Sign in to use this feature.

Years

Between: -

Subjects

remove_circle_outline
remove_circle_outline
remove_circle_outline
remove_circle_outline
remove_circle_outline
remove_circle_outline
remove_circle_outline
remove_circle_outline
remove_circle_outline

Journals

Article Types

Countries / Regions

Search Results (147)

Search Parameters:
Keywords = QW07

Order results
Result details
Results per page
Select all
Export citation of selected articles as:
17 pages, 3926 KB  
Article
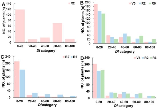
Stable qw12-1 Locus Across Environments: High-Resolution QTL Mapping for Sustainable Southern Soybean Crinkle Leaf Disease Resistance Control
by Wenjie Chen, Chunting Zhang, Qian Shi, Xiaohong Guo, Xiayan Qin, Shufang Chen, Kai Sun, Qingyuan Wei, Fuyue Tang, Jiang Liang, Tuanjie Zhao and Yuan Chen
Plants 2026, 15(7), 1010; https://doi.org/10.3390/plants15071010 - 25 Mar 2026
Viewed by 196
Abstract
Severe southern soybean crinkle leaf disease (SSCLD) reduces soybean seed yield by approximately 40%. Identifying the genes that control SSCLD is crucial for breeding resistant varieties and elucidating the molecular mechanisms underlying SSCLD infection. In this study, recombinant inbred lines (RILs, n = [...] Read more.
Severe southern soybean crinkle leaf disease (SSCLD) reduces soybean seed yield by approximately 40%. Identifying the genes that control SSCLD is crucial for breeding resistant varieties and elucidating the molecular mechanisms underlying SSCLD infection. In this study, recombinant inbred lines (RILs, n = 236) derived from a cross between Nannong1138-2 (NN1138-2) and Zhengxiaodou (ZXD) were used as experimental materials. A field trial employing a randomized block design was conducted in four environments across two locations, Nanning (2019–2021) and Du’an (2020) in Guangxi, to identify the disease severity grades of SSCLD in the field. QTLs controlling SSCLD were detected via a genetic map constructed using 3255 SLAF (specific locus amplified fragment) markers from the recombinant inbred lines. RT–qPCR was used to analyze candidate gene expression at major effect loci. The results revealed that eight SSCLD-associated QTLs were identified on chromosomes 3, 6, 12, and 17. Notably, the qw12-1 locus on chromosome 12 was detected across three developmental stages in three of the four environments, explaining 10.18–58.20% of the phenotypic variation. RT–qPCR analysis of 12 disease resistance-related genes within the qw12-1 interval revealed that GLYMA_12G233000 and GLYMA_12G239200 presented significantly higher expression in crinkled leaf lines than in normal leaf lines during the V5 (fifth trifoliolate stage), R2 (full bloom stage), and R6 (full seed stage) stages. These genes were prioritized as potential prime candidates for SSCLD resistance genes. This research provides foundational data for the fine mapping of qw12-1 and cloning SSCLD-related genes, advancing our understanding of the molecular mechanisms underlying SSCLD. Full article
(This article belongs to the Section Plant Genetics, Genomics and Biotechnology)
Show Figures

Figure 1

13 pages, 2292 KB  
Article
Investigation on Wavelength-Dependent Light Extraction Efficiency of InGaN-Based Micro-LED Structures Using Numerical Simulations
by Chibuzo Onwukaeme and Han-Youl Ryu
Photonics 2026, 13(3), 289; https://doi.org/10.3390/photonics13030289 - 17 Mar 2026
Viewed by 265
Abstract
The external quantum efficiency (EQE) of InGaN-based LEDs typically decreases as wavelength shifts from blue to green to red. While this trend has often been attributed to the internal quantum efficiency of InGaN quantum wells (QWs), the influence of light extraction efficiency (LEE) [...] Read more.
The external quantum efficiency (EQE) of InGaN-based LEDs typically decreases as wavelength shifts from blue to green to red. While this trend has often been attributed to the internal quantum efficiency of InGaN quantum wells (QWs), the influence of light extraction efficiency (LEE) on the wavelength-dependent EQE has received less attention. In this study, we numerically investigated the LEE of blue, green, and red InGaN micro-LED structures using finite-difference time-domain simulations, including the dispersion of composite materials. We first optimized the distance between the QW and the Ag reflector for each color, then evaluated the total LEE and the LEE within a 20° collection angle as the micro-LED structure diameter varied. For diameters ranging from 2 to 6 μm, green and red micro-LEDs exhibited average LEE values that were over 10% and 20% higher than those of blue micro-LEDs, respectively. This is attributed to the decreasing refractive index of GaN and increasing reflectance of the Ag reflector as the wavelength increases. Such substantial variations in LEE among blue, green, and red InGaN micro-LEDs highlight the importance of considering wavelength-dependent LEE when interpreting measured EQE results. Full article
(This article belongs to the Special Issue Light Emitting Devices: Science and Applications)
Show Figures

Figure 1

29 pages, 2239 KB  
Article
Robust Fractional-Order Control with Master–Slave Mechanism for Motor Speed Regulation
by Davut Izci, Serdar Ekinci, Rizk M. Rizk-Allah and Mohd Ashraf Ahmad
Fractal Fract. 2026, 10(3), 187; https://doi.org/10.3390/fractalfract10030187 - 12 Mar 2026
Viewed by 200
Abstract
Robust controller tuning is essential for the accurate regulation of nonlinear dynamic plants operating under variable conditions. This study proposes an enhanced gradient-based optimizer, termed the quadratic wavelet–enhanced gradient-based optimizer (QWS–GBO), which integrates quadratic interpolation mutation (QIM) and a wavelet mutation strategy (WMS). [...] Read more.
Robust controller tuning is essential for the accurate regulation of nonlinear dynamic plants operating under variable conditions. This study proposes an enhanced gradient-based optimizer, termed the quadratic wavelet–enhanced gradient-based optimizer (QWS–GBO), which integrates quadratic interpolation mutation (QIM) and a wavelet mutation strategy (WMS). QIM reinforces population diversity, while WMS mitigates stagnation and strengthens local refinement through adaptive perturbations, yielding a more effective balance between global exploration and local exploitation. QWS–GBO is employed in a reference–follower control framework based on Bode’s ideal response, where the follower is realized by a fractional-order proportional–integral–derivative (FOPID) controller. The FOPID parameters are optimized using QWS–GBO and evaluated in two stages. First, performance is assessed on the CEC2020 benchmark suite under a uniform protocol. Second, the approach is applied to DC motor speed regulation. On the CEC2020 functions, QWS–GBO consistently achieves lower mean objective values and faster convergence than GBO, dwarf mongoose optimization (DMO), the arithmetic optimization algorithm (AOA), and the salp swarm algorithm (SSA) with only minor computational overhead (35.90 s per trial versus 34.00 s for GBO). In the DC motor case, the QWS–GBO–tuned FOPID controller attains a rise time of 0.0216 s, settling time of 0.0350 s, zero overshoot, and peak time of 0.0509 s. Robustness tests under four operating conditions showed limited deviations (maximum 0.0058 s in rise time, 0.0113 s in settling time, 0.465% in overshoot, and 0.0131 s in peak time). Additional analyses confirmed that both QIM and WMS individually contribute measurable gains, validating their joint integration. Implementation details and parameter settings are provided to ensure reproducibility. Full article
(This article belongs to the Special Issue Advances in Fractional Order Systems and Robust Control, 3rd Edition)
Show Figures

Figure 1

14 pages, 2697 KB  
Article
A Computational Model for Nme1Cas9 HNH Activation Driven by Dynamic Interface Engineering at Residues S593 and W596
by Zhenyu Zhou and Lizhe Zhu
Biomolecules 2026, 16(3), 358; https://doi.org/10.3390/biom16030358 - 27 Feb 2026
Viewed by 322
Abstract
Nme1Cas9 is an encouraging genome-editing tool with high fidelity and compactness, but its applications are limited by poor catalytic efficiency compared with SpyCas9. Understanding the dynamic activation mechanism of the HNH nuclease domain is the key to breaking the kinetic bottleneck. Here, we [...] Read more.
Nme1Cas9 is an encouraging genome-editing tool with high fidelity and compactness, but its applications are limited by poor catalytic efficiency compared with SpyCas9. Understanding the dynamic activation mechanism of the HNH nuclease domain is the key to breaking the kinetic bottleneck. Here, we integrated Steered Molecular Dynamics (SMD) with the Traveling-Salesman-based automated Path Searching (TAPS) algorithm to reconstruct the atomic-level activation landscape of the L1-HNH module. The simulations suggest a complex “Lifting-Rearrangement-Sliding” pathway, revealing the critical role of a “Backbone Sliding” conformation; in this step, the HNH domain rotates across the R-loop surface. A thermodynamic analysis using free energy decomposition by MM/PBSA indicates that the intrinsic instability of the wild-type HNH/R-loop interface constitutes the predominant energetic barrier. Hyperactive variants (S593Q/W596K and S593Q/W596R) can overcome this barrier by substantially increasing binding affinity to the R-loop through a “Geometry–Electrostatics Synergism”: S593Q improves interfacial proximity, whereas W596K/R acts as an “Electrostatic Anchor.” The results of unbiased MD simulations demonstrate that strengthened interfacial interactions effectively promote spontaneous conformational drift toward the activated state. This computational study proposes a novel in silico model for “Dynamic Interface Engineering” in which reinforcing transient interfacial contacts during conformational sliding can be an effective strategy in developing high-efficiency CRISPR-Cas effectors. Full article
(This article belongs to the Special Issue Innovative Biomolecular Structure Analysis Techniques)
Show Figures

Figure 1

21 pages, 3103 KB  
Article
Treatment and Cleaning of Contact Lenses with Plasma-Activated Solutions
by Stephanie Arndt, Julia Spörl, Petra Unger, Tim Maisch, Mark Berneburg and Sigrid Karrer
Pathogens 2026, 15(2), 228; https://doi.org/10.3390/pathogens15020228 - 18 Feb 2026
Viewed by 388
Abstract
The occurrence of contact lens complications caused by inadequate cleaning of the lenses using “All-in-One” contact lens cleaning solutions (CLCSs) represents a medically relevant problem worldwide. This study explores the potential of cold atmospheric plasma (CAP) to enhance the efficacy of CLCSs and [...] Read more.
The occurrence of contact lens complications caused by inadequate cleaning of the lenses using “All-in-One” contact lens cleaning solutions (CLCSs) represents a medically relevant problem worldwide. This study explores the potential of cold atmospheric plasma (CAP) to enhance the efficacy of CLCSs and address complications from inadequate lens hygiene. It was examined whether exposure to CAP for 1–24 h could boost the antibacterial effects of CLCSs and other solutions, including Milli-Q water (M-QW), physiological saline (NaCl), and Dulbecco’s Phosphate Buffered Saline (DPBS). Additionally, the stability of reactive oxygen and nitrogen species (RONS) and their impact on pH immediately after treatment and over 1–4 weeks was assessed. Furthermore, the cleaning efficacy of plasma-activated solutions (PASs) was tested on lipid-coated silicone hydrogel lenses. Results showed that CAP increased RONS concentrations immediately, with elevated levels persisting over time. While no significant improved antibacterial effect was observed against Escherichia coli in CLCSs, CAP treatment generated disinfectant properties in M-QW and NaCl solutions. Importantly, CAP-treated CLCSs significantly improved the cleaning performance on lipid-coated lenses, though M-QW’s cleaning ability worsened post-treatment. pH measurements indicated notable decreases in M-QW and NaCl after CAP, whereas buffered solutions like CLCSs and DPBS remained stable. Overall, CAP demonstrates promise for contact lens disinfection and surface modification; however, further research and pre-clinical trials are necessary before clinical application in ophthalmology. Full article
Show Figures

Figure 1

19 pages, 4820 KB  
Article
Implementation of Leaking Quantum Walks on a Photonic Processor
by Eleonora Stefanutti, Jonas Philipps, Johannes Bütow, Amir Guidara, Marcello Nuvoli, Andrea Chiuri and Linda Sansoni
Appl. Sci. 2026, 16(4), 1976; https://doi.org/10.3390/app16041976 - 17 Feb 2026
Viewed by 313
Abstract
Quantum walks (QWs) represent pillars of quantum dynamics and information processing. They provide a powerful framework for simulating quantum transport, designing search algorithms, and enabling universal quantum computation. Several physical platforms have been employed for their implementation, such as trapped atoms and ions, [...] Read more.
Quantum walks (QWs) represent pillars of quantum dynamics and information processing. They provide a powerful framework for simulating quantum transport, designing search algorithms, and enabling universal quantum computation. Several physical platforms have been employed for their implementation, such as trapped atoms and ions, nuclear magnetic resonance systems, and photonic quantum architectures either in bulk optics or waveguide structures and fiber loop networks. Here we focus on the most promising and versatile approach, which is photonic integrated circuits. In this work, we review how the employment of this versatile experimental platform has allowed exploring several phenomena related to QW-based protocols, such as evolution in the presence of different kinds of noise. In this landscape, to the best of our knowledge, few examples report on the introduction of absorbing centers and their effects on the coherence of the dynamics. Here we present and discuss the results related to the absorbing boundaries in QWs, obtained through theoretical simulations and experiments conducted with the universal photonic quantum processors realized by QuiX Quantum. We analyze how localized absorption along one lattice edge affects the walker dynamics, depending on both the leakage probability and the initial injection site. Our results suggest that the presence of controlled losses modifies interference patterns and coherence without fully destroying quantum features and providing an effective resource for engineering on-chip QWs and simulating open quantum systems. Full article
(This article belongs to the Special Issue Quantum Communication and Quantum Information)
Show Figures

Figure 1

11 pages, 1995 KB  
Article
Design of Lattice-Matched InAs1−xSbx/Al1−yInySb Type-I Quantum Wells with Tunable Near-To Mid-Infrared Emission (2–5 μm): A Strain-Optimized Approach for Optoelectronic Applications
by Gerardo Villa-Martínez and Julio Gregorio Mendoza-Álvarez
Nanomaterials 2026, 16(2), 147; https://doi.org/10.3390/nano16020147 - 22 Jan 2026
Viewed by 314
Abstract
We propose a strain-optimized design strategy for lattice-matched InAs1−xSbx/Al1−yInySb Type-I quantum wells (QWs) that emit across the near-to mid-infrared spectrum (2–5 µm). By combining elastic strain energy minimization with band offset calculations, we [...] Read more.
We propose a strain-optimized design strategy for lattice-matched InAs1−xSbx/Al1−yInySb Type-I quantum wells (QWs) that emit across the near-to mid-infrared spectrum (2–5 µm). By combining elastic strain energy minimization with band offset calculations, we identify Type-I alignment for Sb contents (x ≤ 0.40) and In contents (0.10 < y ≤ 1). At the same time, Type-II dominates at higher Sb compositions (x ≥ 0.50). Using the transfer matrix method under the effective mass approximation, we demonstrate precise emission tuning via QW thickness (LW) and compositional control, achieving a wavelength coverage of 2–5 µm with <5% strain-induced energy deviation. Our results provide a roadmap for high-efficiency infrared optoelectronic devices, addressing applications in sensing and communications technologies. Full article
(This article belongs to the Special Issue Theory and Modeling of Nanostructured Materials)
Show Figures

Figure 1

15 pages, 5194 KB  
Article
Investigations on the Effect of Fluid Jet to Wheel Speed Ratio on Specific Grinding Energy
by Ablie Njie, Tobias Hüsemann and Bernhard Karpuschewski
J. Manuf. Mater. Process. 2026, 10(1), 18; https://doi.org/10.3390/jmmp10010018 - 6 Jan 2026
Viewed by 440
Abstract
The use of metalworking fluid (MWF) in surface grinding is essential, but its supply contributes notably to the process energy demand. This study investigates the effect of the fluid jet to wheel speed ratio qs on specific grinding energy and associated CO [...] Read more.
The use of metalworking fluid (MWF) in surface grinding is essential, but its supply contributes notably to the process energy demand. This study investigates the effect of the fluid jet to wheel speed ratio qs on specific grinding energy and associated CO2 emissions. Experiments with grinding wheels of different grit sizes (F60–F120) were conducted at cutting speeds of 35 and 60 m/s. Critical specific material removal rates Qw, crit were determined by taper grinding, with the onset of grinding burn identified by Barkhausen noise analysis. Based on these values and the grinding wheel width, specific process energies etotal were derived from grinding, pump, and machine base load. F120 wheels showed no systematic dependence of Qw, crit on qs, whereas for coarser F80 and F60 wheels, decreasing qs from 1.0 to 0.6 increased Qw, crit by 13–27% at 35 m/s and decreased it by 33–35% at 60 m/s. The most efficient process (F60, 35 m/s, qs = 0.6) required 152.8 J/mm3, the least efficient (F120, 60 m/s, qs = 0.8) 333.1 J/mm3. Because CO2 emissions scale with etotal, the relative differences in energy directly indicate relative differences in CO2 output. An illustrative case study shows that adjusting qs alone (F80, 35 m/s) lowers annual emissions from 0.284 t to 0.206 t, a reduction of approximately 27%. These findings highlight the influence of qs on grinding efficiency and process energy demand. Full article
(This article belongs to the Special Issue Advanced and Sustainable Machining)
Show Figures

Figure 1

11 pages, 1761 KB  
Article
Excitons in Shallow GaAs/Al0.03Ga0.97As Quantum Wells
by Roman S. Nazarov, Matthew A. Maksimov, Yurii P. Efimov, Sergei A. Eliseev, Vyacheslav A. Lovcjus and Yury V. Kapitonov
Photonics 2026, 13(1), 19; https://doi.org/10.3390/photonics13010019 - 26 Dec 2025
Viewed by 492
Abstract
We report a comprehensive study of heavy-hole (HH) and light-hole (LH) excitons in a shallow GaAs/Al0.03Ga0.97As single quantum well (QW) using two-dimensional photoluminescence excitation (PLE) spectroscopy, reflectivity in Brewster geometry, and time-resolved four-wave mixing (FWM) with polarization-resolved photon echo [...] Read more.
We report a comprehensive study of heavy-hole (HH) and light-hole (LH) excitons in a shallow GaAs/Al0.03Ga0.97As single quantum well (QW) using two-dimensional photoluminescence excitation (PLE) spectroscopy, reflectivity in Brewster geometry, and time-resolved four-wave mixing (FWM) with polarization-resolved photon echo (PE) detection. The PLE measurements reveal well-resolved HH and LH exciton states with minimal inhomogeneous broadening, while reflectivity spectra indicate strong light–matter coupling and narrow exciton linewidths, reflecting the high structural quality of the QW. FWM experiments demonstrate two-pulse photon echoes with coherence times of T239.5 ps for HH and T216.2 ps for LH excitons. Polarization-resolved PE confirms that the observed signals originate from pure three-level excitonic systems without contributions from trions or donor-bound excitons. Compared to conventional GaAs/Al0.3Ga0.7As QWs, the shallow QW exhibits reduced HH-LH splitting, enhanced optical homogeneity, and robustness against above-barrier illumination, making it a promising platform for coherent optical control and information photonics applications. Full article
(This article belongs to the Section Quantum Photonics and Technologies)
Show Figures

Figure 1

21 pages, 3853 KB  
Article
Numerical Analysis of Water-Injection Drag Reduction on a Flat Plate
by David Hitchmough, Anas Muhamad Pauzi, Eddie Blanco-Davis, Andrew Spiteri, Ava Shahrokhi, Alex Routledge, Roger Armson, Nikolaos Tsoulakos and Jin Wang
J. Mar. Sci. Eng. 2025, 13(12), 2271; https://doi.org/10.3390/jmse13122271 - 28 Nov 2025
Viewed by 614
Abstract
Water injection is a promising alternative to traditional air lubrication for reducing ship hull drag and improving energy efficiency. Addressing the limited research on the efficacy of water lubrication on ships, this novel study is the first to numerically evaluate its performance on [...] Read more.
Water injection is a promising alternative to traditional air lubrication for reducing ship hull drag and improving energy efficiency. Addressing the limited research on the efficacy of water lubrication on ships, this novel study is the first to numerically evaluate its performance on a flat-plate model, systematically investigating key operational and geometrical parameters. The rectangular flat plate model of finite thickness represents a 1:56 scale of the Japan Bulk Carrier hull. The study conducts Reynolds-Averaged Navier–Stokes (RANS) simulations using the commercial CFD package STAR-CCM+ and systematically investigates the effects of injection angle, velocity ratio, flow rate, Reynolds number, and plate orientation. The results indicate that an injection angle of 60–90° is optimal, with an ideal velocity ratio (UInj/Ub) of approximately 1.5, resulting in a drag reduction of up to 38.8%. The flow-rate ratio (QInj/Qw) also serves as a pertinent scaling parameter, with an optimum at 1.1. The study found that the primary drag reduction mechanism is the decrease in skin friction, which, unlike pressure-driven effects, is robust across different plate orientations. These findings underscore the potential of water injection as a scalable and effective strategy for maritime decarbonisation, exhibiting performance that is robust and stable across a wide range of Reynolds numbers and plate orientations. Full article
Show Figures

Figure 1

23 pages, 14043 KB  
Article
Unraveling Reservoir Quality: How Mineralogy Shapes Pore Attributes in Sandstone Lithofacies
by Antoine W. Guirguis, Abdelmoktader A. El Sayed, Ashraf R. Baghdady, Abdelaziz L. Khlaifat, Ahmed A. Sharaf-Eldin and Ahmed Gad
Minerals 2025, 15(11), 1203; https://doi.org/10.3390/min15111203 - 15 Nov 2025
Cited by 1 | Viewed by 916 | Correction
Abstract
The Cenomanian Bahariya Formation exposed at Gebel El Dist in the Western Desert of Egypt provides valuable surface analogues for evaluating the reservoir quality of subsurface Bahariya sandstones. The formation was analyzed using 27 oriented samples and 91 core plugs from quartz arenite [...] Read more.
The Cenomanian Bahariya Formation exposed at Gebel El Dist in the Western Desert of Egypt provides valuable surface analogues for evaluating the reservoir quality of subsurface Bahariya sandstones. The formation was analyzed using 27 oriented samples and 91 core plugs from quartz arenite (QA) and quartz wacke (QW) facies. Analyses included XRD, petrography, SEM, helium porosity–permeability, and capillary tests, as well as measurements of pore-throat radii (R) at 35% and 36% mercury saturation. X-ray diffraction analyses reveal a heterogeneous mineral composition dominated by quartz, feldspars, dolomite, pyrite, siderite, goethite, hematite, clay minerals, glauconite, and gypsum. QA displays higher porosity and permeability than QW, along with larger pore radii, and lower specific surface area per unit pore volume (Spv) and per unit grain volume (Sgv). Multivariate regression equations, specific to each facies, were developed to convert standardized XRD mineral percentages directly into pore-system and flow attributes (ϕ, k, r, Spv, Sgv, R35, R36), quantifying capillary-based recovery contrasts between facies. Across both facies, regressions linking mineralogy to ϕ, k, r, Spv, Sgv, R35, and R36 are strong (R2 = 0.78–1.00). The established predictive equations provide a low-cost method to estimate reservoir quality from mineralogy alone, enabling rapid screening of Cenomanian Bahariya analogues and similar clastic reservoirs where core data are limited. Full article
Show Figures

Figure 1

20 pages, 1707 KB  
Article
Comparative Study on Growth Performance and Meat Production Traits of Reciprocal Crosses Between Guizhou Recessive White Chickens and Qiandongnan Xiaoxiang Chickens
by Yingping Tian, Xiaoya Wang, Yong Yue, Muhammad Arif, Yaozhou Jiang, Qinsong Liu, Yun Du, Xudong Zhao and Fuping Zhang
Animals 2025, 15(22), 3262; https://doi.org/10.3390/ani15223262 - 11 Nov 2025
Viewed by 1400
Abstract
Indigenous chicken breeds often exhibit desirable meat quality but slower growth. This study evaluated growth, body size, slaughter traits, meat quality, and heterosis in reciprocal crosses between Guizhou recessive white (GW) and Qiandongnan Xiaoxiang (QX) chickens. A complete diallel cross produced four populations [...] Read more.
Indigenous chicken breeds often exhibit desirable meat quality but slower growth. This study evaluated growth, body size, slaughter traits, meat quality, and heterosis in reciprocal crosses between Guizhou recessive white (GW) and Qiandongnan Xiaoxiang (QX) chickens. A complete diallel cross produced four populations (WW: GW♂ × GW♀; QQ: QX♂ × QX♀; QW: QX♂ × GW♀; WQ: GW♂ × QX♀). To assess growth dynamics, body weight was recorded from hatch to 18 weeks and fitted with Logistic, Gompertz, and Von Bertalanffy models. At 18 weeks, 160 birds (40 per group, equal sex ratio) were assessed for body size, carcass yield, and meat quality. The results showed clear paternal effects. For instance, WQ (GW sire) outperformed QW (QX sire): WQ roosters had higher body weight at 18 weeks (1784.1 g vs. QW, p < 0.05) and greater heterosis (12.38%, 95%CI: 9.15–15.61 vs. 2.54%, 95%CI: −0.66–5.74). WQ hens also showed stronger heterosis despite similar body weight to QW hens (8.05%, 95%CI: 5.04–11.04 vs. 4.05%, 95%CI: 0.67–7.43). Growth curves were generally best described by the Von Bertalanffy model (R2 ≥ 0.998), except in QW roosters, where the Gompertz model fitted better. Hybrid progeny (WQ and QW) showed improved slaughter traits over QQ, with WQ roosters exhibiting higher heterosis rates (14.09–30.71%) than QW (1.08–21.93%). Meat tenderness was superior in QQ, while QW showed advantages over WQ in tenderness and water retention. Overall, crossbreeding enhanced growth and carcass traits, and using GW as the male parent (WQ) was most effective. These findings provide practical evidence for improving Qiandongnan Xiaoxiang chickens through crossbreeding. Moreover, the observed paternal effects on growth traits suggest the need for further investigation into underlying mechanisms such as genomic imprinting and growth-related hormonal pathways. Full article
(This article belongs to the Special Issue Advances in Genetic Analysis of Important Traits in Poultry)
Show Figures

Figure 1

17 pages, 9035 KB  
Article
Nanostructured Ge-Based Glass Coatings for Sustainable Greenhouse Production: Balancing Light Transmission, Energy Harvesting, and Crop Performance
by Božidar Benko, Krešimir Salamon, Ivana Periša, Sanja Fabek Uher, Sanja Radman, Nevena Opačić and Maja Mičetić
Agronomy 2025, 15(11), 2559; https://doi.org/10.3390/agronomy15112559 - 5 Nov 2025
Viewed by 1134
Abstract
Greenhouse horticulture is an energy-intensive production system that requires innovative solutions to reduce energy demand without compromising crop yield or quality. Functional greenhouse covers are particularly promising, as they regulate solar radiation while integrating energy-harvesting technologies. In this study, six nanostructured glass coatings [...] Read more.
Greenhouse horticulture is an energy-intensive production system that requires innovative solutions to reduce energy demand without compromising crop yield or quality. Functional greenhouse covers are particularly promising, as they regulate solar radiation while integrating energy-harvesting technologies. In this study, six nanostructured glass coatings incorporating semiconductor-based quantum dots (QDs) and quantum wires (QWs) of Ge and TiN are developed using magnetron sputtering—an industrially scalable technique widely applied in smart window and energy-efficient glass manufacturing. The coatings’ optical properties are characterized in the laboratory, and their agronomic performance is evaluated in greenhouse trials with lamb’s lettuce (Valerianella locusta) and radish (Raphanus sativus). Plant growth, yield, and leaf color (CIELAB parameters) are analyzed in relation to spectral transmission and the daily light integral (DLI). Although uncoated horticultural glass achieves the highest yields, several Ge-QD coatings provide favorable compromises by selectively absorbing non-photosynthetically active radiation (non-PAR) while maintaining acceptable crop performance. These results demonstrate that nanostructured coatings can simultaneously sustain crop growth and enable solar energy conversion, offering a practical pathway toward energy-efficient and climate-smart greenhouse systems. Full article
(This article belongs to the Section Farming Sustainability)
Show Figures

Figure 1

22 pages, 10839 KB  
Article
A Parametric Study of Epoxy-Bonded CF/QF-BMI Composite Joints Using a Method Combining RBF Neural Networks and NSGA-II Algorithm
by Xiaobo Yang, Xingyu Zou, Jingyu Zhang, Ruiqing Guo, He Xiang, Lihua Zhan and Xintong Wu
Polymers 2025, 17(13), 1769; https://doi.org/10.3390/polym17131769 - 26 Jun 2025
Cited by 2 | Viewed by 926
Abstract
The epoxy-bonded joint between carbon-fiber-reinforced bismaleimide (CF-BMI) and quartz-fiber-reinforced bismaleimide (QF-BMI) composites can meet the structure–function integration requirements of next-generation aviation equipment, and the structural design of their bonding zones directly affects their service performance. Hence, in this study, the carbon-fiber-reinforced bismaleimide composite [...] Read more.
The epoxy-bonded joint between carbon-fiber-reinforced bismaleimide (CF-BMI) and quartz-fiber-reinforced bismaleimide (QF-BMI) composites can meet the structure–function integration requirements of next-generation aviation equipment, and the structural design of their bonding zones directly affects their service performance. Hence, in this study, the carbon-fiber-reinforced bismaleimide composite ZT7H/5429, the woven quartz-fiber-reinforced bismaleimide composite QW280/5429, and epoxy adhesive film J-116 were used as research materials to investigate the influence of the bonding area size on the mechanical properties, and this study proposes a novel design methodology combining radial basis function (RBF) neuron machine learning with the NSGA-II algorithm to enhance the mechanical properties of the bonded components. First, a finite element simulation model considering 3D hashin criteria and cohesion was established, and its accuracy was verified with experiments. Second, the RBF neuron model was trained using the finite element tensile strength and shear strength data from various adhesive layer parameter combinations. Then, the multi-objective parameter optimization of the surrogate model was accomplished through the NSGA-II algorithm. The research results demonstrate a high consistency between the finite element simulation results and experimental outcomes for the epoxy-bonded CF/QF-BMI composite joint. The stress distribution of the adhesive layers is similar under the different structural parameters of adhesive films, though the varying structural dimensions of the adhesive layers lead to distinct failure modes. The trained RBF neuron model controls the prediction error within 2.21%, accurately reflecting the service performance under various adhesive layer parameters. The optimized epoxy-bonded CF/QF-BMI composite joint exhibits 16.1% and 11.2% increases in the tensile strength and shear strength, respectively. Full article
(This article belongs to the Special Issue Advances in High-Performance Polymer Materials, 2nd Edition)
Show Figures

Figure 1

11 pages, 2910 KB  
Communication
Theoretical Study on Low-Chirp Directly Modulated DFB Lasers with (110)-Oriented Quantum Well
by Jianwei Li, Mengzhu Hu, Xinyang Su, Yanting Liu and Ke Zhan
Photonics 2025, 12(7), 647; https://doi.org/10.3390/photonics12070647 - 25 Jun 2025
Viewed by 1313
Abstract
The low-chirp operation of distributed feedback lasers is highly desirable in high-speed and high-bit rate optical transmission. In this article, we address this issue by theoretically investigating the possibility of further a reduction in the linewidth enhancement factor (LEF) of a quantum well [...] Read more.
The low-chirp operation of distributed feedback lasers is highly desirable in high-speed and high-bit rate optical transmission. In this article, we address this issue by theoretically investigating the possibility of further a reduction in the linewidth enhancement factor (LEF) of a quantum well (QW). The energy band structure of AlGaInAs quantum-well DFB lasers grown with a (110) crystal orientation in the active region of the L-band has been theoretically analyzed using multi-band k.p perturbation theory, by reducing the asymmetry of conduction bands and valence bands and thus the linewidth enhancement factor parameter, which is related to the frequency chirp. Simulation results show that the LEF of the directly modulated DFB laser is reduced from 2.434 to 1.408 by designing the (110)-oriented compression-strained Al0.06Ga0.24InAs multiple-quantum-well structure, and the eye diagram of the (110)-oriented quantum-well DFB laser with a digital signal transmission of 20 km is significantly better than the (001) crystal-oriented quantum-well DFB laser for the 10Gbps optical fiber communication system, thus achieving a longer distance and higher-quality optical signal transmission. Full article
(This article belongs to the Section Optoelectronics and Optical Materials)
Show Figures

Figure 1

Back to TopTop