, Shafiq Ahmad, Muhammad Naveed Khan, Aysha Rehman, Abdulrazak H. Almaliki, and Ahmed S. El-Shafay. 2022. "Blasius–Rayleigh–Stokes Flow of Hybrid Nanomaterial Liquid Past a Stretching Surface with Generalized Fourier’s and Fick’s Law" Nanomaterials 12, no. 3: 439. https://doi.org/10.3390/nano12030439
APA StyleJiang, Y., Zhang, J., Abdeljawad, T., Ahmad, S., Naveed Khan, M., Rehman, A., Almaliki, A. H., & El-Shafay, A. S. (2022). Blasius–Rayleigh–Stokes Flow of Hybrid Nanomaterial Liquid Past a Stretching Surface with Generalized Fourier’s and Fick’s Law. Nanomaterials, 12(3), 439. https://doi.org/10.3390/nano12030439

