The Development of a Mesh-Free Technique for the Fractional Model of the Inverse Problem of the Rayleigh–Stokes Equation with Additive Noise
Abstract
1. Introduction
2. Derivation of SAM Scheme
| Algorithm 1: Quasilinearization technique |
| Enter the required simulation parameters such as , , ⋯, |
| Input: k, , , , ⋯, |
| Output: |
| function QuasiTec (, ) |
| Enter the initial condition |
| for : |
| Solve the system (9) by the SAM and find |
| if |
| Make an update for the left and the right-hand side of the system (9) |
| Do the process of the SAM with new initial value |
| else |
| end |
| end |
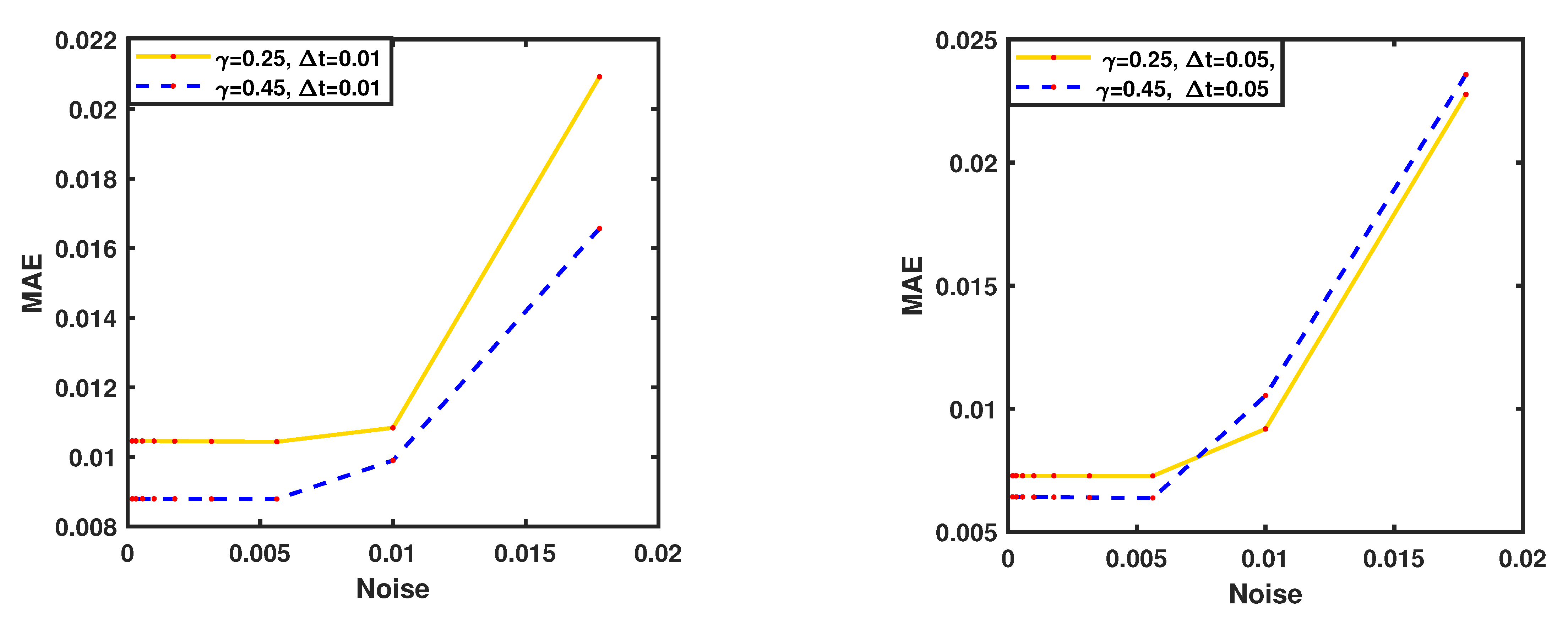
3. Numerical Implementation
4. Conclusions
Author Contributions
Funding
Institutional Review Board Statement
Data Availability Statement
Conflicts of Interest
Abbreviations
| Nomenclature | |
| Co-ordinates | |
| t | Time |
| Nonlinear source term | |
| Unknown boundary date | |
| J | Number of TBfs |
| Number of boundary point | |
| Number of collocation point | |
| Boundary point | |
| Collocation point | |
| Level of noise | |
| N | Number of test nodes |
| Relative error | |
| CPU | Calculation time [s] |
| Greek symbols | |
| , m | Constants |
| Laplacian operator | |
| Order of fractional derivative | |
| Computational domain | |
| Boundary | |
| Gamma function | |
| Time step | |
| TBF functions | |
| ℘ | Scaling parameter |
| Corrected basis functions | |
| Multiquadric RBF functions | |
| Shape parameter | |
| Pseudo-random number |
References
- Shakib Arslan, M.; Abbas, Z.; Rafiq, M.Y. Biological flow of thermally intense cilia generated motion of non-Newtonian fluid in a curved channel. Adv. Mech. Eng. 2023, 15, 1–11. [Google Scholar] [CrossRef]
- Çolak, A.B. Analysis of the Effect of arrhenius activation energy and temperature dependent viscosity on non-newtonian maxwell nanofluid bio-convective flow with partial slip by artificial intelligence approach. Chem. Thermodyn. Therm. Anal. 2022, 6, 100039. [Google Scholar] [CrossRef]
- Ruggiero, M.L.; Ortolan, A.; Speake, C.C. Galactic dynamics in general relativity: The role of gravitomagnetism. Class. Quantum Gravity 2022, 39, 225015. [Google Scholar] [CrossRef]
- Scalera, G. A Non-Newtonian View of the Universe Derived from Hydrodynamic Gravitation and Expanding Earth. J. Mod. Phys. 2022, 13, 11. [Google Scholar] [CrossRef]
- Zhaosheng, Y.; Jianzhong, L. Numerical research on the coherent structure in the viscoelastic second-order mixing layers. Appl. Math. Mech. 1998, 19, 717–723. [Google Scholar] [CrossRef]
- Tuan, N.H.; Zhou, Y.; Thach, T.N.; Can, N.H. Initial inverse problem for the nonlinear fractional Rayleigh-Stokes equation with random discrete data. Commun. Nonlinear Sci. Numer. Simul. 2019, 78, 104873. [Google Scholar] [CrossRef]
- Liu, X.; Li, D. A link between a variable-order fractional Zener model and non-Newtonian time-varying viscosity for viscoelastic material: Relaxation time. Acta Mech. 2021, 232, 1–13. [Google Scholar] [CrossRef]
- Binhua, F.; Chen, R.; Liu, J. Blow-up criteria and instability of normalized standing waves for the fractional Schrödinger-Choquard equation. Adv. Nonlinear Anal. 2020, 10, 311–330. [Google Scholar] [CrossRef]
- Luc, N.H.; Lan, D.; O’Regan, D.; Tuan, N.A.; Zhou, Y. On the initial value problem for the nonlinear fractional Rayleigh-Stokes equation. J. Fixed Point Theory Appl. 2021, 23, 1–28. [Google Scholar] [CrossRef]
- He, J.W.; Zhou, Y.; Peng, L.; Ahmad, B. On well-posedness of semilinear Rayleigh-Stokes problem with fractional derivative on RN. Adv. Nonlinear Anal. 2021, 11, 580–597. [Google Scholar] [CrossRef]
- Tran Bao, N.; Nguyen Hoang, L.; Vo Van, A.; Nguyen, H.T.; Zhou, Y. Existence and regularity of inverse problem for the nonlinear fractional Rayleigh-Stokes equations. Math. Methods Appl. Sci. 2021, 44, 2532–2558. [Google Scholar] [CrossRef]
- Liu, S. Filter Regularization Method for Inverse Source Problem of the Rayleigh-Stokes Equation. Taiwan. J. Math. 2023, 1, 1–15. [Google Scholar] [CrossRef]
- Ashurov, R.; Mukhiddinova, O. Inverse problem of determining the order of the fractional derivative in the Rayleigh-Stokes equation. arXiv 2023, arXiv:2303.10669. [Google Scholar] [CrossRef]
- Ke, T.D.; Thang, N.N. On Global Solvability and Regularity for Generalized Rayleigh-Stokes Equations with History-Dependent Nonlinearities. Mediterr. J. Math. 2023, 20, 107. [Google Scholar] [CrossRef]
- Sriram, V.; Ma, Q.W. Review on the local weak form-based meshless method (MLPG): Developments and Applications in Ocean Engineering. Appl. Ocean Res. 2021, 116, 102883. [Google Scholar] [CrossRef]
- Wang, F.; Ahmad, I.; Ahmad, H.; Alsulami, M.D.; Alimgeer, K.S.; Cesarano, C.; Nofal, T.A. Meshless method based on RBFs for solving three-dimensional multi-term time fractional PDEs arising in engineering phenomenons. J. King Saud Univ. 2021, 33, 101604. [Google Scholar] [CrossRef]
- Srivastava, M.H.; Ahmad, H.; Ahmad, I.; Thounthong, P.; Khan, N.M. Numerical simulation of three-dimensional fractional-order convection-diffusion PDEs by a local meshless method. Therm. Sci. 2020, 25, 347–358. [Google Scholar] [CrossRef]
- Safari, F.; Chen, W. Coupling of the improved singular boundary method and dual reciprocity method for multi-term time-fractional mixed diffusion-wave equations. Comput. Math. Appl. 2019, 78, 1594–1607. [Google Scholar] [CrossRef]
- Fu, Z.; Xi, Q.; Gu, Y.; Li, J.; Qu, W.; Sun, L.; Wei, X.; Wang, F.; Lin, J.; Li, W. Singular boundary method: A review and computer implementation aspects. Eng. Anal. Bound. Elem. 2023, 147, 231–266. [Google Scholar] [CrossRef]
- Guerra, A.; Belinha, J.; Natal Jorge, R. A preliminary study of endothelial cell migration during angiogenesis using a meshless method approach. Int. J. Numer. Method. Biomed. Eng. 2020, 36, e3393. [Google Scholar] [CrossRef]
- Yu, S.; Sun, Z.; Yu, J.; Yang, J.; Zhu, C. An improved meshless method for modeling the mesoscale cracking processes of concrete containing random aggregates and initial defects. Constr. Build. Mater. 2023, 363, 129770. [Google Scholar] [CrossRef]
- Grabski, J.K.; Mrozek, A. Identification of elastoplastic properties of rods from torsion test using meshless methods and a metaheuristic. Comput. Math. Appl. 2021, 92, 149–158. [Google Scholar] [CrossRef]
- Salah, F.; Zainal, A.A.; Ching, D.L.C. New exact solution for Rayleigh-Stokes problem of Maxwell fluid in a porous medium and rotating frame. Results Phys. 2011, 1, 9–12. [Google Scholar] [CrossRef]
- Yu, B.; Jiang, X.; Qi, H. An inverse problem to estimate an unknown order of a Riemann-Liouville fractional derivative for a fractional Stokes’ first problem for a heated generalized second grade fluid. Acta Mech. Sin. 2015, 31, 153–161. [Google Scholar] [CrossRef]
- Ashurov, R.; Mukhiddinova, O.; Umarov, S. A Non-Local Problem for the Fractional-Order Rayleigh-Stokes Equation. Fractal Fract. 2023, 7, 490. [Google Scholar] [CrossRef]
- Safari, F. Solving multi-dimensional inverse heat problems via an accurate RBF-based meshless technique. Int. J. Heat Mass Transf. 2023, 209, 124100. [Google Scholar] [CrossRef]
- Safari, F. An accurate RBF-based meshless technique for the inverse multi-term time-fractional integro-differential equation. Eng. Anal. Bound. Elem. 2023, 153, 116–125. [Google Scholar] [CrossRef]
- Kuznetsov, D.F. A comparative analysis of efficiency of using the Legendre polynomials and trigonometric functions for the numerical solution of Ito stochastic differential equations. Comput. Math. Math. Phys. 2019, 59, 1236–1250. [Google Scholar] [CrossRef]
- Safari, F.; Jing, L.; Lu, J.; Chen, W. A meshless method to solve the variable-order fractional diffusion problems with fourth-order derivative term. Eng. Anal. Bound. Elem. 2022, 143, 677–686. [Google Scholar] [CrossRef]
- Amiri, S.; Hajipour, M.; Baleanu, D. A spectral collocation method with piecewise trigonometric basis functions for nonlinear Volterra-Fredholm integral equations. Appl. Math. Comput. 2020, 370, 124915. [Google Scholar] [CrossRef]
- Ghimire, B.K.; Li, X.; Chen, C.S.; Lamichhane, A.R. Hybrid Chebyshev polynomial scheme for solving elliptic partial differential equations. J. Comput. Appl. Math. 2020, 364, 112324. [Google Scholar] [CrossRef]
- Shivanian, E.; Keshtkar, M.; Navidi, H. Heat transfer from convecting-radiating fin through optimized Chebyshev polynomials with interior point algorithm. Nonlinear Eng. 2019, 9, 102–110. [Google Scholar] [CrossRef]
- Safari, F.; Tong, Q.; Tang, Z.; Lu, J. A Meshfree Approach for Solving Fractional Galilei Invariant Advection-Diffusion Equation through Weighted-Shifted Grünwald Operator. Mathematics 2022, 10, 4008. [Google Scholar] [CrossRef]
- Safari, F.; Sun, H. Improved singular boundary method and dual reciprocity method for fractional derivative Rayleigh-Stokes problem. Eng. Comput. 2020, 37, 3151–3166. [Google Scholar] [CrossRef]
- Zhang, Y.; Lin, J.; Reutskiy, S. A novel Gaussian-cubic-based backward substitution method using symmetric variable shape parameter. Eng. Anal. Bound. Elem. 2023, 155, 1069–1081. [Google Scholar] [CrossRef]
- Lin, J. Simulation of 2D and 3D inverse source problems of nonlinear time-fractional wave equation by the meshless homogenization function method. Eng. Comput. 2022, 38, 3599–3608. [Google Scholar] [CrossRef]
- Zhang, Y.; Rabczuk, T.; Lu, J.; Lin, S.; Lin, J. Space-time backward substitution method for nonlinear transient heat conduction problems in functionally graded materials. Comput. Math. Appl. 2022, 124, 98–110. [Google Scholar] [CrossRef]
- Bakalis, E.; Lugli, F.; Zerbetto, F. Daughter Coloured Noises: The Legacy of Their Mother White Noises Drawn From Different Probability Distributions. Fractal Fract. 2023, 7, 600. [Google Scholar] [CrossRef]

















| ISBM [34] | SAM | C-Order | ISBM [34] | CPU (s) | SAM | C-Order | CPU (s) | |
|---|---|---|---|---|---|---|---|---|
| 0.050000 | 3.0517 × | 2.1682 × | – | 2.2886 × | 2.4960 | 1.3667 × | – | 0.312 |
| 0.025000 | 2.4403 × | 1.3321 × | 0.7028 | 1.8235 × | 5.60040 | 9.1182 × | 0.58391 | 0.296 |
| 0.012500 | 1.9851 × | 7.7959 × | 0.7729 | 1.5841 × | 10.5456 | 5.6782 × | 0.68330 | 0.328 |
| 0.006250 | 1.7258 × | 4.4029 × | 0.8242 | 1.5934 × | 18.267 | 3.3688 × | 0.75319 | 0.578 |
| 0.003125 | 1.6669 × | 2.4200 × | 0.8634 | 1.4576 × | 32.432 | 1.9281 × | 0.80503 | 1.312 |
| ISBM [34] | SAM | |||||
|---|---|---|---|---|---|---|
| 0.0250 | 3.22562 × | 1.14356 × | 1.77374 × | 2.56304 × | 2.56015 × | 2.51596 × |
| 0.0160 | 3.22132 × | 1.00471 × | 1.40307 × | 2.51698 × | 2.49601 × | 2.45989 × |
| 0.0125 | 3.22434 × | 9.10782 × | 1.17691 × | 2.52733 × | 2.51238 × | 2.48948 × |
| 0.0100 | 3.21454 × | 8.41575 × | 1.02086 × | 2.51958 × | 2.50401 × | 2.48449 × |
| t | TM [6] | SAM | ||
|---|---|---|---|---|
| Noise | Noise | Noise | ||
| 0.1 | 8.863249 × | 1.358109 × | 8.734121 × | 4.199728 × |
| 0.3 | 2.849214 × | 1.014723 × | 9.008782 × | 4.357857 × |
| 0.5 | 1.430539 × | 2.849130 × | 9.108369 × | 4.419288 × |
| 0.7 | 4.106929 × | 5.914007 × | 9.165993 × | 4.456124 × |
Disclaimer/Publisher’s Note: The statements, opinions and data contained in all publications are solely those of the individual author(s) and contributor(s) and not of MDPI and/or the editor(s). MDPI and/or the editor(s) disclaim responsibility for any injury to people or property resulting from any ideas, methods, instructions or products referred to in the content. |
© 2025 by the authors. Licensee MDPI, Basel, Switzerland. This article is an open access article distributed under the terms and conditions of the Creative Commons Attribution (CC BY) license (https://creativecommons.org/licenses/by/4.0/).
Share and Cite
Safari, F.; Feng, X. The Development of a Mesh-Free Technique for the Fractional Model of the Inverse Problem of the Rayleigh–Stokes Equation with Additive Noise. Fractal Fract. 2025, 9, 551. https://doi.org/10.3390/fractalfract9080551
Safari F, Feng X. The Development of a Mesh-Free Technique for the Fractional Model of the Inverse Problem of the Rayleigh–Stokes Equation with Additive Noise. Fractal and Fractional. 2025; 9(8):551. https://doi.org/10.3390/fractalfract9080551
Chicago/Turabian StyleSafari, Farzaneh, and Xingya Feng. 2025. "The Development of a Mesh-Free Technique for the Fractional Model of the Inverse Problem of the Rayleigh–Stokes Equation with Additive Noise" Fractal and Fractional 9, no. 8: 551. https://doi.org/10.3390/fractalfract9080551
APA StyleSafari, F., & Feng, X. (2025). The Development of a Mesh-Free Technique for the Fractional Model of the Inverse Problem of the Rayleigh–Stokes Equation with Additive Noise. Fractal and Fractional, 9(8), 551. https://doi.org/10.3390/fractalfract9080551

